Condition and Honey Productivity of Honeybee Colonies Depending on Type of Supplemental Feed for Overwintering
Abstract
Simple Summary
Abstract
1. Introduction
2. Materials and Methods
2.1. Experimental Design—Apiaries, Colonies, and Hives
2.2. Feeds and Feeding
2.3. Feed Intake
2.4. Overwintering
2.5. Colony Growth and Swarming Tendency
2.6. Total Hemolymph Protein Quantification
2.7. Honey Yield
2.8. Economic Efficiency
2.9. Statistical Analysis
3. Results
3.1. Feed Intake
3.2. Overwintering
3.3. Colony Growth and Swarming Tendency
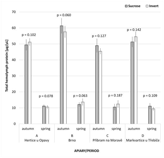
3.4. Total Hemolymph Protein Quantification
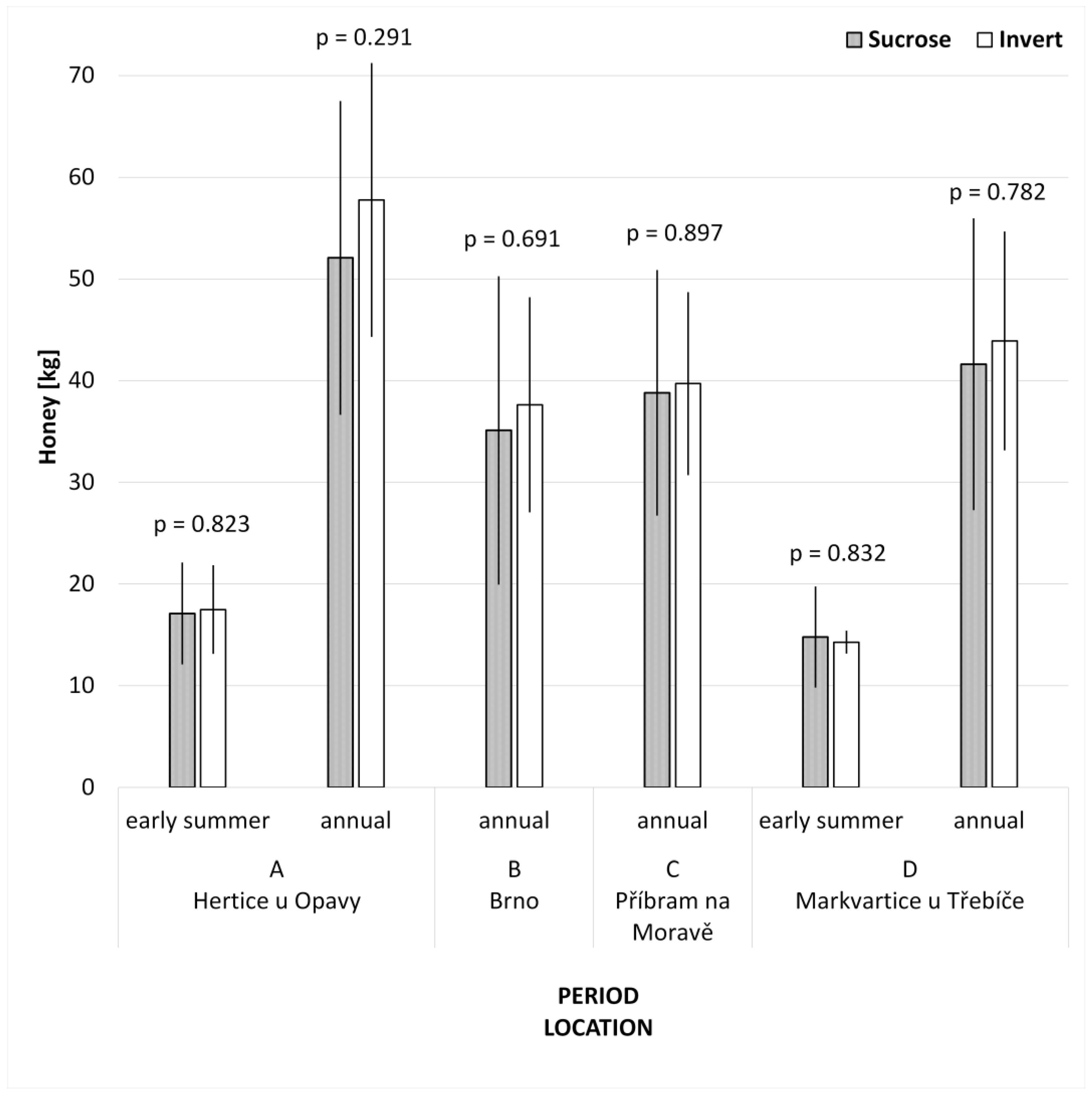
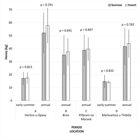
3.5. Honey Yield
3.6. Economic Efficiency
4. Discussion
5. Conclusions
Author Contributions
Funding
Institutional Review Board Statement
Informed Consent Statement
Data Availability Statement
Conflicts of Interest
References
- Johansson, T.S.K.; Johansson, M.P. Feeding sugar to bees. 1. Feeders and syrup feeding. Bee World 1976, 57, 137–143. [Google Scholar] [CrossRef]
- Furgala, B.; McCutcheon, D.M. Wintering productive colonies. In The Hive and the Honeybee, 5th ed.; Graham, J.M., Ed.; Dadant & Sons: Hamilton, IL, USA, 1992; pp. 829–868. [Google Scholar]
- Ambrose, J.T. Management for honey production. In The Hive and the Honeybee, 5th ed.; Graham, J.M., Ed.; Dadant & Sons: Hamilton, IL, USA, 1992; pp. 602–656. [Google Scholar]
- Barker, R.J.; Lehner, Y. Acceptance and sustentative values of honey, the sugars of honey and sucrose fed to caged honey bee workers. Am. Bee J. 1973, 113, 370–371. [Google Scholar]
- Barker, R.J. Considerations in Selecting Sugars for Feeding to Honey Bees. Am. Bee J. 1977, 117, 76–77. [Google Scholar]
- Bailey, L. The effect of acid-hydrolysed sucrose on honeybees. J. Apic. Res. 1966, 5, 127–136. [Google Scholar] [CrossRef]
- Doull, K.M. Trials with commercial sugar syrups as supplementary or maintenance food for honeybees. Austral. Bee J. 1974, 55, 17–19. [Google Scholar]
- Barker, R.J.; Lehner, Y. Laboratory comparison of high fructose corn syrup, grape syrup, honey, and sucrose syrup as maintenance food for caged honey bees. Apidologie 1978, 9, 111–116. [Google Scholar] [CrossRef]
- Trumpeter, J. High Fructose Corn Syrup—An Update. Am. Bee J. 2005, 145, 893–898. [Google Scholar]
- Severson, D.W.; Erickson, E.H. Honey bee (Hymenoptera: Apidae) colony performance in relation to supplemental carbohydrates. J. Econ. Entomol. 1984, 77, 1473–1478. [Google Scholar] [CrossRef]
- Sammataro, D.; Weiss, M. Comparison of productivity of colonies of honey bees, Apis mellifera, supplemented with sucrose or high fructose corn syrup. J. Ins. Sci. 2013, 13, 1–13. [Google Scholar] [CrossRef]
- Ruiz-Matute, A.I.; Weiss, M.; Sammataro, D.; Finely, J.; Sanz, M.L. Carbohydrate composition of high-fructose corn syrups (HFCS) used for bee feeding: Effect on honey composition. J. Agric. Food Chem. 2010, 58, 7317–7322. [Google Scholar] [CrossRef]
- Gromisz, M. Gospodarka cukrem w pasiekach polskich—Badania ankietowe 1967–1982. Pszczel. Zesz. Nauk. 1985, 29, 323–338. [Google Scholar]
- Porovnání Krmiva APIVITAL® Sirup a Sacharózy (APIVITAL® Syrup and Sucrose Comparison, in Czech, Partially Also in English, Slovak and Polish Languages). Available online: https://www.apivital.eu/ (accessed on 31 October 2022).
- Melnichuk, I.A. Autumn sugar feeding and physiology of bees (in Russian). Pchelovodstvo 1964, 84, 13–15. [Google Scholar]
- Melnichuk, I.A. Physiological exhaustion of honeybees after autumn processing of sugar syrup. Trudy nauchno-isledovatelnovo Instituta Pchelovodstva 1966, 79–89. (In Russian) [Google Scholar]
- Jachimowicz, T. Wozu brauchen wir Invertzucker bei der Bienenfutterung? Bienenvater 1976, 97, 131–133. [Google Scholar]
- Bacílek, J.; Marek, M.; Jarý, J.; Veselý, V. Sugar Stores in Honeybee Colonies Fed Sugar Solutions of Different Compositions. J. Apic. Res. 1980, 19, 187–195. [Google Scholar] [CrossRef]
- Eijnde van den, J.; Smeekens, S. A comparison between the effects of invert sugars and sucrose on the wintering of honeybee colonies. Maandschrift voor Bijenteelt 1982, 84, 243–245. (In Dutch) [Google Scholar]
- Ohe von der, W.; Schönberger, H. Für die Ernährung der Bienen: Futtersirup im Vergleich. Dtsch. Bienen J. 2000, 8, 312–314. [Google Scholar]
- Ceksteryte, V.; Racys, J. The quality of syrups used for bee feeding before winter and their suitability for bee wintering. J. Apic. Sci. 2006, 50, 5–14. [Google Scholar]
- Brodschneider, R.; Moosbeckhofer, R.; Crailsheim, K. Surveys as a tool to record winter losses of honey bee colonies—A 2-year case study in Austria and South Tyrol, Tyrol. J. Apic. Res. 2010, 49, 23–30. [Google Scholar] [CrossRef]
- Rybak-Chmielewska, H.; Szczęsna, T.; Waś, E. Attempt to assay maltodextrins occurring in starch syrup and in winter stores made by bees from that syrups. J. Apic. Sci. 2006, 50, 127–135. [Google Scholar]
- Rybak-Chmielewska, H. High performance liquid chromatography (HPLC) study of sugar composition in some kinds of natural honey and winter stores processed by bees from starch syrup. J. Apic. Sci. 2007, 51, 23–38. [Google Scholar]
- Mirjanic, G.; Gajger, I.T.; Mladenovic, M.; Kozaric, Z. Impact of different feed on intestine health of honey bees. In Proceedings of the XXXXIII International Apicultural Congress, Kyiv, Ukraine, 29 September–4 October 2013; p. 113. [Google Scholar]
- Crailsheim, K.; Brodschneider, R. Nutrition and health in honey bees. Apidologie 2010, 41, 278–294. [Google Scholar] [CrossRef]
- Delaplane, K.S.; Van Der Stehen, J.; Guzman-Novoa, E. Standard methods for estimating strength parameters of Apis mellifera colonies. J. Apic. Res. 2013, 52, 1–12. [Google Scholar] [CrossRef]
- Otis, G.W.; Wheeler, D.E.; Buck, N.; Mattila, H.R. Storage proteins in winter honey bees. Apiacta 2004, 38, 352–357. [Google Scholar]
- Amdam, G.V.; Omholt, S.W. The Regulatory Anatomy of Honeybee Lifespan. J. Theor. Biol. 2002, 216, 209–228. [Google Scholar] [CrossRef]
- Bradford, M.M. A rapid and sensitive method for the quantitation of microgram quantities of protein utilizing the principle of protein-dye binding. Anal. Biochem. 1976, 72, 248–254. [Google Scholar] [CrossRef]
- Goodwin, R.M. Feeding sugar syrup to honey bee colonies to improve pollination: A review. Bee World 1997, 78, 56–62. [Google Scholar] [CrossRef]
- SAS Institute. SPSSx User’s Guide; McGraw-Hill: New York, NY, USA, 2004; 806p. [Google Scholar]
- Free, J.B.; Spencer-Booth, Y. The effect of feeding sugar syrup to honey-bee colonies. J. Agric. Sci. 1961, 57, 147–151. [Google Scholar] [CrossRef]
- Barker, R.J.; Lehner, Y. Food choice changes in aging honey bees. Ann. Entomol. Soc. Am. 1974, 67, 717–718. [Google Scholar] [CrossRef]
- Guler, A.; Ekinci, D.; Biyik, S.; Garipoglu, A.V.; Onder, H.; Kocaokutgen, H. Effects of feeding honey bees (Hymenoptera: Apidae) with industrial sugars produced by plants using different photosynthetic cycles (carbon C3 and C4) on the colony wintering ability, lifespan, and forage behavior. J. Econ. Entomol. 2018, 111, 2003–2010. [Google Scholar] [CrossRef]
- Skubida, P. Wpływ zróznicowanego sposobu przygotowania zapasów zimowych na rozwój i produkcyjnosc rodzin. Pszczel. Zesz. Nauk. 1998, 42, 95–117. [Google Scholar]
- Wegener, J.; Lorenz, M.W.; Bienefeld, K. Physiological consequences of prolonged nursing in the honey bee. Insectes Soc. 2009, 56, 85–93. [Google Scholar] [CrossRef]
- Aschengreen, N.H. Production of Glucose-Fructose Syrup. Proc. Biochem. 1975, 10, 17–19. [Google Scholar]
- Beckedorf, S.; Rübensaat, S.; Stampe, X.; Richardson, H. Einfütterung. Dtsch. Bienen, J. 2014, 22, 14–15. [Google Scholar]
- Szczęsna, T.; Waś, E.; Semkiw, P.; Skubida, P.; Jaśkiewicz, K.; Witek, M. Changes in the Physicochemical Properties of Starch Syrups after Processing by Honeybees. Agriculture 2021, 11, 335. [Google Scholar] [CrossRef]
- Jachimowicz, T.; El Sherbiny, G. Zur Problematik der Verwendung von Invertzucker für die Bienenfutterung. Apidologie 1975, 6, 121–143. [Google Scholar] [CrossRef]
- Monien, B.H.; Frank, H.; Seidel, A.; Glatt, H. Conversion of the common food constituent 5-hydroxymethylfurfural into a mutagenic and carcinogenic sulfuric acid ester in the mouse in vivo. Chem. Res. Toxicol. 2009, 22, 1123–1128. [Google Scholar] [CrossRef]
- Glatt, H.R.; Sommer, Y. Health risks by 5-hydroxymethylfurfural (HMF) and related compounds. In Acrylamide and Other Health Hazardous Compounds in Heat-Treated Foods, 1st ed.; Skog, K., Alexander, J., Eds.; Woodhead Publishing: Cambridge, UK, 2006; pp. 328–357. [Google Scholar]
- Zhang, X.M.; Chan, C.C.; Stamp, D.; Minkin, S.; Archer, M.C.; Bruce, W.R. Initiation and promotion of colonic aberrant crypt foci in rats by 5-hydroxymethy1-2-furaldehyde in thermolyzed sucrose. Carcinogenesis 1993, 14, 773–775. [Google Scholar] [CrossRef]
- LeBlanc, B.W.; Eggleston, G.; Sammataro, D.; Cornett, C.; Dufault, R.; Deeby, T.; St. Cyr, E. Formation of Hydroxymethylfurfural in Domestic High-Fructose Corn Syrup and Its Toxicity to the Honey Bee (Apis mellifera). J. Agric. Food Chem. 2009, 57, 7369–7376. [Google Scholar] [CrossRef]
- Mao, W.; Schulerb, M.A.; Berenbaum, M.R. Honey constituents up-regulate detoxification and immunity genes in the western honey bee Apis mellifera. Proc. Natl. Acad. Sci. USA 2013, 110, 8842–8846. [Google Scholar] [CrossRef]
- Wahl, O.; Ulm, K. Influence of pollen feeding and physiological condition on pesticide sensitivity of the honey bee Apis mellifera carnica. Oecologia 1983, 59, 106–128. [Google Scholar] [CrossRef]
- Zábrodská, B.; Vorlová, L. Adulteration of honey and available methods for detection—A review. Acta Vet. Brno 2014, 83, S85–S102. [Google Scholar] [CrossRef]
- Özcan, M.; Arslan, D.; Ceylan, D.A. Effect of inverted saccharose on some properties of honey. Food Chem. 2006, 99, 24–29. [Google Scholar] [CrossRef]
- Guler, A.; Bakan, A.; Nisbet, C.; Yavuz, O. Determination of important biochemical properties of honey to discriminate pure and adulterated honey with sucrose (Saccharum officinarum L.) syrup. Food Chem. 2007, 105, 1119–1125. [Google Scholar] [CrossRef]
- Beckmann, K.; Beckh, G.; Lüllmann, C. Nachweis von fremder Invertase in Honig. Dtsch. Lebensmitt. Rundsch. 2008, 104, 55–57. [Google Scholar]
- Voldřich, M.; Rajchl, A.; Čížková, H.; Cuhra, P. Detection of Foreign Enzyme Addition into the Adulterated Honey. Czech J. Food Sci. 2009, 27, 280–282. [Google Scholar] [CrossRef]
- Fei, X.; Wu, B.; Shen, C.; Zhang, R.; Ding, T.; Li, L. Determination of exogenous gamma-amylase residue in honey. Chin. J. Chromatogr. Zhongguo Hua Xue Hui 2012, 30, 777–781. [Google Scholar] [CrossRef]
- Kandolf Borovšak, A.; Ogrinc, N.; Lilek, N.; Korošec, M. Feeding honey-bee colonies (Apis mellifera carnica Poll.) and detection of honey adulteration. Acta Aliment. 2016, 46, 127–136. [Google Scholar] [CrossRef]
- Pfeiffer, K.J.; Crailsheim, K. Drifting in honeybees. Insectes Soc. 1998, 45, 151–167. [Google Scholar] [CrossRef]
- Hornitzky, M.A.Z. The spread of Paenibacillus larvae subsp. larvae infections in an apiary. J. Apic. Res. 1998, 37, 261–265. [Google Scholar] [CrossRef]
- Seiler, K.; Kaufmann, A. Kontamination von Honig mit Sulfathiazol durch Raüberei unter Bienen. Mitt. Lebensmitteluntersuchung Hyg. 2002, 93, 437–446. [Google Scholar]
- Jedrzejczak-Krzepkowska, M.; Kalinowska, H.; Bielecki, S. β-fructofuranosidase—Properties, structure and applications. Postępy Biochemii 2011, 57, 401–410. (In Polish) [Google Scholar]



| Location & Altitude (above s. l.) GPS | Number of Colonies | Hives Frames and Supers |
|---|---|---|
| (A) Hertice u Opavy (325 m) N49° 54′ 22″ E17° 47′ 54″ | 30 | 11 pcs (39 × 24 cm) in brood and honey chamber (3–4 pcs without thermal insulated supers) |
| (B) Brno (234 m) N49° 12′ 38″ E16° 36′ 51″ | 20 | 10 pcs (37 × 30 cm) in brood chamber (2 pcs thermal insulated supers) 10 pcs (37 × 17 cm) in honey chamber (2–3 pcs thermal insulated low supers) |
| (C) Příbram na Moravě (432 m) N49° 11′ 25″ E16° 17′ 38″ | 10 | 11 pcs (39 × 27.5 cm) in brood chamber (2 pcs thermal insulated supers) 11 pcs (39 × 17 cm) in honey chamber (2–3 pcs thermal insulated low supers) |
| (D) Markvartice u Třebíče (565 m) N49° 11′ 58″ E15° 45′ 58″ | 10 | Langstroth ¾, 10 pcs (448 × 185 mm) in 5–6 supers without thermal insulation |
| Apiary | Period |
|---|---|
| A | 29. VII.–7. IX. 2014 |
| B | 25. VII.–8. VIII. 2014 |
| C | 12. VII.–26. VII. 2014 |
| D | 13. VII.–27. VII. 2014 |
| Parameters (Units) | Group—Type of Feed (n) | t-Test | ||
|---|---|---|---|---|
| Sucrose (35) | Invert Syrup (35) | p-Value | t-Value | |
| Rest of winter reserves (kg) | 10.1 ± 3.7 | 9.9 ± 4.2 | 0.769 | 0.295 |
| Brood area (dm2) | 8.8 ± 5.3 | 9.6 ± 4.4 | 0.489 | 0.696 |
| Brood combs (pcs) | 2.3 ± 0.9 | 2.6 ± 0.7 | 0.138 | 1.501 |
| Position of predominantly occupied super * | 1.8 ± 0.4 | 1.6 ± 0.5 | 0.107 | 1.633 |
| Supers occupied by bees (pcs) | 1.8 ± 0.4 | 1.8 ± 0.4 | 0.564 | 0.580 |
| Occupied frames (pcs) | 6.0 ± 1.7 | 6.6 ± 1.8 | 0.147 | 1.467 |
| Mann-Whitney test | ||||
| p-Value | U-Value | |||
| Winter bee mortality (scale 0–4) | 1.0 [0.5] | 1.0 [1.0] | 0.845 | 580.0 |
| Ability to overwinter (scale 1–10) ** | 7.0 [2.0] | 7.0 [3.0] | 0.344 | 532.5 |
| Parameters (Units) | Group—Type of Feed (n) | t-Test | ||
|---|---|---|---|---|
| Sucrose (35) | Invert (35) | p-Value | t-Value | |
| Occupied frames (pcs) | 16.8 ± 6.2 | 17.7 ± 7.0 | 0.604 | 0.521 |
| Brood combs (pcs) | 7.3 ± 3.2 | 7.6 ± 3.0 | 0.692 | 0.398 |
| Brood area (dm2) | 48.2 ± 19.2 | 52.5 ± 25.2 | 0.442 | 0.773 |
| Increase in brood area (dm2) | 39.5 ± 17.4 | 42.9 ± 18.2 | 0.451 | 0.758 |
| Mann-Whitney test | ||||
| p-Value | U-value | |||
| Swarming (degree) | 0.0 [0.5] | 0.0 [0.5] | 0.943 | 197.5 |
| Parameter (Units) | Type of Feed | Apiary (n1 + n2) | |||
|---|---|---|---|---|---|
| A (15 + 15) | B (10 + 10) | C (5 + 5) | D (5 + 5) | ||
| Occupied frames (pcs) | sucrose | 16.8 ± 1.8 | 13.4 ± 5.8 | 15.3 ± 3.2 | 26.8 ± 10.5 |
| invert | 17.5 ± 1.5 | 13.1 ± 7.2 | 13.0 ± 5.7 | 29.2 ± 5.5 | |
| p-value | 0.281 | 0.922 | 0.526 | 0.693 | |
| t-value | 1.099 | 0.100 | 0.663 | 0.409 | |
| Brood combs (pcs) | sucrose | 7.3 ± 2.0 | 5.9 ± 2.6 | 7.0 ± 2.7 | 11.0 ± 5.9 |
| invert | 7.5 ± 1.8 | 5.8 ± 2.9 | 6.5 ± 2.6 | 13.0 ± 2.4 | |
| p-value | 0.709 | 0.911 | 0.801 | 0.560 | |
| t-value | 0.378 | 0.114 | 0.261 | 0.608 | |
| Brood area (dm2) | sucrose | 45.2 ± 10.5 | 40.3 ± 21.3 | 50.2 ± 14.2 | 77.4 ± 20.9 |
| invert | 48.8 ± 7.8 | 30.6 ± 20.9 | 42.6 ± 23.7 | 97.8 ± 17.0 | |
| p--value | 0.289 | 0.675 | 0.607 | 0.167 | |
| t-value | 1.081 | 0.426 | 0.536 | 1.520 | |
| Increase in brood area (dm2) | sucrose | 34.4 ± 9.5 | 35.5 ± 19.7 | 40.2 ± 13.9 | 66.3 ± 16.3 |
| invert | 37.1 ± 6.7 | 38.6 ± 13.6 | 33.6 ± 18.6 | 80.5 ± 4.6 | |
| p-value | 0.390 | 0.716 | 0.591 | 0.179 | |
| t-value | 0.874 | 0.370 | 0.560 | 1.473 | |
| Swarming (degree) | sucrose | 1.0 [1.0] | 0.0 [0.0] | 0.0 [0.0] | 0.0 [0.0] |
| invert | 0.0 [1.0] | 0.0 [0.0] | 0.0 [0.0] | 0.0 [0.0] | |
| p-value | 0.736 | 0.502 | 0.551 | 1.000 | |
| U-value | 105.0 | 8.0 | 20.0 | 12.0 | |
| Total Hemolymph Protein (µg/µL) | Group—Type of Feed (n) | t-Test | ||
|---|---|---|---|---|
| Sucrose (35) | Invert (35) | p-Value | t-Value | |
| Autumn | 53.0 ± 6.5 | 52.7 ± 4.8 | 0.797 | 0.258 |
| Spring | 11.3 ± 1.3 | 11.6 ± 2.2 | 0.630 | 0.483 |
Disclaimer/Publisher’s Note: The statements, opinions and data contained in all publications are solely those of the individual author(s) and contributor(s) and not of MDPI and/or the editor(s). MDPI and/or the editor(s) disclaim responsibility for any injury to people or property resulting from any ideas, methods, instructions or products referred to in the content. |
© 2023 by the authors. Licensee MDPI, Basel, Switzerland. This article is an open access article distributed under the terms and conditions of the Creative Commons Attribution (CC BY) license (https://creativecommons.org/licenses/by/4.0/).
Share and Cite
Přidal, A.; Musila, J.; Svoboda, J. Condition and Honey Productivity of Honeybee Colonies Depending on Type of Supplemental Feed for Overwintering. Animals 2023, 13, 323. https://doi.org/10.3390/ani13030323
Přidal A, Musila J, Svoboda J. Condition and Honey Productivity of Honeybee Colonies Depending on Type of Supplemental Feed for Overwintering. Animals. 2023; 13(3):323. https://doi.org/10.3390/ani13030323
Chicago/Turabian StylePřidal, Antonín, Jan Musila, and Jiří Svoboda. 2023. "Condition and Honey Productivity of Honeybee Colonies Depending on Type of Supplemental Feed for Overwintering" Animals 13, no. 3: 323. https://doi.org/10.3390/ani13030323
APA StylePřidal, A., Musila, J., & Svoboda, J. (2023). Condition and Honey Productivity of Honeybee Colonies Depending on Type of Supplemental Feed for Overwintering. Animals, 13(3), 323. https://doi.org/10.3390/ani13030323

