Climbing on the La Canna Volcanic Sea Stack to Obtain First-Hand Data on the Tiniest Population of the Critically Endangered Aeolian Wall Lizard Podarcis raffonei
Abstract
Simple Summary
Abstract
1. Introduction
2. Materials and Methods
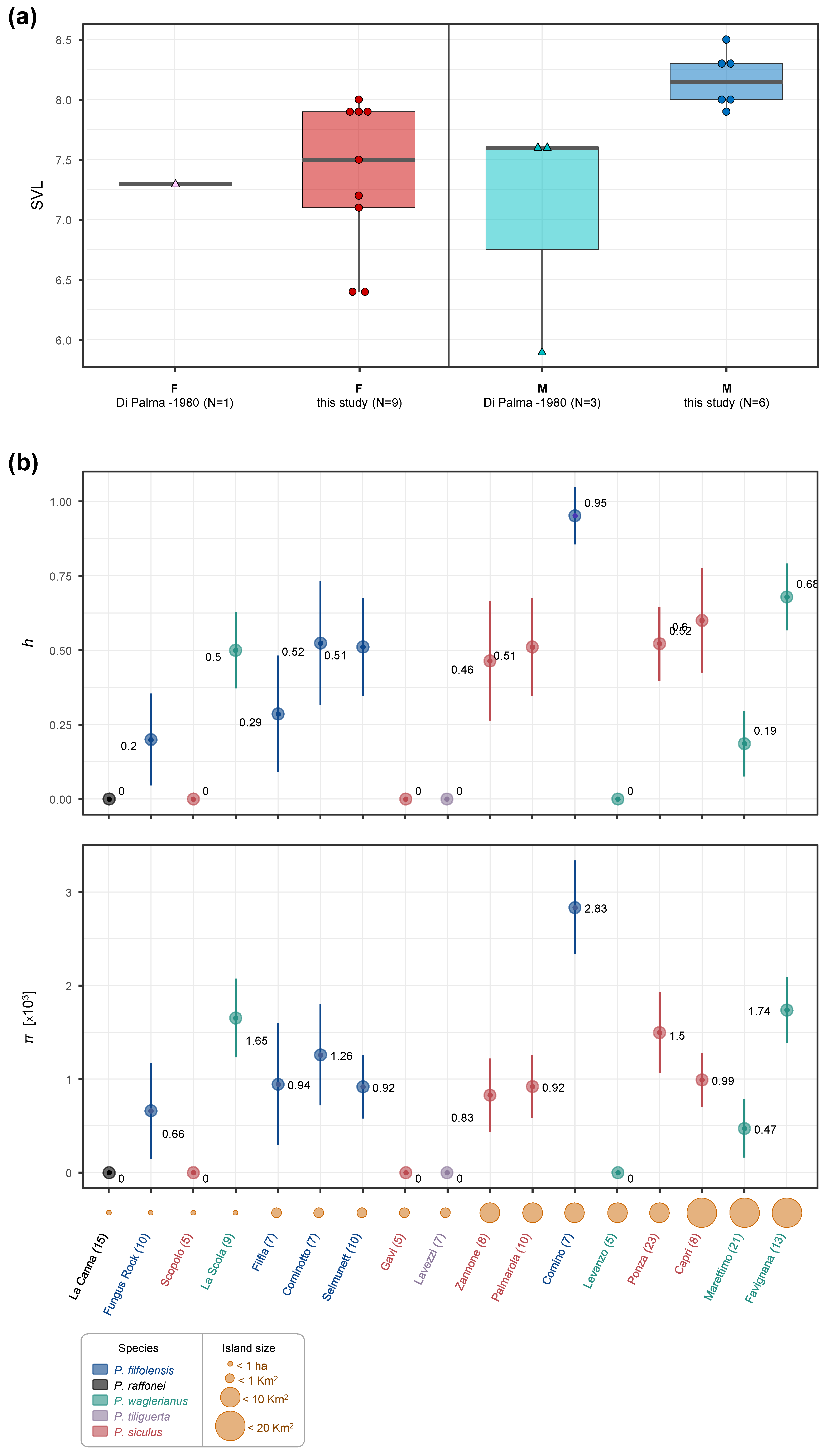
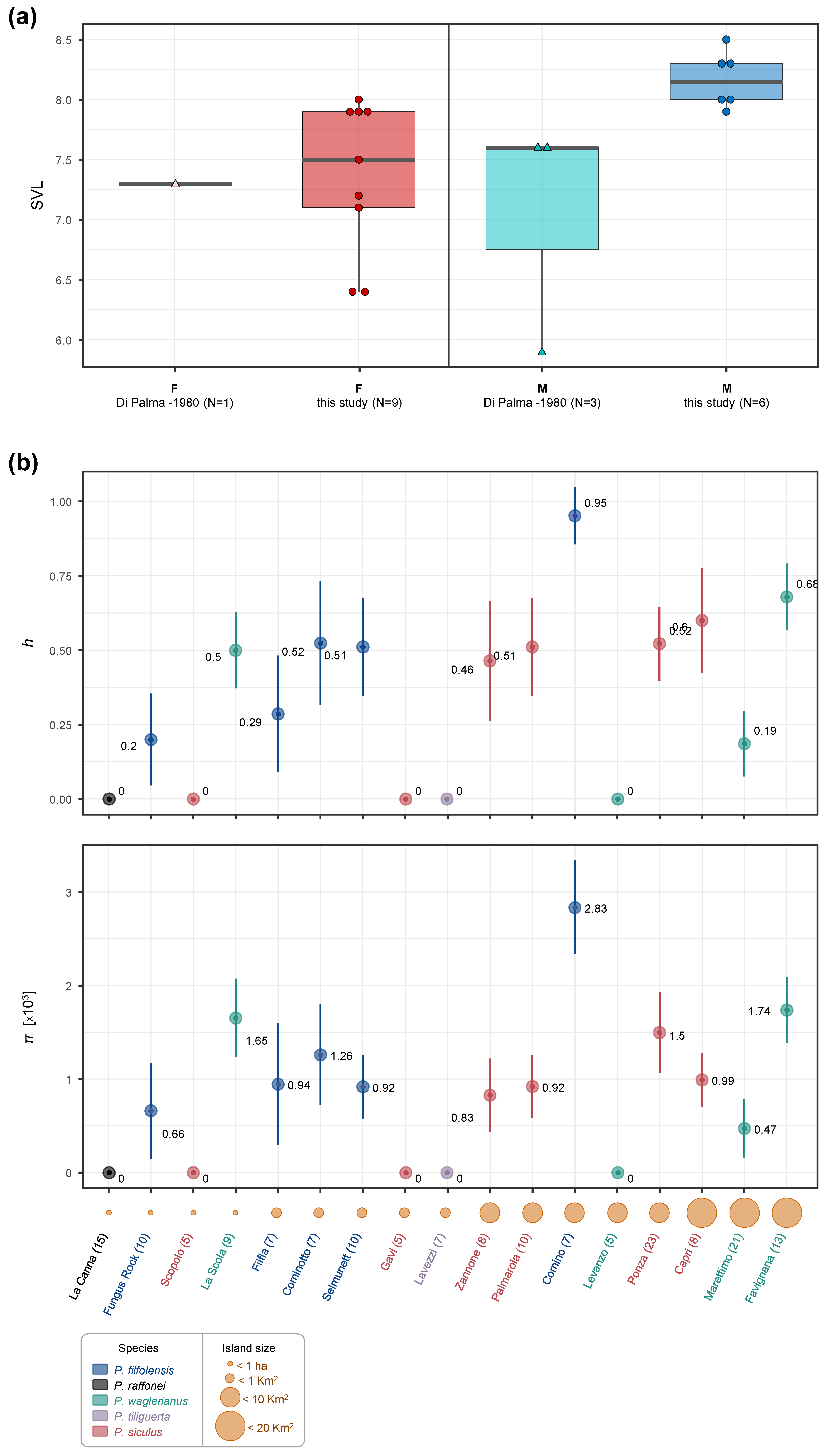
3. Results and Discussion
4. Conclusions
Funding
Institutional Review Board Statement
Data Availability Statement
Acknowledgments
Conflicts of Interest
References
- Capula, M.; Luiselli, L.; Bologna, M.A.; Ceccarelli, A. The decline of the Aeolian wall lizard, Podarcis raffonei: Causes and conservation proposals. Oryx 2002, 36, 66–72. [Google Scholar] [CrossRef]
- Gippoliti, S.; Capula, M.; Ficetola, G.F.; Salvi, D.; Andreone, F. Threatened by Legislative Conservationism? The Case of the Critically Endangered Aeolian Lizard. Front. Ecol. Evol. 2017, 5, 130. [Google Scholar] [CrossRef]
- Ficetola, G.F.; Silva-Rocha, I.; Carretero, M.A.; Vignoli, L.; Sacchi, R.; Melotto, A.; Scali, S.; Salvi, D. Status of the largest extant population of the critically endangered Aeolian lizard Podarcis raffonei (Capo Grosso, Vulcano island). PLoS ONE 2021, 16, e0253631. [Google Scholar] [CrossRef]
- IUCN. Podarcis raffonei. In The IUCN Red List of Threatened Species; IUCN: Gland, Switzerland, 2009. [Google Scholar] [CrossRef]
- Lucchi, F.; Santo, A.P.; Tranne, C.A.; Peccerillo, A.; Keller, J. Volcanism, magmatism, volcano-tectonics and sea-level fluctuations in the geological history of Filicudi (western Aeolian archipelago). In The Aeolian Islands Volcanoes; Geological Society Memoirs n. 37; Lucchi, F., Peccerillo, A., Keller, J., Tranne, C.A., Rossi, P.L., Eds.; Geological Society: London, UK, 2013; pp. 113–153. [Google Scholar]
- Bettineschi, L.; Jacchini, F.; Jacchini, C.; Pala, M.; Pironi, L. Cinque guide di Macugnaga sopra “La Canna” di Filicudi nelle Isole Eolie. Riv. Mens. CAI 1973, 94, 797–798. [Google Scholar]
- La Greca, G. Scalare col mare attorno: La Canna di Filicudi. In In Alto—Cronaca della Società Alpina Friulana; serie V, 101; Litostil s.a.s.: Udine, Italy, 2021; pp. 139–143. [Google Scholar]
- Di Palma, M.G. La lucertola del faraglione “La Canna” nelle Isole Eolie: Podarcis sicula cucchiarai subsp. nova (Reptilia, Lacertidae). Nat. Sicil. 1980, 4, 3–12. [Google Scholar]
- Capula, M. Genetic variation and differentiation in the lizard, Podarcis wagleriana (Reptilia: Lacertidae). Biol. J. Linn. Soc. 1994, 52, 177–196. [Google Scholar] [CrossRef]
- Lo Cascio, P.; Grita, F.; Guarino, L.; Speciale, C. A little is better than none: New insights into the natural history of the Aeolian wall lizard Podarcis raffonei from La Canna stack (Squamata Sauria). Nat. Sicil. 2014, 38, 355–366. [Google Scholar]
- Capula, M. Ricerche sulla Struttura Genetica di Podarcis sicula, P. wagleriana e P. filfolensis (Reptilia: Lacertidae): Aspetti Tassonomici ed Evolutivi. Ph.D. Thesis, Università di Bologna, Bologna, Italy, 1990. [Google Scholar]
- Gabrielli, M.; Benazzo, A.; Biello, R.; Ancona, L.; Fuselli, S.; Iannucci, A.; Balacco, J.; Mountcastle, J.; Tracey, A.; Ficetola, G.F.; et al. A high-quality reference genome for the critically endangered Aeolian wall lizard, Podarcis raffonei. J. Hered. 2023, 114, esad014. [Google Scholar] [CrossRef]
- Kaliontzopoulou, A.; Carretero, M.A.; Llorente, G.A. Head shape allometry and proximate causes of head sexual dimorphism in Podarcis lizards: Joining linear and geometric morphometrics. Biol. J. Linn. Soc. 2008, 93, 111–124. [Google Scholar] [CrossRef]
- Piras, P.; Salvi, D.; Ferrara, G.; Maiorino, L.; Delfno, M.; Pedde, L.; Kotsakis, T. The role of post-natal ontogeny in the evolution of phenotypic diversity in Podarcis lizards. J. Evol. Biol. 2011, 24, 2705–2720. [Google Scholar] [CrossRef] [PubMed]
- Sambrook, J.; Fritsch, E.F.; Maniatis, T. Molecular Cloning: A Laboratory Manual, 2nd ed.; Cold Spring Harbor Press: New York, NY, USA, 1989. [Google Scholar]
- Salvi, D.; Harris, D.J.; Bombi, P.; Carretero, M.A.; Bologna, M.A. Mitochondrial phylogeography of the Bedriaga’s rock lizard, Archaeolacerta bedriagae (Reptilia: Lacertidae) endemic to Corsica and Sardinia. Mol. Phylogenet. Evol. 2010, 56, 690–697. [Google Scholar] [CrossRef] [PubMed]
- Salvi, D.; Harris, D.J.; Perera, A.; Bologna, M.A.; Carretero, M.A. Preliminary survey on genetic variation within the pygmy algyroides, Algyroides fitzingeri, across Corsica and Sardinia. Amphibia-Reptilia 2011, 32, 281–286. [Google Scholar]
- Mendes, J.; Harris, D.J.; Carranza, S.; Salvi, D. Evaluating the phylogenetic signal limit from mitogenomes, slow evolving nuclear genes, and the concatenated approach. New insights into the Lacertini radiation using fast evolving nuclear genes and species trees. Mol. Phylogenet. Evol. 2016, 100, 254–267. [Google Scholar] [CrossRef]
- Mendes, J.; Harris, D.J.; Carranza, S.; Salvi, D. Biogeographical crossroad at the Pillars of Hercules: Evolutionary history of Psammodromus lizards in space and time. J. Biogeogr. 2017, 44, 2877–2890. [Google Scholar] [CrossRef]
- Senczuk, G.; Harris, D.J.; Castiglia, R.; Litsi Mizan, V.; Colangelo, P.; Canestrelli, D.; Salvi, D. Evolutionary and demographic correlates of Pleistocene coastline changes in the Sicilian wall lizard Podarcis wagleriana. J. Biogeogr. 2019, 46, 224–237. [Google Scholar] [CrossRef]
- Arévalo, E.; Davis, S.K.; Sites, J.W.J. Mitochondrial DNA sequence divergence and phylogenetic relationships among eight chromosome races of the Sceloporus grammicus complex (Phrynosomatidae) in Central Mexico. Syst. Biol. 1994, 43, 387–418. [Google Scholar] [CrossRef]
- Katoh, K.; Standley, D.M. MAFFT multiple sequence alignment software version 7: Improvements in performance and usability. Mol. Biol. Evol. 2013, 30, 772–780. [Google Scholar] [CrossRef]
- Kumar, S.; Stecher, G.; Tamura, K. MEGA7: Molecular Evolutionary Genetics Analysis version 7.0 for bigger datasets. Mol. Biol. Evol. 2016, 33, 1870–1874. [Google Scholar] [CrossRef]
- Librado, P.; Rozas, J. DnaSP v5. a software for comprehensive analysis of DNA polymorphism data. Bioinformatics 2009, 25, 1451–1452. [Google Scholar] [CrossRef]
- Salvi, D.; Schembri, P.J.; Sciberras, A.; Harris, D.J. Evolutionary history of the Maltese wall lizard Podarcis filfolensis: Insights on the ‘Expansion-Contraction’ model of the Pleistocene biogeography. Mol. Ecol. 2014, 23, 1167–1187. [Google Scholar] [CrossRef]
- Salvi, D.; Pinho, C.; Harris, D.J. Digging up the roots of an insular hotspot of genetic diversity: Decoupled mito-nuclear histories in the evolution of the Corsican Sardinian endemic lizard Podarcis tiliguerta. BMC Evol. Biol. 2017, 17, 63. [Google Scholar] [CrossRef] [PubMed]
- Senczuk, G.; Havenstein, K.; Milana, V.; Ripa, C.; De Simone, E.; Tiedemann, R.; Castiglia, R. Spotlight on islands: On the origin and diversification of an ancient lineage of the Italian wall lizard Podarcis siculus in the western Pontine Islands. Sci. Rep. 2018, 8, 15111. [Google Scholar] [CrossRef] [PubMed]
- Senczuk, G.; Castiglia, R.; Colangelo, P.; Delaugerre, M.; Corti, C. The role of island physiography in maintaining genetic diversity in the endemic Tyrrhenian wall lizard (Podarcis tiliguerta). J. Zool. 2019, 309, 140–151. [Google Scholar] [CrossRef]
- Buglione, M.; Petrelli, S.; Maselli, V.; Trapanese, M.; Salvemini, M.; Aceto, S.; Di Cosmo, A.; Fulgione, D. Fixation of genetic variation and optimization of gene expression: The speed of evolution in isolated lizard populations undergoing Reverse Island Syndrome. PLoS ONE 2019, 14, e0224607. [Google Scholar] [CrossRef] [PubMed]
- Goodall-Copestake, W.P.; Tarling, G.A.; Murphy, E.J. On the comparison of population-level estimates of haplotype and nucleotide diversity: A case study using the gene cox1 in animals. Heredity 2012, 109, 50–56. [Google Scholar] [CrossRef]
- Wickham, H. ggplot2. In Wiley Interdisciplinary Reviews: Computational Statistics 3.2; John Wiley & Sons: Hoboken, NJ, USA, 2011; pp. 180–185. [Google Scholar]
- R Core Team. R: A Language and Environment for Statistical Computing; R Foundation for Statistical Computing: Vienna, Austria, 2022. [Google Scholar]
- Lanza, B. Gli Anfibi e i Rettili delle isole circumsiciliane. Lav. Soc. Ital. Biogeogr. 1973, 3, 755–804. [Google Scholar] [CrossRef]
- Cucchiara, S. La seconda scalata alla “Canna” di Filicudi. Scarpone 1975, 16, 6. [Google Scholar]
- Cooper, W.E., Jr. Effect of temperature on escape behaviour by an ectothermic vertebrate, the keeled earless lizard (Holbrookia propinqua). Behaviour 2000, 137, 1299–1315. [Google Scholar] [CrossRef]
- Pafilis, P.; Meiri, S.; Foufopoulos, J.; Valakos, E. Intraspecific competition and high food availability are associated with insular gigantism in a lizard. Naturwissenschaften 2009, 96, 1107–1113. [Google Scholar] [CrossRef]
- Vervust, B.; Van Dongen, S.; Grbac, I.; Van Damme, R. The mystery of the missing toes: Extreme levels of natural mutilation in island lizard populations. Funct. Ecol. 2009, 23, 996–1003. [Google Scholar] [CrossRef]
- Raia, P.; Guarino, F.M.; Turano, M.; Polese, G.; Rippa, D.; Carotenuto, F.; Monti, D.M.; Cardi, M.; Fulgione, D. The blue lizard spandrel and the island syndrome. BMC Evol. Biol. 2010, 10, 289. [Google Scholar] [CrossRef] [PubMed]
- Brock, K.M.; Bednekoff, P.A.; Pafilis, P.; Foufopoulos, J. Evolution of antipredator behavior in an island lizard species, Podarcis erhardii (Reptilia: Lacertidae): The sum of all fears? Evolution 2014, 69, 216–231. [Google Scholar] [CrossRef] [PubMed]
- Donihue, C.M.; Brock, K.M.; Foufopoulos, J.; Herrel, A. Feed or fight: Testing the impact of food availability and intraspecific aggression on the functional ecology of an island lizard. Funct. Ecol. 2016, 30, 566–575. [Google Scholar] [CrossRef]
- Capula, M.; Lo Cascio, P. Podarcis raffonei (Mertens, 1953). In Atlas of Italian Amphibians and Reptile; Sindaco, R., Doria, G., Razzetti, E., Bernini, F., Eds.; Polistampa: Florence, Italy, 2006; pp. 480–485. [Google Scholar]
- Dubos, N.; Porcel, X.; Roesch, M.A.; Claudin, J.; Pinel, R.; Probs, J.-M.; Deso, G. A bird’s-eye view: Evaluating drone imagery for the detection and monitoring of endangered and invasive day gecko species. Biotropica 2023, 1–9. [Google Scholar] [CrossRef]
- Capula, M.; Lo Cascio, P. Podarcis raffonei (Mertens, 1952). In Fauna d’Italia, Reptilia; Corti, C., Capula, M., Luiselli, L., Razzetti, E., Sindaco, R., Eds.; Calderini: Bologna, Italy, 2011; pp. 401–407. [Google Scholar]
- Salvi, D.; Pinho, C.; Mendes, J.; Harris, D.J. Fossil-calibrated time tree of Podarcis wall lizards provides limited support for biogeographic calibration models. Mol. Phylogenet. Evol. 2021, 161, 107169. [Google Scholar] [CrossRef]
- Salvi, D.; Harris, D.J.; Kaliontzopoulou, A.; Carretero, M.A.; Pinho, C. Persistence across Pleistocene ice ages in Mediterranean and extra-Mediterranean refugia: Phylogeographic insights from the common wall lizard. BMC Evol. Biol. 2013, 13, 147. [Google Scholar] [CrossRef]
- Capula, M. Low genetic variation in a critically endangered Mediterranean lizard: Conservation concerns for Podarcis raffonei (Reptilia, Lacertidae). Ital. J. Zool. 2004, 71 (Suppl. S1), 161–166. [Google Scholar] [CrossRef]
- Yang, W.; Feiner, N.; Pinho, C.; Kaliontzopoulou, A.; While, G.M.; Harris, D.J.; Salvi, D.; Uller, T. Extensive introgression and mosaic genomes of endemic Mediterranean lizards. Nat. Commun. 2021, 12, 2762–2768. [Google Scholar] [CrossRef]
- Lindsay, W.R.; Madsen, T.; Wapstra, E.; Lillie, M.; Loeb, L.; Ujvari, B.; Olsson, M. Long term effects of outbreeding: Experimental founding of island population eliminates malformations and improves hatching success in sand lizards. Biol. Conserv. 2020, 249, 108710. [Google Scholar] [CrossRef]
- Sarre, S.; Dearn, J.M. Morphological variation and fluctuating asymmetry among insular populations of the sleepy lizard, Trachydosaurus-Rugosus Gray (Squamata, Scincidae). Aust. J. Zool. 1991, 39, 91–104. [Google Scholar] [CrossRef]
- Olsson, M.; Gullberg, A.; Tegelström, H. Malformed offspring, sibling matings, and selection against inbreeding in the sand lizard (Lacerta agilis). Evol. Biol. 1996, 9, 229–242. [Google Scholar] [CrossRef]
- Abramjan, A.; Frýdlová, P.; Jančúchová-Lásková, J.; Suchomelová., P.; Landová, E.; Yavruyan, E.; Frynta, D. Comparing developmental stability in unisexual and bisexual rock lizards of the genus Darevskia. Evol. Dev. 2019, 21, 175–187. [Google Scholar] [CrossRef] [PubMed]
- Palmer, A.R.; Strobeck, C. Fluctuating asymmetry: Measurements, analysis, patterns. Annu. Rev. Ecol. Syst. 1986, 17, 391–421. [Google Scholar] [CrossRef]
- Leary, R.F.; Allendorf, F.W. Fluctuating asymmetry as an indicator of stress: Implications for conservation biology. Trends Ecol. Evol. 1989, 4, 1256–1259. [Google Scholar] [CrossRef]
- Paredes, U.; Radersma, R.; Cannell, N.; While, G.M.; Uller, T. Low incubation temperature induces DNA hypomethylation in lizard brains. J. Exp. Zool. 2016, 325A, 390–395. [Google Scholar] [CrossRef]
- Brown, G.P.; Madsen, T.; Dubey, S.; Shine, R. The causes and ecological correlates of head scale asymmetry and fragmentation in a tropical snake. Sci. Rep. 2017, 7, 11363. [Google Scholar] [CrossRef]
- Idrisova, L.A. The effect of incubation temperature on deviations of pholidosis and malformations in grass snake Natrix natrix (L. 1758) and sand lizard Lacerta agilis (L. 1758). KnE Life Sci. 2018, 70–74. [Google Scholar] [CrossRef]



Disclaimer/Publisher’s Note: The statements, opinions and data contained in all publications are solely those of the individual author(s) and contributor(s) and not of MDPI and/or the editor(s). MDPI and/or the editor(s) disclaim responsibility for any injury to people or property resulting from any ideas, methods, instructions or products referred to in the content. |
© 2023 by the author. Licensee MDPI, Basel, Switzerland. This article is an open access article distributed under the terms and conditions of the Creative Commons Attribution (CC BY) license (https://creativecommons.org/licenses/by/4.0/).
Share and Cite
Salvi, D. Climbing on the La Canna Volcanic Sea Stack to Obtain First-Hand Data on the Tiniest Population of the Critically Endangered Aeolian Wall Lizard Podarcis raffonei. Animals 2023, 13, 2289. https://doi.org/10.3390/ani13142289
Salvi D. Climbing on the La Canna Volcanic Sea Stack to Obtain First-Hand Data on the Tiniest Population of the Critically Endangered Aeolian Wall Lizard Podarcis raffonei. Animals. 2023; 13(14):2289. https://doi.org/10.3390/ani13142289
Chicago/Turabian StyleSalvi, Daniele. 2023. "Climbing on the La Canna Volcanic Sea Stack to Obtain First-Hand Data on the Tiniest Population of the Critically Endangered Aeolian Wall Lizard Podarcis raffonei" Animals 13, no. 14: 2289. https://doi.org/10.3390/ani13142289
APA StyleSalvi, D. (2023). Climbing on the La Canna Volcanic Sea Stack to Obtain First-Hand Data on the Tiniest Population of the Critically Endangered Aeolian Wall Lizard Podarcis raffonei. Animals, 13(14), 2289. https://doi.org/10.3390/ani13142289

