Longitudinal Changes of the Ruminal Microbiota in Angus Beef Steers
Abstract
:Simple Summary
Abstract
1. Introduction
2. Materials and Methods
2.1. The Animals Used in the Study
2.2. Collection and Processing of Samples
2.3. DNA Sequencing and Bioinformatics
2.4. Data Availability and Statistical Analysis
3. Results
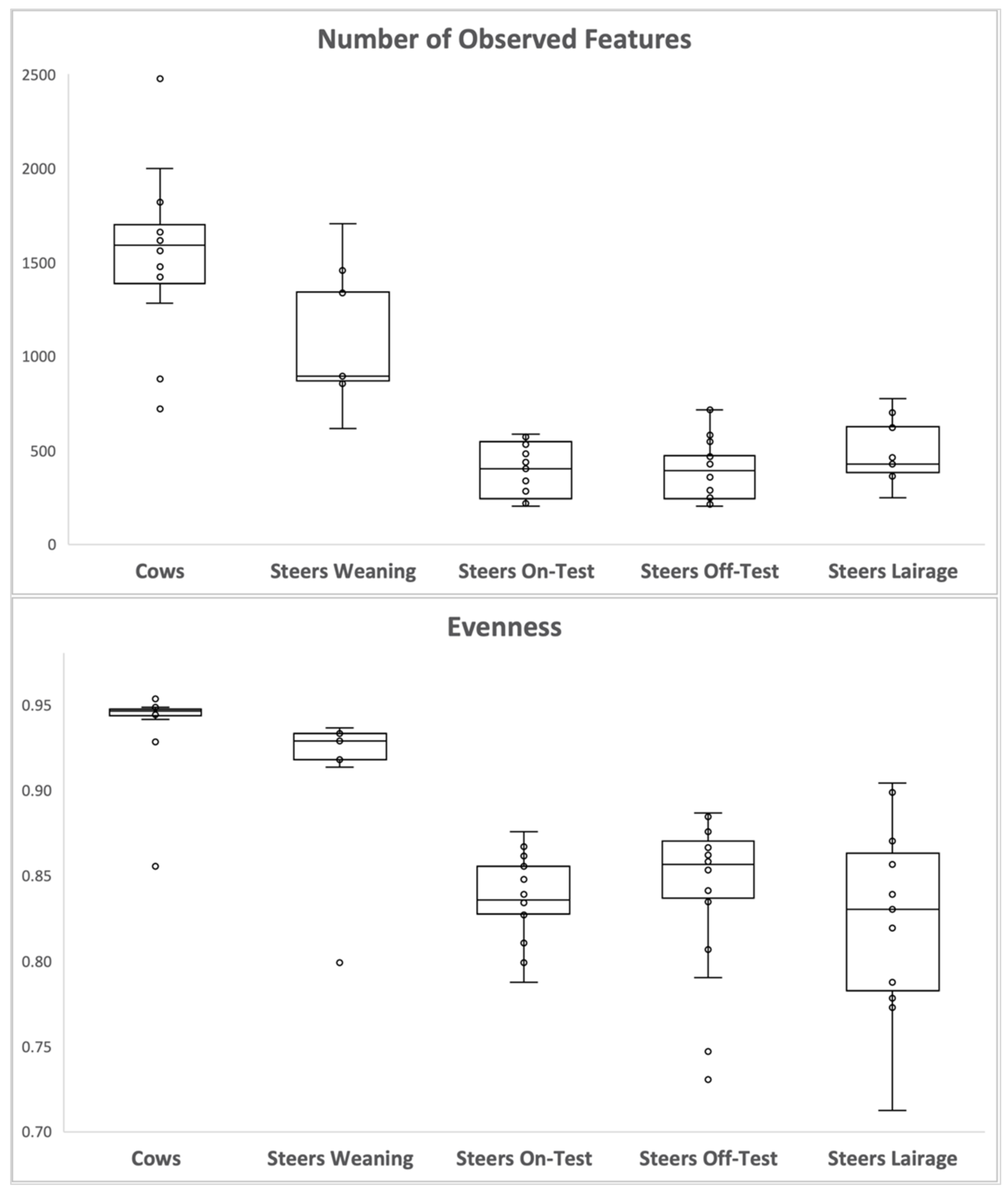
3.1. Microbial Richness, Evenness, and Diversity
3.2. Specific Microbial Taxa
3.3. Expressed Metabolic Pathways
4. Discussion
5. Conclusions
Supplementary Materials
Author Contributions
Funding
Institutional Review Board Statement
Informed Consent Statement
Data Availability Statement
Acknowledgments
Conflicts of Interest
References
- Hungate, R.E. The Rumen and Its Microbes; Academic Press: New York, NY, USA, 1966. [Google Scholar]
- Anderson, K.L.; Nagaraja, T.G.; Morrill, J.L.; Avery, T.B.; Galitzer, S.J.; Boyer, J.E. Ruminal microbial development in conventionally or early-weaned calves. J. Anim. Sci. 1987, 64, 1215–1226. [Google Scholar] [CrossRef] [PubMed] [Green Version]
- Uyeno, Y.; Sekiguchi, Y.; Kamagata, Y. rRNA-based analysis to monitor succession of faecal bacterial communities in Holstein calves. Lett. Appl. Microbiol. 2010, 51, 570–577. [Google Scholar] [CrossRef] [PubMed]
- Malmuthuge, N.; Griebel, P.J.; Guan, L.L. The Gut Microbiome and Its Potential Role in the Development and Function of Newborn Calf Gastrointestinal Tract. Front. Vet. Sci. 2015, 2, 36. [Google Scholar] [CrossRef] [PubMed] [Green Version]
- Barden, M.; Richards-Rios, P.; Ganda, E.; Lenzi, L.; Eccles, R.; Neary, J.; Oultram, J.; Oikonomou, G. Maternal influences on oral and faecal microbiota maturation in neonatal calves in beef and dairy production systems. Anim. Microbiome 2020, 2, 31. [Google Scholar] [CrossRef] [PubMed]
- Russell, J.B. Rumen Microbiology and Its Role in Ruminant Nutrition; Department of Microbiology, Cornell University: Ithaca, NY, USA, 2002; p. 120. [Google Scholar]
- Lohakare, J.D.; Südekum, K.H.; Pattanaik, A.K. Nutrition-induced Changes of Growth from Birth to First Calving and Its Impact on Mammary Development and First-lactation Milk Yield in Dairy Heifers: A Review. Asian-Australas. J. Anim. Sci. 2012, 25, 1338–1350. [Google Scholar] [CrossRef] [Green Version]
- Coverdale, J.A.; Tyler, H.D.; Quigley, J.D., III; Brumm, J.A. Effect of Various Levels of Forage and Form of Diet on Rumen Development and Growth in Calves. J. Dairy Sci. 2004, 87, 2554–2562. [Google Scholar] [CrossRef] [Green Version]
- Khan, M.A.; Weary, D.M.; von Keyserlingk, M.A.G. Hay intake improves performance and rumen development of calves fed higher quantities of milk. J. Dairy Sci. 2011, 94, 3547–3553. [Google Scholar] [CrossRef] [Green Version]
- Detweiler, R.A.; Pringle, T.D.; Rekaya, R.; Wells, J.B.; Segers, J.R. The impact of selection using residual average daily gain and marbling EPDs on growth, performance, and carcass traits in Angus steers1. J. Anim. Sci. 2019, 97, 2450–2459. [Google Scholar] [CrossRef]
- Krause, T.; Lourenco, J.; Welch, C.B.; Rothrock, M.J.; Callaway, T.; Pringle, T.D. The relationship between the rumen microbiome and carcass merit in Angus steers. J. Anim. Sci. 2020, 98, skaa287. [Google Scholar] [CrossRef]
- Lourenco, J.; Callaway, T.; Kieran, T.; Glenn, T.; McCann, J.C.; Stewart, R.L.J. Analysis of the Rumen Microbiota of Beef Calves Supplemented During the Suckling Phase. Front. Microbiol. 2019, 10, 1131. [Google Scholar] [CrossRef] [Green Version]
- Lourenco, J.M.; Kieran, T.J.; Seidel, D.S.; Glenn, T.C.; Silveira, M.F.D.; Callaway, T.R.; Stewart, R.L., Jr. Comparison of the ruminal and fecal microbiotas in beef calves supplemented or not with concentrate. PLoS ONE 2020, 15, e0231533. [Google Scholar] [CrossRef] [PubMed]
- Lourenco, J.M.; Hampton, R.S.; Johnson, H.M.; Callaway, T.R.; Rothrock, M.J.J.; Azain, M.J. The Effects of Feeding Antibiotic on the Intestinal Microbiota of Weanling Pigs. Front. Vet. Sci. 2021, 8, 131. [Google Scholar] [CrossRef] [PubMed]
- Klindworth, A.; Pruesse, E.; Schweer, T.; Peplies, J.; Quast, C.; Horn, M.; Glöckner, F.O. Evaluation of general 16S ribosomal RNA gene PCR primers for classical and next-generation sequencing-based diversity studies. Nucleic Acids Res. 2013, 41, e1. [Google Scholar] [CrossRef]
- Callahan, B.J.; Mcmurdie, P.J.; Rosen, M.J.; Han, A.W.; Johnson, A.J.A.; Holmes, S.P. DADA2: High-resolution sample inference from Illumina amplicon data. Nat. Methods 2016, 13, 581–583. [Google Scholar] [CrossRef] [Green Version]
- Quast, C.; Pruesse, E.; Yilmaz, P.; Gerken, J.; Schweer, T.; Yarza, P.; Peplies, J.; Glöckner, F.O. The SILVA ribosomal RNA gene database project: Improved data processing and web-based tools. Nucleic Acids Res. 2013, 41, D590–D596. [Google Scholar] [CrossRef] [PubMed]
- Pedregosa, F.; Varoquaux, G.; Gramfort, A.; Michel, V.; Thirion, B.; Grisel, O.; Blondel, M.; Prettenhofer, P.; Weiss, R.; Dubourg, V.; et al. Scikit-learn: Machine Learning in Python. J. Mach. Learn. Res. 2011, 12, 2825–2830. [Google Scholar]
- Bolyen, E.; Rideout, J.R.; Dillon, M.R.; Bokulich, N.A.; Abnet, C.C.; Al-Ghalith, G.A.; Alexander, H.; Alm, E.J.; Arumugam, M.; Asnicar, F.; et al. Reproducible, interactive, scalable and extensible microbiome data science using QIIME 2. Nat. Biotechnol. 2019, 37, 852–857. [Google Scholar] [CrossRef]
- Douglas, G.M.; Maffei, V.J.; Zaneveld, J.R.; Yurgel, S.N.; Brown, J.R.; Taylor, C.M.; Huttenhower, C.; Langille, M.G. PICRUSt2 for prediction of metagenome functions. Nat. Biotechnol. 2020, 38, 685–688. [Google Scholar] [CrossRef]
- Caspi, R.; Billington, R.; Keseler, I.M.; Kothari, A.; Krummenacker, M.; Midford, P.E.; Ong, W.K.; Paley, S.; Subhraveti, P.; Karp, P.D. The MetaCyc database of metabolic pathways and enzymes-a 2019 update. Nucleic Acids Res. 2019, 48, D445–D453. [Google Scholar] [CrossRef] [Green Version]
- Meyer, F.; Paarmann, D.; D’Souza, M.; Olson, R.; Glass, E.M.; Kubal, M.; Paczian, T.; Rodriguez, A.; Stevens, R.; Wilke, A.; et al. The metagenomics RAST server—A public resource for the automatic phylogenetic and functional analysis of metagenomes. BMC Bioinform. 2008, 9, 386. [Google Scholar] [CrossRef] [Green Version]
- Lima, S.F.; Bicalho, M.L.D.S.; Bicalho, R.C. The Bos taurus maternal microbiome: Role in determining the progeny early-life upper respiratory tract microbiome and health. PLoS ONE 2019, 14, e0208014. [Google Scholar] [CrossRef] [PubMed]
- Hall, H.N.; Wilkinson, D.J.; le Bon, M. Oregano essential oil improves piglet health and performance through maternal feeding and is associated with changes in the gut microbiota. Anim. Microbiome 2021, 3, 2. [Google Scholar] [CrossRef] [PubMed]
- Clemmons, B.A.; Voy, B.H.; Myer, P.R. Altering the Gut Microbiome of Cattle: Considerations of Host-Microbiome Interactions for Persistent Microbiome Manipulation. Microb. Ecol. 2019, 77, 523–536. [Google Scholar] [CrossRef] [PubMed]
- Wang, L.; Li, Y.; Zhang, Y.; Wang, L. The Effects of Different Concentrate-to-Forage Ratio Diets on Rumen Bacterial Microbiota and the Structures of Holstein Cows during the Feeding Cycle. Animals 2020, 10, 957. [Google Scholar] [CrossRef] [PubMed]
- Welch, C.B.; Lourenco, J.M.; Krause, T.R.; Seidel, D.S.; Fluharty, F.L.; Pringle, T.D.; Callaway, T.R. Evaluation of the Fecal Bacterial Communities of Angus Steers with Divergent Feed Efficiencies Across the Lifespan From Weaning to Slaughter. Front. Vet. Sci. 2021, 8, 597405. [Google Scholar] [CrossRef]
- Kumar, S.; Indugu, N.; Vecchiarelli, B.; Pitta, D.W. Associative patterns among anaerobic fungi, methanogenic archaea, and bacterial communities in response to changes in diet and age in the rumen of dairy cows. Front. Microbiol. 2015, 6, 781. [Google Scholar] [CrossRef] [Green Version]
- Zhang, J.; Shi, H.; Wang, Y.; Li, S.; Cao, Z.; Ji, S.; He, Y.; Zhang, H. Effect of Dietary Forage to Concentrate Ratios on Dynamic Profile Changes and Interactions of Ruminal Microbiota and Metabolites in Holstein Heifers. Front. Microbiol. 2017, 8, 2206. [Google Scholar] [CrossRef] [Green Version]
- Pitta, D.W.; Kumar, S.; Vecchiarelli, B.; Shirley, D.J.; Bittinger, K.; Baker, L.D.; Ferguson, J.D.; Thomsen, N. Temporal dynamics in the ruminal microbiome of dairy cows during the transition period. J. Anim. Sci. 2014, 92, 4014–4022. [Google Scholar] [CrossRef]





| Item | Cows | Steers Weaning | Steers On-Test | Steers Off-Test | Steers Lairage | Contrast 1 | Contrast 2 | Contrast 3 | Contrast 4 |
|---|---|---|---|---|---|---|---|---|---|
| Obs. Features | 1545 | 1106 | 395 | 393 | 489 | 0.03 | <0.001 | 0.96 | 0.12 |
| Shannon Index | 9.9 | 9.2 | 7.1 | 7.2 | 7.3 | 0.03 | <0.001 | 0.83 | 0.64 |
| Faith’s PD | 84.3 | 66.3 | 37.8 | 40.1 | 45.4 | 0.001 | <0.001 | 0.32 | 0.06 |
| Evenness | 0.937 | 0.912 | 0.837 | 0.843 | 0.824 | 0.12 | <0.001 | 0.59 | 0.32 |
| Item | Cows | Steers Weaning | Steers On-Test | Steers Off-Test | Steers Lairage | Contrast 1 | Contrast 2 | Contrast 3 | Contrast 4 |
|---|---|---|---|---|---|---|---|---|---|
| Arginine, ornithine, and proline interconversion | 100% | 117.1 | 68.8 | 76.1 | 49.8 | 0.13 | <0.01 | 0.56 | 0.06 |
| L-arginine biosynthesis I (via L-ornithine) | 100% | 99.9 | 89.9 | 88.8 | 87.8 | 0.92 | <0.01 | 0.72 | 0.78 |
| L-arginine biosynthesis II (acetyl cycle) | 100% | 97.6 | 82.4 | 83.1 | 79.5 | 0.30 | <0.01 | 0.87 | 0.48 |
| L-aspartate and L-asparagine biosynthesis | 100% | 102.6 | 123.6 | 120.1 | 113.4 | 0.40 | <0.01 | 0.34 | 0.15 |
| Pyruvate fermentation to butanoate | 100% | 93.7 | 55.5 | 62.5 | 76.0 | 0.51 | <0.01 | 0.42 | 0.20 |
| Tetrahydrofolate biosynthesis and salvage | 100% | 99.1 | 109.5 | 109.5 | 108.2 | 0.46 | <0.01 | 0.98 | 0.70 |
| Gluconeogenesis I | 100% | 101.1 | 110.0 | 110.3 | 108.6 | 0.40 | <0.01 | 0.84 | 0.42 |
| β-D-glucuronosides degradation | 100% | 101.0 | 125.7 | 113.9 | 106.9 | 0.89 | 0.03 | 0.20 | 0.51 |
| L-histidine degradation I | 100% | 83.0 | 125.4 | 132.9 | 137.8 | 0.03 | <0.01 | 0.42 | 0.70 |
| Methanogenesis from H2 and CO2 | 100% | 125.1 | 54.1 | 67.4 | 64.1 | 0.39 | 0.02 | 0.47 | 0.89 |
| Methylerythritol phosphate pathway I | 100% | 101.8 | 108.5 | 108.3 | 104.8 | 0.16 | <0.01 | 0.96 | 0.19 |
| O-antigen building blocks biosynthesis | 100% | 99.9 | 85.0 | 90.3 | 82.4 | 0.98 | <0.01 | 0.21 | 0.16 |
| L-lysine fermentation to acetate and butanoate | 100% | 127.6 | 41.0 | 49.8 | 49.3 | 0.17 | <0.01 | 0.36 | 0.97 |
| Cob(II)yrinate a,c-diamide biosynthesis I | 100% | 103.9 | 43.8 | 46.7 | 68.9 | 0.60 | <0.01 | 0.78 | 0.15 |
| Methylerythritol phosphate pathway II | 100% | 101.8 | 108.5 | 108.3 | 104.8 | 0.16 | <0.01 | 0.96 | 0.19 |
| Phosphatidylglycerol biosynthesis I | 100% | 101.7 | 94.0 | 95.0 | 88.4 | 0.26 | <0.01 | 0.71 | 0.10 |
| Phosphatidylglycerol biosynthesis II | 100% | 101.7 | 94.0 | 95.0 | 88.4 | 0.26 | <0.01 | 0.71 | 0.10 |
| NAD salvage pathway I | 100% | 101.6 | 110.9 | 109.3 | 105.6 | 0.40 | <0.01 | 0.56 | 0.26 |
| UDP-N-acetyl-D-glucosamine biosynthesis I | 100% | 98.4 | 76.0 | 83.9 | 73.3 | 0.66 | <0.01 | 0.24 | 0.23 |
| Average Expression | 100% | 103.1 | 89.8 | 92.2 | 89.4 | - | - | - | - |
Publisher’s Note: MDPI stays neutral with regard to jurisdictional claims in published maps and institutional affiliations. |
© 2022 by the authors. Licensee MDPI, Basel, Switzerland. This article is an open access article distributed under the terms and conditions of the Creative Commons Attribution (CC BY) license (https://creativecommons.org/licenses/by/4.0/).
Share and Cite
Lourenco, J.M.; Krause, T.R.; Welch, C.B.; Callaway, T.R.; Pringle, T.D. Longitudinal Changes of the Ruminal Microbiota in Angus Beef Steers. Animals 2022, 12, 1066. https://doi.org/10.3390/ani12091066
Lourenco JM, Krause TR, Welch CB, Callaway TR, Pringle TD. Longitudinal Changes of the Ruminal Microbiota in Angus Beef Steers. Animals. 2022; 12(9):1066. https://doi.org/10.3390/ani12091066
Chicago/Turabian StyleLourenco, Jeferson M., Taylor R. Krause, Christina B. Welch, Todd R. Callaway, and T. Dean Pringle. 2022. "Longitudinal Changes of the Ruminal Microbiota in Angus Beef Steers" Animals 12, no. 9: 1066. https://doi.org/10.3390/ani12091066
APA StyleLourenco, J. M., Krause, T. R., Welch, C. B., Callaway, T. R., & Pringle, T. D. (2022). Longitudinal Changes of the Ruminal Microbiota in Angus Beef Steers. Animals, 12(9), 1066. https://doi.org/10.3390/ani12091066

