Housing and Environmental Enrichment of the Domestic Ferret: A Multi-Sector Survey
Simple Summary
Abstract
1. Introduction
2. Materials and Methods
2.1. Survey Structure
2.2. Survey Section One: Demographics, Respondents and Ferrets
2.3. Survey Section Two: Ferret Housing and Enrichment Provision
2.4. Data Cleaning and Analysis
3. Results
3.1. Demographics
3.2. Housing
3.2.1. Individual or Social Housing
3.2.2. Housing Type
3.2.3. Time Outside of Housing
3.3. Environmental Enrichment
3.3.1. EE Provision Inside Housing
3.3.2. EE Provision Outside of Housing
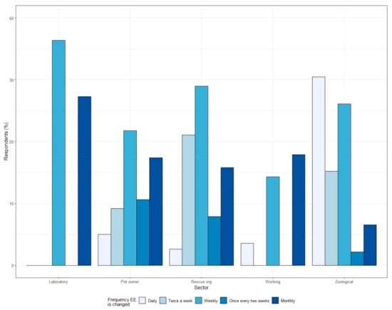
3.3.3. Frequency of EE Change
3.3.4. Enjoyable EE
3.3.5. Problematic EE
4. Discussion
4.1. Housing
4.1.1. Individual or Social Housing
4.1.2. Housing Type
4.1.3. Time Outside of Housing
4.2. Environmental Enrichment
4.2.1. EE Provision Inside and Outside Housing
4.2.2. Frequency of EE Change
4.2.3. Enjoyable EE
4.2.4. Problematic EE
5. Conclusions
Supplementary Materials
Author Contributions
Funding
Institutional Review Board Statement
Informed Consent Statement
Data Availability Statement
Acknowledgments
Conflicts of Interest
References
- Newberry, R.C. Environmental enrichment: Increasing the biological relevance of captive environments. Appl. Anim. Behav. Sci. 1995, 44, 229–243. [Google Scholar] [CrossRef]
- Shepherdson, D. Tracing the Path of Environmental Enrichment in Zoos. In Second Nature: Environmental Enrichment for Captive Animals; Shepherdson, D., Mellen, J., Hutchins, M., Eds.; Smithsonian Institution Press: Washington, DC, USA, 1998; pp. 1–12. [Google Scholar]
- Wells, D.L. Sensory stimulation as environmental enrichment for captive animals: A review. Appl. Anim. Behav. Sci. 2009, 118, 1–11. [Google Scholar] [CrossRef]
- Bayne, K. Potential for Unintended Consequences of Environmental Enrihment for Laboratory Animals and Research Results. ILAR J. 2005, 46, 129–139. [Google Scholar] [CrossRef] [PubMed]
- Hahn, N.E.; Lau, D.; Eckert, K.; Markowitz, H. Comparative Medicine Environmental Enrichment-Related Injury in a Macaque (Macaca fascicularis): Intestinal Linear Foreign Body. Comp. Med. 2000, 50, 556. [Google Scholar]
- Wells, D.L. A review of environmental enrichment for kennelled dogs, Canis familiaris. Appl. Anim. Behav. Sci. 2004, 85, 307–317. [Google Scholar] [CrossRef]
- Köbrunner, D.; Waiblinger, S.; Stetina, B.U.; Künzel, F.; Windschnurer, I. Insight into husbandry conditions, health, and behavior of pet ferrets (Mustela putorius furo) among German-speaking ferret owners. J. Vet. Behav. 2020, 37, 8–19. [Google Scholar] [CrossRef]
- Talbot, S.; Freire, R.; Wassens, S. Effect of captivity and management on behaviour of the domestic ferret (Mustela putorius furo). Appl. Anim. Behav. Sci. 2014, 151, 94–101. [Google Scholar] [CrossRef]
- Reijgwart, M.L.; Vinke, C.M.; Hendriksen, C.F.M.; van der Meer, M.; Schoemaker, N.J.; van Zeeland, Y.R.A. Ferrets’ (Mustela putorius furo) enrichment priorities and preferences as determined in a seven-chamber consumer demand study. Appl. Anim. Behav. Sci. 2016, 180, 114–121. [Google Scholar] [CrossRef]
- Reijgwart, M.L.; Vinke, C.M.; Hendriksen, C.F.M.; den Hoed, K.M.; van der Meer, M.I.; van der Meer, M.; Schoemaker, N.J.; van Zeeland, Y.R.A. An explorative study on the effect of provision of preferred and non-preferred enrichment on behavioural and physiological parameters in laboratory ferrets (Mustela putorius furo). Appl. Anim. Behav. Sci. 2018, 203, 64–72. [Google Scholar] [CrossRef]
- Burn, C.; Raffle, J.; Bizley, J. Does ‘playtime’ reduce stimulus-seeking and other boredom-like behaviour in laboratory ferrets? Anim. Welf. 2020, 29, 19–26. [Google Scholar] [CrossRef]
- AVMA. AVMA Pet Ownership and Demographics Sourcebook. 2018. Available online: https://www.avma.org/sites/default/files/resources/AVMA-Pet-Demographics-Executive-Summary.pdf (accessed on 19 April 2022).
- Association PFM. Pet Population Report 2021. Available online: https://www.pfma.org.uk/pet-population-2021 (accessed on 19 April 2022).
- European Commission. Report from the Commission to the Council and the European Parliament. 2019 Report on the Statistics on the Use of Animals for Scientific Purposes in the Member States of the European Union in 2015–2017; European Commission: Brussels, Belgium, 2019. [Google Scholar]
- Ryan, K.A.; Bewley, K.R.; Fotheringham, S.A.; Slack, G.S.; Brown, P.; Hall, Y.; Wand, N.I.; Marriott, A.C.; Cavell, B.E.; Tree, J.A.; et al. Dose-dependent response to infection with SARS-CoV-2 in the ferret model and evidence of protective immunity. Nat. Commun. 2021, 12, 81. [Google Scholar] [CrossRef]
- Proud, P.C.; Tsitoura, D.; Watson, R.J.; Chua, B.Y.; Aram, M.J.; Bewley, K.R.; Cavell, B.E.; Cobb, R.; Dowall, S.; Fotheringham, S.A.; et al. Prophylactic intranasal administration of a TLR2/6 agonist reduces upper respiratory tract viral shedding in a SARS-CoV-2 challenge ferret model. eBioMedicine 2021, 63, 103153. [Google Scholar] [CrossRef] [PubMed]
- Lewington, J.H. Classification, history and current status of ferrets. In Ferret Husbandry, Medicine and Surgery; Saunders Elsevier: Edinburgh, UK, 2007; pp. 3–14. [Google Scholar] [CrossRef]
- Species360. Zoological Information Management System (ZIMS). 2021. Available online: https://zims.species360.org (accessed on 9 December 2019).
- Johnson-Delaney, C.A. Rescue Centre Medicine. In Ferret Medicine and Surgery; CRC Press: Boca Raton, FL, USA, 2016; pp. 467–478. [Google Scholar] [CrossRef]
- Morris, C.L.; Grandin, T.; Irlbeck, N.A. Companion animals symposium: Environmental enrichment for companion, exotic, and laboratory animals. J. Anim. Sci. 2011, 89, 4227–4238. [Google Scholar] [CrossRef]
- Department of the Environment, Transport and the Regions. Secretary of State’s Standards of Modern Zoo Practice; Department of the Environment, Transport and the Regions: Bristol, UK, 2012. [Google Scholar]
- Home Office. Code of Practice for the Housing and Care of Animals Bred, Supplied or Used for Scientific Purposes; Home Office: London, UK, 2014. [Google Scholar]
- Animal Welfare Act. Available online: http://www.legislation.gov.uk/ukpga/2006/45/contents (accessed on 19 August 2021).
- Wensley, S.; Betton, V.; Gosschalk, K.; Hooker, R.; Main, D.C.J.; Martin, N.; Tipton, E. Driving evidence-based improvements for the UK’s ‘Stressed. Lonely. Overweight. Bored. Aggressive. Misunderstood…but loved’ companion animals. Vet. Rec. 2021, 189, e7. [Google Scholar] [CrossRef] [PubMed]
- Hubrecht, R.; Kirkwood, J. The UFAW Handbook on the Care and Management of Laboratory and Other Research Animals; Wiley-Blackwell: Chichester, UK, 2010. [Google Scholar]
- LLoyd, M.; Wilkinson, G. Ferrets. Available online: https://www.nc3rs.org.uk/housing-and-husbandry-ferrets (accessed on 19 August 2021).
- RSPCA. Ferrets. Available online: https://www.rspca.org.uk/adviceandwelfare/pets/ferrets (accessed on 19 August 2021).
- Lodé, T. Conspecific tolerance and sexual segregation in the use of space and habitats in the European polecat. Acta Theriol. 1996, 41, 171–176. [Google Scholar] [CrossRef]
- Blandford, P.R.S. Biology of the Polecat Mustela putorius: A literature review. Mammal Rev. 1987, 17, 155–198. [Google Scholar] [CrossRef]
- Dancer, A.M.M.; Díez-León, M.; Bizley, J.K.; Burn, C.C. Pet Owner Perception of Ferret Boredom and Consequences for Housing, Husbandry, and Environmental Enrichment. Royal Veterinary College: Hatfield, Herts, UK, 2022; (Manuscript in preparation). [Google Scholar]
- McFarland, S.G. Effects of Question Order on Survey Responses. Public Opin. Q. 1981, 45, 208–215. [Google Scholar] [CrossRef]
- R Core Team. R: A Language and Environment for Statistical Computing; R Foundation for Statistical Computing: Vienna, Austria, 2019. [Google Scholar]
- Braun, V.; Clarke, V. Using thematic analysis in psychology. Qual. Res. Psychol. 2006, 3, 77–101. [Google Scholar] [CrossRef]
- Benjamini, Y.; Hochberg, Y. Controlling the False Discovery Rate: A Practical and Powerful Approach to Multiple Testing. J. R. Stat. Soc. Ser. B 1995, 57, 289–300. [Google Scholar] [CrossRef]
- Vinke, C.M.; Schoemaker, N.J. The welfare of ferrets (Mustela putorius furo T). A Review on the Housing and Management of Pet Ferrets. Appl. Anim. Behav. Sci. 2012, 139, 155–168. [Google Scholar] [CrossRef]
- Banks, R.E.; Sharp, J.M.; Doss, S.D.; Vanderford, D.A. Exotic Small Mammal Care and Husbandry; John Wiley & Sons: Hoboken, NJ, USA, 2010. [Google Scholar] [CrossRef]
- Wisely, S.M.; Santymire, R.M.; Livieri, T.M.; Marinari, P.E.; Kreeger, J.S.; Wildt, D.E.; Howard, J. Environment influences morphology and development for in situ and ex situ populations of the black-footed ferret (Mustela nigripes). Anim. Conserv. 2005, 8, 321–328. [Google Scholar] [CrossRef]
- Díez-León, M.; Decker, S.; Escribano, N.; Galicia, D.; Palme, R.; Mason, G. Do Single Ladies and Hot Males Need Space? The Welfare Relevance of Cage Floor Areas for Different Sub-Populations of Farmed American Mink. Appl. Anim. Behav. Sci. 2022. (Manuscript under review). [Google Scholar]
- Clubb, R.; Mason, G.J. Natural behavioural biology as a risk factor in carnivore welfare: How analysing species differences could help zoos improve enclosures. Appl. Anim. Behav. Sci. 2007, 102, 303–328. [Google Scholar] [CrossRef]
- Baghli, A.; Verhagen, R. Home ranges and movement patterns in a vulnerable polecatMustela putorius population. Acta Theriol. 2004, 49, 247–258. [Google Scholar] [CrossRef]
- Clubb, R.; Mason, G. Captivity effects on wide-ranging carnivores. Nature 2003, 425, 473–474. [Google Scholar] [CrossRef]
- Meagher, R.K.; Mason, G.J. Environmental Enrichment Reduces Signs of Boredom in Caged Mink. PLoS ONE 2012, 7, e49180. [Google Scholar] [CrossRef]
- Pets at Home. Savic Freddy 2 Max Rat/Ferret Cage. Available online: https://www.petsathome.com/shop/en/pets/savic-freddy-2-max-rat-ferret-cage (accessed on 22 February 2022).
- PetPlanet. Rat & Ferret Cage by PetPlanet. Available online: https://www.petplanet.co.uk/p28577/rat_and_ferret_cage_by_petplanet.aspx (accessed on 22 February 2022).
- Lennox, A.M. Gastrointestinal Diseases of the Ferret. Vet. Clin. N. Am. Exot. Anim. Pract. 2005, 8, 213–225. [Google Scholar] [CrossRef]
- Zaffarano, B. Ferrets: Examination and Standards of Care. J. Exot. Pet Med. 2010, 19, 73–81. [Google Scholar] [CrossRef]
- Tarou, L.R.; Bashaw, M.J. Maximizing the effectiveness of environmental enrichment: Suggestions from the experimental analysis of behavior. Appl. Anim. Behav. Sci. 2007, 102, 189–204. [Google Scholar] [CrossRef]
- Burn, C. Bestial boredom: A biological perspective on animal boredom and suggestions for its scientific investigation. Anim. Behav. 2017, 130, 141–151. [Google Scholar] [CrossRef]
- Burn, C.C. Rest and Relaxation for Recovery: What Environmental Enrichment Do Post-Interventional Animals Want and Need? LASA Annual Conference: Birmingham, UK, 2018. [Google Scholar]
- Clapperton, B.K. Olfactory Communication in the Ferret (Mustela Furo, L.) and Its Application in Wildlife Management; Massey University: Palmerston North, New Zealand, 1985. [Google Scholar]
- Tsang, H.W.H.; Ho, T.Y.C. A systematic review on the anxiolytic effects of aromatherapy on rodents under experimentally induced anxiety models. Rev. Neurosci. 2010, 21, 141–152. [Google Scholar] [CrossRef] [PubMed]
- López-Salesansky, N.; Mazlan, N.H.; Whitfield, L.E.; Wells, D.J.; Burn, C.C. Olfactory variation in mouse husbandry and its implications for refinement and standardization: UK survey of non-animal scents. Lab. Anim. 2016, 50, 286–295. [Google Scholar] [CrossRef] [PubMed]
- Boyce, S.W.; Zingg, B.M.; Lightfoot, T.L. Behavior of Mustela putorius furo (the domestic ferret). Vet. Clin. N. Am. Exot. Anim. Pract. 2001, 4, 697–712. [Google Scholar] [CrossRef]




| Ferret Social Housing Status | Laboratory (n = 11) | Pet Owner (n = 621) | Rescue (n = 38) | Working (n = 28) | Zoological (n = 46) | Total (n = 744) |
|---|---|---|---|---|---|---|
| On their own (individually) | 0.0% | 24.3% | 39.5% | 17.9% | 13.0% | 23.8% |
| In pairs | 36.4% | 35.1% | 39.5% | 28.6% | 39.1% | 35.3% |
| More than two housed socially | 72.7% | 52.8% | 84.2% | 67.9% | 65.2% | 56.0% |
| Mother with kits | 9.1% | 0.6% | 7.9% | 3.6% | 2.2% | 1.3% |
| Unanswered/left blank | 0.0% | 0.5% | 2.6% | 3.6% | 0.0% | 0.7% |
| Respondents % (n) | ||||||
|---|---|---|---|---|---|---|
| Weekly Frequency Ferrets Let Out of Enclosure | Length of Time Spent Out of Enclosure | Laboratory (n = 11) | Pet Owner (n = 621) | Rescue (n = 38) | Working (n = 28) | Zoological (n = 46) |
| Daily | All durations | 36.4 (4/11) | 75.2 (467/621) | 71.1 (27/38) | 39.3 (11/28) | 41.3 (19/46) |
| ≤30 min | 25.0 (1) | 1.9 (9) | 3.7 (1) | 18.2 (2) | 26.3 (5) | |
| 31 min to 1 h | 25.0 (1) | 8.1 (38) | 14.8 (4) | 36.4 (4) | 10.5 (2) | |
| 1 h 1 min to 2 h | 0.0 | 19.9 (93) | 29.6 (8) | 0.0 | 0.0 | |
| 2 h 1 min to 4 h | 0.0 | 27.8 (130) | 18.5 (5) | 18.2 (2) | 36.8 (7) | |
| >4 h | 25.0 (1) | 34.3 (160) | 11.1 (3) | 27.3 (3) | 0.0 | |
| Not applicable | 0.0 | 0.2 (1) | 3.7 (1) | 0.0 | 0.0 | |
| Blank/missing data | 25.0 (1) | 7.7 (36) | 18.5 (5) | 0.0 | 26.3 (5) | |
| 2 to 6 times a week | All durations | 45.5 (5/11) | 11.4 (71/621) | 10.5 (4/38) | 42.9 (12/28) | 30.4 (14/46) |
| ≤30 min | 20.0 (1) | 9.9 (7) | 75.0 (3) | 16.7 (2) | 50.0 (7) | |
| 31 min to 1 h | 20.0 (1) | 15.5 (11) | 0.0 | 16.7 (2) | 21.4 (3) | |
| 1 h 1 min to 2 h | 60.0 (3) | 32.4 (23) | 0.0 | 33.3 (4) | 14.3 (2) | |
| 2 h 1 min to 4 h | 0.0 | 25.4 (18) | 0.0 | 8.3 (1) | 7.1 (1) | |
| >4 h | 0.0 | 5.6 (4) | 25.0 (1) | 8.3 (1) | 7.1 (1) | |
| Not applicable | 0.0 | 1.4 (1) | 0.0 | 8.3 (1) | 0.0 | |
| Blank/missing data | 0.0 | 9.9 (7) | 0.0 | 8.3 (1) | 0.0 | |
| Once a week or varying | All durations | 9.1 (1/11) | 2.6 (16/621) | 2.6 (1/38) | 10.7 (3/28) | 15.2 (7/46) |
| ≤30 min | 0.0 | 18.8 (3) | 0.0 | 0.0 | 14.3 (1) | |
| 31 min to 1 h | 0.0 | 25.0 (4) | 0.0 | 33.3 (1) | 57.1 (4) | |
| 1 h 1 min to 2 h | 0.0 | 25.0 (4) | 100.0 (1) | 0.0 | 14.3 (1) | |
| 2 h 1 min to 4 h | 100.0 (1) | 25.0 (4) | 0.0 | 0.0 | 0.0 | |
| >4 h | 0.0 | 6.3 (1) | 0.0 | 66.7 (2) | 14.3 (1) | |
| Not applicable | 0.0 | 0.0 | 0.0 | 0.0 | 0.0 | |
| Blank/missing data | 0.0 | 0.0 | 0.0 | 0.0 | 0.0 | |
| Never | 9.1 (1/11) | 1.1 (7/621) | 0.0 | 0.0 | 0.0 | |
| Unanswered/missing data | 0.0 | 9.7 (60/621) | 15.8 (6/38) | 7.1 (2/28) | 13.0 (6/46) | |
| EE Type Location | EE Type | Respondents Providing EE Type Inside/Outside Housing (%) | |||||||||
|---|---|---|---|---|---|---|---|---|---|---|---|
| Laboratory | Pet Owner | Rescue | Working | Zoological | |||||||
| In | Out | In | Out | In | Out | In | Out | In | Out | ||
| EE types listed as multiple-choice options. | Ball pits | 9.1 | 27.3 | 22.7 | 48.8 | 42.1 | 50 | 3.6 | 7.1 | 54.3 | 34.8 |
| Balls | 63.6 | 54.5 | 46.4 | 67.3 | 60.5 | 57.9 | 25.0 | 14.3 | 60.9 | 37.0 | |
| Balls with bells in | 36.4 | 36.4 | 44.9 | 57.8 | 63.2 | 60.5 | 3.6 | 0 | 54.3 | 13.0 | |
| Bedding to cover the floor | 54.5 | 9.1 | 54.1 | 14.7 | 52.6 | 18.4 | 85.7 | 21.4 | 67.4 | 19.6 | |
| Boxes | 36.4 | 54.5 | 44.1 | 71.5 | 68.4 | 65.8 | 28.6 | 21.4 | 82.6 | 43.5 | |
| Buried/scattered food | 0 | 18.2 | 18.0 | 16.4 | 21.1 | 13.2 | 10.7 | 10.7 | 45.7 | 17.4 | |
| Cat toys | 27.3 | 18.2 | 53.3 | 64.1 | 55.3 | 50 | 10.7 | 0 | 43.5 | 19.6 | |
| Caves to sleep under | 54.5 | 0 | 43.3 | 32.5 | 57.9 | 36.8 | 32.1 | 10.7 | 63.0 | 13.0 | |
| Chew toys | 45.5 | 18.2 | 14.7 | 18.4 | 13.2 | 15.8 | 10.7 | 10.7 | 17.4 | 4.3 | |
| Climbing frame | 36.4 | 27.3 | 66.8 | 40.7 | 68.4 | 44.7 | 50.0 | 21.4 | 80.4 | 32.6 | |
| Different flavours of food | 18.2 | 27.3 | 37.0 | 22.4 | 39.5 | 7.9 | 39.3 | 28.6 | 39.1 | 10.9 | |
| Different textures of food | 27.3 | 9.1 | 33.5 | 15.9 | 34.2 | 2.6 | 35.7 | 10.7 | 43.5 | 4.3 | |
| Exploration of new areas | n/a | 45.5 | n/a | 67.0 | n/a | 63.2 | n/a | 46.4 | n/a | 73.9 | |
| Food in puzzle feeders | 9.1 | 0 | 12.6 | 14.3 | 21.1 | 13.2 | 7.1 | 3.6 | 47.8 | 21.7 | |
| Hammocks to sleep in | 90.9 | 9.1 | 87.1 | 28.8 | 86.8 | 34.2 | 46.4 | 17.9 | 73.9 | 13.0 | |
| Nesting materials | 63.6 | 0 | 58.5 | 26.4 | 57.9 | 15.8 | 78.6 | 25.0 | 78.3 | 19.6 | |
| Running wheel | 0 | 0 | 0.6 | 1.0 | 0 | 0 | 3.6 | 0 | 2.2 | 2.2 | |
| Scent trails | 0 | 9.1 | 4.2 | 6.9 | 5.3 | 7.9 | 7.1 | 10.7 | 45.7 | 26.1 | |
| Sounds or music | 0 | 9.1 | 2.7 | 8.1 | 10.5 | 13.2 | 3.6 | 3.6 | 23.9 | 6.5 | |
| Substrate to dig in | 18.2 | 0 | 27.1 | 40.9 | 28.9 | 44.7 | 14.3 | 25.0 | 69.6 | 47.8 | |
| Tactile interaction with caretaker | n/a | 36.4 | n/a | 74.2 | n/a | 81.6 | n/a | 35.7 | n/a | 71.7 | |
| Tunnels | 54.5 | 63.6 | 67.8 | 77.5 | 81.6 | 81.6 | 64.3 | 46.4 | 91.3 | 52.2 | |
| Other | 0 | 0 | 10.0 | 15.3 | 28.9 | 23.7 | 7.1 | 17.9 | 8.7 | 15.2 | |
| None of the above | 0 | 0 | 0.6 | 0.2 | 2.6 | 0 | 0 | 3.6 | 0 | 2.2 | |
| Not applicable | n/a | 9.1 | n/a | 1.1 | n/a | 0 | n/a | 7.1 | n/a | 2.2 | |
| EE types not listed as multiple-choice but regularly provided as an ‘other’ EE type. | Blankets | 0 | n/a | 5.6 | n/a | 2.6 | n/a | 0 | n/a | 0 | n/a |
| Soft toys | 0 | 0 | 2.1 | 1.0 | 0 | 0 | 0 | 3.6 | 0 | 0 | |
| Rope toys | 27.3 | n/a | 28.0 | n/a | 31.6 | n/a | 14.3 | n/a | 50.0 | n/a | |
| Water | n/a | 0 | n/a | 1.8 | n/a | 10.5 | n/a | 7.1 | n/a | 0 | |
| EE Type | EE Item Detail Suggested by Three or More Respondents (n) |
|---|---|
| Dig box substrate EE | Leaf litter (3) |
| Packing peanuts (3) | |
| Shredded paper (3) | |
| Soil (4) | |
| Water (25) | |
| Sleeping EE | Cave/soft cat bed (8) |
| Dog bed (3) | |
| Hanging basket (4) | |
| Hanging nesting/sleep pouch/tube/cube (5) | |
| Hide box (3) | |
| Wicker basket (3) | |
| Foraging/Food EE | Carcass feed of fresh game meat (3) |
| Fish oil (3) | |
| Training session (3) | |
| Exploration/Sensory EE | Enclosed garden access (8) |
| Walks to the park/woodland/fields/outside (16) | |
| Toys/play EE | Baby toys (rattle/soft cubes/hanging, crinkly and squeaky elements) (8) |
| Bags (paper/fabric/plastic if supervised) (17) | |
| Branches (3) | |
| Bubble wrap/bubble shipping envelope (3) | |
| Cloth tug toy (3) | |
| Crawling inside furniture (9) | |
| Crinkle bag/tube/ball/toys (11) | |
| Artificial grass (4) | |
| Interaction with other pets (cats/dogs) (7) | |
| Large logs to climb on (6) | |
| Old shoes/boots (without laces) (4) | |
| Old/worn clothing/sheets (7) | |
| Paddling/swimming pool (10) | |
| Rocks (3) | |
| Scratching post (5) | |
| Socks (3) | |
| Scent trail EE: Spices and extracts | Herbs (7) |
| Perfume/ aftershave (9) | |
| Spices (10) | |
| Vanilla (4) | |
| Scent trail EE: Animal scents | Access to recently vacated other animal enclosures (4) |
| Animal bedding (e.g., rabbit/rat) (9) | |
| Animal fur/wool (e.g., rabbit/sheep/alpaca) (9) | |
| Feathers (5) | |
| Fish oil (7) | |
| Items (e.g., tunnels/boxes) used by prey species (rabbits) (3) | |
| Scent trail EE: Other scents | Hidden treats (5) |
| Plants (8) | |
| Sticks from woodland (5) |
| EE Class Status | EE Type | Number of People Reporting Problems | Number of People Providing EE Type | Approximate Rate of Reported Problems | Reported Reasons for Problem (n) | Specific Forms of EE Type Mentioned (n) |
|---|---|---|---|---|---|---|
| EE listed as multiple-choice options and reported as problematic | Running wheel * | 2 | 14 | 0.143 | Ignore (1); Damage back (1) | n/a |
| Chew toys | 20 | 241 | 0.083 | Ingestion and internal blockage (16); Ignore/avoids (2); Choke risk (1); Teeth caught (1) | Dog tyre chew toy (1); Hard plastic (1); Rawhide (1); Rubber chew toys (1); Soft plastic (1); Soft rubber toys (1); Soft squeaky puppy toy (1) | |
| Food in puzzle feeders | 10 | 221 | 0.045 | Ingestion and internal blockage (8); Aggression (1); Ignore/avoids (1) | Kong® (8); Puzzle/ball feeder (2) | |
| Tunnels/tubes | 31 | 1087 | 0.029 | Trapped (13); Strangulation risk (5); Claws caught (4); Injury (4); Ignore (2); Broke quickly (1); Ingestion and internal blockage (1); Death (1) | Fabric tunnel (10); Narrow tunnels such as toilet or kitchen roll tubes (10); Tunnels with metal wires (3); Tunnel with lining (1); Crinkle tunnel (1); ‘Marshall Super Thru-Way’ tunnel (1) | |
| Rope toys | 6 | 219 | 0.027 | Ingestion and internal blockage (3); Claws caught (1); Ignored (1); Unspecified (1) | Rope ladder (1) | |
| Digging substrate | 14 | 526 | 0.027 | Ingestion and internal blockage (7); Skin/eye irritation (2); Bored/ignore (1); Defecation (1); Ignore/avoids (1); Respiratory problems (1); Sand temperature too cold (1) | Sand (4); Rice (3); Packing peanuts (2); Pasta (2); Shredded paper (1); Bean bag foam balls (1); Sawdust (1) | |
| Climbing frame | 20 | 803 | 0.025 | Injury (14); Escape (1); Ignore/avoids (1); Trapped (1); Penis caught (1) | Ladder (4); Cat tower/tree (3); Ramp (1); Cage shelf (1) | |
| Balls | 20 | 828 | 0.024 | Ingestion and internal blockage (15); Choke risk (2); Ignore/avoids (2); Teeth caught (1) | Rubber balls (6); Tennis balls (6); Balls (non-specified) (3); Balls with holes (1); Cat balls (1); Foam balls (1); Ping-pong balls (1); Small balls (1) | |
| Cat toys | 19 | 816 | 0.023 | Ingestion and internal blockage (7); Ignore/avoids (3); Choke risk (2); Injury (2); Claws caught (1); Strangulation risk (1); Teeth caught (1); Trapped (1); Unspecified (1) | Cat toys on a string (7); Foam cat toys (2); Toy mice (2); Feather toys (2); Cat toys (unspecified) (2); Soft cat toys (1); Cat toys that can unravel (1); Cat toys with small holes (1); Catnip toys (1) | |
| Different textures of food | 5 | 367 | 0.014 | Ignore/avoids (2); Risk of insulinoma (1); Choke risk (1); Ingestion and internal blockage (1) | Novel food (3); Freeze dried meat (1); Whole prey carcass (1) | |
| EE class status | EE type | Number of people reporting problems | Number of people providing EE type | Approximate rate of reported problems | Reported reasons for problem (n) | Specific forms of EE type mentioned (n) |
| Ball Pit | 7 | 534 | 0.013 | Ingestion and internal blockage (2); Ignore/avoids (2); Respiratory problems (1); Strong aversion (lunge/bite/flee) (1); Injury if damaged (1) | n/a | |
| Hammocks | 11 | 848 | 0.013 | Claws caught (8); Destroys (1); Ingestion and internal blockage (1); Strangulation risk (1) | Damaged hammocks (6); Hammocks made from loose material (1) | |
| Balls with bells in | 9 | 734 | 0.012 | Ingestion and internal blockage (4); Teeth caught (3); Destroys (2); Ignore/avoids (1) | n/a | |
| Bedding to cover floor | 6 | 541 | 0.011 | Respiratory problems (3); Ingestion and internal blockage (2); Ignore/avoids (1) | Sawdust/shavings (4); Carefresh’ bedding (1); Critter bedding (1) | |
| Different flavours of food | 3 | 440 | 0.007 | Ignore/avoids (2); Risk of insulinoma (1) | Novel food (3) | |
| Caves to sleep under | 2 | 566 | 0.004 | Ignore/avoids (1); Trapped (1) | Cave bed (1); Wooden bird nest box (1) | |
| Nesting materials | 2 | 640 | 0.003 | Claws caught (1); Respiratory problems (1) | Hay (1); Wool type bedding (1) | |
| Boxes | 2 | 863 | 0.002 | Penis caught (1); Ignore/avoids (1) | n/a | |
| Human interaction | 1 | 544 | 0.002 | injury (1) | n/a | |
| EE not listed as multiple-choice options and reported as problematic | Soft beds and fabric bedding materials | 31 | n/a | n/a | Claws caught (17); Strangulation risk (6); Ingestion and internal blockage (5); Injury (2); Trapped (1) | some bedding’ (7); blankets (4); ripped/damaged bedding (3); soft beds (3); towels (2); materials bedding’ (2); fleece (2); beds with satin type lining (2); hide-n-sleep bed (2); fluffy cat bed (1); clothes (1); loose weave scarfs (1); labels on bedding/beds (1); |
| Rubber items | 29 | n/a | n/a | Ingestion and internal blockage (27); Unspecified (2) | n/a | |
| Damaged toys | 14 | n/a | n/a | Injury (7); Ingestion and internal blockage (5); Claws caught (1); Teeth caught (1) | n/a | |
| Soft toys | 14 | n/a | n/a | Ingestion and internal blockage (13); Ignore/avoids (1) | n/a | |
| Squeaker toys | 11 | n/a | n/a | Strong aversion (lunge/bite/flee) (7); Ingestion and internal blockage (3); Unspecified (1) | n/a | |
| All toys if not rotated | 8 | n/a | n/a | Bored/ignore (8) | n/a | |
| EE class status | EE type | Number of people reporting problems | Number of people providing EE type | Approximate rate of reported problems | Reported reasons for problem (n) | Specific forms of EE type mentioned (n) |
| ‘Safe’ EE: frequently selected from multiple-choice options, but not reported as problematic | Exploration | 0 | 498 | 0.000 | n/a | n/a |
| Buried/scattered food | 0 | 268 | 0.000 | n/a | n/a | |
| Scent trails | 0 | 113 | 0.000 | n/a | n/a | |
| Sounds or music | 0 | 97 | 0.000 | n/a | n/a |
Publisher’s Note: MDPI stays neutral with regard to jurisdictional claims in published maps and institutional affiliations. |
© 2022 by the authors. Licensee MDPI, Basel, Switzerland. This article is an open access article distributed under the terms and conditions of the Creative Commons Attribution (CC BY) license (https://creativecommons.org/licenses/by/4.0/).
Share and Cite
Dancer, A.M.M.; Díez-León, M.; Bizley, J.K.; Burn, C.C. Housing and Environmental Enrichment of the Domestic Ferret: A Multi-Sector Survey. Animals 2022, 12, 1065. https://doi.org/10.3390/ani12091065
Dancer AMM, Díez-León M, Bizley JK, Burn CC. Housing and Environmental Enrichment of the Domestic Ferret: A Multi-Sector Survey. Animals. 2022; 12(9):1065. https://doi.org/10.3390/ani12091065
Chicago/Turabian StyleDancer, Alice M. M., María Díez-León, Jennifer K. Bizley, and Charlotte C. Burn. 2022. "Housing and Environmental Enrichment of the Domestic Ferret: A Multi-Sector Survey" Animals 12, no. 9: 1065. https://doi.org/10.3390/ani12091065
APA StyleDancer, A. M. M., Díez-León, M., Bizley, J. K., & Burn, C. C. (2022). Housing and Environmental Enrichment of the Domestic Ferret: A Multi-Sector Survey. Animals, 12(9), 1065. https://doi.org/10.3390/ani12091065

