Sign in to use this feature.

Years

Between: -

Subjects

remove_circle_outline
remove_circle_outline
remove_circle_outline
remove_circle_outline
remove_circle_outline
remove_circle_outline
remove_circle_outline
remove_circle_outline
remove_circle_outline

Journals

remove_circle_outline
remove_circle_outline
remove_circle_outline
remove_circle_outline
remove_circle_outline
remove_circle_outline
remove_circle_outline
remove_circle_outline
remove_circle_outline
remove_circle_outline
remove_circle_outline
remove_circle_outline
remove_circle_outline
remove_circle_outline
remove_circle_outline
remove_circle_outline
remove_circle_outline
remove_circle_outline
remove_circle_outline
remove_circle_outline
remove_circle_outline
remove_circle_outline

Article Types

Countries / Regions

remove_circle_outline
remove_circle_outline
remove_circle_outline
remove_circle_outline
remove_circle_outline
remove_circle_outline
remove_circle_outline
remove_circle_outline
remove_circle_outline

Search Results (5,771)

Search Parameters:
Keywords = cow

Order results
Result details
Results per page
Select all
Export citation of selected articles as:
19 pages, 2445 KB  
Article
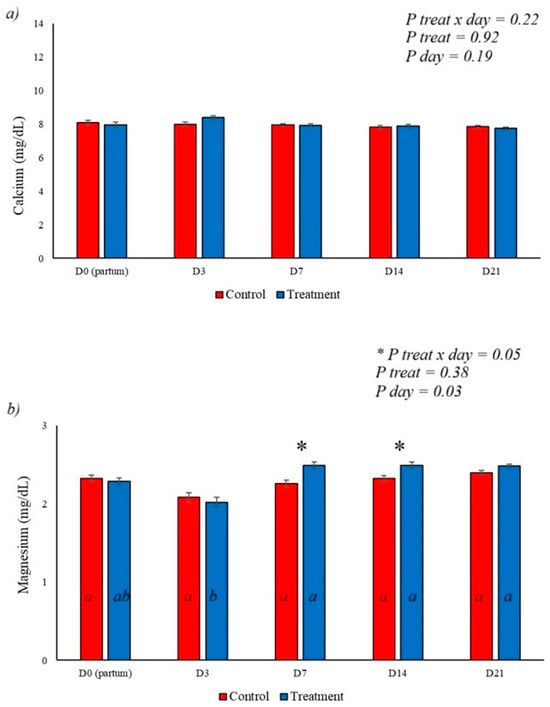
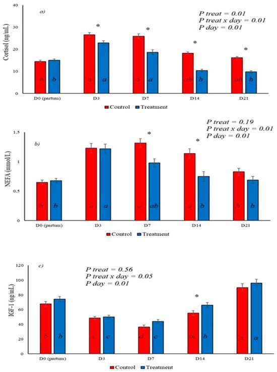
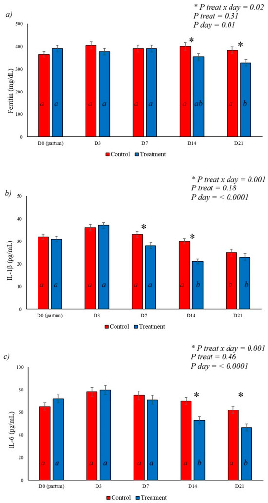
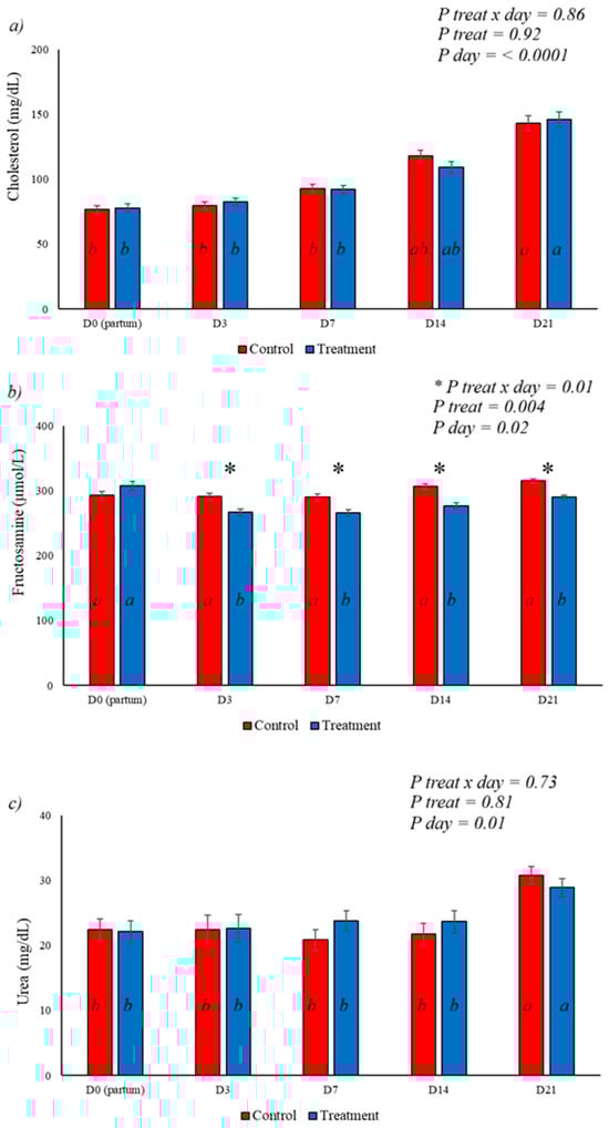
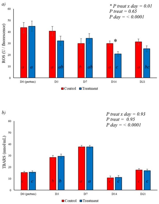
Effect of the Use of Bovine Appeasing Substance on Immunological, Metabolic, and Oxidative Parameters of Postpartum Dairy Cows: Modulation of the Stress Axis
by Alexandro Fritzen, Guilherme Luiz Deolindo, Luisa Nora and Aleksandro Schafer da Silva
Animals 2026, 16(8), 1185; https://doi.org/10.3390/ani16081185 - 13 Apr 2026
Abstract
The responsiveness of the stress axis is fundamental for maintaining health and sustaining productive performance; however, the effect of modulating this stress axis with bovine appeasing substance and its effects on biochemical, immunological, oxidative parameters and uterine involution have not been determined, which [...] Read more.
The responsiveness of the stress axis is fundamental for maintaining health and sustaining productive performance; however, the effect of modulating this stress axis with bovine appeasing substance and its effects on biochemical, immunological, oxidative parameters and uterine involution have not been determined, which are the objectives of this experiment. To elucidate these questions, Holstein cows, from the prepartum to lactation period in a cross-ventilation system, received an application of a bovine appeasing substance (treated group) and a 0.9% saline solution (control group) at the time of calving, and blood samples were collected on calving day and on days 3, 7, 14 and 21 postpartum for analysis. Modulation of the stress axis by bovine appeasing substance increased magnesium levels on days 7 and 14 postpartum, with a reduction in fructosamine levels on days 3, 7, 14, and 21 postpartum. A reduction in ferritin levels, an acute-phase protein, and a reduction in interleukin 1 beta and interleukin 6 were also observed, demonstrating an anti-inflammatory effect in cows of the treated group. Creatine kinase activity decreased on day 21 postpartum in cows treated with bovine appeasing substances. An increase in cholinesterase activity on day 7 and a marked decrease on day 21 postpartum in treated cows were observed compared to the control. This was accompanied by a reduction in beta-hydroxybutyrate levels on day 7 and a reduction in reactive oxygen species levels on day 14 in animals of the treated group, indicating modulation of ketogenesis and reduced oxidation through an anti-inflammatory effect. Mean uterine thickness was also affected by the bovine appeasing substance, with a lower mean thickness on day 21 postpartum in treated cows. Modulation of the stress axis by the bovine appeasing substance reduces inflammation, improving energy dynamics and reducing oxidation, thus facilitating tissue repair associated with postpartum uterine involution in dairy cows. Full article
(This article belongs to the Special Issue Nutrition and Metabolism of Cows and Stress Responses)
Show Figures

Figure 1

24 pages, 1050 KB  
Article
Effects of Late-Gestation Nutritional Restriction and Hydroxytyrosol Supplementation on Behavioural Responses and Neuroendocrine Blood Markers in Beef Cows and Their Calves
by Nieves Escalera-Moreno, Beatriz Serrano-Pérez, Isabel Blanco-Penedo, Leire López de Armentia, Agustí Noya, Albina Sanz and Javier Álvarez-Rodríguez
Agriculture 2026, 16(8), 859; https://doi.org/10.3390/agriculture16080859 - 12 Apr 2026
Abstract
Maternal nutrition during late gestation is critical for fetal development, neonatal resilience, and postnatal adaptation in beef cattle. This study aimed to evaluate the effects of nutritional restriction and supplementation of hydroxytyrosol (HT) in late pregnancy on behavioural, circadian, stress-related, and inflammatory responses [...] Read more.
Maternal nutrition during late gestation is critical for fetal development, neonatal resilience, and postnatal adaptation in beef cattle. This study aimed to evaluate the effects of nutritional restriction and supplementation of hydroxytyrosol (HT) in late pregnancy on behavioural, circadian, stress-related, and inflammatory responses in cows and their restricted nursed offspring. Pregnant cows were allocated to a 2 × 2 factorial experimental design (feeding level: T100% vs. T60% of nutrient requirements; HT: 0 vs. 180 mg/kg of diet). Cow behaviours were recorded during meals (from week −12 prepartum to term), and calf activities, body temperature, and mother–offspring interactions were assessed at 5 weeks postpartum. Nutritional restriction accelerated feed intake in cows and increased stress-related behaviours, while HT partially mitigated these effects. Molecular analyses in blood samples revealed dynamic prepartum upregulation of glucocorticoid-receptor NR3C1 in week −6, and downregulation of circadian (BMAL1, PER1, CRY1) gene expression in week 5 after parturition, both in T60%-HT cows. In calves, maternal HT supplementation promoted active exploratory behaviour, and counteracted behavioural and circadian (CRY1 and PER1) and inflammatory markers (IL8) gene expression resulting from prenatal nutrient restriction, leading to behavioural profiles and blood gene expression comparable to those observed in calves born to adequately fed dams. Full article
(This article belongs to the Section Farm Animal Production)
24 pages, 12548 KB  
Article
Producing Krishna’s Abode in Times of Climate Change: ISKCON-Ecological Imagination in Krishna Valley (Hungary)
by Deborah D. C. de Koning
Religions 2026, 17(4), 477; https://doi.org/10.3390/rel17040477 - 11 Apr 2026
Viewed by 39
Abstract
This article investigates the relevance of selected and adapted representations of Krishna from the broader ISKCON tradition for sustainable and self-sufficient practices within Krishna Valley. Krishna Valley is an ISKCON community established in 1993 in the remote areas of Hungary, and it covers [...] Read more.
This article investigates the relevance of selected and adapted representations of Krishna from the broader ISKCON tradition for sustainable and self-sufficient practices within Krishna Valley. Krishna Valley is an ISKCON community established in 1993 in the remote areas of Hungary, and it covers 300 hectares. As a self-sufficient and sustainable community, it is part of the Global Environmental Network, and as an ISKCON community, it belongs to the global movement of the International Society for Krishna Consciousness. The synchronic interconnections of Krishna Valley as an ecovillage and as a religious place intertwine in the same place. In this article, Krishna Valley serves as an explanatory case study to investigate the relevance of ISKCON religious representations for ecological imagination: the process of perceiving relationships through the use of metaphors, images, narratives, symbols, and sematic frames that are central to and constitutive of human ecological thinking. This study uses two units of analysis (cow service and water management) to explore how in Krishna Valley ecological imagination takes shape in the interaction between local sustainable and self-sufficient practices and specific religious representations that are part of the ISKCON tradition. By looking at how the community interprets and treats cows and water pollution from a religious and environmental perspective, this case study answers the question of how ecovillages might benefit from religion-based ecological imagination for their sustainable livelihoods. Full article
Show Figures

Figure 1

12 pages, 706 KB  
Case Report
Bovine Ocular Squamous Cell Carcinoma—A Descriptive Epidemiological Survey in the Azores, Portugal
by Beatriz Bilhastre, Helena Vala, Ana Clara Ribeiro, Sara Faria, Ana Oliveira, Sandra Branco and Carlos Pinto
Vet. Sci. 2026, 13(4), 371; https://doi.org/10.3390/vetsci13040371 - 11 Apr 2026
Viewed by 6
Abstract
Bovine ocular squamous cell carcinoma (BOSCC) is the most common ocular tumour in cattle, with a multifactorial aetiology involving ultraviolet (UV) radiation, genetic factors, pigmentation, and management practices. A detailed epidemiological characterisation of BOSCC in the Azores, Portugal, is provided, with particular emphasis [...] Read more.
Bovine ocular squamous cell carcinoma (BOSCC) is the most common ocular tumour in cattle, with a multifactorial aetiology involving ultraviolet (UV) radiation, genetic factors, pigmentation, and management practices. A detailed epidemiological characterisation of BOSCC in the Azores, Portugal, is provided, with particular emphasis on its spatial distribution and potential risk determinants. Data were obtained through an epidemiological questionnaire completed by field veterinarians between August 2023 and March 2025. A total of 85 BOSCC cases were recorded across 62 farms—45 on Terceira Island and 17 on São Miguel Island. All affected animals were adult Holstein Friesian dairy cows, managed under extensive pasture-based systems. The nictitating membrane was the most frequently affected structure (69.5%), and multiple lesions occurred in 20% of the cases. Farms located at 200–400 m of altitude presented the highest number of cases. Continuous exposure to UV under pasture-based management represents the main environmental risk factor. Although periocular pigmentation may provide partial protection, other environmental and genetic factors can also contribute to tumour development. Artificial insemination is considered a promising preventive tool, enabling genetic selection for protective traits such as periocular pigmentation. This research provides the first regional epidemiological characterization of BOSCC in the Azores, highlighting the interplay among environmental, genetic, and management-related factors in disease occurrence. Full article
Show Figures

Figure 1

24 pages, 4336 KB  
Article
Smart Enough? What Italian Farmers Reveal About Dairy Cow Technologies: A Survey Study
by Martina Lamanna, Edlira Muca, Chiara Montano, Marco Bovo, Francesco Petretto, Riccardo Colleluori, Andrea Formigoni and Damiano Cavallini
Animals 2026, 16(8), 1170; https://doi.org/10.3390/ani16081170 - 11 Apr 2026
Viewed by 67
Abstract
Precision Livestock Farming (PLF) tools are increasingly used in dairy production, but their success depends on farmers’ perceptions, needs and investment capacity. This study explores the current use of digital technologies, satisfaction levels and future expectations among Italian dairy farmers. An online questionnaire [...] Read more.
Precision Livestock Farming (PLF) tools are increasingly used in dairy production, but their success depends on farmers’ perceptions, needs and investment capacity. This study explores the current use of digital technologies, satisfaction levels and future expectations among Italian dairy farmers. An online questionnaire with 19 questions collected 53 complete responses between May and November 2025. Most of the farms were free-stall Holstein dairy farms located in the Po Valley and managed by relatively young and well-educated farmers, many of whom had a background in animal production. The adoption of PLF tools was widespread: management software (73.6%), automated total mixed ration (TMR) preparation (66.0%), heat stress mitigation systems (62.3%) and collar sensors (52.8%) were the most adopted technologies. Satisfaction with current tools was high, although installation costs and poor system integration were consistently identified as major constraints. Farmers expressed clear priorities for future devices, particularly early diagnosis of health problems, calving, heat, lameness, and feeding and rumination functions. The results suggest that PLF in Italian dairy systems is moving from the adoption phase to that of consolidation. However, improvements in interoperability, affordability and farmer-centred design remain essential to support a wider and more equitable spread of the technology across the sector. Full article
(This article belongs to the Section Animal System and Management)
Show Figures

Figure 1

23 pages, 3629 KB  
Article
Characterization of Mannose-Rich Exopolysaccharides from Kefir Lactic Acid Bacteria and Their Techno-Functional Potential in Fermented Milk
by Tingting Zhang, Yunyan Li, Jingjing Leng, Zi Ye, Zhufang Duan, Bingfang Huang, Chunqiu Zhang, Muhammad Imran, Muhammad Azam, Bohan Sun and Yanglei Yi
Foods 2026, 15(8), 1322; https://doi.org/10.3390/foods15081322 - 10 Apr 2026
Viewed by 240
Abstract
Kefir grains are a valuable source of exopolysaccharide (EPS)-producing lactic acid bacteria (LAB) with potential applications in fermented dairy products. In this study, LAB isolated from kefir grains originating from five regions were screened for EPS production and probiotic-related properties. Three strains, Lactiplantibacillus [...] Read more.
Kefir grains are a valuable source of exopolysaccharide (EPS)-producing lactic acid bacteria (LAB) with potential applications in fermented dairy products. In this study, LAB isolated from kefir grains originating from five regions were screened for EPS production and probiotic-related properties. Three strains, Lactiplantibacillus plantarum XZ61, Lactobacillus kefiranofaciens EG10, and Lentilactobacillus kefiri EG12, were selected based on high EPS yield, antimicrobial activity, antioxidant capacity, and tolerance to acidic and bile salt conditions. After optimization, the highest EPS yield (539.57 μg/mL) was obtained from strain EG10.The purified EPS consisted of two molecular weight fractions (≈1.4 and 23~25 kDa) and was rich in mannose (33.38~61.58%). Among the three EPS, EG10-EPS exhibited superior emulsifying and flocculating properties comparable to commercial stabilizers, as well as notable ABTS•+ and hydroxyl radical scavenging activities. Furthermore, co-fermentation of L. kefiranofaciens EG10 with conventional yogurt starter cultures significantly improved exopolysaccharide content, water-holding capacity, texture, and antioxidant activity of fermented milk, particularly in cow milk. These results demonstrate the potential of kefir-derived EPS-producing LAB as natural functional cultures for fermented dairy applications. Full article
Show Figures

Figure 1

15 pages, 6921 KB  
Article
Airborne Movement of Antibiotic Resistance Genes Between Livestock Stables and Farmers’ Homes
by Hesham Amin, Tina Šantl-Temkiv, Kai Finster, Vivi Schlünssen, Torben Sigsgaard, Inge M. Wouters, Martin Tang Sørensen, Andrei Malinovschi, Hulda Thorarinsdottir and Randi J. Bertelsen
Microorganisms 2026, 14(4), 855; https://doi.org/10.3390/microorganisms14040855 - 10 Apr 2026
Viewed by 221
Abstract
Antibiotic resistance genes (ARGs) are prevalent in livestock environments due to antimicrobial use, yet their airborne dispersal into human-occupied indoor spaces remains poorly characterized. We investigated whether airborne ARGs disperse from livestock stables into farmers’ homes and surrounding outdoor environments. Electrostatic dust collectors [...] Read more.
Antibiotic resistance genes (ARGs) are prevalent in livestock environments due to antimicrobial use, yet their airborne dispersal into human-occupied indoor spaces remains poorly characterized. We investigated whether airborne ARGs disperse from livestock stables into farmers’ homes and surrounding outdoor environments. Electrostatic dust collectors were deployed in paired pig and cow stables and their associated homes in Jutland, Denmark, to collect settled airborne dust. Pooled samples were analyzed using shotgun metagenomic sequencing. ARG dispersal patterns were assessed using FEAST source tracking and ecological similarity metrics, including shared ARG ratios and Jaccard indices. Pig production systems exhibited higher antibiotic use and stronger resistome continuity with farmers’ homes than cow systems, reflected by greater FEAST contributions (P = 0.029) and Jaccard similarity (P = 0.029). Beta-diversity analysis supported higher compositional similarity between pig stables and homes (PERMANOVA R2 = 0.23, p = 0.052), whereas cow environments showed greater divergence (R2 = 0.41, P = 0.035). Across environments, tetracycline, macrolide–lincosamide–streptogramin B, and aminoglycoside resistance genes dominated, consistent with livestock-specific antibiotic use patterns. Supplementary indoor–outdoor comparisons across cow, pig, and chicken stables (from an independent 2024 sampling campaign not directly comparable to the 2008 EDC-based survey) revealed contrasting dispersal dynamics, with higher bacterial species spillover from cow stables but stronger ARG overlap from pig stables. Collectively, these findings are consistent with airborne ARG connectivity across occupational and environmental interfaces and support consideration of air as a potential pathway in One Health AMR surveillance. Full article
(This article belongs to the Special Issue Advances in Airborne Microbial Communities)
Show Figures

Figure 1

17 pages, 3692 KB  
Article
Multi-Omics and Chemometric Analysis of Aroma Profiles in Plant-Based Milk Alternatives and Cow Milk
by Junhan Zhang, Tatsuro Maeda, Shuntaro Isoya, Takayoshi Tanaka, Rin Yoshikawa, Daiki Maehara, Keisuke Motoyanagi, Mari (Maeda) Yamamoto, Kazuya Hasegawa and Tetsuya Araki
Appl. Sci. 2026, 16(8), 3708; https://doi.org/10.3390/app16083708 - 10 Apr 2026
Viewed by 74
Abstract
Rapid expansion of the plant-based milk market has increased the need to understand how the aroma profiles of these alternatives differ from that of dairy milk and how raw material selection and processing influence volatile formation. This study compared the volatile profiles of [...] Read more.
Rapid expansion of the plant-based milk market has increased the need to understand how the aroma profiles of these alternatives differ from that of dairy milk and how raw material selection and processing influence volatile formation. This study compared the volatile profiles of dairy milk, commercial plant-based milks, and laboratory-prepared cereal and pseudocereal milk prototypes to identify promising materials for plant-based milk development. Comprehensive two-dimensional gas chromatography time-of-flight mass spectrometry (GC×GC-TOFMS) combined with chemometric analysis was used to characterize volatile compounds in bovine milk, four commercial plant milks, and five laboratory-prepared plant milks. Dairy milk was characterized by fatty acids, esters, and other lipid-derived volatiles, whereas plant-based samples were associated with hydrocarbons, pyrazines, ketones, and phenols. Within the plant-based group, volatile differences were influenced by raw material type and processing history. Commercial products showed more evident processing-related features, whereas laboratory-prepared cereal samples exhibited a simpler volatile background. Among them, barley milk displayed a distinctive toasted and cereal-like signature. Overall, the selected cereal and pseudocereal matrices showed distinct volatile characteristics, as well as relatively uniform raw material backgrounds, implying greater flexibility in aroma expression. These features make them promising candidates for dairy alternatives and may help guide future plant-based milk formulation. Full article
Show Figures

Figure 1

1 pages, 127 KB  
Retraction
RETRACTED: Hardan et al. Variability in Enteric Methane Emissions among Dairy Cows during Lactation. Animals 2023, 13, 157
by Ali Hardan, Philip C. Garnsworthy and Matt J. Bell
Animals 2026, 16(8), 1140; https://doi.org/10.3390/ani16081140 - 9 Apr 2026
Viewed by 116
Abstract
The journal retracts the article “Variability in Enteric Methane Emissions among Dairy Cows during Lactation” [...] Full article
23 pages, 5630 KB  
Article
Rumen–Plasma–Milk Metabolomics Profiling Revealed Metabolic Alterations Associated with Milk Fat Synthesis in Chinese Holstein Cows
by Huimin Zhang, Sam Carie Kollie, Tianyu Xia, Zhendong Yang, Marazi Tanaka Ian, Ahmed A. Elolimy, Wanqiong Wang, Dongsheng Lu, Yi Li, Mingxun Li, Juan J. Loor, Yongjiang Mao and Zhangping Yang
Animals 2026, 16(8), 1136; https://doi.org/10.3390/ani16081136 - 8 Apr 2026
Viewed by 295
Abstract
Milk fat synthesis in dairy cows is a complex process affected by ruminal fermentation, systemic metabolism, and mammary gland activity. To explore the metabolic interplay across these systems, a multi-tissue metabolomics approach (rumen fluid, plasma, and milk) using ultra-high-performance liquid chromatography–mass spectrometry was [...] Read more.
Milk fat synthesis in dairy cows is a complex process affected by ruminal fermentation, systemic metabolism, and mammary gland activity. To explore the metabolic interplay across these systems, a multi-tissue metabolomics approach (rumen fluid, plasma, and milk) using ultra-high-performance liquid chromatography–mass spectrometry was used to identify metabolic differences between Chinese Holstein cows with high (H-MF, 5.82 ± 0.41%) and low (L-MF, 3.60 ± 0.12%) milk fat content under the same diet. The bovine mammary epithelial cells (BMECs) were also cultured to evaluate the impact of a key metabolite, malic acid (MA), on lipid metabolism. Our findings reveal distinct metabolic profiles across rumen fluid, plasma, and milk, with 96, 109, and 79 differential metabolites, respectively, between the L-MF and H-MF groups. In rumen fluid, H-MF cows showed higher levels of lauric acid and succinic acid, linked to fatty acid biosynthesis, while the L-MF cows had elevated citraconic and orotic acids, associated with amino acid metabolism and liver stress. Plasma from the H-MF cows contained higher β-hydroxybutyric acid, methionine sulfoxide, and phosphatidylcholine, supporting lipogenesis, whereas L-MF plasma showed increased 3-hydroxy-L-proline, indicating tissue catabolism. In milk, the L-MF cows had higher MA, while the H-MF cows exhibited elevated L-carnitine, linked to fatty acid β-oxidation. Metabolite trend analysis during rumen fluid–plasma–milk showed that 211 metabolites were classified into 8 profiles. Profile 1 had the largest number of metabolites whose levels were down-regulated from rumen to plasma and enriched in lipid metabolism. Profile 3 (mainly related to amino acid metabolism) and profile 4 (mainly related to energy metabolism) exhibited opposite trends from plasma to milk. In vitro, 200 μM of MA reduced the triglyceride content in BMECs and down-regulated lipogenic genes and their protein expression levels (fatty acid synthase, stearoyl-CoA desaturase and sterol regulatory element binding protein 1). These results highlight how rumen fluid, plasma, and milk metabolites collectively influence milk fat synthesis, with MA acting as a key regulator of lipid metabolism in mammary epithelial cells. Full article
(This article belongs to the Special Issue Nutrition and Metabolism of Cows and Stress Responses)
Show Figures

Figure 1

15 pages, 5046 KB  
Article
Development of an AAPH-Induced Oxidative Stress Model in Bovine Mammary Epithelial Cells and Investigation of Its Molecular Mechanisms
by Yuanyuan Zhang, Daqing Wang, Jiahui Wu, Zhiwei Sun, Guifang Cao and Yong Zhang
Antioxidants 2026, 15(4), 460; https://doi.org/10.3390/antiox15040460 - 8 Apr 2026
Viewed by 184
Abstract
Bovine mastitis is a multifactorial inflammatory disease primarily characterized by inflammatory cell infiltration and the destruction of mammary alveoli. It is a major cause of reduced milk yield and quality. The imbalance between antioxidant defenses and the generation of reactive oxygen species (ROS), [...] Read more.
Bovine mastitis is a multifactorial inflammatory disease primarily characterized by inflammatory cell infiltration and the destruction of mammary alveoli. It is a major cause of reduced milk yield and quality. The imbalance between antioxidant defenses and the generation of reactive oxygen species (ROS), which occurs due to the high metabolic activity of the mammary gland during the periparturient period, increases the incidence of mastitis. During early lactation, especially in high-yielding dairy cows, the massive synthesis and secretion of milk increase the energy demand of mammary tissue, leading to excessive ROS accumulation. This results in cell membrane disruption and, ultimately, antioxidant dysfunction in the mammary tissue. This study established an in vitro oxidative stress model by treating bovine mammary epithelial cells (BMECs) with 2,2′-azobis(2-amidinopropane) dihydrochloride (AAPH). The optimal concentration of 1000 μmol/L AAPH was determined using the CCK-8 assay. Model validation showed that, compared to the control group, ROS levels were significantly elevated (p < 0.001) and mitochondrial membrane potential was significantly decreased (p < 0.001) in the AAPH-treated group. Transmission electron microscopy (TEM) analysis revealed that AAPH treatment caused ultrastructural damage, including reduced microvilli, mitochondrial swelling, disappearance of cristae, and vacuolization. Mechanistic studies demonstrated that AAPH treatment significantly upregulated the mRNA and protein expression of AMPK, HMOX-1, mTOR, NOS, and SOD (p < 0.001), while significantly downregulating CYP1A1 expression (p < 0.001). Pretreatment with N-acetylcysteine (NAC) effectively alleviated the oxidative stress damage caused by AAPH. This study successfully established an in vitro AAPH-induced oxidative stress model in BMECs and revealed its molecular mechanism of cellular damage. The damage occurs through modulation of the AMPK/mTOR signaling pathway and the regulation of antioxidant-related gene expression. Full article
(This article belongs to the Section Health Outcomes of Antioxidants and Oxidative Stress)
Show Figures

Figure 1

21 pages, 8107 KB  
Article
Multidisciplinary Analysis of Dripping and Leakage Problems in Kitchenware: Design, Material, and Ergonomic Approaches to the Teapot Effect
by Batuhan Göçen
Fluids 2026, 11(4), 95; https://doi.org/10.3390/fluids11040095 - 7 Apr 2026
Viewed by 153
Abstract
This study investigates the dripping and leakage problem in kitchenware known as the “teapot effect” through a multidisciplinary experimental approach encompassing fluid mechanics, material science, and ergonomic design. Unlike previous studies confined to idealized geometries and single-fluid analyses, this work systematically examines 32 [...] Read more.
This study investigates the dripping and leakage problem in kitchenware known as the “teapot effect” through a multidisciplinary experimental approach encompassing fluid mechanics, material science, and ergonomic design. Unlike previous studies confined to idealized geometries and single-fluid analyses, this work systematically examines 32 distinct spout geometries from commercially available teapots, coffee pots, and milk jugs under realistic operating conditions. Experiments were performed using three fluids with contrasting rheological properties: boiling black tea, cow’s milk, and Turkish coffee on a precision rotating platform operating at quasi-static (1°/s) to isolate surface tension, gravitational, and geometric effects from inertial forces. Three quantitative parameters were measured for each specimen: capillary dome angle, teapot effect angle range, and optimum pouring angle. Results demonstrate that spout tip geometry is the dominant controlling parameter. Thin-lipped elliptical cross-sections effectively suppressed dripping, whereas triangular and wide curved geometries produced the teapot effect across broad pouring angle ranges reaching up to 70°. A spout outlet extension length of 4–5 mm combined with a spout tip radius below 4 mm was found necessary and sufficient for clean flow separation. Furthermore, suspended particles and proteins in milk and Turkish coffee were shown to intensify the teapot effect by disrupting contact line dynamics at the spout tip. These findings provide quantitative design thresholds directly applicable to industrial kitchenware development. Full article
(This article belongs to the Special Issue Research on the Formation and Movement of Droplets)
Show Figures

Figure 1

16 pages, 1973 KB  
Article
Replacing up to 50% of Corn Silage with Triticale Silage Alters the Fecal Microbiome but Not Milk Yield or Composition in Mid-Lactation Holstein Cows
by Erlong Wang, Xiaoxia Han, Weidong Sun, Chen Zheng and Wenhua Du
Animals 2026, 16(7), 1122; https://doi.org/10.3390/ani16071122 - 7 Apr 2026
Viewed by 234
Abstract
Diversifying forage sources may improve the sustainability and flexibility of dairy production. In a 60 d feeding trial, 72 mid-lactation Holstein cows were assigned to three treatments (24 cows/group) and fed a total mixed ration in which corn silage represented 41.16% of dietary [...] Read more.
Diversifying forage sources may improve the sustainability and flexibility of dairy production. In a 60 d feeding trial, 72 mid-lactation Holstein cows were assigned to three treatments (24 cows/group) and fed a total mixed ration in which corn silage represented 41.16% of dietary dry matter in the control diet; 25% or 50% of this corn silage fraction was replaced with triticale silage (TS) on a dry matter basis. The study evaluated whether partial TS substitution could maintain lactational performance while affecting fecal fermentation and microbiota. Replacing corn silage with TS did not affect milk yield, 4% fat-corrected milk, major milk components, or metabolic indicators. However, 50% replacement increased fecal bacterial richness and diversity, as reflected by ACE, Chao1, and Shannon indices, and altered the overall microbial community structure. This treatment also changed fecal volatile fatty acid profiles, including increasing the proportions of branched-chain volatile fatty acids. Overall, TS can replace up to 50% of the corn silage fraction in the ration of mid-lactation cows without compromising milk production or composition, while modifying hindgut microbial ecology and fermentation patterns, thereby offering greater ration flexibility when corn silage availability is limited or costly. Full article
Show Figures

Figure 1

15 pages, 261 KB  
Article
A Comparison of Airborne Microbial Load on Four Housed Dairy Farms
by Gergana Bachevska, Georgi Beev, Dimo Dimov, Elena Stancheva and Toncho Penev
Vet. Sci. 2026, 13(4), 357; https://doi.org/10.3390/vetsci13040357 - 5 Apr 2026
Viewed by 253
Abstract
Airborne microbial contamination in dairy cattle housing is strongly influenced by housing conditions and management practices. This study evaluated the influence of environmental and housing parameters on total bacterial, coliform, and mold levels across four dairy farms. Microclimatic variables, including temperature, relative humidity, [...] Read more.
Airborne microbial contamination in dairy cattle housing is strongly influenced by housing conditions and management practices. This study evaluated the influence of environmental and housing parameters on total bacterial, coliform, and mold levels across four dairy farms. Microclimatic variables, including temperature, relative humidity, wind speed, bedding moisture, air volume per cow, particulate matter (PM1, PM2.5, PM10), and total volatile organic compounds (TVOCs), were measured. Comparative analyses showed that air volume per cow and bedding moisture were consistently associated with variability in total microbial and mold counts, while particulate matter and wind speed were linked to differences in airborne coliforms. Generalized linear mixed models indicated that most environmental variables did not have statistically significant effects, with the exception of farm type for coliforms and temperature for molds. The predominance of non-significant environmental effects, together with more consistent differences observed between farms, suggests that variability in airborne microbial levels is more strongly associated with farm-specific management and housing characteristics than with individual environmental parameters. Overall, the findings highlight the combined influence of housing design, management practices, and environmental conditions, emphasizing the importance of optimized ventilation and bedding management to improve air quality in dairy cattle housing. Full article
(This article belongs to the Special Issue From Barn to Table: Animal Health, Welfare, and Food Safety)
12 pages, 235 KB  
Article
Association of Rumination Time with Metabolic Imbalance and Milk Quality Traits in Holstein Cattle
by Samanta Grigė, Akvilė Girdauskaitė, Lina Anskienė, Inga Sabeckienė, Karina Džermeikaitė, Justina Krištolaitytė, Dovilė Malašauskienė, Mindaugas Televičius and Ramūnas Antanaitis
Biology 2026, 15(7), 581; https://doi.org/10.3390/biology15070581 - 5 Apr 2026
Viewed by 379
Abstract
Rumination time is considered a sensitive behavioral indicator of physiological and metabolic status in dairy cows, yet its relationships with biochemical and milk quality parameters under commercial robotic milking conditions remain insufficiently described. This study combined precision monitoring technologies, serum biochemical profiling, and [...] Read more.
Rumination time is considered a sensitive behavioral indicator of physiological and metabolic status in dairy cows, yet its relationships with biochemical and milk quality parameters under commercial robotic milking conditions remain insufficiently described. This study combined precision monitoring technologies, serum biochemical profiling, and in-line milk analysis to evaluate physiological differences among early-lactation Holstein cows according to rumination time. A total of 88 cows were classified into three rumination time categories (>527, 412–527, and <412 min/day). Milk production traits, milk quality indicators, and blood biochemical parameters were compared among groups, and univariable regression analysis was performed to identify variables associated with rumination time. Cows in the low rumination group showed higher milk temperature, electrical conductivity, and somatic cell count, as well as lower milk protein percentage. They also showed higher concentrations of total protein, urea, gamma-glutamyl transferase, and lactate dehydrogenase, while triglyceride concentrations were lower. Regression analysis identified electrical milk conductivity, creatinine, magnesium, potassium, and chloride as variables associated with rumination time. These findings indicate that reduced rumination time is associated with changes in milk quality and biochemical parameters in early-lactation dairy cows, suggesting that rumination monitoring may provide useful information for identifying cows experiencing physiological and metabolic challenges under commercial farming conditions. Full article
(This article belongs to the Special Issue Nutritional Physiology of Animals)
Back to TopTop