Effects of Dietary Riboflavin Supplementation on the Growth Performance, Body Composition and Anti-Oxidative Capacity of Coho Salmon (Oncorhynchus kisutch) Post-Smolts
Simple Summary
Abstract
1. Introduction
2. Materials and Methods
2.1. Experimental Diets
2.2. Feeding Trial
2.3. Sampling Procedures
2.4. Analytical Methods
2.4.1. Growth Performance
2.4.2. Proximate Composition Analysis
2.4.3. Biochemical Tissue Analysis
2.5. Statistical Analyses
3. Results
3.1. Growth Performance
3.2. Muscle Proximate Composition
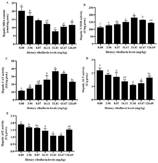
3.3. MDA, T-SOD, CAT, ALT, AST Activities in Liver
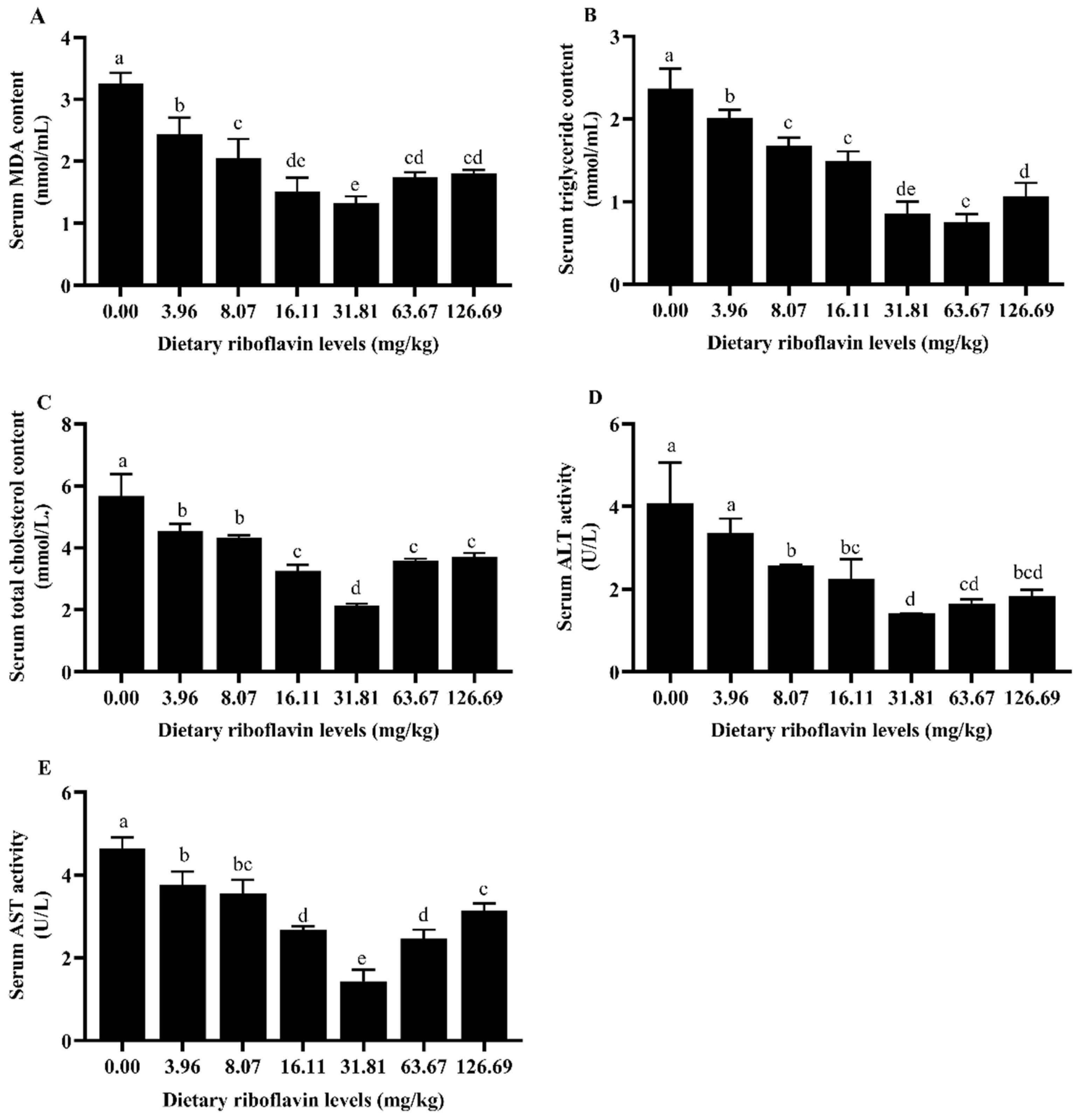
3.4. MDA, Triglyceride, Total Cholesterol, ALT, AST Activities in Serum
4. Discussion
4.1. Growth Performance in Coho Salmon
4.2. Muscle Proximate Composition
4.3. Liver and Serum Biochemical Indicators
5. Conclusions
Author Contributions
Funding
Institutional Review Board Statement
Informed Consent Statement
Data Availability statement
Conflicts of Interest
References
- NRC (National Research Council). Nutrient Requirements of Fish and Shrimp; The National Academy Press: Washington, DC, USA, 2011. [Google Scholar]
- Saedisomeolia, A.; Ashoori, M. Riboflavin in human health: A review of current evidences. Adv. Food Nutr. Res. 2018, 83, 57–81. [Google Scholar] [PubMed]
- Karthikeyan, S.; Zhou, Q.; Mseeh, F.; Grishin, N.V.; Osterman, A.L.; Zhang, H. Crystal structure of human riboflavin kinase reveals a β barrel fold and a novel active site arch. Structure 2003, 11, 265–273. [Google Scholar] [CrossRef]
- Olfat, N.; Ashoori, M.; Saedisomeolia, A. Riboflavin is an antioxidant: A review update. Br. J. Nutr. 2022, 128, 21–27. [Google Scholar] [CrossRef] [PubMed]
- Thakur, K.; Tomar, S.K.; Singh, A.K.; Mandal, S.; Arora, S. Riboflavin and health: A review of recent human research. Crit. Rev. Food Sci. Nutr. 2017, 57, 3650–3660. [Google Scholar] [CrossRef]
- Jiang, W.; Chen, L.; Liu, Y.; Feng, L.; Wu, P.; Jiang, J.; Kuang, S.; Tang, L.; Tang, W.; Zhou, X. Impact and consequences of dietary riboflavin deficiency treatment on flesh quality loss in on-growing grass carp (Ctenopharyngodon idella). Food Funct. 2019, 10, 3396–3409. [Google Scholar] [CrossRef]
- Li, W.; Zhou, X.Q.; Feng, L.; Liu, Y.; Jiang, J. Effect of dietary riboflavin on growth, feed utilization, body composition and intestinal enzyme activities of juvenile Jian carp (Cyprinus carpio var. Jian). Aquac. Nutr. 2010, 16, 137–143. [Google Scholar] [CrossRef]
- Lim, C.; Leamaster, B.; Brock, J.A. Riboflavin requirement of fingerling red hybrid tilapia grown in seawater. J. World Aquac. Soc. 1993, 24, 451–458. [Google Scholar] [CrossRef]
- Woodward, B. Riboflavin supplementation of diets for rainbow trout. J. Nutr. 1982, 112, 908–913. [Google Scholar] [CrossRef]
- Zehra, S.; Khan, M.A. Dietary riboflavin requirement of fingerling Channa punctatus (Bloch) based on growth, conversion efficiencies, protein retention, liver riboflavin storage, RNA/DNA ratio and carcass composition. Aquac. Nutr. 2018, 24, 269–276. [Google Scholar] [CrossRef]
- Arthur, M.P.; Donald, R.B. The Nutrition of trout: IV. Vitamin requirements. Prog. Fish Cult. 1957, 19, 119–123. [Google Scholar]
- Suwannasom, N.; Kao, I.; Pruß, A.; Georgieva, R.; Bäumler, H. Riboflavin: The Health benefits of a forgotten natural vitamin. Int. J. Mol. Sci. 2020, 21, 950. [Google Scholar] [CrossRef] [PubMed]
- Ashoori, M.; Saedisomeolia, A. Riboflavin (vitamin B2) and oxidative stress: A review. Br. J. Nutr. 2014, 21, 1985–1991. [Google Scholar] [CrossRef] [PubMed]
- Tripathi, A.K.; Dwivedi, A.; Pal, M.K.; Rastogi, N.; Gupta, P.; Ali, S.; Prabhu, M.B.; Kushwaha, H.N.; Ray, R.S.; Singh, S.K.; et al. Attenuated neuroprotective effect of riboflavin under UV-B irradiation via miR-203/c-Jun signaling pathway in vivo and in vitro. J. Biomed. Sci. 2014, 21, 39. [Google Scholar] [CrossRef] [PubMed]
- Powers, H.J.; Corfe, B.M.; Nakano, E. Riboflavin in development and cell fate. In: Stanger, O. (ed.), Water Soluble Vitamins. Subcell. Biochem. 2012, 56, 229–245. [Google Scholar] [PubMed]
- Insińska-Rak, M.; Sikorski, M. Riboflavin interactions with oxygen-a survey from the photochemical perspective. Chemistry 2014, 20, 15280–15291. [Google Scholar] [CrossRef]
- Zhang, B.; Zhao, R.; Fouad, A.M.; Wu, Y.B.; Sun, P.; Wei, J.; Huang, W.; Xie, M.; Tang, J.; Hou, S. Research Note: Effects of riboflavin on reproductive performance and antioxidant status of duck breeders. Poult. Sci. 2020, 99, 1564–1570. [Google Scholar] [CrossRef]
- Cogburn, L.A.; Smarsh, D.N.; Wang, X.F.; Trakooljul, N.; Carré, W.; White, H.B. Transcriptional profiling of liver in riboflavin-deficient chicken embryos explains impaired lipid utilization, energy depletion, massive hemorrhaging, and delayed feathering. BMC Genom. 2018, 19, 177. [Google Scholar] [CrossRef]
- Al-Harbi, N.O.; Imam, F.; Nadeem, A.; Al-Harbi, M.M.; Korashy, H.M.; Sayed-Ahmed, M.M.; Hafez, M.M.; Al-Shabanah, O.A.; Nagi, M.N.; Bahashwan, S. Riboflavin attenuates lipopolysaccharide-induced lung injury in rats. Toxicol. Mech. Methods 2015, 25, 417–423. [Google Scholar] [CrossRef]
- Perumal, S.S.; Shanthi, P.; Sachdanandam, P. Augmented efficacy of tamoxifen in rat breast tumorigenesis when gavaged along with riboflavin, niacin, and CoQ10: Effects on lipid peroxidation and antioxidants in mitochondria. Chem. Biol. Interact. 2005, 152, 49–58. [Google Scholar] [CrossRef]
- Chen, L.; Feng, L.; Jiang, W.D.; Jiang, J.; Wu, P.; Zhao, J.; Kuang, S.Y.; Tang, L.; Tang, W.N.; Zhang, Y.A.; et al. Dietary riboflavin deficiency decreases immunity and antioxidant capacity, and changes tight junction proteins and related signaling molecules mRNA expression in the gills of young grass carp (Ctenopharyngodon idella). Fish Shellfish Immunol. 2015, 45, 307–320. [Google Scholar] [CrossRef]
- Halver, J.E.; Ashley, L.M.; Smith, R.R. Ascorbic acid requirements of coho salmon and rainbow trout. Trans. Am. Fish. Soc. 1969, 98, 762–771. [Google Scholar] [CrossRef]
- Huang, C.H.; Higgs, D.A.; Balfry, S.K.; Devlin, R.H. Effect of dietary vitamin E level on growth, tissue lipid peroxidation, and erythrocyte fragility of transgenic coho salmon, Oncorhynchus kisutch. Comp. Biochem. Physiol. Part A Mol. Integr. Physiol. 2004, 139, 199–204. [Google Scholar] [CrossRef] [PubMed]
- Association of Official Analytical Chemists (AOAC). Official Methods of Analysis of Official Analytical Chemists International, 16th ed.; Association of Official Analytical Chemists: Arlington, VA, USA, 2005. [Google Scholar]
- Ayhanci, A.; Günes, S.; Sahinturk, V.; Appak, S.; Uyar, R.; Cengiz, M.; Altune, Y.; Yaman, S. Seleno L-methionine acts on cyclophosphamide-induced kidney toxicity. Biol. Trace Elem. Res. 2010, 136, 171–179. [Google Scholar] [CrossRef] [PubMed]
- Kosik-Bogacka, D.I.; Baranowska- Bosiacka, I.; Noceń, I.; Jakubowska, K.; Chlubek, D. Hymenolepis diminuta: Activity of antioxidant enzymes in different parts of rat gastrointestinal tract. Exp. Parasttol. 2011, 128, 265–271. [Google Scholar] [CrossRef] [PubMed]
- Reitman, S.; Frankel, S. A colorimetric method for the determination of serum glutamic oxalacetic and glutamic pyruvic transaminases. Am. J. Clin. Pathol. 1957, 28, 56–63. [Google Scholar] [CrossRef]
- Hardisari, R.; Koiriyah, B. Gambaran Kadar Trigliserida (Metode Gpo-Pap) Pada Sampel Serum dan Plasma EDTA. J. Teknol. Lab. 2016, 5, 27–31. [Google Scholar]
- Deng, D.F.; Wilson, R.P. Dietary riboflavin requirement of juvenile sunshine bass (Morone chrysops ♀ × Morone saxatilis ♂). Aquaculture 2003, 218, 695–701. [Google Scholar] [CrossRef]
- Hansen, A.C.; Waagbø, R.; Hemre, G.I. New B vitamin recommendations in fish when fed plant-based diets. Aquac. Nutr. 2015, 21, 507–527. [Google Scholar] [CrossRef]
- Jobling, M. National Research Council (NRC): Nutrient requirements of fish and shrimp. Aquac. Int. 2012, 20, 601–602. [Google Scholar] [CrossRef]
- Murai, T.; Andrews, J.W. Riboflavin requirement of channel catfish fingerlings. J. Nutr. 1978, 108, 1512–1517. [Google Scholar] [CrossRef]
- Woodward, B. Dietary vitamin requirements of cultured young fish, with emphasis on quantitative estimates for salmonids. Aquaculture 1994, 124, 133–168. [Google Scholar] [CrossRef]
- Mclaren, B.A.; Keller, E. The nutrition of rainbow trout; studies of vitamin requirements. Arch. Biochem. Biophys. 1947, 15, 169–178. [Google Scholar]
- Halver, J.E. The vitamins required for cultivated salmonids. Comp. Biochem. Physiol. B Comp. Biochem. 1982, 73, 43–50. [Google Scholar] [CrossRef]
- Hemre, G.I.; Lock, E.J.; Olsvik, P.A.; Hamre, K.; Espe, M.; Torstensen, B.E.; Silva, J.; Hansen, A.C.; Waagbø, R.; Johansen, J.S.; et al. Atlantic salmon (Salmo salar) require increased dietary levels of B-vitamins when fed diets with high inclusion of plant based ingredients. PeerJ 2016, 4, e2493. [Google Scholar] [CrossRef] [PubMed]
- Chen, L.; Feng, L.; Jiang, W.; Jiang, J.; Wu, P.; Zhao, J.; Kuang, S.; Tang, L.; Tang, W.; Zhang, Y.; et al. Intestinal immune function, antioxidant status and tight junction proteins mRNA expression in young grass carp (Ctenopharyngodon idella) fed riboflavin deficient diet. Fish Shellfish Immunol. 2015, 47, 470–484. [Google Scholar] [CrossRef]
- Morris, P.C.; Davies, S.J.; Lowe, D.M. Qualitative requirement for B vitamins in diets for the gilthead seabream (Sparus aurata L.). Anim. Sci. 1995, 61, 419–426. [Google Scholar] [CrossRef]
- Brønstad, I.; Bjerkås, I.; Waagbø, R. The need for riboflavin supplementation in high and low energy diets for Atlantic salmon Salmo salar L. parr. Aquac. Nutr. 2002, 8, 209–220. [Google Scholar] [CrossRef]
- Zhang, L.; Feng, L.; Jiang, W.; Liu, Y.; Jiang, J.; Li, S.; Tang, L.; Kuang, Y.; Zhou, X. The impaired flesh quality by iron deficiency and excess is associated with increasing oxidative damage and decreasing antioxidant capacity in the muscle of young grass carp (Ctenopharyngodon idellus). Aquac. Nutr. 2016, 22, 191–201. [Google Scholar] [CrossRef]
- He, B.; Shi, Y.; Jin, M.; Pu, Y.; Dong, X.; Yu, C.; Qi, H. Improvement of myofibrillar protein gel strength of Scomberomorus niphonius by riboflavin under UVA irradiation. J. Texture Stud. 2020, 51, 601–611. [Google Scholar] [CrossRef]
- Lanari, D.; Poli, B.M.; Ballestrazzi, R.; Lupi, P.; D’Agaro, E.; Mecatti, M. The effects of dietary fat and NFE levels on growing European sea bass (Dicentrarchus labrax L.). Growth rate, body and fillet composition, carcass traits and nutrient retention efficiency. Aquaculture 1999, 179, 351–364. [Google Scholar] [CrossRef]
- Zhang, B.; Tang, J.; Wu, Y.; Cao, J.; Xing, G.; Sun, P.; Huang, W.; Xie, M.; Hou, S. Effects of riboflavin deficiency on the lipid metabolism of duck breeders and duck embryos. Poult. Sci. 2021, 100, 101342. [Google Scholar] [CrossRef] [PubMed]
- Amezaga, M.R.; Knox, D. Riboflavin requirements on on-growing rainbow trout, Oncorhynchus mykiss. Aquaculture 1990, 88, 87–98. [Google Scholar] [CrossRef]
- Bian, X.; Gao, W.; Wang, Y.; Yao, Z.; Xu, Q.; Guo, C.; Li, B. Riboflavin deficiency affects lipid metabolism partly by reducing apolipoprotein B100 synthesis in rats. J. Nutr. Biochem. 2019, 70, 75–81. [Google Scholar] [CrossRef] [PubMed]
- Hughes, S.G.; Rumsey, G.L.; Nickum, J.G. Riboflavin Requirement of Fingerling Rainbow Trout. Progress. Fish Cult. 2011, 43, 167–172. [Google Scholar] [CrossRef]
- Qian, Y.; Li, X.; Sun, C.; Jiang, G.; Xu, W.; Wang, Y.; Liu, W. Dietary biotin requirement of juvenile blunt snout bream, Megalobrama amblycephala. Aquac. Nutr. 2014, 20, 616–622. [Google Scholar] [CrossRef]
- Lackner, R. “Oxidative stress” in fish by environmental pollutants. In Fish Ecotoxicology; Birkhause: Basel, Switzerland, 1998; pp. 203–224. [Google Scholar]
- Kovacik, A. Oxidative stress in fish induced by environmental pollutants. J. Anim. Sci. Biotechnol. 2017, 50, 121–125. [Google Scholar]
- Tang, J.; Wen, Z.G.; Guo, Z.B.; Huang, W.; Guo, Y.M.; Xie, M.; Hou, S.S. Dietary riboflavin supplementation improve the growth performance and antioxidant status of starter white Pekin ducks fed a corn–soybean meal diets. Livest. Sci. 2014, 170, 131–136. [Google Scholar] [CrossRef]
- Vijayavel, K.; Balasubramanian, M.P. Fluctuations of biochemical constituents and marker enzymes as a consequence of naphthalene toxicity in the edible estuarine crab Scylla serrata. Ecotoxicol. Environ. Saf. 2006, 63, 141–147. [Google Scholar] [CrossRef]
- Serrini, G.; Zhang, Z.; Wilson, R.P. Dietary riboflavin requirement of fingerling channel catfish (Ictalurus punctatus). Aquaculture 1996, 139, 285–290. [Google Scholar] [CrossRef]
- Tandler, B.; Erlandson, R.A.; Wynder, E.L. Riboflavin and mouse hepatic cell structure and function. I. Ultrastructural alterations in simple deficiency. Am. J. Pathol. 1968, 52, 69–96. [Google Scholar]
- Hughes, S.G. Effect of excess dietary riboflavin on growth of rainbow trout. J. Nutr. 1984, 114, 1660–1663. [Google Scholar] [CrossRef] [PubMed]
- Kagawa, Y.; Yamamoto, T.; Uchiyama, K. Effect of feeding riboflavin on growth, meat quality and fatty accumulation in growing-finishing pigs. Bull. Hyogo Prefect. Agric. Inst. Anim. Husb. 1995, 31, 67–71. [Google Scholar]



| Ingredients | Dietary Riboflavin Level | ||||||
|---|---|---|---|---|---|---|---|
| 0.00 | 3.96 | 8.07 | 16.11 | 31.81 | 63.67 | 126.69 | |
| Casein 1 | 38.0 | 38.0 | 38.0 | 38.0 | 38.0 | 38.0 | 38.0 |
| Gelatin 1 | 12.0 | 12.0 | 12.0 | 12.0 | 12.0 | 12.0 | 12.0 |
| Corn oil 1 | 6.0 | 6.0 | 6.0 | 6.0 | 6.0 | 6.0 | 6.0 |
| Fish oil 1 | 3.0 | 3.0 | 3.0 | 3.0 | 3.0 | 3.0 | 3.0 |
| Dextrin 1 | 28.0 | 28.0 | 28.0 | 28.0 | 28.0 | 28.0 | 28.0 |
| α-cellulose 1 | 8.0 | 8.0 | 8.0 | 8.0 | 8.0 | 8.0 | 8.0 |
| Mono-calcium phosphate 1 | 1.5 | 1.5 | 1.5 | 1.5 | 1.5 | 1.5 | 1.5 |
| Mineral premix 2 | 2.5 | 2.5 | 2.5 | 2.5 | 2.5 | 2.5 | 2.5 |
| Vitamin premix (riboflavin free) 3 | 1.0 | 1.0 | 1.0 | 1.0 | 1.0 | 1.0 | 1.0 |
| Riboflavin (mg/kg) | 0.0 | 4.0 | 8.0 | 16.0 | 32.0 | 64.0 | 128.0 |
| Proximate composition | |||||||
| Moisture (%) | 11.23 | 11.26 | 11.25 | 11.24 | 11.04 | 10.80 | 10.88 |
| Crude protein (%) | 46.36 | 45.67 | 45.79 | 46.15 | 46.45 | 46.11 | 46.02 |
| Crude lipid (%) | 9.93 | 9.44 | 9.51 | 9.62 | 9.43 | 9.47 | 9.55 |
| Ash (%) | 5.44 | 5.27 | 5.55 | 5.42 | 5.70 | 5.92 | 5.37 |
| Gross energy (MJ/kg) | 21.07 | 21.23 | 21.45 | 21.53 | 21.29 | 21.40 | 21.22 |
| Riboflavin (mg/kg) | 0.00 | 3.96 | 8.07 | 16.11 | 31.81 | 63.67 | 126.69 |
| Dietary Riboflavin Levels (mg/kg) | 0.00 | 3.96 | 8.07 | 16.11 | 31.81 | 63.67 | 126.69 | p Value |
|---|---|---|---|---|---|---|---|---|
| Survival rate (%) | 96.67 ± 3.33 | 96.67 ± 3.33 | 100.00 ± 0.00 | 96.67 ± 3.33 | 100.00 ± 0.00 | 100.00 ± 0.00 | 96.67 ± 3.33 | 0.798 |
| Initial body weight (g) | 184.12 ± 1.47 | 185.27 ± 1.02 | 187.67 ± 0.24 | 185.68 ± 1.75 | 187.58 ± 0.55 | 187.22 ± 1.13 | 185.99 ± 1.82 | 0.480 |
| Final body weight (g) | 480.28 ± 3.29 d | 490.13 ± 1.94 cd | 517.11 ± 5.78 b | 520.36 ± 4.66 b | 537.54 ± 2.33 a | 521.05 ± 4.59 b | 494.7 ± 1.34 c | <0.001 |
| WGR | 160.91 ± 3.72 c | 164.55 ± 0.9 c | 175.55 ± 3.3 b | 180.33 ± 5.1 ab | 186.58 ± 2.06 a | 178.31 ± 2.32 ab | 166.03 ± 2.3 c | <0.001 |
| Food intake | 773.3 ± 6.16 | 778.15 ± 4.27 | 788.21 ± 1.01 | 779.87 ± 7.36 | 787.82 ± 2.3 | 786.34 ± 4.74 | 781.16 ± 7.65 | 0.408 |
| SGR (%/day) | 1.14 ± 0.02 c | 1.16 ± 0.01 c | 1.21 ± 0.02 b | 1.23 ± 0.03 ab | 1.25 ± 0.01 a | 1.22 ± 0.01 ab | 1.17 ± 0.01 c | <0.001 |
| FCR | 2.18 ± 0.05 a | 2.13 ± 0.01 a | 2.00 ± 0.04 b | 1.94 ± 0.06 bc | 1.88 ± 0.02 c | 1.96 ± 0.03 bc | 2.11 ± 0.03 a | <0.001 |
| CF (g/cm3) | 1.68 ± 0.04 | 1.68 ± 0.02 | 1.60 ± 0.04 | 1.63 ± 0.07 | 1.66 ± 0.01 | 1.62 ± 0.01 | 1.64 ± 0.02 | 0.053 |
| HSI (%) | 0.95 ± 0.03 | 1.03 ± 0.04 | 0.99 ± 0.04 | 0.93 ± 0.04 | 0.99 ± 0.03 | 1.05 ± 0.04 | 0.96 ± 0.03 | 0.658 |
| VSI (%) | 7.81 ± 0.45 | 8.02 ± 0.33 | 8.35 ± 0.52 | 7.96 ± 0.42 | 8.15 ± 0.17 | 8.43 ± 0.15 | 8.23 ± 0.18 | 0.615 |
| Dietary Riboflavin Levels (mg/kg) | Moisture (%) | Crude Protein (%) | Crude Lipid (%) | Ash (%) |
|---|---|---|---|---|
| 0.00 | 74.33 ± 0.51 | 20.32 ± 0.23 | 3.29 ± 0.12 c | 2.60 ± 0.19 |
| 3.96 | 74.76 ± 0.11 | 19.85 ± 0.28 | 3.44 ± 0.18 bc | 2.60 ± 0.10 |
| 8.07 | 75.34 ± 0.26 | 20.05 ± 0.31 | 3.55 ± 0.11 b | 2.40 ± 0.12 |
| 16.11 | 75.05 ± 0.14 | 20.32 ± 0.42 | 3.66 ± 0.04 ab | 2.52 ± 0.25 |
| 31.81 | 74.25 ± 0.43 | 20.39 ± 0.29 | 3.81 ± 0.06 a | 2.65 ± 0.15 |
| 63.67 | 75.67 ± 0.79 | 20.37 ± 0.35 | 3.74 ± 0.12 ab | 2.32 ± 0.18 |
| 126.69 | 74.33 ± 0.36 | 20.25 ± 0.43 | 3.65 ± 0.07 ab | 2.68 ± 0.26 |
| p value | 0.198 | 0.625 | 0.049 | 0.433 |
| Dietary Riboflavin Levels (mg/kg) | Liver Riboflavin (mg/kg) |
|---|---|
| 0.00 | 5.09 ± 0.1 d |
| 3.96 | 11.84 ± 0.12 c |
| 8.07 | 12.52 ± 0.33 b |
| 16.11 | 13.89 ± 0.06 a |
| 31.81 | 14.06 ± 0.11 a |
| 63.67 | 13.88 ± 0.08 a |
| 126.69 | 13.79 ± 0.06 a |
| p value | < 0.01 |
Publisher’s Note: MDPI stays neutral with regard to jurisdictional claims in published maps and institutional affiliations. |
© 2022 by the authors. Licensee MDPI, Basel, Switzerland. This article is an open access article distributed under the terms and conditions of the Creative Commons Attribution (CC BY) license (https://creativecommons.org/licenses/by/4.0/).
Share and Cite
Yu, H.-R.; Guo, M.-J.; Yu, L.-Y.; Li, L.-Y.; Wang, Q.-H.; Li, F.-H.; Zhang, Y.-Z.; Zhang, J.-Y.; Hou, J.-Y. Effects of Dietary Riboflavin Supplementation on the Growth Performance, Body Composition and Anti-Oxidative Capacity of Coho Salmon (Oncorhynchus kisutch) Post-Smolts. Animals 2022, 12, 3218. https://doi.org/10.3390/ani12223218
Yu H-R, Guo M-J, Yu L-Y, Li L-Y, Wang Q-H, Li F-H, Zhang Y-Z, Zhang J-Y, Hou J-Y. Effects of Dietary Riboflavin Supplementation on the Growth Performance, Body Composition and Anti-Oxidative Capacity of Coho Salmon (Oncorhynchus kisutch) Post-Smolts. Animals. 2022; 12(22):3218. https://doi.org/10.3390/ani12223218
Chicago/Turabian StyleYu, Hai-Rui, Meng-Jie Guo, Le-Yong Yu, Ling-Yao Li, Qing-He Wang, Fang-Hui Li, Yu-Zhuo Zhang, Jia-Yi Zhang, and Ji-Yun Hou. 2022. "Effects of Dietary Riboflavin Supplementation on the Growth Performance, Body Composition and Anti-Oxidative Capacity of Coho Salmon (Oncorhynchus kisutch) Post-Smolts" Animals 12, no. 22: 3218. https://doi.org/10.3390/ani12223218
APA StyleYu, H.-R., Guo, M.-J., Yu, L.-Y., Li, L.-Y., Wang, Q.-H., Li, F.-H., Zhang, Y.-Z., Zhang, J.-Y., & Hou, J.-Y. (2022). Effects of Dietary Riboflavin Supplementation on the Growth Performance, Body Composition and Anti-Oxidative Capacity of Coho Salmon (Oncorhynchus kisutch) Post-Smolts. Animals, 12(22), 3218. https://doi.org/10.3390/ani12223218

