Gait Analysis in Walking and Trotting Dairy Cows on Different Flooring Types with Novel Mobile Pressure Sensors and Inertial Sensors
Abstract
Simple Summary
Abstract
1. Introduction
2. Materials and Methods
2.1. Pressure Sensor System
2.2. Inertial Measurement Units (IMUs)
2.3. Animals
2.4. Experimental Setup
2.5. Pressure Data Analysis
2.6. Inertial Measurement Unit Data Analysis
2.7. Statistical Analysis
3. Results
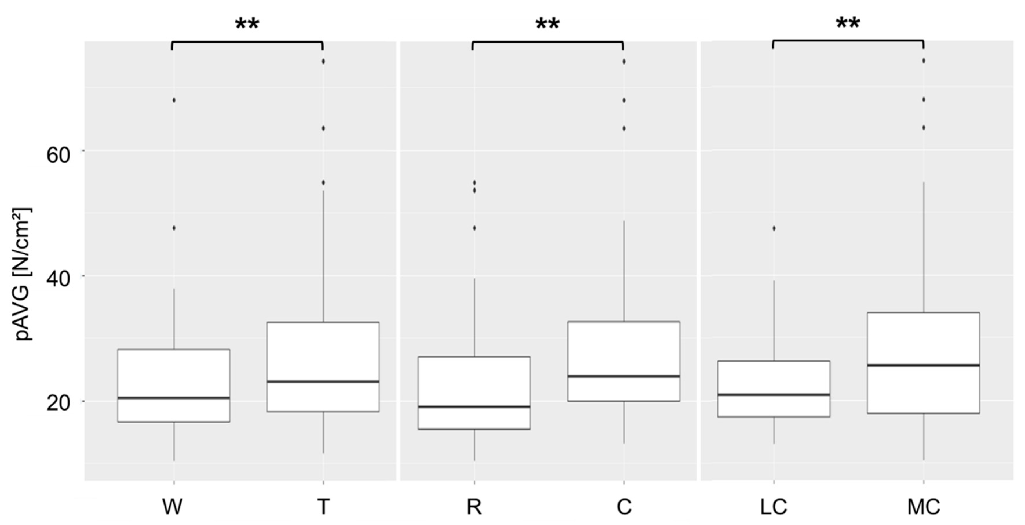
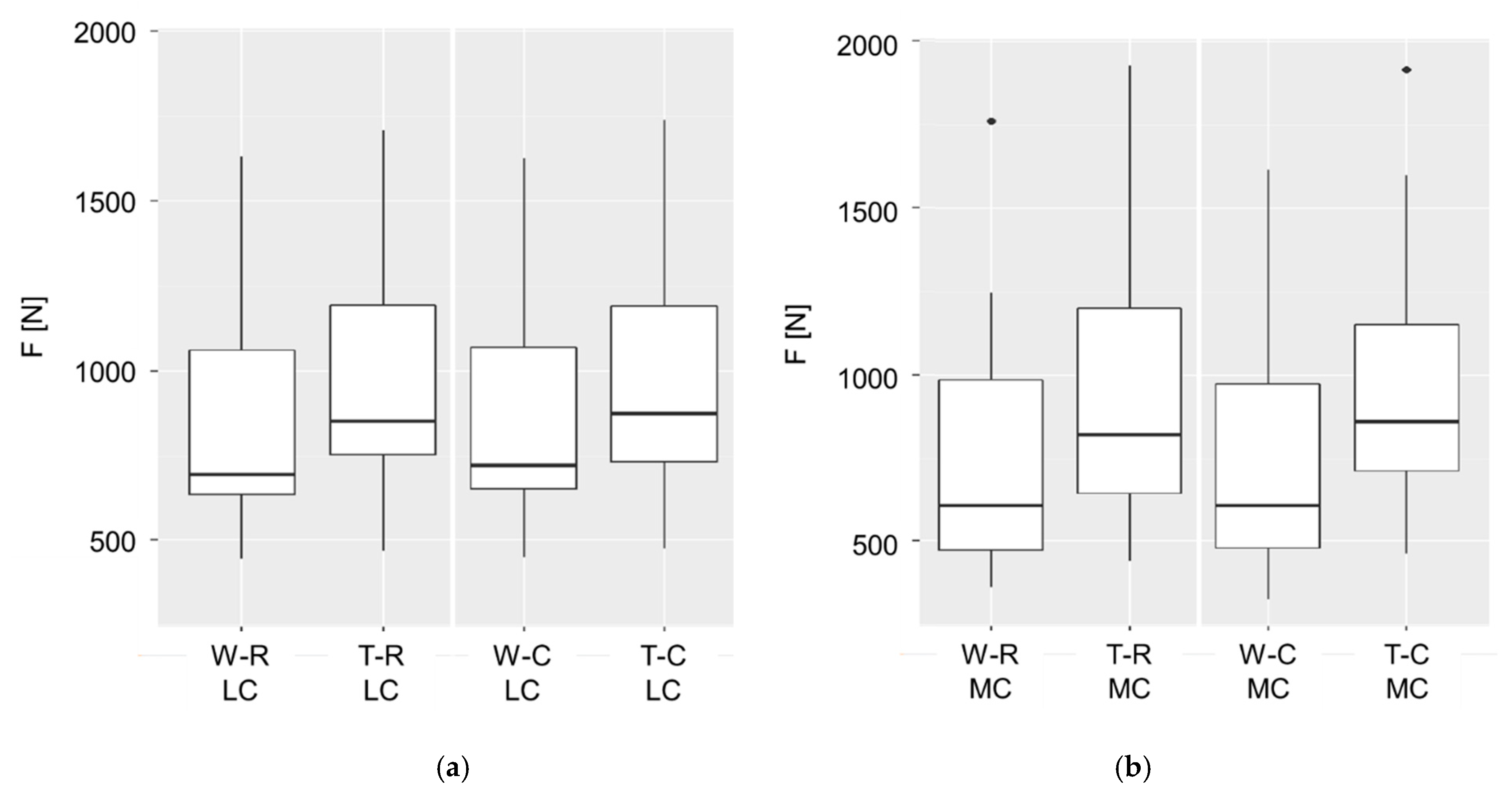
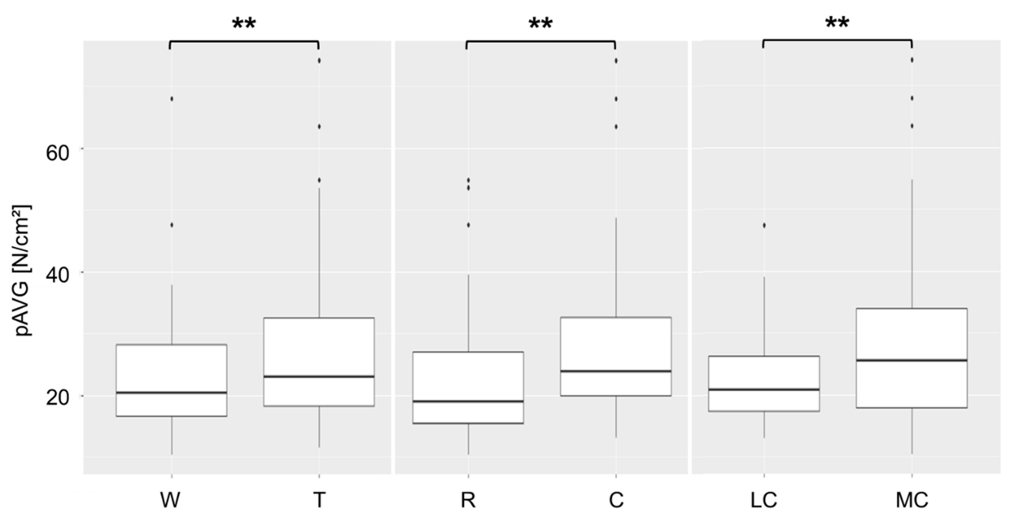
3.1. Pressure Data Analysis
3.2. Inertial Measurement Unit Data Analysis
4. Discussion
5. Conclusions
Author Contributions
Funding
Institutional Review Board Statement
Acknowledgments
Conflicts of Interest
References
- FVE. FVE Position on Welfare of Dairy Cows: Lameness. 2019. Available online: https://fve.org/cms/wp-content/uploads/002-FVE-position-cattle-lameness_adopted.pdf (accessed on 19 January 2022).
- PraeRi. Tiergesundheit, Hygiene und Biosicherheit in Deutschen Milchkuhbetrieben—Eine Prävalenzstudie (PraeRi). Abschlussbericht. 2020. Available online: https://ibei.tiho-hannover.de/praeri/pages/69#_AB (accessed on 21 January 2022).
- Mülling, C.K.W. Three dimensional aspects of the dermal papillary body and the dermo-epidermal interface in the bovine claw in relation to its biological function. In A Study Based on Cell Maceration, Electron Microscopy and Computer Aided Reconstruction, Proceedings of the 12th International Symposium on Lameness in Ruminants, Marriott World Center, Orlando, FL, USA, 9–13 January 2002; pp. 189–192. Available online: https://www.ivis.org/library/iclr/lameness-ruminants-international-symposium-and-conference-florida-2002/three (accessed on 10 September 2022).
- Toussaint Raven, E. The principles of claw trimming. Vet. Clin. N. Am. Food Anim. Pract. 1985, 1, 93–107. [Google Scholar] [CrossRef]
- Shearer, J.K.; van Amstel, S.R.; van Amstel, S.R. Pathogenesis and Treatment of Sole Ulcers and White Line Disease. Vet. Clin. N. Am. Food Anim. Pract. 2017, 33, 284–300. [Google Scholar] [CrossRef] [PubMed]
- Mülling, C.K.W.; Greenough, P.R. Applied Physiopathology of the Foot, Proceedings of the World Buiatrics Congress, World Buiatrics Congress, Nizza, France, 15–19 October 2006; Navetat, H., Schelcher, F., Eds.; International Veterinary Information Service: Ithaca, NY, USA, 2006. [Google Scholar]
- Dutton-Regester, K.J.; Barnes, T.S.; Wright, J.D.; Rabiee, A.R. Lameness in dairy cows: Farmer perceptions and automated detection technology. J. Dairy Res. 2020, 87, 67–71. [Google Scholar] [CrossRef]
- Alsaaod, M.; Fadul, M.; Steiner, A. Automatic lameness detection in cattle. Vet. J. 2019, 246, 35–44. [Google Scholar] [CrossRef]
- Leach, K.A.; Whay, H.R.; Maggs, C.M.; Barker, Z.E.; Paul, E.S.; Bell, A.K.; Main, D.C.J. Working towards a reduction in cattle lameness: 1. Understanding barriers to lameness control on dairy farms. Res. Vet. Sci. 2010, 89, 311–317. [Google Scholar] [CrossRef] [PubMed]
- Oehme, B.; Grund, S.; Munzel, J.; Mülling, C.K.W. Kinetic effect of different ground conditions on the sole of the claws of standing and walking dairy cows. J. Dairy Sci. 2019, 102, 10119–10128. [Google Scholar] [CrossRef]
- Flower, F.C.; Weary, D.M. Gait assessment in dairy cattle. Animal 2009, 3, 87–95. [Google Scholar] [CrossRef]
- Van de Gucht, T.; Wouter, S.; van Weyenberg, S.; Lauwers, L.; Mertens, K.C.; Vandaele, L.; Vangeyte, J.; van Nuffel, A. Automatically measured variables related to tenderness of hoof placement and weight distribution are valuable indicators for lameness in dairy cows. Appl. Anim. Behav. Sci. 2017, 189, 13–22. [Google Scholar] [CrossRef]
- Stygar, A.H.; Gómez, Y.; Berteselli, G.V.; Dalla Costa, E.; Canali, E.; Niemi, J.K.; Llonch, P.; Pastell, M. A systematic review on commercially available and validated sensor technologies for welfare assessment of dairy cattle. Front. Vet. Sci. 2021, 8, 634338. [Google Scholar] [CrossRef]
- Rutten, C.J.; Velthuis, A.G.J.; Steeneveld, W.; Hogeveen, H. Invited review: Sensors to support health management on dairy farms. J. Dairy Sci. 2013, 96, 1928–1952. [Google Scholar] [CrossRef]
- Castro, M.; Soares, D.; Machado, L. Comparison of vertical GRF obtained from force plate, pressure plate and insole pressure system. Port. J. Sports Sci. 2011, 11, 849–852. [Google Scholar]
- Van de Gucht, T.; van Weyenberg, S.; van Nuffel, A.; Lauwers, L.; Vangeyte, J.; Saeys, W. Supporting the development and adoption of automatic lameness detection systems in dairy cattle: Effect of system cost and performance on potential market shares. Animals 2017, 7, 77. [Google Scholar] [CrossRef] [PubMed]
- Tijssen, M.; Serra Braganςa, F.M.; Ask, K.; Rhodin, M.; Andersen, P.H.; Telezhenko, E.; Bergsten, C.; Nielen, M.; Hernlund, E. Kinematic gait characteristics of straight line walk in clinically sound dairy cows. PLoS ONE 2021, 16, e0253479. [Google Scholar] [CrossRef] [PubMed]
- Alsaaod, M.; Luternauer, M.; Hausegger, T.; Kredel, R.; Steiner, A. The cow pedogram-Analysis of gait cycle variables allows the detection of lameness and foot pathologies. J. Dairy Sci. 2017, 100, 1417–1426. [Google Scholar] [CrossRef]
- Alsaaod, M.; Kredel, R.; Hofer, B.; Steiner, A. Technical note: Validation of a semi-automated software tool to determine gait-cycle variables in dairy cows. J. Dairy Sci. 2017, 100, 4897–4902. [Google Scholar] [CrossRef]
- Van de Gucht, T.; Blanckaert, T.; Goemaere, J.-P.; Naessens, C.; Cool, S.; Mertens, K.C.; van Nuffel, A.; Vangeyte, J. Development of an Open-Source, Low-Cost and Adaptable 3D Accelerometer for Monitoring Animal Motion, Proceedings of the International Conference of Agricultural Engineering, Zürich, Switzerland, 6–10 July 2014; The European Society of Agricultural Engineers, Ed.; Swiss Federal Institute of Technology Lausanne: Lausanne, Switzerland, 2014. [Google Scholar]
- Friard, O.; Gamba, M. BORIS: A free, versatile open-source event-logging software for video/audio coding and live observations. Methods Ecol. Evol. 2016, 7, 1325–1330. [Google Scholar] [CrossRef]
- Edmonson, A.J.; Lean, I.J.; Weaver, L.D.; Farver, T.; Webster, G. A body condition scoring chart for Holstein dairy cows. J. Dairy Sci. 1989, 72, 68–78. [Google Scholar] [CrossRef]
- Sprecher, D.J.; Hostetler, D.E.; Kaneene, J.B. A lameness scoring system that uses posture and gait to predict dairy cattle reproductive performance. Theriogenology 1997, 47, 1179–1187. [Google Scholar] [CrossRef]
- Gulf Coast Data Concepts. Human Activity Monitor (HAM) User Manual. Available online: Gcdataconcepts.com/GCDC_HAM_User_Manual.pdf (accessed on 19 January 2022).
- Chapinal, N.; de Passillé, A.M.; Rushen, J.; Tucker, C.B. Short communication: Measures of weight distribution and frequency of steps as indicators of restless behavior. J. Dairy Sci. 2011, 94, 800–803. [Google Scholar] [CrossRef]
- Pastell, M.; Tiusanen, J.; Hakojärvi, M.; Hänninen, L. A wireless accelerometer system with wavelet analysis for assessing lameness in cattle. Biosyst. Eng. 2009, 104, 545–551. [Google Scholar] [CrossRef]
- Robert, B.; White, B.J.; Renter, D.G.; Larson, R.L. Evaluation of three-dimensional accelerometers to monitor and classify behavior patterns in cattle. Comput. Electron. Agric. 2009, 67, 80–84. [Google Scholar] [CrossRef]
- R Core Team. R: A Language and Environment for Statistical Computing; R Foundation for Statistical Computing: Wien, Austria, 2020. [Google Scholar]
- Fischer, D. Ganganalyse mit Mobilen Drucksensoren und Inertialsensoren bei Milchkühen. Dissertation (vet. med.), Universität Leipzig, Leipzig, Germany. submitted.
- Mokhtarnazif, S.; Smid, A.-M.C.; Weary, D.M.; Mohamadnia, A.; von Keyserlingk, M.A.G. Short communication: Motivation to walk affects gait attributes. J. Dairy Sci. 2020, 103, 9481–9487. [Google Scholar] [CrossRef] [PubMed]
- Van der Tol, P.; Metz, J.; Noordhuizen-Stassen, E.N.; Back, W.; Braam, C.R.; Weijs, W.A. The vertical ground reaction force and the pressure distribution on the claws of dairy cows while walking on a flat substrate. J. Dairy Sci. 2003, 86, 2875–2883. [Google Scholar] [CrossRef]
- Carvalho, V.; Bucklin, R.A.; Shearer, J.K.; Shearer, L. Effects of trimming on dairy cattle hoof weight bearing and pressure distributions during the stance phase. Trans. ASAE 2005, 48, 1653–1659. [Google Scholar] [CrossRef]
- Maiwald, C. Der Zusammenhang Zwischen Plantaren Druckverteilungsdaten und Dreidimensionaler Kinematik der Unteren Extremität beim Barfußlauf. Ph.D. Thesis, Technische Universität Chemnitz, Chemnitz, Germany, 2008. [Google Scholar]
- Orlin, M.N.; McPoil, T.G. Plantar Pressure Assessment. Phys. Ther. 2000, 80, 399–409. [Google Scholar] [CrossRef]
- De Belie, N.; Franck, A. Concrete floor-bovine claw contact pressures related to floor roughness and deformation of the claw. J. Dairy Sci. 2006, 89, 2952–2964. [Google Scholar] [CrossRef]
- Telezhenko, E.; Magnusson, M.; Bergsten, C. Novel approach for modelling force and pressure distribution inside bovine claws and on different surfaces. In Lameness in Ruminants 2019, Proceedings of the 20th International Symposium and 12th International Conference on Lameness in Ruminants 2019, Tokyo, Japan, 10–14 March 2019; Taguchi, K., Ed.; 2019; pp. 115–117. [Google Scholar]
- Oehme, B. Analyse der Druckbelastung Unter der Rinderklaue Mittels Eines Folienbasierten Druckmesssystems auf Verschiedenen Stallböden. Ph.D. Thesis, Universität Leipzig, Leipzig, Germany, 2018. [Google Scholar]
- Meyer, S.W.; Weishaupt, M.A.; Nuss, K. Gait pattern of heifers before and after claw trimming: A high-speed cinematographic study on a treadmill. J. Dairy Sci. 2007, 90, 670–676. [Google Scholar] [CrossRef]
- Nauwelaerts, S.; Hobbs, S.J.; Back, W. A horse’s locomotor signature: COP path determined by the individual limb. PLoS ONE 2017, 12, e0167477. [Google Scholar] [CrossRef]
- Alexander, I.J.; Chao, E.Y.; Johnson, K.A. The assessment of dynamic foot-to-ground contact forces and plantar pressure distribution: A review of the evolution of current techniques and clinical applications. Foot Ankle 1990, 11, 152–167. [Google Scholar] [CrossRef]
- Sapone, M.; Martin, P.; Mansour, K.B.; Château, H.; Marin, F. Comparison of trotting stance detection methods from an inertial measurement unit mounted on the horse’s limb. Sensors 2020, 20, 2983. [Google Scholar] [CrossRef]
- Chapinal, N.; de Passillé, A.M.; Pastell, M.; Hänninen, L.; Munksgaard, L.; Rushen, J. Measurement of acceleration while walking as an automated method for gait assessment in dairy cattle. J. Dairy Sci. 2011, 94, 2895–2901. [Google Scholar] [CrossRef] [PubMed]
- Alsaaod, M.; Huber, S.; Beer, G.; Kohler, P.; Schüpbach-Regula, G.; Steiner, A. Locomotion characteristics of dairy cows walking on pasture and the effect of artificial flooring systems on locomotion comfort. J. Dairy Sci. 2017, 100, 8330–8337. [Google Scholar] [CrossRef] [PubMed]
- Flower, F.C.; de Passillé, A.M.; Weary, D.M.; Sanderson, D.J.; Rushen, J. Softer, higher-friction flooring improves gait of cows with and without sole ulcers. J. Dairy Sci. 2007, 90, 1235–1242. [Google Scholar] [CrossRef]








| Parameter | Unit | Definition |
|---|---|---|
| acc_max | g 1 | g-peak of the total acceleration at initial ground contact (beginning of stance phase) |
| acc_swing | g 1 | Total acceleration during swing phase (mean value) |
| dur_step | s | Duration of complete step cycle |
| rel_stan | % | Relative stance phase duration; calculated from stance phase duration and dur_step |
| gyr_z | °/s | Magnitude of curve deflection of the angular rate of change, measured for the z-axis around the time of the terminal ground contact; automatically selected and calculated from the last local maximum to the total minimum of a step cycle |
| W-C | W-R | ||||||||
|---|---|---|---|---|---|---|---|---|---|
| Mean | SD (±) | Min | Max | Mean | SD (±) | Min | Max | ||
| F (N) | Total | 1590.4 | 610.3 | 902.6 | 3241.9 | 1589.6 | 619.8 | 891.9 | 3392.6 |
| LC | 855.3 | 320.0 | 450.7 | 1626.2 | 847.9 | 318.4 | 444.0 | 1630.9 | |
| MC | 735.1 | 341.4 | 323.7 | 1615.7 | 741.7 | 355.8 | 362.1 | 1761.7 | |
| FB (%) | LC | 54.4 | 8.6 | 40.9 | 69.8 | 54.0 | 8.2 | 37.7 | 71.1 |
| MC | 45.6 | 8.6 | 30.2 | 59.1 | 46.0 | 8.2 | 28.9 | 62.3 | |
| pAVG (N/cm2) | Total | 25.4 | 8.9 | 15.6 | 52.4 | 20.3 | 6.9 | 11.9 | 37.4 |
| LC | 23.7 | 6.9 | 15.2 | 37.1 | 18.9 | 5.3 | 13.0 | 28.6 | |
| MC | 27.0 | 12.1 | 13.2 | 68.0 | 21.6 | 9.3 | 10.4 | 47.6 | |
| pMAX (N/cm2) | LC | 152.3 | 61.3 | 86.5 | 295.8 | 87.1 | 33.2 | 41.9 | 180.9 |
| MC | 195.8 | 78.8 | 99.3 | 400.3 | 114.5 | 39.0 | 66.2 | 222.0 | |
| Total | 64.6 | 14.8 | 44.1 | 100.3 | 79.2 | 12.9 | 58.4 | 105.9 | |
| A (cm2) | LC | 36.6 | 10.0 | 20.6 | 57.7 | 44.4 | 8.1 | 26.2 | 58.1 |
| MC | 28.0 | 8.6 | 15.6 | 47.1 | 34.9 | 9.0 | 22.3 | 53.9 |
| T-C | T-R | ||||||||
|---|---|---|---|---|---|---|---|---|---|
| Mean | SD (±) | Min | Max | Mean | SD (±) | Min | Max | ||
| F (N) | Total | 1959.2 | 669.7 | 1167.8 | 3610.6 | 1913.4 | 669.3 | 928.7 | 3636.1 |
| LC | 1000.7 | 377.6 | 474.7 | 1738.9 | 982.9 | 340.4 | 468.5 | 1708.6 | |
| MC | 958.4 | 355.3 | 461.5 | 1915.8 | 930.6 | 383.5 | 440.1 | 1927.5 | |
| FB (%) | LC | 50.8 | 7.6 | 38.6 | 65.0 | 51.8 | 6.9 | 34.2 | 61.3 |
| MC | 49.2 | 7.6 | 35.0 | 61.4 | 48.2 | 6.9 | 38.7 | 65.8 | |
| pAVG (N/cm2) | Total | 30.2 | 10.0 | 17.8 | 56.0 | 24.0 | 8.2 | 14.7 | 43.6 |
| LC | 25.0 | 8.1 | 14.4 | 47.4 | 20.9 | 5.5 | 14.2 | 32.6 | |
| MC | 35.4 | 14.2 | 16.2 | 74.2 | 27.1 | 12.0 | 11.5 | 54.8 | |
| pMAX (N/cm2) | LC | 163.6 | 63.6 | 97.3 | 336.0 | 100.8 | 31.4 | 53.0 | 155.1 |
| MC | 253.3 | 97.9 | 126.6 | 480.3 | 150.7 | 59.5 | 66.0 | 298.9 | |
| Total | 69.4 | 16.6 | 42.2 | 101.1 | 82.3 | 12.2 | 61.5 | 105.3 | |
| A (cm2) | LC | 40.6 | 10.4 | 19.2 | 55.5 | 46.4 | 7.2 | 27.4 | 56.6 |
| MC | 28.8 | 8.7 | 14.5 | 46.5 | 35.9 | 8.2 | 22.8 | 48.7 |
| W-C | W-R | ||||||||
|---|---|---|---|---|---|---|---|---|---|
| Mean | SD (±) | Min | Max | Mean | SD (±) | Min | Max | ||
| acc_max (g) | Total | 4.05 | 0.68 | 3.18 | 5.74 | 3.93 | 0.47 | 3.02 | 4.78 |
| HL | 3.94 | 0.78 | 3.18 | 5.74 | 3.86 | 0.46 | 3.27 | 4.78 | |
| HR | 4.16 | 0.54 | 3.22 | 4.86 | 4.01 | 0.47 | 3.02 | 4.59 | |
| acc_swing (g) | Total | 1.14 | 0.10 | 0.98 | 1.37 | 1.11 | 0.07 | 0.95 | 1.20 |
| HL | 1.15 | 0.11 | 1.00 | 1.37 | 1.11 | 0.06 | 1.02 | 1.20 | |
| HR | 1.12 | 0.09 | 0.98 | 1.25 | 1.11 | 0.08 | 0.95 | 1.18 | |
| dur_step | Total | 1.26 | 0.05 | 1.19 | 1.37 | 1.26 | 0.09 | 1.15 | 1.47 |
| (s) | HL | 1.25 | 0.04 | 1.20 | 1.33 | 1.28 | 0.07 | 1.15 | 1.40 |
| HR | 1.27 | 0.05 | 1.19 | 1.37 | 1.25 | 0.10 | 1.16 | 1.47 | |
| rel_stan | Total | 69.68 | 1.46 | 67.89 | 72.85 | 69.87 | 1.45 | 68.49 | 73.39 |
| (%) | HL | 69.56 | 1.08 | 68.27 | 71.74 | 69.41 | 0.87 | 68.49 | 71.45 |
| HR | 69.79 | 1.75 | 67.89 | 72.85 | 70.34 | 1.74 | 68.72 | 73.39 |
| T-C | T-R | ||||||||
|---|---|---|---|---|---|---|---|---|---|
| Mean | SD (±) | Min | Max | Mean | SD (±) | Min | Max | ||
| acc_max (g) | Total | 6.72 | 0.92 | 5.02 | 8.34 | 6.50 | 0.52 | 5.56 | 7.46 |
| HL | 6.57 | 0.86 | 5.02 | 8.34 | 6.60 | 0.54 | 5.56 | 7.46 | |
| HR | 6.87 | 0.96 | 5.48 | 7.92 | 6.41 | 0.49 | 5.87 | 7.31 | |
| acc_swing (g) | Total | 1.79 | 0.24 | 1.40 | 2.17 | 1.79 | 0.19 | 1.46 | 2.10 |
| HL | 1.78 | 0.22 | 1.45 | 2.15 | 1.81 | 0.18 | 1.48 | 2.07 | |
| HR | 1.80 | 0.26 | 1.40 | 2.17 | 1.78 | 0.21 | 1.46 | 2.10 | |
| dur_step | Total | 0.74 | 0.06 | 0.66 | 0.85 | 0.75 | 0.05 | 0.69 | 0.84 |
| (s) | HL | 0.75 | 0.05 | 0.67 | 0.83 | 0.75 | 0.05 | 0.69 | 0.84 |
| HR | 0.73 | 0.06 | 0.66 | 0.85 | 0.76 | 0.05 | 0.69 | 0.81 | |
| rel_stan | Total | 58.22 | 3.20 | 50.64 | 63.81 | 58.85 | 2.68 | 54.31 | 63.48 |
| (%) | HL | 58.41 | 3.84 | 50.64 | 63.81 | 57.63 | 2.91 | 54.31 | 61.93 |
| HR | 58.03 | 2.37 | 53.27 | 61.17 | 60.07 | 1.72 | 57.77 | 63.48 |
Publisher’s Note: MDPI stays neutral with regard to jurisdictional claims in published maps and institutional affiliations. |
© 2022 by the authors. Licensee MDPI, Basel, Switzerland. This article is an open access article distributed under the terms and conditions of the Creative Commons Attribution (CC BY) license (https://creativecommons.org/licenses/by/4.0/).
Share and Cite
Fischer, D.; Friebel, L.I.G.; Grund, S.; Winter, W.; Wagner, F.C.; Mülling, C.K.W. Gait Analysis in Walking and Trotting Dairy Cows on Different Flooring Types with Novel Mobile Pressure Sensors and Inertial Sensors. Animals 2022, 12, 2457. https://doi.org/10.3390/ani12182457
Fischer D, Friebel LIG, Grund S, Winter W, Wagner FC, Mülling CKW. Gait Analysis in Walking and Trotting Dairy Cows on Different Flooring Types with Novel Mobile Pressure Sensors and Inertial Sensors. Animals. 2022; 12(18):2457. https://doi.org/10.3390/ani12182457
Chicago/Turabian StyleFischer, Daniela, Luise I. G. Friebel, Sarah Grund, William Winter, Franziska C. Wagner, and Christoph K. W. Mülling. 2022. "Gait Analysis in Walking and Trotting Dairy Cows on Different Flooring Types with Novel Mobile Pressure Sensors and Inertial Sensors" Animals 12, no. 18: 2457. https://doi.org/10.3390/ani12182457
APA StyleFischer, D., Friebel, L. I. G., Grund, S., Winter, W., Wagner, F. C., & Mülling, C. K. W. (2022). Gait Analysis in Walking and Trotting Dairy Cows on Different Flooring Types with Novel Mobile Pressure Sensors and Inertial Sensors. Animals, 12(18), 2457. https://doi.org/10.3390/ani12182457

