Species Traits Drive Long-Term Population Trends of Common Breeding Birds in Northern Italy
Abstract
Simple Summary
Abstract
1. Introduction
2. Materials and Methods
2.1. Study Area
2.2. Survey Design and Bird Data
2.3. Species Trend Assessment
2.4. Trait-Based Analysis
2.4.1. Bird Traits
2.4.2. Relationship between Population Indices and Traits
3. Results
3.1. Species Population Trends
3.2. Relation between Population Trends and Species Traits
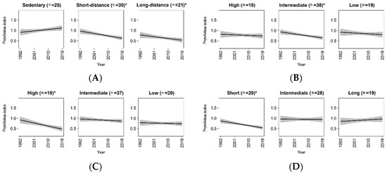
3.2.1. Life History Traits
3.2.2. Ecological Traits
4. Discussion
4.1. Modelling Approach
4.2. Species Population Trends
4.3. Relation between Trends and Species Traits
5. Conclusions
Supplementary Materials
Author Contributions
Funding
Institutional Review Board Statement
Data Availability Statement
Acknowledgments
Conflicts of Interest
Appendix A. Consideration on Detection Bias Issue in Population Trend Analysis
References
- Donald, P.F.; Sanderson, F.J.; Burfield, I.J.; Bierman, S.M.; Gregory, R.D.; Waliczky, Z. International conservation policy delivers benefits for birds in Europe. Science 2007, 317, 810–813. [Google Scholar] [CrossRef]
- Stanton, R.L.; Morrissey, C.A.; Clark, R.G. Analysis of trends and agricultural drivers of farmland bird declines in North America: A review. Agric. Ecosyst. Environ. 2018, 254, 244–254. [Google Scholar] [CrossRef]
- Rosenberg, K.V.; Dokter, A.M.; Blancher, P.J.; Sauer, J.R.; Smith, A.C.; Smith, P.A.; Stanton, J.C.; Panjabi, A.; Helft, L.; Parr, M.; et al. Decline of the North American avifauna. Science 2019, 366, 120–124. [Google Scholar] [CrossRef]
- Di Marco, M.; Butt, N.; Possingham, H.P.; Kearney, S.; Watson, J.E.M. Changing trends and persisting biases in three decades of conservation science. Glob. Ecol. Conserv. 2017, 10, 32–42. [Google Scholar] [CrossRef]
- Callaghan, C.T.; Nakagawa, S.; Cornwell, W.K. Global abundance estimates for 9700 bird species. Proc. Natl. Acad. Sci. USA 2021, 118, e2023170118. [Google Scholar] [CrossRef] [PubMed]
- Pan European Common Bird Monitoring Scheme. Available online: https://pecbms.info/ (accessed on 21 September 2021).
- Sauer, J.R.; Pardieck, K.L.; Ziolkowski, D.J., Jr.; Smith, A.C.; Hudson, M.-A.R.; Rodriguez, V.; Berlanga, H.; Niven, D.K.; Link, W.A. The first 50 years of the North American breeding bird survey. Condor Ornithol. Appl. 2017, 119, 576–593. [Google Scholar] [CrossRef]
- Fraixedas, S.; Lehikoinen, A.; Lindén, A. Impacts of climate and land-use change on wintering bird populations in Finland. J. Avian Biol. 2015, 46, 63–72. [Google Scholar] [CrossRef]
- Fraixedas, S.; Lindén, A.; Lehikoinen, A. Population trends of common breeding forest birds in southern Finland are consistent with trends in forest management and climate change. Ornis Fenn. 2015, 92, 187–203. [Google Scholar]
- Harris, S.J.; Massimino, D.; Balmer, D.E.; Eaton, M.A.; Noble, D.G.; Pearce-Higgins, J.W.; Woodcock, P.; Gillings, S. The Breeding Bird Survey 2019. BTO Research Report 726. British Trust for Ornithology; Thetford: Norfolk, UK, 2019. [Google Scholar]
- Massimino, D.; Orioli, V.; Massa, R.; Bani, L. Population trend assessment on a large spatial scale: Integrating data collected with heterogeneous sampling schemes by means of habitat modelling. Ethol. Ecol. Evol. 2008, 20, 141–153. [Google Scholar] [CrossRef]
- Bani, L.; Luppi, M.; Rocchia, E.; Dondina, O.; Orioli, V. Winners and losers: How the elevational range of breeding birds on Alps has varied over the past four decades due to climate and habitat changes. Ecol. Evol. 2019, 9, 1289–1305. [Google Scholar] [CrossRef]
- Sibilia, A.; Orioli, V.; Trasforini, S.; Puzzi, C.M.; Bani, L. The distribution and richness of the Italian riverine fish provided by the BioFresh database. Folia Zool. 2019, 68, 225–234. [Google Scholar] [CrossRef]
- Bani, L.; Orioli, V.; Trasforini, S.; Puzzi, C.M.; Sibilia, A.; Dondina, O.; Tirozzi, P. The spread of exotic fish species in Italian rivers and their effect on native fish fauna since 1990. Biodiversity 2020, 1–9. [Google Scholar] [CrossRef]
- Stefani, F.; Schiavon, A.; Tirozzi, P.; Gomarasca, S.; Marziali, L. Functional response of fish communities in a multistressed freshwater world. Sci. Total Environ. 2020, 740, 139902. [Google Scholar] [CrossRef] [PubMed]
- Burger, J.; Gochfeld, M. Marine Birds as Sentinels of Environmental Pollution. Ecohealth 2004, 1, 263–274. [Google Scholar] [CrossRef]
- Dondina, O.; Orioli, V.; Massimino, D.; Pinoli, G.; Bani, L. A method to evaluate the combined effect of tree species composition and woodland structure on indicator birds. Ecol. Indic. 2015, 55, 44–51. [Google Scholar] [CrossRef]
- Natsukawa, H. Raptor breeding sites indicate high taxonomic and functional diversities of wintering birds in urban ecosystems. Urban For. Urban Green. 2021, 60, 127066. [Google Scholar] [CrossRef]
- Oettel, J.; Lapin, K. Linking forest management and biodiversity indicators to strengthen sustainable forest management in Europe. Ecol. Indic. 2021, 122, 107275. [Google Scholar] [CrossRef]
- Santangeli, A.; Girardello, M. The representation potential of raptors for globally important nature conservation areas. Ecol. Indic. 2021, 124, 107434. [Google Scholar] [CrossRef]
- Krebs, C.J. The experimental paradigm and long-term population studies. IBIS 1991, 133, 3–8. [Google Scholar] [CrossRef]
- Kamp, J.; Frank, C.; Trautmann, S.; Busch, M.; Dröschmeister, R.; Flade, M.; Gerlach, B.; Karthäuser, J.; Kunz, F.; Mitschke, A.; et al. Population trends of common breeding birds in Germany 1990–2018. J. Ornithol. 2021, 162, 1–15. [Google Scholar] [CrossRef]
- Villéger, S.; Mason, N.W.H.; Mouillot, D. New multidimensional functional diversity indices for a multifaceted framework in functional ecology. Ecology 2008, 89, 2290–2301. [Google Scholar] [CrossRef] [PubMed]
- Gagic, V.; Bartomeus, I.; Jonsson, T.; Taylor, A.; Winqvist, C.; Fischer, C.; Slade, E.M.; Steffan-Dewenter, I.; Emmerson, M.; Potts, S.G.; et al. Functional identity and diversity of animals predict ecosystem functioning better than species-based indices. Proc. R. Soc. B Biol. Sci. 2015, 282, 20142620. [Google Scholar] [CrossRef]
- Dondina, O.; Orioli, V.; D’Occhio, P.; Luppi, M.; Bani, L. How does forest species specialization affect the application of the island biogeography theory in fragmented landscapes? J. Biogeogr. 2017, 44, 1041–1052. [Google Scholar] [CrossRef]
- Jacoboski, L.I.; Hartz, S.M. Using functional diversity and taxonomic diversity to assess effects of afforestation of grassland on bird communities. Perspect. Ecol. Conserv. 2020, 18, 103–108. [Google Scholar] [CrossRef]
- Betancurt-Grisales, J.F.; Vargas-Daza, A.M.; Castaño-Villa, G.J.; Ospina-Bautista, F. Bird functional diversity in restored and secondary forests of the Colombian Andes. Restor. Ecol. 2021, 29, e13315. [Google Scholar] [CrossRef]
- Leveau, L.M. Consistency in bird community assembly over medium-term along rural-urban gradients in Argentina. Ecol. Process 2021, 10, 34. [Google Scholar] [CrossRef]
- Jokimäki, J.; Suhonen, J.; Jokimäki-Kaisanlahti, M.-L.; Carbó-Ramírez, P. Effects of urbanization on breeding birds in European towns: Impacts of species traits. Urban Ecosyst. 2016, 19, 1565–1577. [Google Scholar] [CrossRef]
- Pocock, M.J.O. Can traits predict species’ vulnerability? A test with farmland passerines in two continents. Proc. R. Soc. B Biol. Sci. 2011, 278, 1532–1538. [Google Scholar] [CrossRef]
- Sullivan, M.J.P.; Newson, S.E.; Pearce-Higgins, J.W. Using habitat-specific population trends to evaluate the consistency of the effect of species traits on bird population change. Biol. Conserv. 2015, 192, 343–352. [Google Scholar] [CrossRef]
- Rocchia, E.; Luppi, M.; Dondina, O.; Orioli, V.; Bani, L. Can the effect of species ecological traits on birds’ altitudinal changes differ between geographic areas? Acta Oecologica 2018, 92, 26–34. [Google Scholar] [CrossRef]
- Hanzelka, J.; Horká, P.; Reif, J. Spatial gradients in country-level population trends of European birds. Divers. Distrib. 2019, 25, 1527–1536. [Google Scholar] [CrossRef]
- Vergara-Tabares, D.L.; Cordier, J.M.; Landi, M.A.; Olah, G.; Nori, J. Global trends of habitat destruction and consequences for parrot conservation. Glob. Chang. Biol. 2020, 26, 4251–4262. [Google Scholar] [CrossRef] [PubMed]
- Flousek, J.; Telenský, T.; Hanzelka, J.; Reif, J. Population Trends of Central European Montane Birds Provide Evidence for Adverse Impacts of Climate Change on High-Altitude Species. PLoS ONE 2015, 10, e0139465. [Google Scholar] [CrossRef] [PubMed]
- Soykan, C.U.; Sauer, J.; Schuetz, J.G.; LeBaron, G.S.; Dale, K.; Langham, G.M. Population trends for North American winter birds based on hierarchical models. Ecosphere 2016, 7, e01351. [Google Scholar] [CrossRef]
- Bowler, D.E.; Heldbjerg, H.; Fox, A.D.; de Jong, M.; Böhning-Gaese, K. Long-term declines of European insectivorous bird populations and potential causes. Conserv. Biol. 2019, 33, 1120–1130. [Google Scholar] [CrossRef]
- Garcia-R, J.C.; Di Marco, M. Drivers and trends in the extinction risk of New Zealand’s endemic birds. Biol. Conserv. 2020, 249, 108730. [Google Scholar] [CrossRef]
- Vavylis, D.; Bounas, A.; Karris, G.; Triantis, K.A. The state of breeding birds in Greece: Trends, threats, and implications for conservation. Bird Conserv. Int. 2020, 1–15. [Google Scholar] [CrossRef]
- Morelli, F.; Benedetti, Y.; Callaghan, C.T. Ecological specialization and population trends in European breeding birds. Glob. Ecol. Conserv. 2020, 22, e00996. [Google Scholar] [CrossRef]
- Dumandan, P.K.T.; Bildstein, K.L.; Goodrich, L.J.; Zaiats, A.; Caughlin, T.T.; Katzner, T.E. Shared functional traits explain synchronous changes in long-term count trends of migratory raptors. Glob. Ecol. Biogeogr. 2021, 30, 640–650. [Google Scholar] [CrossRef]
- Sanderson, F.J.; Donald, P.F.; Pain, D.J.; Burfield, I.J.; van Bommel, F.P.J. Long-term population declines in Afro-Palearctic migrant birds. Biol. Conserv. 2006, 131, 93–105. [Google Scholar] [CrossRef]
- Gregory, R.D.; Skorpilova, J.; Vorisek, P.; Butler, S. An analysis of trends, uncertainty and species selection shows contrasting trends of widespread forest and farmland birds in Europe. Ecol. Indic. 2019, 103, 676–687. [Google Scholar] [CrossRef]
- Liordos, V.; Jokimäki, J.; Kaisanlahti-Jokimäki, M.-L.; Valsamidis, E.; Kontsiotis, V.J. Niche analysis and conservation of bird species using urban core areas. Sustainability 2021, 13, 6327. [Google Scholar] [CrossRef]
- Roos, S.; Smart, J.; Gibbons, D.W.; Wilson, J.D. A review of predation as a limiting factor for bird populations in mesopredator-rich landscapes: A case study of the UK. Biol. Rev. 2018, 93, 1915–1937. [Google Scholar] [CrossRef] [PubMed]
- Chamberlain, D.E.; Fuller, R.J.; Bunce, R.G.H.; Duckworth, J.C.; Shrubb, M. Changes in the abundance of farmland birds in relation to the timing of agricultural intensification in England and Wales. J. Appl. Ecol. 2000, 37, 771–788. [Google Scholar] [CrossRef]
- Isaksson, D.; Wallander, J.; Larsson, M. Managing predation on ground-nesting birds: The effectiveness of nest exclosures. Biol. Conserv. 2007, 136, 136–142. [Google Scholar] [CrossRef]
- Macdonald, M.A.; Bolton, M. Predation on wader nests in Europe. IBIS 2008, 150, 54–73. [Google Scholar] [CrossRef]
- Kaasiku, T.; Rannap, R.; Kaart, T. Managing coastal grasslands for an endangered wader species can give positive results only when expanding the area of open landscape. J. Nat. Conserv. 2019, 48, 12–19. [Google Scholar] [CrossRef]
- Warren, P.; Land, C.; Hesford, N.; Baines, D. Conserving Black Grouse Lyrurus tetrix in southern Scotland: Evidence for the need to retain large contiguous moorland habitat within a forest-moorland landscape. Bird Study 2019, 66, 494–502. [Google Scholar] [CrossRef]
- Jahren, T.; Storaas, T.; Willebrand, T.; Fossland Moa, P.; Hagen, B.-R. Declining reproductive output in capercaillie and black grouse—16 countries and 80 years. Anim. Biol. 2016, 66, 363–400. [Google Scholar] [CrossRef]
- Fornasari, L.; de Carli, E.; Brambilla, S.; Buvoli, L.; Maritan, E.; Mingozzi, T. Distribuzione dell’avifauna nidificante in Italia: Primo bollettino del progetto di monitoraggio MITO2000. Avocetta 2002, 26, 59–115. [Google Scholar]
- Fornasari, L.; de Carli, E.; Buvoli, L.; Mingozzi, T.; Pedrini, P.; La Gioia, G.; Ceccarelli, P.; Tellini Florenzano, G.; Velatta, F.; Caliendo, M.F.; et al. Secondo bollettino del progetto MITO2000: Valutazioni metodologiche per il calcolo delle variazioni interannuali. Avocetta 2004, 28, 59–76. [Google Scholar]
- Tirozzi, P.; Orioli, V.; Dondina, O.; Kataoka, L.; Bani, L. Population trends from count data: Handling environmental bias, overdispersion and zero-inflation. Ecol. Inform. 2021. under review, 2nd round. [Google Scholar]
- ERSAF. Uso del suolo in Regione Lombardia. I dati DUSAF, Destinazione d’Uso dei Suoli Agricoli e Forestali. 2018. Available online: https://www.geoportale.regione.lombardia.it/ (accessed on 21 September 2021).
- Blondel, J.; Ferry, C.; Frochot, B. Point counts with unlimited distance. Stud Avian Biol 1981, 6, 414–420. [Google Scholar]
- Fornasari, L.; Bani, L.; De Carli, E.; Massa, R. Optimum design in monitoring common birds and their habitat. Gibier Faune Sauvag. 1998, 15, 309–322. [Google Scholar]
- Bani, L.; Massimino, D.; Orioli, V.; Bottoni, L.; Massa, R. Assessment of population trends of common breeding birds in Lombardy, Northern Italy, 1992–2007. Ethol. Ecol. Evol. 2009, 21, 27–44. [Google Scholar] [CrossRef]
- Blondel, J.; Ferry, C.; Frochot, B. La méthode des indices ponctuels d’abondance (IPA) ou des relevés d’avifaune par “stations d’écoute”. Alauda 1970, 38, 55–71. [Google Scholar]
- Bibby, C.J.; Burgess, N.D.; Hill, D.A.; Hillis, D.M.; Mustoe, S. Bird Census Techniques; Academic Press: London, UK, 2000; ISBN 0120958317. [Google Scholar]
- Kéry, M.; Dorazio, R.M.; Soldaat, L.; Van Strien, A.; Zuiderwijk, A.; Royle, J.A. Trend estimation in populations with imperfect detection. J. Appl. Ecol. 2009, 46, 1163–1172. [Google Scholar] [CrossRef]
- Bani, L. Problemi e Metodi per un Conteggio a Lungo Termine Degli Uccelli Nidificanti in Lombardia. Master’s Thesis, University of Milan, Milan, Italy, 1995. [Google Scholar]
- Phillips, S.J.; Dudík, M.; Elith, J.; Graham, C.H.; Lehmann, A.; Leathwick, J.; Ferrier, S. Sample selection bias and presence-only distribution models: Implications for background and pseudo-absence data. Ecol. Appl. 2009, 19, 181–197. [Google Scholar] [CrossRef]
- Kramer-Schadt, S.; Niedballa, J.; Pilgrim, J.D.; Schröder, B.; Lindenborn, J.; Reinfelder, V.; Stillfried, M.; Heckmann, I.; Scharf, A.K.; Augeri, D.M. The importance of correcting for sampling bias in MaxEnt species distribution models. Divers. Distrib. 2013, 19, 1366–1379. [Google Scholar] [CrossRef]
- Zuur, A.; Ieno, E.N.; Walker, N.; Saveliev, A.A.; Smith, G.M. Mixed Effects Models and Extensions in Ecology with R; Springer Science & Business Media: Berlin/Heidelberg, Germany, 2009. [Google Scholar]
- Martin, T.G.; Wintle, B.A.; Rhodes, J.R.; Kuhnert, P.M.; Field, S.A.; Low-Choy, S.J.; Tyre, A.J.; Possingham, H.P. Zero tolerance ecology: Improving ecological inference by modelling the source of zero observations. Ecol. Lett. 2005, 8, 1235–1246. [Google Scholar] [CrossRef]
- Denes, F.V.; Silveira, L.F.; Beissinger, S.R. Estimating abundance of unmarked animal populations: Accounting for imperfect detection and other sources of zero inflation. Methods Ecol. Evol. 2015, 6, 543–556. [Google Scholar] [CrossRef]
- Blasco-Moreno, A.; Pérez-Casany, M.; Puig, P.; Morante, M.; Castells, E. What does a zero mean? Understanding false, random and structural zeros in ecology. Methods Ecol. Evol. 2019, 10, 949–959. [Google Scholar] [CrossRef]
- Hastie, T.J.; Tibshirani, R.J. Generalized Additive Models. Stat. Sci. 1986, 1, 297–310. [Google Scholar] [CrossRef]
- Hastie, T.J.; Tibshirani, R.J. Generalized Additive Models; CRC Press: Boca Raton, FL, USA, 1990; Volume 43, p. 352. ISBN 0412343908. [Google Scholar]
- Wood, S.N. Generalized Additive Models: An Introduction with R; CRC Press: Boca Raton, FL, USA, 2017; p. 476. ISBN 1498728340. [Google Scholar]
- McCullagh, P.; Nelder, J.A. Generalized Linear Models, 2nd ed.; CRC Press: Boca Raton, FL, USA, 1982. [Google Scholar]
- Dormann, F.C.; McPherson, M.J.; Araújo, B.M.; Bivand, R.; Bolliger, J.; Carl, G.; Davies, G.R.; Hirzel, A.; Jetz, W.; Daniel Kissling, W. Methods to account for spatial autocorrelation in the analysis of species distributional data: A review. Ecography 2007, 30, 609–628. [Google Scholar] [CrossRef]
- Burnham, K.P.; Anderson, D.R. Model Selection and Multimodel Inference: A Practical Information-Theoretic Approach, 2nd ed.; Springer Science & Business Media: Berlin/Heidelberg, Germany, 2002; p. 488. ISBN 978-0-387-22456-5. [Google Scholar]
- Nelson, W.A. Statistical Methods. In Encyclopedia of Ecology, 1st ed.; Jørgensen, S.E., Fath, B., Eds.; Elsevier: Oxford, UK, 2008; pp. 3350–3362. ISBN 9780080454054. [Google Scholar]
- Davison, A.C.; Hinkley, D.V. Bootstrap Methods and Their Application; Cambridge University Press: New York, NY, USA, 2006; pp. 191–251. [Google Scholar]
- Byrkjedal, I.; Kyllingstad, K.; Efteland, S.; Grøsfjell, S. Population trends of northern lapwing, Eurasian curlew and Eurasian oystercatcher over 15 years in a southwest Norwegian farmland. Ornis Nor. 2012, 35, 16–22. [Google Scholar] [CrossRef][Green Version]
- Lockerbie, E.M.; Shannon, L.J.; Jarre, A. The use of ecological, fishing and environmental indicators in support of decision making in southern Benguela fisheries. Ecol. Indic. 2016, 69, 473–487. [Google Scholar] [CrossRef]
- R Core Development Team. R: A Language and Environment for Statistical Computing. Vienna, Austria: R Foundation for Statistical Computing. 2020. Available online: https://www.R-project.org/ (accessed on 21 September 2021).
- Wood, S. Mixed GAM Computation Vehicle with Automatic Smoothness Estimation. R Package Version 1.8-38. 2021. Available online: https://cran.r-project.org/web/packages/mgcv/mgcv.pdf (accessed on 7 October 2021).
- Wotherspoon, S.; Burch, P. EM Implementation of Zero-Inflated GAMs. R Package Version 0.1.1. 2016. Available online: https://github.com/AustralianAntarcticDataCentre/zigam/ (accessed on 21 September 2021).
- CINECA. 2020. Available online: https://www.hpc.cineca.it/hardware/marconi (accessed on 21 September 2021).
- Cramér, H. Mathematical Methods of Statistics, 1st ed.; Princeton University Press: Princeton, NJ, USA, 1946; p. 575. [Google Scholar]
- Meyer, D.; Zeileis, A.; Hornik, K. Visualizing Categorical Data, R Package Version 1.4-8. 2020. Available online: https://cran.r-project.org/web/packages/vcd/citation.html (accessed on 21 September 2021).
- Cohen, J. Statistical Power Analysis for the Behavioral Sciences, 2nd ed.; Taylor & Francis Inc.: Hillsdale, NJ, USA, 1988; p. 400. [Google Scholar]
- Gejdoš, M.; Suchomel, J.; Danihelová, Z. Analysis of qualitative features of beech and oak trunks as a determinant of the quality assessment. Forests 2021, 12, 15. [Google Scholar] [CrossRef]
- VIGORITA, V.-C.L. La Fauna Selvatica in Lombardia. Rapporto 2008 su Distribuzione, Abbondanza e Stato di Conservazione di Uccelli e Mammiferi; Regione Lombardia: Milan, Italy, 2008. [Google Scholar]
- Li, C.; Zhao, B.; Wang, Y. Nestedness of waterbird assemblages in the subsidence wetlands recently created by underground coal mining. Curr. Zool. 2018, 65, 155–163. [Google Scholar] [CrossRef]
- Jiguet, F.; Gadot, A.-S.; Julliard, R.; Newson, S.E.; Couvet, D. Climate envelope, life history traits and the resilience of birds facing global change. Glob. Chang. Biol. 2007, 13, 1672–1684. [Google Scholar] [CrossRef]
- Storchová, L.; Hořák, D. Life-history characteristics of European birds. Glob. Ecol. Biogeogr. 2018, 27, 400–406. [Google Scholar] [CrossRef]
- Wilman, H.; Belmaker, J.; Simpson, J.; de la Rosa, C.; Rivadeneira, M.M.; Jetz, W. EltonTraits 1.0: Species-level foraging attributes of the world’s birds and mammals. Ecology 2014, 95, 2027. [Google Scholar] [CrossRef]
- Pearman, P.B.; Lavergne, S.; Roquet, C.; Wüest, R.; Zimmermann, N.E.; Thuiller, W. Phylogenetic patterns of climatic, habitat and trophic niches in a European avian assemblage. Glob. Ecol. Biogeogr. 2014, 23, 414–424. [Google Scholar] [CrossRef] [PubMed]
- CORINE Land Cover. Available online: https://land.copernicus.eu/pan-european/corine-land-cover (accessed on 21 September 2021).
- Julliard, R.; Clavel, J.; Devictor, V.; Jiguet, F.; Couvet, D. Spatial segregation of specialists and generalists in bird communities. Ecol. Lett. 2006, 9, 1237–1244. [Google Scholar] [CrossRef]
- Fox, J.; Wieisberg, S.; Price, B. Companion to Applied Regression, R Package Version 3.0-8. 2020. Available online: https://cran.r-project.org/web/packages/car/index.html (accessed on 21 September 2021).
- Gill, F.; Donsker, D.; Rasmussen, P. IOC World Bird List (v11.2). 2021. Available online: https://doi.org/10.14344/IOC.ML.11.2 (accessed on 21 September 2021).
- Wagh, Y.S.; Kamalja, K.K. Zero-inflated models and estimation in zero-inflated Poisson distribution. Commun. Stat. Comput. 2018, 47, 2248–2265. [Google Scholar] [CrossRef]
- Rete Rurale Nazionale & Lipu. Common Breeding Farmland Birds in Italy. Update of Population Trends and Farmland Bird Indicator for National Rural Network 2000–2020. 2020. Available online: https://www.reterurale.it/flex/cm/pages/ServeBLOB.php/L/IT/IDPagina/22311 (accessed on 21 September 2021).
- Chamberlain, D.E.; Siriwardena, G.M. The effects of agricultural intensification on Skylarks (Alauda arvensis): Evidence from monitoring studies in Great Britain. Environ. Rev. 2000, 8, 95–113. [Google Scholar] [CrossRef]
- Chamberlain, D.E.; Vickery, J.A.; Gough, S. Spatial and temporal distribution of breeding Skylarks Alauda arvensis in relation to crop type in periods of population increase and decrease. Ardea 2000, 88, 61–73. [Google Scholar]
- Eraud, C.; Marie Boutin, J. Density and productivity of breeding Skylarks Alauda arvensis in relation to crop type on agricultural lands in western France. Bird Study 2002, 49, 287–296. [Google Scholar] [CrossRef]
- Koleček, J.; Reif, J.; Weidinger, K. The abundance of a farmland specialist bird, the skylark, in three European regions with contrasting agricultural management. Agric. Ecosyst. Environ. 2015, 212, 30–37. [Google Scholar] [CrossRef]
- Loretto, M.-C.; Schöll, E.M.; Hille, S. Occurrence of Eurasian Skylark Alauda arvensis territories in relation to urban area and heterogeneous farmland. Bird Study 2019, 66, 273–278. [Google Scholar] [CrossRef]
- Brambilla, M.; Gustin, M.; Cento, M.; Ilahiane, L.; Celada, C. Habitat, climate, topography and management differently affect occurrence in declining avian species: Implications for conservation in changing environments. Sci. Total Environ. 2020, 742, 140663. [Google Scholar] [CrossRef]
- Knaus, P.T.; Sattler, H.; Schmid, N.; Strebel, N.; Volet, B. The State of Birds in Switzerland: Report 2021; Swiss Ornithological Institute: Sempach, Switzerland, 2021. [Google Scholar]
- Denac, K.; Kmecl, P. Land consolidation negatively affects farmland bird diversity and conservation value. J. Nat. Conserv. 2021, 59, 125934. [Google Scholar] [CrossRef]
- Lehikoinen, A.; Lehikoinen, E.; Valkama, J.; Väisänen, R.A.; Isomursu, M. Impacts of trichomonosis epidemics on Greenfinch Chloris chloris and Chaffinch Fringilla coelebs populations in Finland. IBIS 2013, 155, 357–366. [Google Scholar] [CrossRef]
- Coudrain, V.; Arlettaz, R.; Schaub, M. Food or nesting place? Identifying factors limiting Wryneck populations. J. Ornithol. 2010, 151, 867–880. [Google Scholar] [CrossRef]
- Weisshaupt, N.; Arlettaz, R.; Reichlin, T.S.; Tagmann-Ioset, A.; Schaub, M. Habitat selection by foraging Wrynecks Jynx torquilla during the breeding season: Identifying the optimal habitat profile. Bird Study 2011, 58, 111–119. [Google Scholar] [CrossRef]
- Le Roux, D.S.; Ikin, K.; Lindenmayer, D.B.; Bistricer, G.; Manning, A.D.; Gibbons, P. Enriching small trees with artificial nest boxes cannot mimic the value of large trees for hollow-nesting birds. Restor. Ecol. 2016, 24, 252–258. [Google Scholar] [CrossRef]
- Bakx, T.R.M.; Lindström, Å.; Ram, D.; Pettersson, L.B.; Smith, H.G.; van Loon, E.E.; Caplat, P. Farmland birds occupying forest clear-cuts respond to both local and landscape features. For. Ecol. Manag. 2020, 478. [Google Scholar] [CrossRef]
- MITO2000. Available online: https://mito2000.it/andamenti/specie-target/ (accessed on 1 October 2021).
- Ambrosini, R.; Rubolini, D.; Trovò, P.; Liberini, G.; Bandini, M.; Romano, A.; Sicurella, B.; Scandolara, C.; Romano, M.; Saino, N. Maintenance of livestock farming may buffer population decline of the Barn Swallow Hirundo rustica. Bird Conserv. Int. 2012, 22, 411–428. [Google Scholar] [CrossRef]
- Sicurella, B.; Caprioli, M.; Romano, A.; Romano, M.; Rubolini, D.; Saino, N.; Ambrosini, R. Hayfields enhance colony size of the Barn Swallow Hirundo rustica in northern Italy. Bird Conserv. Int. 2014, 24, 17–31. [Google Scholar] [CrossRef]
- Ambrosini, R.; Bani, L.; Massimino, D.; Fornasari, L.; Saino, N. Large-scale spatial distribution of breeding Barn Swallows Hirundo rustica in relation to cattle farming. Bird Study 2011, 58, 495–505. [Google Scholar] [CrossRef]
- Broyer, J.; Sukhanova, O.; Mischenko, A. How to sustain meadow passerine populations in Europe through alternative mowing management. Agric. Ecosyst. Environ. 2016, 215, 133–139. [Google Scholar] [CrossRef]
- Brlík, V.; Šilarová, E.; Škorpilová, J.; Alonso, H.; Anton, M.; Aunins, A.; Benkö, Z.; Biver, G.; Busch, M.; Chodkiewicz, T.; et al. Long-term and large-scale multispecies dataset tracking population changes of common European breeding birds. Sci. Data 2021, 8, 21. [Google Scholar] [CrossRef]
- Wilkinson, N. Factors influencing the small-scale distribution of House Sparrows Passer domesticus in a suburban environment. Bird Study 2006, 53, 39–46. [Google Scholar] [CrossRef]
- Dinetti, M. The Sparrows Passer spp.: From “pest species” to species of conservation concern. Avocetta 2008, 32, 61–68. [Google Scholar]
- Rajchard, J.; Procházka, J.; Kindlmann, P. Long-term decline in Common Swift Apus apus annual breeding success may be related to weather conditions. Ornis Fenn. 2006, 83, 66–72. [Google Scholar]
- Ambrosini, R.; Orioli, V.; Massimino, D.; Bani, L. Identification of putative wintering areas and ecological determinants of population dynamics of Common House-Martin (Delichon urbicum) and Common Swift (Apus apus) breeding in northern Italy. Avian Conserv. Ecol. 2011, 6. [Google Scholar] [CrossRef]
- Miniero, R.; Carere, C.; De Felip, E.; Iacovella, N.; Rodriguez, F.; Alleva, E.; Di Domenico, A. The use of common swift (Apus apus), an aerial feeder bird, as a bioindicator of persistent organic microcontaminants. Ann. Dell’istituto Super. Sanità 2008, 44, 187–194. [Google Scholar]
- De Pascalis, F.; Panuccio, M.; Bacaro, G.; Monti, F. Shift in proximate causes of mortality for six large migratory raptors over a century. Biol. Conserv. 2020, 251, 108973. [Google Scholar] [CrossRef]
- Giammarino, M.; Quatto, P.; Renna, M. Impacts of Great Cormorant and Cattle Egret Nesting on Other Waterbirds in a Shared Breeding Site in Piedmont (NW Italy). Acta Ornithol. 2021, 56, 39–50. [Google Scholar] [CrossRef]
- Delmastro, G.B.; Boano, G.; Conte, P.L.; Fenoglio, S. Great cormorant predation on Cisalpine pike: A conservation conflict. Eur. J. Wildl. Res. 2015, 61, 743–748. [Google Scholar] [CrossRef]
- Veneranta, L.; Heikinheimo, O.; Marjomäki, T.J. Cormorant (Phalacrocorax carbo) predation on a coastal perch (Perca fluviatilis) population: Estimated effects based on PIT tag mark-recapture experiment. ICES J. Mar. Sci. 2020, 77, 2611–2622. [Google Scholar] [CrossRef]
- Laaksonen, T.; Lehikoinen, A. Population trends in boreal birds: Continuing declines in agricultural, northern, and long-distance migrant species. Biol. Conserv. 2013, 168, 99–107. [Google Scholar] [CrossRef]
- Tiainen, J.; Mikkola-Roos, M.; Below, A.; Jukarainen, A.; Lehikoinen, A.; Lehtiniemi, T.; Pessa, J.; Rajasärkkä, A.; Rintala, J.; Sirkiä, P.; et al. Suomen Lintujen Uhanalaisuus 2015—The 2015 Red List of Finnish Bird Species; Ympäristöministeriö & Suomen Ympäristökeskus: Helsinki, Finland, 2016; p. 49. [Google Scholar]
- Thorup, O. Population sizes and trends of breeding meadow birds in Denmark. Wader Study 2018, 125, 175–189. [Google Scholar] [CrossRef]
- Lislevand, T.; Byrkjedal, I.; Heggøy, O.; Kålås, J.A. Population status, trends and conservation of meadow-breeding waders in Norway. Wader Study 2021, 128, 6–21. [Google Scholar] [CrossRef]
- Brichetti, P.; Fracasso, C. Ornitologia Italiana Volume II, Tetraonida-Scolopacidae; Alberto Perdisa Editore: Bologna, Italy, 2004; p. 165. [Google Scholar]
- Longoni, V.; Serrano, S.; Vigorita, V.; Cucé, L.; Fasola, M. Ecologia e Popolazioni Della Pavoncella Vanellus Vanellus, Specie D’interesse Venatorio, in Regione Lombardia; Regione Lombardia: Milan, Italy, 2011; Available online: https://www.regione.lombardia.it/wps/wcm/connect/6c04d1f4-c914-4e79-9360-844d76233ac3/Relazione-finale-pavoncella-2011.pdf?MOD=AJPERES&CACHEID=ROOTWORKSPACE-6c04d1f4-c914-4e79-9360-844d76233ac3-lF7b7YP (accessed on 21 September 2021).
- Orioli, V.; Caffi, A.; Marchetto, F.; Dondina, O.; Bani, L. Quantitative selection of focal birds and mammals in higher-tier risk assessment: An application to rice cultivations. Integr. Environ. Assess. Manag. 2021, in press. [Google Scholar] [CrossRef] [PubMed]
- Ciebiera, O.; Czechowski, P.; Morelli, F.; Piekarski, R.; Bocheński, M.; Chachulska-Serweta, J.; Jerzak, L. Selection of Urbanized Areas by Magpie Pica pica in a Medium Size City in Poland. Animals. 2021, 11, 1738. [Google Scholar] [CrossRef] [PubMed]
- Jokimäki, J.; Suhonen, J.; Vuorisalo, T.; Kövér, L.; Kaisanlahti-Jokimäki, M.-L. Urbanization and nest-site selection of the Black-billed Magpie (Pica pica) populations in two Finnish cities: From a persecuted species to an urban exploiter. Landsc. Urban Plan. 2017, 157, 577–585. [Google Scholar] [CrossRef]
- IUCN. IUCN Red List Categories and Criteria: Version 3.1, 2nd ed.; IUCN: Gland, Switzerland; Cambridge, UK, 2012; Available online: https://portals.iucn.org/library/sites/library/files/documents/RL-2001-001-2nd.pdf (accessed on 16 November 2021).
- Rondinini, C.; Battistoni, A.; Peronace, V.; Teofili, C. (compilatori). Lista Rossa IUCN dei Vertebrati Italiani. Comitato Italiano IUCN e Ministero dell’Ambiente e della Tutela del Territorio e del Mare, Roma. 2013. Available online: http://www.iucn.it/liste-rosse-italiane.php (accessed on 17 November 2021).
- Vickery, J.A.; Ewing, S.R.; Smith, K.W.; Pain, D.J.; Bairlein, F.; Škorpilová, J.; Gregory, R.D. The decline of Afro-Palaearctic migrants and an assessment of potential causes. IBIS 2014, 156, 1–22. [Google Scholar] [CrossRef]
- Bowler, D.; Richter, R.L.; Eskildsen, D.; Kamp, J.; Moshøj, C.M.; Reif, J.; Strebel, N.; Trautmann, S.; Voříšek, P. Geographic variation in the population trends of common breeding birds across central Europe. Basic Appl. Ecol. 2021, 56, 72–84. [Google Scholar] [CrossRef]
- Kuresoo, A.; Pehlak, H.; Nellis, R. Population trends of common birds in Estonia in 1983–2010. Est. J. Ecol. 2011, 60, 88–110. [Google Scholar] [CrossRef]
- Cresswell, W.R.L.; Wilson, J.M.; Vickery, J.; Jones, P.; Holt, S. Changes in densities of Sahelian bird species in response to recent habitat degradation. Ostrich 2007, 78, 247–253. [Google Scholar] [CrossRef]
- Ockendon, N.; Hewson, C.M.; Johnston, A.; Atkinson, P.W. Declines in British-breeding populations of Afro-Palaearctic migrant birds are linked to bioclimatic wintering zone in Africa, possibly via constraints on arrival time advancement. Bird Study 2012, 59, 111–125. [Google Scholar] [CrossRef]
- Morrison, C.A.; Robinson, R.A.; Clark, J.A.; Risely, K.; Gill, J.A. Recent population declines in Afro-Palaearctic migratory birds: The influence of breeding and non-breeding seasons. Divers. Distrib. 2013, 19, 1051–1058. [Google Scholar] [CrossRef]
- Howard, C.; Stephens, P.A.; Pearce-Higgins, J.W.; Gregory, R.D.; Butchart, S.H.M.; Willis, S.G. Disentangling the relative roles of climate and land cover change in driving the long-term population trends of European migratory birds. Divers. Distrib. 2020, 26, 1442–1455. [Google Scholar] [CrossRef]
- Telenský, T.; Klvaňa, P.; Jelínek, M.; Cepák, J.; Reif, J. The influence of climate variability on demographic rates of avian Afro-palearctic migrants. Sci. Rep. 2020, 10, 17592. [Google Scholar] [CrossRef]
- Ambrosini, R.; Rubolini, D.; Møller, A.P.; Bani, L.; Clark, J.; Karcza, Z.; Vangeluwe, D.; Du Feu, C.; Spina, F.; Saino, N. Climate change and the long-term northward shift in the African wintering range of the barn swallow Hirundo rustica. Clim. Res. 2011, 49, 131–141. [Google Scholar] [CrossRef]
- Crawford, R.J.M.; Makhado, A.B.; Waller, L.J.; Whittington, P.A. Winners and losers—Responses to recent environmental change by South African seabirds that compete with purse-seine fisheries for food. Ostrich 2014, 85, 111–117. [Google Scholar] [CrossRef]
- Sæther, B.-E.; Bakke, Ø. Avian life history variation and contribution of demographic traits to the population growth rate. Ecology 2000, 81, 642–653. [Google Scholar] [CrossRef]
- Arcese, P.; Smith, J.N.M.; Hochachka, W.M.; Rogers, C.M.; Ludwig, D. Stability, regulation, and the determination of abundance in an insular song sparrow population. Ecology 1992, 73, 805–822. [Google Scholar] [CrossRef]
- Liu, J.; Yan, H.; Li, G.; Li, S. Nest concealment is associated with reproductive traits across sympatric bird species. Ecol. Evol. 2021, 11, 14079–14087. [Google Scholar] [CrossRef]
- Li, S.; Lu, X. Reproductive ecology of isabelline wheatears at the extreme of their altitude distribution. Ardeola 2012, 59, 301–307. [Google Scholar] [CrossRef]
- Martin, T.E. A new view of avian life-history evolution tested on an incubation paradox. Proc. R. Soc. B Biol. Sci. 2002, 269, 309–316. [Google Scholar] [CrossRef]
- Butler, S.J.; Gillings, S. Quantifying the effects of habitat structure on prey detectability and accessibility to farmland birds. IBIS 2004, 146, 123–130. [Google Scholar] [CrossRef]
- Faria, N.; Morales, M.B.; Rabaça, J.E. Exploring nest destruction and bird mortality in mown Mediterranean dry grasslands: An increasing threat to grassland bird conservation. Eur. J. Wildl. Res. 2016, 62, 663–671. [Google Scholar] [CrossRef]
- Ponce, C.; Salgado, I.; Bravo, C.; Gutiérrez, N.; Alonso, J.C. Effects of farming practices on nesting success of steppe birds in dry cereal farmland. Eur. J. Wildl. Res. 2018, 64, 13. [Google Scholar] [CrossRef]
- Leather, S.R. “Ecological Armageddon”—more evidence for the drastic decline in insect numbers. Ann. Appl. Biol. 2018, 172, 1–3. [Google Scholar] [CrossRef]
- Hallmann, C.A.; Sorg, M.; Jongejans, E.; Siepel, H.; Hofland, N.; Schwan, H.; Stenmans, W.; Müller, A.; Sumser, H.; Hörren, T.; et al. More than 75 percent decline over 27 years in total flying insect biomass in protected areas. PLoS ONE 2017, 12, e0185809. [Google Scholar] [CrossRef] [PubMed]
- Valtonen, A.; Hirka, A.; Szőcs, L.; Ayres, M.P.; Roininen, H.; Csóka, G. Long-term species loss and homogenization of moth communities in Central Europe. J. Anim. Ecol. 2017, 86, 730–738. [Google Scholar] [CrossRef] [PubMed]
- Sánchez-Bayo, F.; Wyckhuys, K.A.G. Worldwide decline of the entomofauna: A review of its drivers. Biol. Conserv. 2019, 232, 8–27. [Google Scholar] [CrossRef]
- Reif, J.; Hanzelka, J. Continent-wide gradients in open-habitat insectivorous bird declines track spatial patterns in agricultural intensity across Europe. Glob. Ecol. Biogeogr. 2020, 29, 1988–2013. [Google Scholar] [CrossRef]
- Newton, I. The recent declines of farmland bird populations in Britain: An appraisal of causal factors and conservation actions. IBIS 2004, 146, 579–600. [Google Scholar] [CrossRef]
- Eng, M.L.; Stutchbury, B.J.M.; Morrissey, C.A. Imidacloprid and chlorpyrifos insecticides impair migratory ability in a seed-eating songbird. Sci. Rep. 2017, 7, 15176. [Google Scholar] [CrossRef] [PubMed]
- Söderström, B.; Pärt, T.; Rydén, J. Different nest predator faunas and nest predation risk on ground and shrub nests at forest ecotones: An experiment and a review. Oecologia 1998, 117, 108–118. [Google Scholar] [CrossRef] [PubMed]
- Whittingham, M.J.; Evans, K.L. The effects of habitat structure on predation risk of birds in agricultural landscapes. IBIS 2004, 146, 210–220. [Google Scholar] [CrossRef]
- Donald, P.F.; Sanderson, F.J.; Burfield, I.J.; van Bommel, F.P.J. Further evidence of continent-wide impacts of agricultural intensification on European farmland birds, 1990–2000. Agric. Ecosyst. Environ. 2006, 116, 189–196. [Google Scholar] [CrossRef]
- ISTAT. 2021. Available online: http://dati.istat.it/Index.aspx?QueryId=33654 (accessed on 1 October 2021).
- Gregory, R.D.; Willis, S.G.; Jiguet, F.; Voříšek, P.; Klvaňová, A.; van Strien, A.; Huntley, B.; Collingham, Y.C.; Couvet, D.; Green, R.E. An indicator of the impact of climatic change on European bird populations. PLoS ONE 2009, 4, e0004678. [Google Scholar] [CrossRef]
- Reif, J.; Št’Astný, K.; Bejček, V. Contrasting effects of climatic and habitat changes on birds with northern range limits in Central Europe as revealed by an analysis of breeding bird distribution in the Czech Republic. Acta Ornithol. 2010, 45, 83–90. [Google Scholar] [CrossRef]
- Stiels, D.; Bastian, H.-V.; Bastian, A.; Schidelko, K.; Engler, J.O. An iconic messenger of climate change? Predicting the range dynamics of the European Bee-eater (Merops apiaster). J. Ornithol. 2021, 162, 631–644. [Google Scholar] [CrossRef]
- Ram, D.; Axelsson, A.-L.; Green, M.; Smith, H.G.; Lindström, Å. What drives current population trends in forest birds—forest quantity, quality or climate? A large-scale analysis from northern Europe. For. Ecol. Manag. 2017, 385, 177–188. [Google Scholar] [CrossRef]
- Griesser, M.; Lagerberg, S. Long-term effects of forest management on territory occupancy and breeding success of an open-nesting boreal bird species, the Siberian jay. For. Ecol. Manag. 2012, 271, 58–64. [Google Scholar] [CrossRef]
- Wade, A.S.I.; Barov, B.; Burfield, I.J.; Gregory, R.D.; Norris, K.; Butler, S.J. Quantifying the Detrimental Impacts of Land-Use and Management Change on European Forest Bird Populations. PLoS ONE 2013, 8, e0064552. [Google Scholar] [CrossRef]
- Eggers, S.; Low, M. Differential demographic responses of sympatric Parids to vegetation management in boreal forest. For. Ecol. Manag. 2014, 319, 169–175. [Google Scholar] [CrossRef]
- Vatka, E.; Kangas, K.; Orell, M.; Lampila, S.; Nikula, A.; Nivala, V. Nest site selection of a primary hole-nesting passerine reveals means to developing sustainable forestry. J. Avian Biol. 2014, 45, 187–196. [Google Scholar] [CrossRef]
- Lindström, A.; Svensson, S.; Green, M.; Ottvall, R. Distribution and population changes of two subspecies of Chiffchaff Phylloscopus collybita in Sweden. Ornis Svec. 2007, 17, 137–147. [Google Scholar]
- Lehikoinen, A.; Foppen, R.P.B.; Heldbjerg, H.; Lindström, Å.; van Manen, W.; Piirainen, S.; van Turnhout, C.A.M.; Butchart, S.H.M. Large-scale climatic drivers of regional winter bird population trends. Divers. Distrib. 2016, 22, 1163–1173. [Google Scholar] [CrossRef]
- Lehikoinen, A.; Green, M.; Husby, M.; Kålås, J.A.; Lindström, A. Common montane birds are declining in northern Europe. J. Avian Biol. 2014, 45, 3–14. [Google Scholar] [CrossRef]
- Lehikoinen, A.; Brotons, L.; Calladine, J.; Campedelli, T.; Escandell, V.; Flousek, J.; Grueneberg, C.; Haas, F.; Harris, S.; Herrando, S.; et al. Declining population trends of European mountain birds. Glob. Chang. Biol. 2019, 25, 577–588. [Google Scholar] [CrossRef] [PubMed]
- Le Viol, I.; Jiguet, F.; Brotons, L.; Herrando, S.; Lindström, Å.; Pearce-Higgins, J.W.; Reif, J.; Van Turnhout, C.; Devictor, V. More and more generalists: Two decades of changes in the European avifauna. Biol. Lett. 2012, 8, 780–782. [Google Scholar] [CrossRef]
- Dorazio, R.M. Accounting for imperfect detection and survey bias in statistical analysis of presence-only data. Glob. Ecol. Biogeogr. 2014, 23, 1472–1484. [Google Scholar] [CrossRef]
- Guillera-Arroita, G. Modelling of species distributions, range dynamics and communities under imperfect detection: Advances, challenges and opportunities. Ecography 2017, 40, 281–295. [Google Scholar] [CrossRef]
- Fink, D.; Auer, T.; Johnston, A.; Ruiz-Gutierrez, V.; Hochachka, W.M.; Kelling, S. Modeling avian full annual cycle distribution and population trends with citizen science data. Ecol. Appl. 2020, 30, e02056. [Google Scholar] [CrossRef]
- Royle, J.A.; Dorazio, R.M. Hierarchical Modeling and Inference in Ecology: The Analysis of Data from Populations, Metapopulations and Communities; Academic Press: San Diego, CA, USA, 2008. [Google Scholar]
- Royle, J.A. N-Mixture Models for Estimating Population Size from Spatially Replicated Counts. Biometrics 2004, 60, 108–115. [Google Scholar] [CrossRef] [PubMed]



| Species | WLS Model | β 1 | SE 1 | t Value | p Value | T% 1992–2019 | Adj-R2 |
|---|---|---|---|---|---|---|---|
| Great Cormorant (Phalacrocorax carbo) | C-NB-GAM | 0.050 | 0.007 | −7.046 | <0.001 | +12,060 | 0.78 |
| Black-crowned Night Heron (Nycticorax nycticorax) | C-NB-GAM | −0.112 | 0.068 | −1.661 | 0.111 | −47.86 | 0.07 |
| Little Egret (Egretta garzetta) | C-NB-GAM | 0.366 | 0.134 | 2.745 | 0.012 | +100.59 | 0.22 |
| Grey Heron (Ardea cinerea) | C-NB-GAM | 0.022 | 0.008 | 2.719 | 0.013 | +54.76 | 0.22 |
| Mallard (Anas platyrhynchos) | C-ZINB-GAM | 0.019 | 0.003 | 6.776 | <0.001 | +525.19 | 0.66 |
| Black Kite (Milvus migrans) | C-ZINB-GAM | −0.053 | 0.022 | −2.459 | 0.022 | −54.96 | 0.18 |
| Common Buzzard (Buteo buteo) | C-P-GAM | 0.074 | 0.052 | 1.416 | 0.171 | +50.42 | 0.04 |
| Common Kestrel (Falcon tinnunculus) | C-P-GAM | 0.083 | 0.018 | 4.760 | <0.001 | +239.37 | 0.49 |
| Common Quail (Coturnix coturnix) | C-ZIP-GAM | −0.044 | 0.030 | −1.471 | 0.155 | −46.83 | 0.05 |
| Common Pheasant (Phasianus colchicus) | C-NB-GAM | 0.121 | 0.016 | 7.596 | <0.001 | +591.31 | 0.71 |
| Common Moohren (Gallinula chloropus) | C-NB-GAM | −0.008 | 0.009 | −0.819 | 0.421 | −13.83 | 0 |
| Northern Lapwing (Vanellus vanellus) | C-NB-GAM | 0.218 | 0.033 | 6.514 | <0.001 | +1653.42 | 0.65 |
| Feral Pigeon (Columba livia domestica) | C-ZINB-GAM | 0.062 | 0.079 | 0.779 | 0.444 | +30.28 | 0 |
| Common Wood Pigeon (Columba palumbus) | C-ZIP-GAM | 1.213 | 0.175 | 6.945 | <0.001 | +1727.33 | 0.67 |
| Eurasian Collared Dove (Streptopelia decaocto) | C-ZINB-GAM | 0.415 | 0.060 | 6.876 | <0.001 | +196.25 | 0.67 |
| European Turtle Dove (Streptopelia turtur) | C-ZIP-GAM | 0.253 | 0.279 | 0.907 | 0.374 | +22.53 | 0 |
| Common Cuckoo (Cuculus canorus) | C-ZIP-GAM | 0.104 | 0.227 | 0.458 | 0.651 | +5.81 | 0 |
| Common Swift (Apus apus) | C-ZINB-GAM | −1.857 | 0.583 | −3.187 | 0.004 | −50.01 | 0.29 |
| European Bee-eater (Merops apiaster) | C-NB-GAM | 0.287 | 0.045 | 6.367 | <0.001 | +1325.78 | 0.63 |
| Eurasian Wryneck (Jinx torquilla) | C-ZIP-GAM | −0.484 | 0.074 | −6.557 | <0.001 | −81.59 | 0.65 |
| European Green Woodpecker (Picus viridis) | C-P-GAM | 0.316 | 0.043 | 7.314 | <0.001 | +418.48 | 0.70 |
| Great Spotted Woodpecker (Dendrocopos major) | C-P-GAM | 0.425 | 0.034 | 12.448 | <0.001 | +1530.25 | 0.87 |
| Eurasian Skylark (Alauda arvensis) | C-ZIP-GAM | −0.744 | 0.087 | −8.521 | <0.001 | −99.65 | 0.76 |
| Eurasian Crag Martin (Ptyonoprogne rupestris) | C-NB-GAM | 0.078 | 0.052 | 1.498 | 0.148 | +64.74 | 0.05 |
| Barn Swallow (Hirundo rustica) | C-ZINB-GAM | −1.788 | 0.288 | −6.209 | <0.001 | −67.41 | 0.62 |
| Common House Martin (Delichon urbicum) | C-ZINB-GAM | −0.864 | 0.276 | −3.127 | 0.005 | −45.55 | 0.28 |
| Tree Pipit (Anthus trivialis) | C-ZIP-GAM | 0.134 | 0.176 | 0.761 | 0.455 | +14.41 | 0 |
| Water Pipit (Anthus spinoletta) | C-ZINB-GAM | 0.019 | 0.025 | 0.746 | 0.463 | +15.12 | 0 |
| Western Yellow Wagtail (Motacilla flava) | C-ZIP-GAM | −1.057 | 0.149 | −7.073 | <0.001 | −64.79 | 0.68 |
| Grey Wagtail (Motacilla cinerea) | C-P-GAM | 0.003 | 0.034 | 0.088 | 0.931 | +1.36 | 0 |
| White Wagtail (Motacilla alba) | C-P-GAM | −0.338 | 0.126 | −2.693 | 0.013 | −33.56 | 0.21 |
| Eurasian Wren (Troglodytes troglodytes) | C-ZIP-GAM | −0.054 | 0.087 | −0.626 | 0.538 | −8.91 | 0 |
| Dunnock (Prunella modularis) | C-P-GAM | 0.597 | 0.101 | 5.923 | <0.001 | +309.03 | 0.60 |
| European Robin (Erithacus rubecula) | C-ZIP-GAM | 0.140 | 0.053 | 2.640 | 0.015 | +35.51 | 0.21 |
| Common Nigthingale (Luscinia megarhynchos) | C-ZIP-GAM | −0.356 | 0.116 | −3.055 | 0.006 | −35.32 | 0.27 |
| Black Redstart (Phoenicurus ochruros) | C-ZIP-GAM | 0.161 | 0.021 | 7.523 | <0.001 | +135.77 | 0.71 |
| Common Redstart (Phoenicurus Phoenicurus) | C-ZIP-GAM | 0.569 | 0.121 | 4.682 | <0.001 | +126.60 | 0.48 |
| African Stonechat (Saxicola torquatus) | C-ZIP-GAM | −0.687 | 0.143 | −4.793 | <0.001 | −87.83 | 0.49 |
| Northern Wheatear (Oenanthe oenanthe) | C-P-GAM | −0.001 | 0.006 | −0.136 | 0.893 | −3.67 | 0 |
| Common Blackbird (Turdus merula) | C-ZIP-GAM | 1.291 | 0.682 | 1.894 | 0.072 | +25.15 | 0.10 |
| Song Thrush (Turdus philomelos) | C-ZIP-GAM | 0.561 | 0.051 | 11.026 | <0.001 | +2869.64 | 0.84 |
| Mistle Trush (Turdus viscivorus) | C-ZIP-GAM | 0.439 | 0.078 | 5.608 | <0.001 | +468.08 | 0.57 |
| Cetti’s Warbler (Cettia cetti) | C-ZIP-GAM | −0.096 | 0.031 | −3.049 | 0.006 | −62.35 | 0.27 |
| Melodius Warbler (Hippolais polyglotta) | C-ZIP-GAM | 0.273 | 0.044 | 6.154 | <0.001 | +346.07 | 0.62 |
| Lesser Whitethroat (Curruca curruca) | C-ZIP-GAM | 0.141 | 0.042 | 3.320 | 0.003 | +153.05 | 0.30 |
| Eurasian Blackcap (Sylvia atricapilla) | C-ZIP-GAM | 0.848 | 0.387 | 2.192 | 0.039 | +14.50 | 0.14 |
| Western Bonelli’s Warbler (Phylloscopus bonelli) | C-ZINB-GAM | 0.355 | 0.110 | 3.214 | 0.004 | +79.62 | 0.29 |
| Common Chiffchaff (Phylloscopus collybita) | C-ZIP-GAM | −0.154 | 0.053 | −2.919 | 0.008 | −40.64 | 0.25 |
| Goldcrest (Regulus regulus) | C-ZIP-GAM | −0.102 | 0.047 | −2.184 | 0.040 | −41.42 | 0.14 |
| Common Firecrest (Regulus ignicapilla) | C-ZIP-GAM | 0.363 | 0.084 | 4.349 | <0.001 | +309.79 | 0.44 |
| Spotted Flycatcher (Muscicapa striata) | C-P-GAM | 1.477 | 0.209 | 7.080 | <0.001 | +490.70 | 0.68 |
| Long-tailed Tit (Aegithalos caudatus) | C-P-GAM | 0.186 | 0.049 | 3.781 | 0.001 | +114.79 | 0.37 |
| Marsh Tit (Poecile palustris) | C-ZIP-GAM | 0.295 | 0.049 | 6.006 | <0.001 | +340.76 | 0.60 |
| Willow Tit (Poecile montanus) | C-ZIP-GAM | 0.155 | 0.068 | 2.289 | 0.032 | +116.63 | 0.16 |
| European Crested Tit (Lophophanes cristatus) | C-ZIP-GAM | 0.072 | 0.020 | 3.640 | 0.001 | +141.11 | 0.35 |
| Coal Tit (Periparus ater) | C-ZIP-GAM | 0.046 | 0.040 | 1.155 | 0.261 | +20.66 | 0.01 |
| Eurasian Blue Tit (Cyanistes caeruleus | C-ZIP-GAM | 0.179 | 0.071 | 2.538 | 0.019 | +48.78 | 0.19 |
| Great Tit (Parus major) | C-ZIP-GAM | 1.615 | 0.248 | 6.502 | <0.001 | +104.37 | 0.64 |
| Eurasian Nuthatch (Sitta europea) | C-ZIP-GAM | 0.015 | 0.009 | 1.788 | 0.088 | +81.84 | 0.09 |
| Short-toed Treecreeper (Certhia brachydactyla) | C-ZIP-GAM | 0.160 | 0.022 | 7.155 | <0.001 | +998.50 | 0.70 |
| Eurasian Golden Oriole (Oriolus oriolus) | C-ZIP-GAM | 0.229 | 0.067 | 3.404 | 0.003 | +75.75 | 0.32 |
| Red-backed Shrike (Lanius collurio) | C-P-GAM | −0.576 | 0.112 | −5.128 | <0.001 | −80.13 | 0.52 |
| Eurasian Jay (Garrulus glandarius) | C-P-GAM | 0.146 | 0.020 | 7.218 | <0.001 | +174.93 | 0.69 |
| Eurasian Magpie (Pica pica) | C-ZIP-GAM | 0.279 | 0.029 | 9.541 | <0.001 | +753.86 | 0.80 |
| Carrion Crow (Corvus corone) | C-ZIP-GAM | −0.008 | 0.044 | −0.192 | 0.850 | −6.24 | 0 |
| Hooded Crow (Corvus cornix) | C-ZINB-GAM | 0.395 | 0.301 | 1.309 | 0.204 | +13.31 | 0.03 |
| Common Starling (Sturnus vulgaris) | C-ZINB-GAM | −0.261 | 0.177 | −1.473 | 0.155 | −18.55 | 0.05 |
| Italian Sparrow (Passer italiae) | C-ZIP-GAM | −1.902 | 0.235 | −8.077 | <0.001 | −71.06 | 0.74 |
| Eurasian Tree Sparrow (Passer montanus) | C-ZIP-GAM | −0.272 | 0.064 | −4.253 | <0.001 | −41.31 | 0.43 |
| Common Chaffinch (Fringilla coelebs) | C-ZIP-GAM | −0.333 | 0.286 | −1.161 | 0.258 | −5.45 | 0.02 |
| European Serin (Serinus serinus) | C-ZIP-GAM | −0.111 | 0.345 | −0.322 | 0.751 | −4.49 | 0 |
| European Greenfinch (Chloris chloris) | C-ZINB-GAM | −2.590 | 0.338 | −7.657 | <0.001 | −82.00 | 0.72 |
| European Goldfinch (Carduelis carduelis) | C-ZINB-GAM | −2.477 | 0.297 | −8.329 | <0.001 | −86.89 | 0.75 |
| Common Linnet (Linaria cannabina) | C-ZINB-GAM | 0.034 | 0.044 | 0.767 | 0.452 | +20.60 | 0 |
| Common Redpoll (Acanthis flammea) | C-ZINB-GAM | −0.427 | 0.247 | −1.727 | 0.098 | −42.55 | 0.08 |
| Eurasian Bullfinch (Pyrrhula pyrrhula) | C-ZIP-GAM | 0.099 | 0.063 | 1.561 | 0.133 | +73.22 | 0.06 |
| (A) Migration Strategy | ||||
| Model output | ||||
| Term | Estimate | SE | t Value | p Value |
| Intercept (25) | −14.441 | 9.176 | −1.574 | 0.116 |
| SDM (30) | 40.904 | 11.808 | 3.464 | <0.001 |
| LDM (21) | 33.821 | 12.351 | 2.738 | 0.006 |
| Year | 0.008 | 0.005 | 1.683 | 0.093 |
| Year: SDM | −0.021 | 0.006 | −3.486 | <0.001 |
| Year: LDM | −0.017 | 0.006 | −2.769 | 0.006 |
| Additional tests | ||||
| Null hypothesis | F Value | p Value | ||
| Year: SDM = 0 | 11.966 | <0.001 | ||
| Year: LDM = 0 | 5.143 | 0.023 | ||
| Year: SDM = Year: LDM | 0.391 | 0.532 | ||
| (B) Dispersal ratio | ||||
| Model output | ||||
| Term | Estimate | SE | t Value | p Value |
| Intercept (19) | 7.039 | 9.335 | 0.754 | 0.451 |
| IDR (38) | 15.051 | 11.582 | 1.300 | 0.194 |
| LDR (19) | 2.484 | 13.642 | 0.182 | 0.856 |
| Year | −0.003 | 0.005 | −0.672 | 0.502 |
| Year: IDR | −0.008 | 0.006 | −1.300 | 0.194 |
| Year: LDR | −0.001 | 0.007 | −0.176 | 0.860 |
| Additional tests | ||||
| Null hypothesis | F Value | p Value | ||
| Year: IDR = 0 | 9.683 | 0.002 | ||
| Year: LDR = 0 | 0.761 | 0.383 | ||
| Year: IDR= Year: LDR | 1.097 | 0.295 | ||
| (C) Annual fecundity | ||||
| Model output | ||||
| Term | Estimate | SE | t Value | p Value |
| Intercept (19) | 33.284 | 9.141 | 3.641 | <0.001 |
| IAF (37) | −24.554 | 11.909 | −2.062 | 0.039 |
| LAF (20) | −29.050 | 12.367 | −2.349 | 0.019 |
| Year | −0.016 | 0.005 | −3.570 | <0.001 |
| Year: IAF | 0.012 | 0.006 | 2.083 | 0.037 |
| Year: LAF | 0.015 | 0.006 | 2.357 | 0.019 |
| Additional tests | ||||
| Null hypothesis | F Value | p Value | ||
| Year: IAF = 0 | 1.051 | 0.305 | ||
| Year: LAF = 0 | 0.174 | 0.676 | ||
| Year: IAF = Year: LAF | 0.148 | 0.701 | ||
| (D) Incubation period | ||||
| Model output | ||||
| Term | Estimate | SE | t Value | p Value |
| Intercept (29) | 25.684 | 6.411 | 4.006 | <0.001 |
| IIP (28) | −23.327 | 11.436 | −2.040 | 0.042 |
| LIP (19) | −33.426 | 12.549 | −2.664 | 0.008 |
| Year | −0.012 | 0.003 | −3.902 | <0.001 |
| Year: IIP | 0.012 | 0.006 | 2.063 | 0.039 |
| Year: LIP | 0.017 | 0.006 | 2.682 | 0.007 |
| Additional tests | ||||
| Null hypothesis | F Value | p Value | ||
| Year: IIP = 0 | 0.022 | 0.881 | ||
| Year: LIP = 0 | 0.643 | 0.423 | ||
| Year: IIP= Year:LIP | 0.492 | 0.483 | ||
| (A) Diet | ||||
| Model output | ||||
| Term | Estimate | SE | t Value | p Value |
| Intercept (31) | 6.242 | 7.250 | 0.861 | 0.389 |
| PLA (13) | 22.686 | 12.764 | 1.777 | 0.076 |
| INV (26) | 12.264 | 11.541 | 1.063 | 0.288 |
| VER (6) | −0.662 | 20.755 | −0.032 | 0.975 |
| Year | −0.003 | 0.004 | −0.743 | 0.458 |
| Year: PLA | −0.011 | 0.006 | −1.791 | 0.074 |
| Year: INV | −0.006 | 0.006 | −1.069 | 0.285 |
| Year: VER | 0.000 | 0.010 | 0.021 | 0.983 |
| Additional tests | ||||
| Null hypothesis | F Value | p Value | ||
| Year: PLA = 0 | 7.232 | 0.007 | ||
| Year: INV = 0 | 3.898 | 0.048 | ||
| Year: VER = 0 | 0.065 | 0.799 | ||
| Year: PLA = Year:INV | 0.579 | 0.446 | ||
| Year: PLA = Year: VER | 1.111 | 0.292 | ||
| Year: INV = Year: VER | 0.356 | 0.551 | ||
| (B) Nest type | ||||
| Model output | ||||
| Term | Estimate | SE | t Value | p Value |
| Intercept (35) | 5.627 | 6.834 | 0.823 | 0.410 |
| GR (13) | 29.582 | 13.532 | 2.186 | 0.029 |
| HL (28) | 9.696 | 10.731 | 0.904 | 0.366 |
| Year | −0.002 | 0.003 | −0.703 | 0.482 |
| Year: GR | −0.015 | 0.007 | −2.203 | 0.028 |
| Year: HL | −0.005 | 0.005 | −0.903 | 0.367 |
| Additional tests | ||||
| Null hypothesis | F Value | p Value | ||
| Year: GR = 0 | 8.790 | 0.003 | ||
| Year: HOLE = 0 | 3.070 | 0.080 | ||
| Year: GR = Year: HL | 1.976 | 0.160 | ||
| (C) Landscape type | ||||
| Model output | ||||
| Term | Estimate | SE | t Value | p Value |
| Intercept (9) | −22.340 | 20.764 | −1.076 | 0.282 |
| FAR (31) | 50.341 | 21.718 | 2.318 | 0.021 |
| WOO (17) | −14.078 | 26.297 | −0.535 | 0.593 |
| SEV (19) | 22.952 | 22.164 | 1.036 | 0.301 |
| Year | 0.012 | 0.010 | 1.127 | 0.260 |
| Year: FAR | −0.025 | 0.011 | −2.338 | 0.020 |
| Year: WOO | 0.007 | 0.013 | 0.551 | 0.581 |
| Year: SEV | −0.012 | 0.011 | −1.045 | 0.296 |
| Additional tests | ||||
| Null hypothesis | F Value | p Value | ||
| Year: FAR = 0 | 18.505 | <0.001 | ||
| Year: WOO = 0 | 5.513 | 0.019 | ||
| Year: SEV = 0 | <0.001 | 0.977 | ||
| Year: FAR = Year: WOO | 14.153 | <0.001 | ||
| Year: FAR = Year: SEV | 7.572 | 0.006 | ||
| Year: WOO = Year: SEV | 4.426 | 0.036 | ||
| (D) Overall specialization index | ||||
| Model output | ||||
| Term | Estimate | SE | t Value | p Value |
| Intercept (19) | 4.256 | 9.046 | 0.471 | 0.638 |
| INT (38) | 16.896 | 11.230 | 1.505 | 0.133 |
| SPE (19) | 9.934 | 14.312 | 0.694 | 0.488 |
| Year | −0.002 | 0.005 | −0.381 | 0.704 |
| Year: INT | −0.008 | 0.006 | −1.511 | 0.131 |
| Year: SPE | −0.005 | 0.007 | −0.691 | 0.490 |
| Additional tests | ||||
| Null hypothesis | F Value | p Value | ||
| Year: INT = 0 | 9.411 | 0.002 | ||
| Year: SPE = 0 | 1.446 | 0.230 | ||
| Year: INT = Year: SPE | 0.300 | 0.584 | ||
Publisher’s Note: MDPI stays neutral with regard to jurisdictional claims in published maps and institutional affiliations. |
© 2021 by the authors. Licensee MDPI, Basel, Switzerland. This article is an open access article distributed under the terms and conditions of the Creative Commons Attribution (CC BY) license (https://creativecommons.org/licenses/by/4.0/).
Share and Cite
Tirozzi, P.; Orioli, V.; Dondina, O.; Kataoka, L.; Bani, L. Species Traits Drive Long-Term Population Trends of Common Breeding Birds in Northern Italy. Animals 2021, 11, 3426. https://doi.org/10.3390/ani11123426
Tirozzi P, Orioli V, Dondina O, Kataoka L, Bani L. Species Traits Drive Long-Term Population Trends of Common Breeding Birds in Northern Italy. Animals. 2021; 11(12):3426. https://doi.org/10.3390/ani11123426
Chicago/Turabian StyleTirozzi, Pietro, Valerio Orioli, Olivia Dondina, Leila Kataoka, and Luciano Bani. 2021. "Species Traits Drive Long-Term Population Trends of Common Breeding Birds in Northern Italy" Animals 11, no. 12: 3426. https://doi.org/10.3390/ani11123426
APA StyleTirozzi, P., Orioli, V., Dondina, O., Kataoka, L., & Bani, L. (2021). Species Traits Drive Long-Term Population Trends of Common Breeding Birds in Northern Italy. Animals, 11(12), 3426. https://doi.org/10.3390/ani11123426

