Animal Welfare Assessment of Fattening Pigs: A Case Study on Sample Validity
Simple Summary
Abstract
1. Introduction
2. Animals, Materials, and Methods
2.1. Determining The True Prevalences of the Animal Welfare Indicators
2.2. Calculation of the Estimated Prevalences of the Animal Welfare Indicators
2.3. Statistical Analysis
3. Results
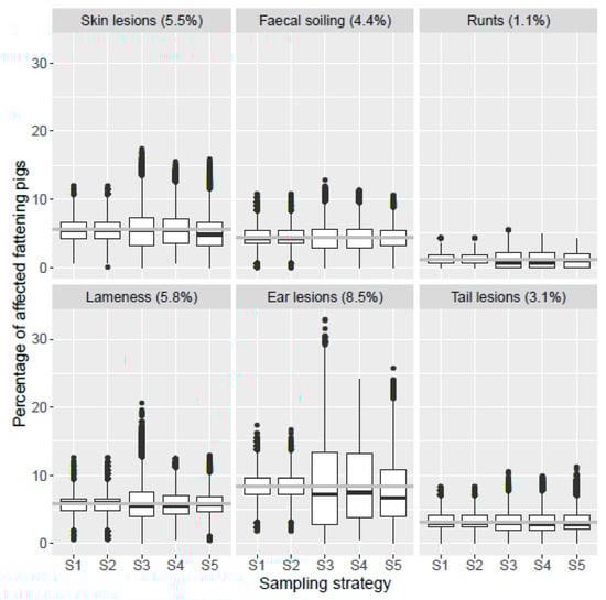
3.1. Comparison of the True and the Estimated Prevalence of the Animal Welfare Indicators
3.2. Extent of the Deviation from the True Prevalence of the Animal Welfare Indicators
3.3. Validity of the Five Random Sampling Strategies
4. Discussion
4.1. Comparison with the Sample Validity of Other Animal Welfare Indicators
4.2. Reflections on the Procedure
4.3. Feasibility of the Five Random Sampling Strategies
5. Conclusions
Author Contributions
Funding
Acknowledgments
Conflicts of Interest
Ethics Statement
References
- Schrader, L.; Czycholl, I.; Krieter, J.; Leeb, C.; Zapf, R.; Ziron, M. Tierschutzindikatoren: Leitfaden für die praxis—Schwein. In Vorschläge für die Produktionsrichtungen Sauen, Saugferkel, Aufzuchtferkel und Mastschweine, 1st Auflage; KTBL: Darmstadt, Germany, 2016; pp. 37–51. ISBN 3945088275. [Google Scholar]
- Welfare Quality®. Assessment Protocol for Pigs; Welfare Quality Consortium: Lelystad, The Netherlands, 2009; pp. 40–88. ISBN 9789078240051. [Google Scholar]
- Leeb, C.; Whay, B.; Main, D.; Webster, J. BWAP—Bristol welfare assurance programme. In Tiergerechtheit Bewerten, 1st Auflage; KTBL, Ed.; KTBL: Darmstadt, Germany, 2014; pp. 65–72. ISBN 9783941583986. [Google Scholar]
- Zapf, R.; Schultheiß, U.; Achilles, W.; Schrader, L.; Knierim, U.; Herrmann, H.-J.; Brinkmann, J.; Winckler, C. Indicators for on-farm self-assessment of animal welfare—Example: Dairy cows. LANDTECHNIK Agric. Eng. 2015, 70, 221–230. [Google Scholar] [CrossRef]
- Pfeifer, M.; Eggemann, L.; Kransmann, J.; Schmitt, A.O.; Hessel, E.F. Inter- and intra-observer reliability of animal welfare indicators for the on-farm self-assessment of fattening pigs. Animal 2019, 13, 1712–1720. [Google Scholar] [CrossRef] [PubMed]
- R Core Team. R: A Language and Environment for Statistical Computing; R Foundation for Statistical Computing: Vienna, Austria, 2017. [Google Scholar]
- Chalmers, P.; Sigal, M.; Oguzhan, O. SimDesign: Structure for Organizing Monte Carlo Simulation Designs (Version 1.11). Available online: https://CRAN.R-project.org/package=SimDesign (accessed on 25 August 2018).
- Mullan, S.; Browne, W.J.; Edwards, S.A.; Butterworth, A.; Whay, H.R.; Main, D.C.J. The effect of sampling strategy on the estimated prevalence of welfare outcome measures on finishing pig farms. Appl. Anim. Behav. Sci. 2009, 119, 39–48. [Google Scholar] [CrossRef]
- Courboulay, V.; Bregeon, A.; Massabie, P.; Meunier-Salaün, M.C. Influence du type de sol (caillebotis partiel/intégral) et de la taille de la case sur le bien-être des porcs charcutiers. Translation: Effect of floor type (slatted/partially slatted) and pen size on the welfare of growing/finishing pigs. Journ. Rech. Procine Fr. 2003, 35, 163–170. [Google Scholar]
- Courboulay, V.; Foubert, C. Testing different methods to evaluate pig welfare on farm. Anim. Welf. 2007, 16, 193–196. [Google Scholar]
- Bottacini, M.; Scollo, A.; Edwards, S.A.; Contiero, B.; Veloci, M.; Pace, V.; Gottardo, F. Skin lesion monitoring at slaughter on heavy pigs (170 kg): Welfare indicators and ham defects. PLoS ONE 2018, 13, e0207115. [Google Scholar] [CrossRef] [PubMed]
- Dos Anjos, M.B.; Zuanon, J. Sampling effort and fish species richness in small terra firme forest streams of central Amazonia, Brazil. Neotrop. Ichthyol. 2007, 5, 45–52. [Google Scholar] [CrossRef]
- Pearse, A.T.; Gerard, P.D.; Dinsmore, S.J.; Kaminski, R.M.; Reinecke, K.J. Estimation and correction of visibility bias in aerial surveys of wintering ducks. J. Wildl. Manag. 2008, 72, 808–813. [Google Scholar] [CrossRef]
- Lashley, M.A.; Cove, M.V.; Chitwood, M.C.; Penido, G.; Gardner, B.; DePerno, C.S.; Moorman, C.E. Estimating wildlife activity curves: Comparison of methods and sample size. Sci. Rep. 2018, 8, 1–11. [Google Scholar] [CrossRef] [PubMed]





| Indicators | Score | Description |
|---|---|---|
| Tail lesions | 0 | No observable wounds/scabs/swellings |
| 1 | Clearly visible wounds/scabs/swellings | |
| Faecal soiling | 0 | < 10% of the body surface is soiled with faeces |
| 1 | 10 to 30% of the body surface is soiled with faeces | |
| 2 | > 30% of the body surface is soiled with faeces | |
| Skin lesions | 0 | < 4 linear lesions with a length ≥ 5 cm and no lesions with a diameter ≥ 2.5 cm |
| 1 | 4-15 linear lesions with a length ≥ 5 cm and no lesions with a diameter ≥ 2.5 cm | |
| 2 | > 15 linear lesions with a length ≥ 5 cm or at least one lesion with a diameter ≥ 2.5 cm | |
| Ear lesions | 0 | No lesions or only some scratches on the external ear lobe but no larger wounds or scabs |
| 1 | Clearly visible haemorrhagic wounds and scabs | |
| Lameness | 0 | No or only a slight degree of lameness (stiff gait, fore- shortened stride, snake-like movements of the spine) |
| 1 | Obvious lameness (slight to severe reduction in weight-bearing) or ‘downer’ pig | |
| Runts | no | Pig is clinically unremarkable |
| yes | Pig shows at least two of those four characteristics: much smaller than the other animals in its group, protruding vertebrae, sunken flanks, long bristles |
| Room | Number of Fattening Pigs | Average Live Body Weight (kg) | Day of Fattening 1 |
|---|---|---|---|
| 1 | 88 | 103.8 | 84th |
| 2 | 174 | 57.1 | 32nd |
| 3 | 174 | 84.9 | 63rd |
| 4 | 200 | 32.5 | 5th |
| Strategy | Description |
|---|---|
| S1 | Simple random sampling: 167 pigs chosen randomly from the herd |
| S2 | Stratified random sampling: 167 pigs randomly selected from the herd, weight classes taken into account proportionally |
| S3 | Clustered sampling: random choice of 8 pens, whose pigs are all evaluated |
| S4 | Stratified clustered sampling: random selection of eight pens taking into account the different weight classes; all the pigs in these pens are evaluated |
| S5 | Method according to the KTBL guide for herds > 150 pigs: the random selection of ten pens taking into account the different weight classes; if > 15 pigs per pen: runts, faecal soiling and lameness are evaluated in all pigs in those ten pens; skin lesions, ear lesions and tail lesions assessed on 15 pigs chosen randomly from those ten pens; if < 15 pigs per pen: all six indicators are evaluated in all the pigs in those ten pens |
© 2020 by the authors. Licensee MDPI, Basel, Switzerland. This article is an open access article distributed under the terms and conditions of the Creative Commons Attribution (CC BY) license (http://creativecommons.org/licenses/by/4.0/).
Share and Cite
Pfeifer, M.; Schmitt, A.O.; Hessel, E.F. Animal Welfare Assessment of Fattening Pigs: A Case Study on Sample Validity. Animals 2020, 10, 389. https://doi.org/10.3390/ani10030389
Pfeifer M, Schmitt AO, Hessel EF. Animal Welfare Assessment of Fattening Pigs: A Case Study on Sample Validity. Animals. 2020; 10(3):389. https://doi.org/10.3390/ani10030389
Chicago/Turabian StylePfeifer, Mareike, Armin Otto Schmitt, and Engel Friederike Hessel. 2020. "Animal Welfare Assessment of Fattening Pigs: A Case Study on Sample Validity" Animals 10, no. 3: 389. https://doi.org/10.3390/ani10030389
APA StylePfeifer, M., Schmitt, A. O., & Hessel, E. F. (2020). Animal Welfare Assessment of Fattening Pigs: A Case Study on Sample Validity. Animals, 10(3), 389. https://doi.org/10.3390/ani10030389

