Possibility of Using By-Products with High NDF Content to Alter the Fecal Short Chain Fatty Acid Profiles, Bacterial Community, and Digestibility of Lactating Dairy Cows
Abstract
:1. Introduction
2. Materials and Methods
2.1. Animals and Experimental Design
2.2. Diets Formulation and Particle Size Distributions
2.3. Feces Sampling and Fermentation Parameters
2.4. Chemistry Analyses and Digestibility
2.5. DNA Extraction, 16S rRNA Sequence Analysis
2.6. Sequencing Data Processing
2.7. Statistical Analysis
3. Results
3.1. Treatment Diets
3.2. Fecal Fermentation Profile
3.3. Alpha Diversity and Bacterial Community in Feces
3.4. PICRUSt Analysis
3.5. Correlation between Bacterial Genera and Fecal Fermentation Parameter
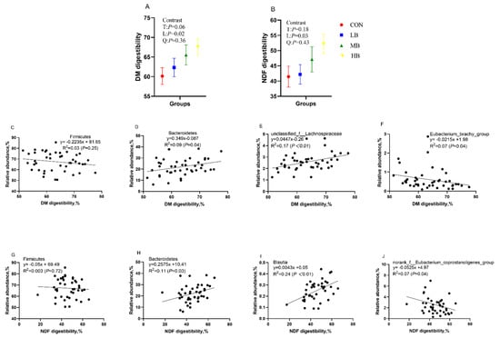
3.6. Digestibility and Correlation between Bacterial Genera and Digestibility
4. Discussion
5. Conclusions
Supplementary Materials
Author Contributions
Funding
Institutional Review Board Statement
Data Availability Statement
Acknowledgments
Conflicts of Interest
References
- Maekawa, M.; Beauchemin, K.A.; Christensen, D.A. Effect of Concentrate Level and Feeding Management on Chewing Activities, Saliva Production, and Ruminal pH of Lactating Dairy Cows. J. Dairy Sci. 2002, 85, 1165–1175. [Google Scholar] [CrossRef]
- Zebeli, Q.; Aschenbach, J.R.; Tafaj, M.; Boguhn, J.; Ametaj, B.N.; Drochner, W. Invited review: Role of physically effective fiber and estimation of dietary fiber adequacy in high-producing dairy cattle. J. Dairy Sci. 2012, 95, 1041–1056. [Google Scholar] [CrossRef] [PubMed]
- Miron, J.; Adin, G.; Solomon, R.; Nikbachat, M.; Zenou, A.; Yosef, E.; Brosh, A.; Shabtay, A.; Asher, A.; Gacitua, H.; et al. Effects of feeding cows in early lactation with soy hulls as partial forage replacement on heat production, retained energy and performance. Anim. Feed Sci. Technol. 2010, 155, 9–17. [Google Scholar] [CrossRef]
- Sutton, J.D. Symposium: Energy nutrition and metabolism of the lactation cow. Digestion and absorption of energy substrates in the lactating cow. J. Dairy Sci. 1985, 68, 3376–3393. [Google Scholar] [CrossRef]
- Gressley, T.F.; Hall, M.B.; Armentano, L.E. Ruminant Nutrition Symposium: Productivity, digestion, and health responses to hindgut acidosis in ruminants. J. Anim. Sci. 2011, 89, 1120–1130. [Google Scholar] [CrossRef]
- Kim, M.; Wells, J.E. A Meta-analysis of Bacterial Diversity in the Feces of Cattle. Curr. Microbiol. 2016, 72, 145–151. [Google Scholar] [CrossRef]
- Plaizier, J.C.; Danesh Mesgaran, M.; Derakhshani, H.; Golder, H.; Khafipour, E.; Kleen, J.L.; Lean, I.; Loor, J.; Penner, G.; Zebeli, Q. Review: Enhancing gastrointestinal health in dairy cows. Animal 2018, 12, s399–s418. [Google Scholar] [CrossRef]
- Zebeli, Q.; Metzler-Zebeli, B.U.; Ametaj, B.N. Meta-analysis reveals threshold level of rapidly fermentable dietary concentrate that triggers systemic inflammation in cattle. J. Dairy Sci. 2012, 95, 2662–2672. [Google Scholar] [CrossRef]
- Plaizier, J.C.; Khafipour, E.; Li, S.; Gozho, G.N.; Krause, D.O. Subacute ruminal acidosis (SARA), endotoxins and health consequences. Anim. Feed Sci. Technol. 2012, 172, 9–21. [Google Scholar] [CrossRef]
- Kim, M.; Kim, J.; Kuehn, L.A.; Bono, J.L.; Berry, E.D.; Kalchayanand, N.; Freetly, H.C.; Benson, A.K.; Wells, J.E. Investigation of bacterial diversity in the feces of cattle fed different diets. J. Anim. Sci. 2014, 92, 683–694. [Google Scholar] [CrossRef] [Green Version]
- Petri, R.M.; Munnich, M.; Zebeli, Q.; Klevenhusen, F. Graded replacement of corn grain with molassed sugar beet pulp modulates the fecal microbial community and hindgut fermentation profile in lactating dairy cows. J. Dairy Sci. 2019, 102, 5019–5030. [Google Scholar] [CrossRef] [PubMed]
- Callaway, T.R.; Dowd, S.E.; Edrington, T.S.; Anderson, R.C.; Krueger, N.; Bauer, N.; Kononoff, P.J.; Nisbet, D.J. Evaluation of bacterial diversity in the rumen and feces of cattle fed different levels of dried distillers grains plus solubles using bacterial tag-encoded FLX amplicon pyrosequencing. J. Anim. Sci. 2010, 88, 3977–3983. [Google Scholar] [CrossRef] [PubMed]
- White, R.R.; Hall, M.B.; Firkins, J.L.; Kononoff, P.J. Physically adjusted neutral detergent fiber system for lactating dairy cow rations. I: Deriving equations that identify factors that influence effectiveness of fiber. J. Dairy Sci. 2017, 100, 9551–9568. [Google Scholar] [CrossRef]
- Holt, M.S.; Williams, C.M.; Dschaak, C.M.; Eun, J.S.; Young, A.J. Effects of corn silage hybrids and dietary nonforage fiber sources on feed intake, digestibility, ruminal fermentation, and productive performance of lactating Holstein dairy cows. J. Dairy Sci. 2010, 93, 5397–5407. [Google Scholar] [CrossRef] [PubMed]
- Mohammadzadeh, H.; Rezayazdi, K.; Nikkhah, A. Effects of inclusion of graded amounts of soya bean hulls on feed intake, chewing activity and nutrient digestibility in dairy cows. J. Anim. Physiol. Anim. Nutr. 2014, 98, 476–482. [Google Scholar] [CrossRef] [PubMed]
- NRC. Nutrient Requirements of Dairy Cows; The National Research Council: Washington, DC, USA, 2001. [Google Scholar]
- AOAC International. Official Methods of Analysis, 16th ed.; Association of Official Analytical Chemists: Arlington, VA, USA, 2005. [Google Scholar]
- Van Soest, P.J.; Robertson, J.B.; Lewis, B.A. Methods for dietary fiber, neutral detergent fiber, and nonstarch polysaccharides in relation to animal nutrition. J. Dairy Sci. 1991, 74, 3583–3597. [Google Scholar] [CrossRef]
- Wang, E.; Wang, J.; Lv, J.; Sun, X.; Kong, F.; Wang, S.; Wang, Y.; Yang, H.; Cao, Z.; Li, S.; et al. Comparison of Ruminal Degradability, Indigestible Neutral Detergent Fiber, and Total-Tract Digestibility of Three Main Crop Straws with Alfalfa Hay and Corn Silage. Animals 2021, 11, 3218. [Google Scholar] [CrossRef]
- Fustini, M.; Palmonari, A.; Canestrari, G.; Bonfante, E.; Mammi, L.; Pacchioli, M.T.; Sniffen, G.C.J.; Grant, R.J.; Cotanch, K.W.; Formigoni, A. Effect of undigested neutral detergent fiber content of alfalfa hay on lactating dairy cows: Feeding behavior, fiber digestibility, and lactation performance. J. Dairy Sci. 2017, 100, 4475–4483. [Google Scholar] [CrossRef]
- Xu, N.; Tan, G.; Wang, H.; Gai, X. Effect of biochar additions to soil on nitrogen leaching, microbial biomass and bacterial community structure. Eur. J. Soil Biol. 2016, 74, 1–8. [Google Scholar] [CrossRef]
- Chen, S.; Zhou, Y.; Chen, Y.; Gu, J. fastp: An ultra-fast all-in-one FASTQ preprocessor. Bioinformatics 2018, 34, i884–i890. [Google Scholar] [CrossRef]
- Magoc, T.; Salzberg, S.L. FLASH: Fast length adjustment of short reads to improve genome assemblies. Bioinformatics 2011, 27, 2957–2963. [Google Scholar] [CrossRef] [PubMed]
- Edgar, R.C. UPARSE: Highly accurate OTU sequences from microbial amplicon reads. Nat. Methods 2013, 10, 996–998. [Google Scholar] [CrossRef] [PubMed]
- Wang, Q.; Garrity, G.M.; Tiedje, J.M.; Cole, J.R. Naive Bayesian classifier for rapid assignment of rRNA sequences into the new bacterial taxonomy. Appl. Environ. Microbiol. 2007, 73, 5261–5267. [Google Scholar] [CrossRef] [PubMed]
- Langille, M.G.I.; Zaneveld, J.; Caporaso, J.G.; McDonald, D.; Knights, D.; Reyes, J.A.; Clemente, J.C.; Burkepile, D.E.; Vega Thurber, R.L.; Knight, R.; et al. Predictive functional profiling of microbial communities using 16S rRNA marker gene sequences. Nat. Biotechnol. 2013, 31, 814–821. [Google Scholar] [CrossRef] [PubMed]
- Wei, T.; Simko, V. corrplot: Visualization of a correlation matrix. Morb. Mortal. Wkly. Rep. 2013, 52, 145–151. [Google Scholar]
- Lyu, J.Y.; College of Animal Science and Technology, China Agricultural University, Beijing, China. 2022; manuscript in preparation.
- Plaizier, J.C.; Krause, D.O.; Gozho, G.N.; McBride, B.W. Subacute ruminal acidosis in dairy cows: The physiological causes, incidence and consequences. Vet. J. 2008, 176, 21–31. [Google Scholar] [CrossRef]
- Metzler-Zebeli, B.U.; Schmitz-Esser, S.; Klevenhusen, F.; Podstatzky-Lichtenstein, L.; Wagner, M.; Zebeli, Q. Grain-rich diets differently alter ruminal and colonic abundance of microbial populations and lipopolysaccharide in goats. Anaerobe 2013, 20, 65–73. [Google Scholar] [CrossRef]
- Castillo-Lopez, E.; Haselmann, A.; Petri, R.M.; Knaus, W.; Zebeli, Q. Evaluation of fecal fermentation profile and bacterial community in organically fed dairy cows consuming forage-rich diets with different particle sizes. J. Dairy Sci. 2020, 103, 8020–8033. [Google Scholar] [CrossRef]
- Khafipour, E.; Li, S.; Tun, H.M.; Derakhshani, H.; Moossavi, S.; Plaizier, J.C. Effects of grain feeding on microbiota in the digestive tract of cattle. Anim. Front. 2016, 6, 13–19. [Google Scholar] [CrossRef]
- Scharen, M.; Drong, C.; Kiri, K.; Riede, S.; Gardener, M.; Meyer, U.; Hummel, J.; Urich, T.; Breves, G.; Danicke, S. Differential effects of monensin and a blend of essential oils on rumen microbiota composition of transition dairy cows. J. Dairy Sci. 2017, 100, 2765–2783. [Google Scholar] [CrossRef]
- Zhang, J.; Shi, H.; Wang, Y.; Li, S.; Cao, Z.; Ji, S.; He, Y.; Zhang, H. Effect of Dietary Forage to Concentrate Ratios on Dynamic Profile Changes and Interactions of Ruminal Microbiota and Metabolites in Holstein Heifers. Front. Microbiol. 2017, 8, 2206. [Google Scholar] [CrossRef] [PubMed] [Green Version]
- Monteiro, H.F.; Lelis, A.L.J.; Fan, P.; Calvo Agustinho, B.; Lobo, R.R.; Arce-Cordero, J.A.; Dai, X.; Jeong, K.C.; Faciola, A.P. Effects of lactic acid-producing bacteria as direct-fed microbials on the ruminal microbiome. J. Dairy Sci. 2022, 105, 2242–2255. [Google Scholar] [CrossRef] [PubMed]
- Naderi, N.; Ghorbani, G.R.; Sadeghi-Sefidmazgi, A.; Nasrollahi, S.M.; Beauchemin, K.A. Shredded beet pulp substituted for corn silage in diets fed to dairy cows under ambient heat stress: Feed intake, total-tract digestibility, plasma metabolites, and milk production. J. Dairy Sci. 2016, 99, 8847–8857. [Google Scholar] [CrossRef] [PubMed]
- Palarea-Albaladejo, J.; Rooke, J.A.; Nevison, I.M.; Dewhurst, R.J. Compositional mixed modeling of methane emissions and ruminal volatile fatty acids from individual cattle and multiple experiments. J. Anim. Sci. 2017, 95, 2467–2480. [Google Scholar] [CrossRef]
- Liu, Q.; Wang, C.; Pei, C.X.; Li, H.Y.; Wang, Y.X.; Zhang, S.L.; Zhang, Y.L.; He, J.P.; Wang, H.; Yang, W.Z.; et al. Effects of isovalerate supplementation on microbial status and rumen enzyme profile in steers fed on corn stover based diet. Livest. Sci. 2014, 161, 60–68. [Google Scholar] [CrossRef]
- Plaizier, J.C.; Li, S.; Danscher, A.M.; Derakshani, H.; Andersen, P.H.; Khafipour, E. Changes in Microbiota in Rumen Digesta and Feces Due to a Grain-Based Subacute Ruminal Acidosis (SARA) Challenge. Microb. Ecol. 2017, 74, 485–495. [Google Scholar] [CrossRef]
- Wang, K.; Zhang, H.; Hu, L.; Zhang, G.; Lu, H.; Luo, H.; Zhao, S.; Zhu, H.; Wang, Y. Characterization of the Microbial Communities along the Gastrointestinal Tract in Crossbred Cattle. Animals 2022, 12, 825. [Google Scholar] [CrossRef]
- Faulkner, M.J.; Wenner, B.A.; Solden, L.M.; Weiss, W.P. Source of supplemental dietary copper, zinc, and manganese affects fecal microbial relative abundance in lactating dairy cows. J. Dairy Sci. 2017, 100, 1037–1044. [Google Scholar] [CrossRef]
- Low, L.; Suleiman, K.; Shamdas, M.; Bassilious, K.; Poonit, N.; Rossiter, A.E.; Acharjee, A.; Loman, N.; Murray, P.I.; Wallace, G.R.; et al. Gut Dysbiosis in Ocular Mucous Membrane Pemphigoid. Front. Cell. Infect. Microbiol. 2022, 12, 780354. [Google Scholar] [CrossRef]
- Zhang, L.; Piao, X. Different dietary protein sources influence growth performance, antioxidant capacity, immunity, fecal microbiota and metabolites in weaned piglets. Anim. Nutr. 2022, 8, 71–81. [Google Scholar] [CrossRef]
- Rettedal, E.; Vilain, S.; Lindblom, S.; Lehnert, K.; Scofield, C.; George, S.; Clay, S.; Kaushik, R.S.; Rosa, A.J.; Francis, D.; et al. Alteration of the ileal microbiota of weanling piglets by the growth-promoting antibiotic chlortetracycline. Appl. Environ. Microbiol. 2009, 75, 5489–5495. [Google Scholar] [CrossRef] [PubMed] [Green Version]
- Li, H.; Li, R.; Chen, H.; Gao, J.; Wang, Y.; Zhang, Y.; Qi, Z. Effect of different seasons (spring vs summer) on the microbiota diversity in the feces of dairy cows. Int. J. Biometeorol. 2020, 64, 345–354. [Google Scholar] [CrossRef] [PubMed]
- Liu, J.; Zhang, M.; Xue, C.; Zhu, W.; Mao, S. Characterization and comparison of the temporal dynamics of ruminal bacterial microbiota colonizing rice straw and alfalfa hay within ruminants. J. Dairy Sci. 2016, 99, 9668–9681. [Google Scholar] [CrossRef] [PubMed]
- Tian, H.; Chen, Q.; Yang, B.; Qin, H.; Li, N. Analysis of Gut Microbiome and Metabolite Characteristics in Patients with Slow Transit Constipation. Dig. Dis. Sci. 2021, 66, 3026–3035. [Google Scholar] [CrossRef]
- Nogal, A.; Louca, P.; Zhang, X.; Wells, P.M.; Steves, C.J.; Spector, T.D.; Falchi, M.; Valdes, A.M.; Menni, C. Circulating Levels of the Short-Chain Fatty Acid Acetate Mediate the Effect of the Gut Microbiome on Visceral Fat. Front. Microbiol 2021, 12, 711359. [Google Scholar] [CrossRef]
- Hua, D.; Zhao, Y.; Nan, X.; Xue, F.; Wang, Y.; Jiang, L.; Xiong, B. Effect of different glucogenic to lipogenic nutrient ratios on rumen fermentation and bacterial community in vitro. J. Appl. Microbiol. 2021, 130, 1868–1882. [Google Scholar] [CrossRef]
- Sun, J.; Zeng, B.; Chen, Z.; Yan, S.; Huang, W.; Sun, B.; He, Q.; Chen, X.; Chen, T.; Jiang, Q.; et al. Characterization of faecal microbial communities of dairy cows fed diets containing ensiled Moringa oleifera fodder. Sci. Rep. 2017, 7, 41403. [Google Scholar] [CrossRef] [Green Version]





| Item | Treatment Diets 1 | |||
|---|---|---|---|---|
| CON | LB | MB | HB | |
| DM, % as fed | 52.6 ± 0.27 | 52.6 ± 0.20 | 52.6 ± 0.28 | 52.8 ± 0.20 |
| NEL, Mcal/kg 2 | 1.73 | 1.73 | 1.73 | 1.73 |
| CP | 16.0 ± 0.27 | 16.0 ± 0.23 | 16.1 ± 0.21 | 16.1 ± 0.29 |
| NDF | 27.1 ± 0.23 | 27.1 ± 0.22 | 27.1 ± 0.20 | 27.1 ± 0.20 |
| FNDF 3 | 18.0 ± 0.21 | 17.0 ± 0.28 | 16.0 ± 0.30 | 15.0 ± 0.31 |
| ADF | 17.1 ± 0.19 | 16.9 ± 0.17 | 16.8 ± 0.20 | 16.7 ± 0.19 |
| Ether extract | 4.45 ± 0.12 | 4.41 ± 0.10 | 4.45 ± 0.16 | 4.48 ± 0.13 |
| NFC 4 | 44.82 ± 0.33 | 45.09 ± 0.28 | 45.32 ± 0.32 | 45.66 ± 0.30 |
| Starch | 25.65 ± 0.30 | 25.72 ± 0.23 | 25.75 ± 0.33 | 25.80 ± 0.21 |
| Ash | 8.87 ± 0.12 | 8.79 ± 0.13 | 8.54 ± 0.18 | 8.38 ± 0.18 |
| ADL | 4.66 ± 0.10 | 4.44 ± 0.09 | 4.25 ± 0.12 | 3.94 ± 0.15 |
| uNDF240 5 | 9.01 ± 0.11 | 8.89 ± 0.10 | 8.51 ± 0.14 | 8.02 ± 0.11 |
| Separator sieve (% of DM retained on sieve) | ||||
| 19 mm | 11.10 ± 0.34 | 9.72 ± 0.37 | 8.43 ± 0.31 | 7.10 ± 0.33 |
| 8–19 mm | 34.91 ± 0.28 | 33.82 ± 0.23 | 32.52 ± 0.24 | 31.45 ± 0.27 |
| 1.18–8 mm | 27.61 ± 0.087 | 29.91 ± 0.101 | 32.74 ± 0.092 | 35.31 ± 0.077 |
| Pan | 26.42 ± 0.100 | 26.54 ± 0.112 | 26.39 ± 0.073 | 26.21 ± 0.084 |
| pef8.0 6, % | 46.04 ± 0.29 | 43.63 ± 0.28 | 40.94 ± 0.23 | 38.55 ± 0.21 |
| peNDF8.0 7, % | 12.52 ± 0.27 | 11.80 ± 0.27 | 11.10 ± 0.28 | 10.48 ± 0.23 |
| Item | Diets 1 | SEM | p-Value | |||||
|---|---|---|---|---|---|---|---|---|
| CON | LB | MB | HB | Treatment | Linear | Quadratic | ||
| Fecal pH | 7.29 | 7.27 | 7.24 | 7.23 | 0.028 | 0.57 | 0.16 | 0.69 |
| Total SCFA, mM | 51.09 | 47.62 | 53.78 | 51.79 | 3.400 | 0.66 | 0.62 | 0.47 |
| VFA proportion, mol/100 mol | ||||||||
| Acetate | 73.99 | 73.89 | 74.53 | 73.50 | 0.589 | 0.67 | 0.74 | 0.40 |
| Propionate | 14 | 14.54 | 14.58 | 14.85 | 0.256 | 0.18 | 0.04 | 0.13 |
| Butyrate | 6.52 | 5.67 | 5.88 | 6.06 | 0.190 | 0.19 | 0.21 | 0.10 |
| Isobutyrate | 4.12 | 3.71 | 3.47 | 3.25 | 0.250 | 0.06 | 0.03 | 0.23 |
| Isovalerate | 1.01 | 0.87 | 0.79 | 0.79 | 0.076 | 0.17 | 0.07 | 0.27 |
| Valerate | 0.86 | 0.86 | 0.89 | 0.92 | 0.054 | 0.79 | 0.26 | 0.97 |
| Item | Diets 1 | SEM | p-Value | |||||
|---|---|---|---|---|---|---|---|---|
| CON | LB | MB | HB | Treatment | Linear | Quadratic | ||
| Firmicutes | 71.10 | 67.69 | 65.23 | 66.11 | 2.14 | 0.34 | 0.13 | 0.59 |
| Bacteroidetes | 19.23 | 20.88 | 22.99 | 23.69 | 1.47 | 0.20 | 0.04 | 0.42 |
| Actinobacteria | 6.10 | 7.07 | 6.53 | 7.05 | 1.18 | 0.92 | 0.81 | 0.56 |
| Spirochaetes | 1.77 | 1.26 | 1.54 | 1.11 | 0.32 | 0.55 | 0.32 | 0.17 |
| Patescibacteria | 0.53 | 0.71 | 0.47 | 0.57 | 0.12 | 0.42 | 0.72 | 0.25 |
| Proteobacteria | 0.40 | 0.44 | 0.32 | 0.45 | 0.07 | 0.49 | 0.89 | 0.24 |
| unclassified_Bacteria | 0.07 | 0.06 | 0.08 | 0.10 | 0.01 | 0.22 | 0.23 | 0.88 |
| Firmicutes/Bacteroidetes | 3.92 a | 3.23 ab | 3.16 ab | 2.87 b | 0.22 | 0.04 | 0.03 | 0.10 |
| Item | Diets 1 | SEM | p-Value | |||||
|---|---|---|---|---|---|---|---|---|
| CON | LB | MB | HB | Treatment | Linear | Quadratic | ||
| Oscillospiraceae | 15.58 | 15.20 | 15.54 | 15.36 | 1.27 | 0.99 | 0.96 | 0.88 |
| Peptostreptococcaceae | 11.06 | 13.19 | 12.26 | 12.93 | 1.26 | 0.49 | 0.69 | 0.43 |
| Lachnospiraceae | 9.42 | 10.37 | 10.93 | 12.22 | 0.71 | 0.12 | 0.04 | 0.22 |
| Rikenellaceae | 7.54 | 6.41 | 8.49 | 7.73 | 0.88 | 0.27 | 0.44 | 0.40 |
| Bifidobacteriaceae | 5.06 | 6.10 | 5.47 | 5.86 | 1.16 | 0.89 | 0.86 | 0.60 |
| Prevotellaceae | 4.50 | 4.90 | 5.11 | 5.41 | 0.31 | 0.27 | 0.08 | 0.33 |
| Erysipelotrichaceae | 4.77 | 6.05 | 4.61 | 4.18 | 0.69 | 0.30 | 0.21 | 0.90 |
| Christensenellaceae | 4.18 | 3.54 | 4.17 | 3.81 | 0.35 | 0.32 | 0.91 | 0.28 |
| Clostridiaceae | 2.92 | 2.49 | 2.42 | 2.71 | 0.42 | 0.77 | 0.67 | 0.72 |
| Ruminococcaceae | 2.44 | 2.58 | 2.67 | 2.58 | 0.24 | 0.88 | 0.97 | 0.76 |
| Bacteroidaceae | 2.37 | 2.28 | 2.15 | 1.52 | 0.37 | 0.43 | 0.32 | 0.48 |
| Muribaculaceae | 2.72 | 2.36 | 2.64 | 2.68 | 0.30 | 0.85 | 0.87 | 0.67 |
| Eubacterium_coprostanoligenes_group | 3.12 | 2.44 | 2.51 | 2.12 | 0.49 | 0.51 | 0.31 | 0.40 |
| o__Oscillospirales; f__UCG-010 | 2.62 | 2.87 | 2.57 | 2.32 | 0.40 | 0.71 | 0.77 | 0.80 |
| f__Bacteroidales_RF16_group | 1.23 | 1.03 | 0.95 | 0.89 | 0.088 | 0.06 | 0.02 | 0.22 |
| Family | Genus | Diets 1 | SEM | p-Value | |||||
|---|---|---|---|---|---|---|---|---|---|
| CON | LB | MB | HB | Treatment | Linear | Quadratic | |||
| Lachnospiraceae | unclassified_f__Lachnospiraceae | 2.37 | 2.50 | 2.71 | 2.79 | 0.110 | 0.20 | 0.04 | 0.45 |
| Lachnospiraceae_NK3A20_group | 1.25 | 1.27 | 1.31 | 1.36 | 0.224 | 0.53 | 0.46 | 0.73 | |
| Marvinbryantia | 0.42 b | 0.45 ab | 0.52 ab | 0.77 a | 0.106 | 0.04 | 0.07 | 0.23 | |
| Lachnospiraceae_NK4A136_group | 0.50 | 0.56 | 0.67 | 0.69 | 0.067 | 0.33 | 0.06 | 0.61 | |
| Coprococcus | 0.41 | 0.37 | 0.41 | 0.46 | 0.065 | 0.74 | 0.67 | 0.94 | |
| Ruminococcus_torques_group | 0.57 | 0.44 | 0.45 | 0.46 | 0.077 | 0.44 | 0.41 | 0.59 | |
| Lachnospiraceae_AC2044_group | 0.52 | 0.54 | 0.50 | 0.50 | 0.070 | 0.97 | 0.85 | 0.87 | |
| Cellulosilyticum | 0.41 | 0.34 | 0.32 | 0.27 | 0.060 | 0.41 | 0.09 | 0.26 | |
| Blautia | 0.23 | 0.22 | 0.40 | 0.40 | 0.056 | 0.19 | 0.03 | 0.98 | |
| Acetitomaculum | 0.33 b | 0.40 ab | 0.46 ab | 0.52 a | 0.053 | 0.04 | 0.04 | 0.37 | |
| Dorea | 0.29 b | 0.25 b | 0.42 a | 0.46 a | 0.055 | <0.01 | 0.03 | 0.90 | |
| Ruminococcus_gauvreauii_group | 0.24 | 0.24 | 0.28 | 0.35 | 0.052 | 0.12 | 0.35 | 0.70 | |
| Agathobact | 0.17 | 0.11 | 0.13 | 0.15 | 0.028 | 0.19 | 0.90 | 0.47 | |
| Frisingicoccus | 0.15 | 0.21 | 0.20 | 0.18 | 0.029 | 0.49 | 0.65 | 0.55 | |
| Prevotellaceae | Prevotellaceae_UCG-003 | 1.91 | 2.27 | 2.30 | 2.35 | 0.131 | 0.15 | 0.07 | 0.20 |
| Prevotella | 0.53 b | 0.95 ab | 0.99 ab | 1.11 a | 0.132 | 0.04 | 0.02 | 0.11 | |
| Prevotellaceae_UCG-001 | 0.58 | 0.75 | 0.78 | 0.79 | 0.051 | 0.11 | 0.02 | 0.14 | |
| Prevotellaceae_UCG-004 | 0.399 | 0.490 | 0.403 | 0.298 | 0.094 | 0.3 | 0.94 | 0.66 | |
| unclassified_f__Prevotellaceae | 0.364 | 0.263 | 0.476 | 0.334 | 0.081 | 0.21 | 0.87 | 0.23 | |
| Alloprevotella | 0.179 | 0.133 | 0.127 | 0.211 | 0.026 | 0.11 | 0.68 | 0.61 | |
| Oscillospiraceae | g__UCG-005 | 14.16 | 13.93 | 14.25 | 14.04 | 1.231 | 0.98 | 0.93 | 0.90 |
| g__NK4A214_group | 0.43 | 0.40 | 0.41 | 0.44 | 0.037 | 0.81 | 0.95 | 0.95 | |
| Oscillibacter | 0.22 | 0.24 | 0.24 | 0.23 | 0.032 | 0.97 | 0.88 | 0.83 | |
| norank_f__Oscillospiraceae | 0.26 | 0.24 | 0.27 | 0.20 | 0.020 | 0.15 | 0.22 | 0.07 | |
| unclassified_f__Oscillospiraceae | 0.14 | 0.14 | 0.12 | 0.15 | 0.015 | 0.60 | 0.79 | 0.34 | |
| Ruminococcaceae | Ruminococcus | 1.22 | 1.17 | 0.93 | 0.91 | 0.088 | 0.16 | 0.01 | 0.70 |
| norank_f__Ruminococcaceae | 0.61 | 0.65 | 0.77 | 0.61 | 0.095 | 0.47 | 0.93 | 0.57 | |
| unclassified_f__Ruminococcaceae | 0.48 | 0.44 | 0.43 | 0.40 | 0.023 | 0.20 | 0.04 | 0.23 | |
| Anaerovoracaceae | Eubacterium_brachy_group | 0.52 | 0.46 | 0.47 | 0.46 | 0.060 | 0.91 | 0.63 | 0.79 |
| Family_XIII_AD3011_group | 0.45 | 0.41 | 0.41 | 0.41 | 0.047 | 0.93 | 0.72 | 0.72 | |
| Eubacterium_nodatum_group | 0.20 | 0.17 | 0.16 | 0.19 | 0.030 | 0.69 | 0.74 | 0.93 | |
| Peptostreptococcaceae | Romboutsia | 6.25 | 7.68 | 7.19 | 7.71 | 0.771 | 0.46 | 0.50 | 0.33 |
| Paeniclostridium | 4.62 | 5.28 | 4.77 | 4.95 | 0.510 | 0.66 | 0.92 | 0.61 | |
| Rikenellaceae | Rikenellaceae_RC9_gut_group | 5.95 | 4.94 | 6.75 | 6.28 | 0.702 | 0.23 | 0.36 | 0.39 |
| Alistipes | 1.43 | 1.13 | 1.42 | 1.37 | 0.196 | 0.69 | 0.75 | 0.55 | |
| Bifidobacteriaceae | Bifidobacterium | 4.86 | 5.98 | 5.32 | 5.71 | 1.173 | 0.87 | 0.85 | 0.59 |
| Erysipelotrichaceae | Turicibacter | 5.32 | 4.78 | 4.48 | 3.34 | 0.464 | 0.18 | 0.03 | 0.15 |
| Christensenellaceae | Christensenellaceae_R-7_group | 4.17 | 3.54 | 4.16 | 3.80 | 0.350 | 0.32 | 0.89 | 0.28 |
| Clostridiaceae | Clostridium_sensu_stricto_1 | 3.32 | 2.63 | 2.40 | 2.36 | 0.251 | 0.13 | 0.03 | 0.21 |
| Muribaculaceae | norank_f__Muribaculaceae | 2.702 | 2.321 | 2.629 | 2.671 | 0.302 | 0.83 | 0.85 | 0.64 |
| Bacteroidaceae | Bacteroides | 2.37 | 2.22 | 2.15 | 1.68 | 0.372 | 0.43 | 0.32 | 0.48 |
| Eubacterium_coprostanoligenes_group | norank_f__Eubacterium_coprostanoligenes_group | 1.86 | 2.26 | 2.11 | 2.09 | 0.362 | 0.90 | 0.73 | 0.56 |
| Spirochaetaceae | Treponema | 1.75 | 1.24 | 1.53 | 1.11 | 0.313 | 0.56 | 0.32 | 0.17 |
| Monoglobaceae | Monoglobus | 1.15 | 1.29 | 1.24 | 1.25 | 0.211 | 0.94 | 0.74 | 0.69 |
| Bacteroidales_RF16_group | norank_f__Bacteroidales_RF16_group | 1.23 | 1.03 | 0.95 | 0.89 | 0.088 | 0.06 | 0.02 | 0.22 |
| Butyricicoccaceae | UCG-009 | 0.31 | 0.28 | 0.31 | 0.24 | 0.053 | 0.66 | 0.73 | 0.51 |
| Acidaminococcaceae | Phascolarctobacterium | 0.22 | 0.14 | 0.21 | 0.22 | 0.045 | 0.59 | 0.72 | 0.41 |
| Atopobiaceae | Olsenella | 0.10 | 0.12 | 0.15 | 0.15 | 0.029 | 0.79 | 0.29 | 0.79 |
| Item | Diets 1 | SEM | p-Value | |||||
|---|---|---|---|---|---|---|---|---|
| CON | LB | MB | HB | Treatment | Linear | Quadratic | ||
| Global and overview maps | 40.40 | 40.25 | 40.48 | 40.44 | 0.111 | 0.30 | 0.43 | 0.49 |
| Carbohydrate metabolism | 9.71 | 9.68 | 9.63 | 9.71 | 0.042 | 0.50 | 0.80 | 0.64 |
| Amino acid metabolism | 7.25 | 7.27 | 7.33 | 7.37 | 0.032 | 0.16 | 0.02 | 0.39 |
| Energy metabolism | 4.15 | 4.17 | 4.19 | 4.20 | 0.023 | 0.11 | 0.03 | 0.33 |
| Metabolism of cofactors and vitamins | 4.32 | 4.35 | 4.14 | 3.89 | 0.133 | 0.12 | 0.03 | 0.43 |
| Translation | 3.86 b | 3.92 ab | 3.94 a | 3.95 a | 0.021 | 0.02 | 0.03 | 0.11 |
| Replication and repair | 3.37 | 3.40 | 3.39 | 3.40 | 0.020 | 0.48 | 0.38 | 0.27 |
| Membrane transport | 3.04 | 2.96 | 2.94 | 3.02 | 0.056 | 0.41 | 0.52 | 0.77 |
| Nucleotide metabolism | 2.92 | 2.97 | 2.94 | 2.93 | 0.029 | 0.32 | 0.70 | 0.67 |
| Signal transduction | 2.20 | 2.15 | 2.18 | 2.17 | 0.023 | 0.16 | 0.35 | 0.12 |
| Cellular-community prokaryotes | 2.10 | 2.08 | 2.08 | 2.09 | 0.023 | 0.66 | 0.67 | 0.70 |
| Lipid metabolism | 1.86 | 1.86 | 1.85 | 1.85 | 0.011 | 0.91 | 0.41 | 0.82 |
| Biosynthesis of other secondary metabolites | 1.60 | 1.59 | 1.61 | 1.59 | 0.010 | 0.39 | 0.75 | 0.36 |
| Folding, sorting, and degradation | 1.59 | 1.60 | 1.59 | 1.58 | 0.017 | 0.69 | 0.44 | 0.86 |
| Glycan biosynthesis and metabolism | 1.46 | 1.50 | 1.50 | 1.48 | 0.024 | 0.31 | 0.39 | 0.57 |
| Metabolism of other amino acids | 1.22 | 1.24 | 1.23 | 1.24 | 0.018 | 0.18 | 0.31 | 0.15 |
| Cell motility | 1.11 | 1.05 | 1.09 | 1.04 | 0.037 | 0.31 | 0.26 | 0.13 |
| Metabolism of terpenoids and polyketides | 0.99 | 1.00 | 1.01 | 1.02 | 0.004 | 0.11 | 0.04 | 0.10 |
Publisher’s Note: MDPI stays neutral with regard to jurisdictional claims in published maps and institutional affiliations. |
© 2022 by the authors. Licensee MDPI, Basel, Switzerland. This article is an open access article distributed under the terms and conditions of the Creative Commons Attribution (CC BY) license (https://creativecommons.org/licenses/by/4.0/).
Share and Cite
Lyu, J.; Yang, Z.; Wang, E.; Liu, G.; Wang, Y.; Wang, W.; Li, S. Possibility of Using By-Products with High NDF Content to Alter the Fecal Short Chain Fatty Acid Profiles, Bacterial Community, and Digestibility of Lactating Dairy Cows. Microorganisms 2022, 10, 1731. https://doi.org/10.3390/microorganisms10091731
Lyu J, Yang Z, Wang E, Liu G, Wang Y, Wang W, Li S. Possibility of Using By-Products with High NDF Content to Alter the Fecal Short Chain Fatty Acid Profiles, Bacterial Community, and Digestibility of Lactating Dairy Cows. Microorganisms. 2022; 10(9):1731. https://doi.org/10.3390/microorganisms10091731
Chicago/Turabian StyleLyu, Jiaying, Zhantao Yang, Erdan Wang, Gaokun Liu, Yajing Wang, Wei Wang, and Shengli Li. 2022. "Possibility of Using By-Products with High NDF Content to Alter the Fecal Short Chain Fatty Acid Profiles, Bacterial Community, and Digestibility of Lactating Dairy Cows" Microorganisms 10, no. 9: 1731. https://doi.org/10.3390/microorganisms10091731
APA StyleLyu, J., Yang, Z., Wang, E., Liu, G., Wang, Y., Wang, W., & Li, S. (2022). Possibility of Using By-Products with High NDF Content to Alter the Fecal Short Chain Fatty Acid Profiles, Bacterial Community, and Digestibility of Lactating Dairy Cows. Microorganisms, 10(9), 1731. https://doi.org/10.3390/microorganisms10091731

