Next Article in Journal
Design and Optimization of a Pneumatic Microvalve with Symmetric Magnetic Yoke and Permanent Magnet Assistance
Previous Article in Journal
Study on Vibration Characteristics and Harmonic Suppression of an Integrated Electric Drive System Considering the Electromechanical Coupling Effect
 
 
Font Type:
Arial Georgia Verdana
Font Size:
Aa Aa Aa
Line Spacing:
Column Width:
Background:
Article

An Adaptive Bandpass Full-Order Observer with a Compensated PLL for Sensorless IPMSMs

1
School of Electrical Engineering, Beijing Jiaotong University, Beijing 100044, China
2
Key Laboratory of Vehicular Multi-Energy Drive Systems, Ministry of Education, Beijing Jiaotong University, Beijing 100044, China
*
Author to whom correspondence should be addressed.
Actuators 2025, 14(8), 387; https://doi.org/10.3390/act14080387
Submission received: 1 July 2025 / Revised: 27 July 2025 / Accepted: 30 July 2025 / Published: 4 August 2025
(This article belongs to the Section Control Systems)

Abstract

Model-based sensorless control of interior permanent-magnet synchronous motors (IPMSMs) typically employs an estimation observer with embedded position information, followed by a position extraction process. Although a type-2 phase-locked loop (PLL) is widely adopted for position and speed extraction, it suffers from steady-state tracking errors under variable-speed operation, leading to torque bias in IPMSM torque control. To mitigate this issue, this paper first proposes an adaptive bandpass full-order observer in the stationary reference frame. Subsequently, a Kalman filter (KF)-based compensation strategy is introduced for the PLL to eliminate tracking errors while maintaining system stability. Experimental validation on a 300 kW platform confirms the effectiveness of the proposed sensorless torque control algorithm, demonstrating significant reductions in position error and torque fluctuations during acceleration and deceleration.

1. Introduction

Permanent magnet synchronous motors (PMSMs) are increasingly utilized in electric vehicles, home appliances, and rail transportation due to their high efficiency and power density [1,2,3]. However, reliability concerns, particularly position sensor failures in voltage source inverter (VSI)-driven interior PMSM (IPMSM) systems, hinder lifecycle cost reduction. As a result, sensorless control, which eliminates the need for additional hardware, has emerged as a promising solution to enhance system robustness [4]. This approach is especially critical for high-power applications such as mining trucks, cranes, and military vehicles, where reliable torque output under dynamic operating conditions is essential [5]. Model-based methods [6,7,8,9,10,11] are usually adapted for medium- and high-speed sensorless control, which estimates rotor position using motor model-derived back electromotive force (EMF) or flux observers.
Among model-based techniques, the model reference adaptive system (MRAS) offers simplicity but suffers from parameter sensitivity [12]. The sliding mode observer (SMO) provides robustness; recent research focuses on mitigating its low-pass filter (LPF) delay and chattering effects, such as adjusting the gain according to the switching delay [13], the fast terminal sliding mode observer [14] or the fuzzy logic controller-based SMO [15]. The full-order observer incorporates the extended EMF (EEMF) as a state variable and introduces feedback gain into the observer, ensuring system stability and dynamic performance across the full speed range [16,17]. Additionally, learning observer-based strategies has also been explored for EMF estimation [18,19], but their high-frequency switching components introduce chattering. Data-driven methods, while promising [20], demand extensive training datasets and high-performance controllers (e.g., DSP C6000 and dSPACE) due to computational complexity [21].
A full-order observer’s advantage lies in its ability to incorporate system dynamics through feedback gain tuning, enabling precise pole placement for desired frequency-domain responses. The EEMF is viewed as a state instead of a disturbance, reducing the high bandwidth requirement in comparison with the linear disturbance observer [16]. High-performance sensorless control can thus be achieved by tailoring the observer gains to the specific characteristics of the system. A high-bandwidth adaptive full-order observer is designed in [17] with a cascaded low-frequency feedback loop for speed estimation. The author in [22] proposes a pole-placement-based full-order observer feedback gain design method to address low-speed instability in induction motor sensorless control. An adaptive full-order observer gain is designed to suppress the resistance mismatch effect for sensorless variable flux reluctance motors [23]. To further improve EEMF estimation accuracy, a two-degree-of-freedom structure-based backstepping full-order observer is developed in [24] to suppress the DC error for IPMSM. The observer ensures 0 dB gain and zero phase delay at the operating frequency. However, due to its asymmetric frequency-domain response between the positive and negative frequency components, its estimation accuracy may be compromised. To overcome this limitation, this paper proposes an adaptive bandpass full-order observer with a symmetrical frequency-domain response while maintaining 0 dB gain and zero phase delay at the operating frequency, thereby improving estimation accuracy.
For position extraction, conventional approaches like the gradient descent algorithm [17] or arctan(−eα/eβ) suffer from noise sensitivity. The phase-locked loop (PLL), particularly the type-2 quadrature PLL, is a preferred alternative [10,25,26,27,28,29]. However, it suffers from steady-state errors during frequency ramps. While the type-3 structure feedforward PLLs [10] and mechanical model-based compensation [27] have been proposed, they introduce stability risks or depend on inertia (J) and friction (B) parameters.
To address this issue, this article proposes an adaptive bandpass full-order observer with a compensated PLL. The primary contributions of this article are as follows:
  • Development of an adaptive bandpass full-order observer for stationary-frame EEMF estimation;
  • Quantitative analysis of PLL-induced position errors and their impact on torque output during acceleration and deceleration;
  • Proposal of a Kalman filter (KF)-based PLL compensation strategy that eliminates steady-state errors without increasing system order or requiring mechanical parameters;
  • Experimental validation on a 300 kW IPMSM platform, which demonstrates significant position error compensation and torque fluctuation reduction under dynamic conditions

2. Sensorless Control of IPMSM

2.1. Model of Full-Order Observer

The current model of IPMSM is
u d u q = R s + ρ L d ω e L q ω e L d R s + ρ L q i d i q + 0 ω e ψ
where idq and udq are the stator currents and voltages, Rs is the stator resistance, Ld and Lq are the d and q axis inductances, Ψ is the permanent magnet flux, ρ is the differential operator, and ωe is the electric speed.
To obtain an asymmetrical stationary frame model, Equation (1) is symmetrized as follows [17]:
u d u q = R s + ρ L d ω e L q ω e L q R s + ρ L d i d i q + 0 ( L d L q ) ( ω e i d i ˙ q ) + ω e ψ .
Transferring Equation (2) with the inverse Park transform, the IPMSM model in the stationary reference frame can be represented as follows:
u α β = R s + ρ L d I + Δ L ω e J i α β + e α β
with the extended EMF (EEMF)
e α β = L d L q ω e i d i ˙ q + ω e ψ sin θ e cos θ e
where
I = 1 0 0 1 , J = 0 1 1 0 , Δ L = L d L q .
uαβ = [uα uβ]T is the stator voltage, iαβ = [iα iβ]T is the stator current, and θe represents the rotor position.
Extending the eαβ to be a state variable, the full-order model of the IPMSM can be constructed as follows:
x ˙ = A c x + B c u y = C c x
where
x = i α β e α β T , u = u α β , y = i α β , A c = [ I R s L d + J ω e Δ L L d I L d 0 J ω e ] , B c = I L d 0 T , C c = 1 0 .
Then, the full-order observer can be obtained as follows:
x ^ ˙ = A c x ^ + B c u + G c y C c x ^
where the ‘ˆ’ represents the estimated values, and Gc is the feedback gain matrix.
For convenience in subsequent analysis, the model is represented using a complex vector form, and the full-order observer is written as follows:
d d t i ^ α β e ^ α β = A c B c 0 j ω e i ^ α β e ^ α β + B c u α β + G 1 G 2 i ˜ α β
where
A c = R s L d + j ω ^ e Δ L L d , B c = 1 L d .

2.2. Feedback Gain Matrix Design of Full-Order Observer

The feedback gain matrix is designed based on the expected bandpass characteristic of the observer. According to Equation (8), the estimated current can be written as follows:
i ^ α β = A c G 1 s A c G 1 i α β + B c s A c G 1 ( u α β e ^ α β ) .
According to Equation (3), the relationship between the motor current and the EEMF is
i α β = B c s A c ( u α β e α β ) .
Assuming the estimated speed is equal to the actual speed, the transfer function of the observer can be derived as follows:
H ( s ) = e ^ α β e α β = G 2 B c s j ω ^ e s A c G 1 + G 2 B c .
For the second-order system, a zero point at s = 0 provides suppression of DC bias and low-frequency disturbances. Assume the denominator of Equation (12) is
G 2 B c = K ( ω ^ e ) s
where K( ω ^ e ) represents a quantity related to speed. The second-order system with two conjugate roots can be expressed as follows:
s 2 + 2 ξ ω n s + ω n 2
where ξ is the damping ratio, and ωn is the natural frequency. Considering the numerator of Equation (12), assuming ω n = ω ^ e , then it can be obtained that
A c + G 1 = j ω e , G 2 B c = 2 k ω e 2 L d L q L d s
The feedback gain matrix is designed as follows:
G 1 = R s L d j ω ^ e 2 L d L q L d , G 2 = 2 k ω ^ e L d ( 2 L d L q ) s .
where k is the adjustable parameter of the bandpass observer. Then the transfer function is simplified as follows:
H ( s ) = 2 k ω ^ e 2 L d L q L d s s 2 + 2 k ω ^ e 2 L d L q L d s + ω ^ e 2 .
Given the estimated speed equals to the actual speed at the operating frequency s = e, the frequency-domain response is
H ( j ω e ) = 2 j k ω e 2 2 L d L q L d ω e 2 + 2 j k ω e 2 2 L d L q L d + ω e 2 = 1 0 ° .
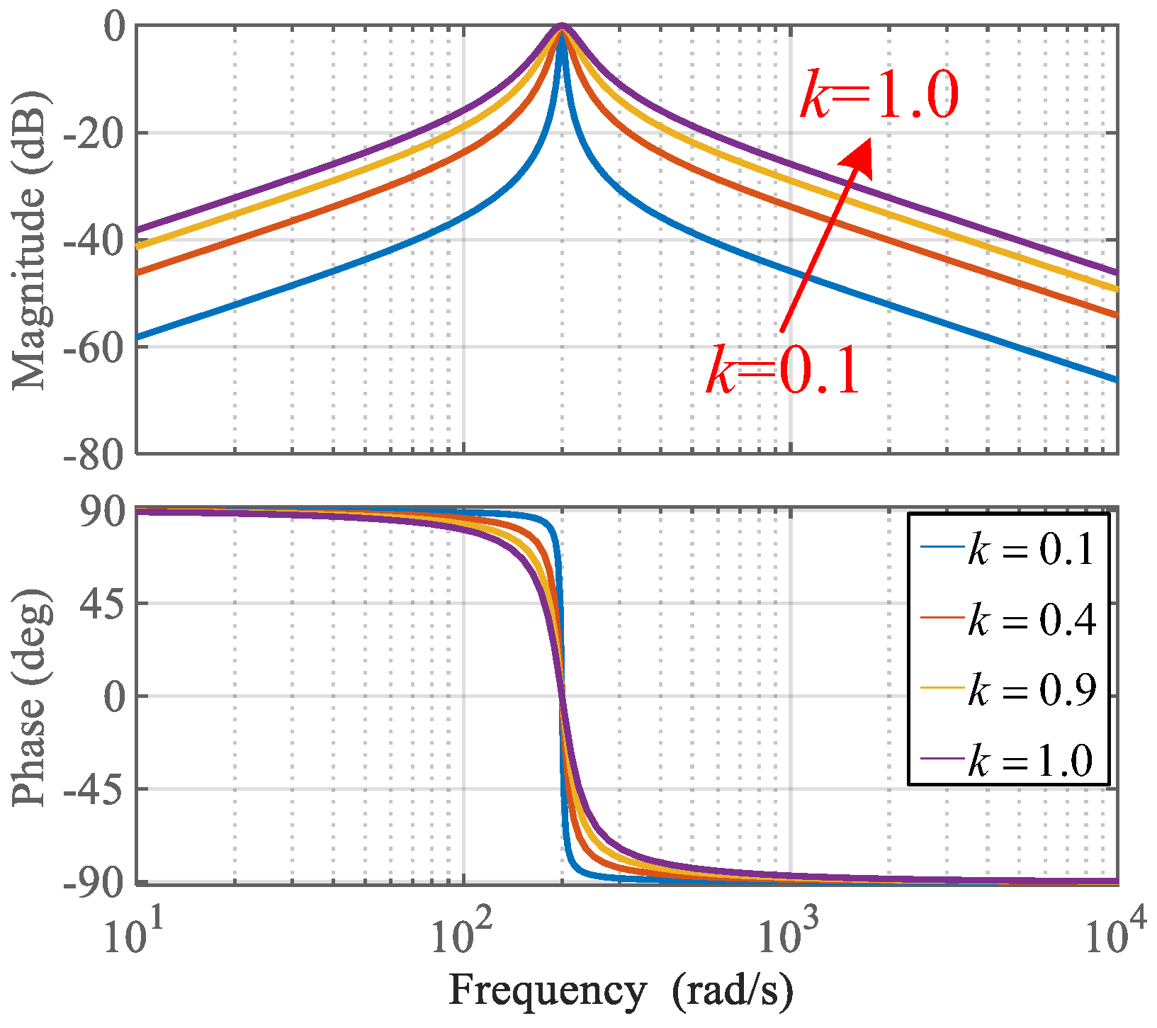
H(e) indicates the proposed bandpass observer extracts the EEMF without magnitude attenuation or phase delay. Figure 1 presents the Bode diagram of the observer at different speeds with k = 0.1. The magnitude response remains 0 dB and the phase response is 0° at different speeds, which is consistent with the numerical analysis. Figure 2 shows the Bode diagram of the observer with different k at ωe = 200 rad/s. The results demonstrate that this single adjustable parameter exclusively governs the observer’s attenuation characteristics for both low- and high-frequency components. Notably, the bandwidth of the bandpass filter exhibits a proportional increase with higher k values.

2.3. Stability Analysis

The stability of the proposed observer is analyzed by the EEMF convergence. The EEMF error dynamics can be derived from Equation (17) as follows:
e ˜ α β e α β = s 2 ω ^ e 2 s 2 + 2 k ω ^ e 2 L d L q L d s + ω ^ e 2 .
The characteristic equation of Equation (19) can be represented as follows:
s 2 + 2 k ω ^ e 2 L d L q L d s + ω ^ e 2 = 0 .
The two eigenvalues of Equation (20) is
s 1 , 2 = ω e k 2 L d L q L d ± 2 L d L q L d k 2 1 .
For the experimental IPMSM parameters presented in Table 1, the real part of Equation (21) remains negative when 0 < k <1. It can be proved that the proposed observer is stable at different speeds.

2.4. Parameter Sensitivity Analysis

The IPMSM model in Equation (3) can be expressed as follows:
d i α β d t = ( R s L d + j ω e Δ L L d ) i α β + 1 L d ( u α β e α β ) .
Considering the parameter mismatches, the model is denoted as follows:
d i α β d t = A c i α β + B c ( u α β e α β )
where the superscript ‘′’ represents the coefficient and variable with parameter mismatches. As the parameters change, both the real current and reference voltage are affected accordingly.
Substituting Equation (23) into Equation (8), the transfer function between the estimated EEMF and the real EEMF can be expressed as follows:
e ^ α β ( s ) = s ( B c B c ) + A c B c B c A c B c H s B c i α β ( s ) + H s e α β ( s ) .
When the parameters are accurate, Equation (24) is equivalent to Equation (12). Substituting s = e, the EEMF error with parameter mismatches is
Δ e ^ α β ( s ) = s ( B c B c ) + A c B c B c A c B c H s B c i α β ( s ) .
When ΔRs ≠ 0, the coefficient relationship is
B c = B c , A c A c = Δ R s L d .
Then, the estimated EEMF error is
Δ e ^ α β ( s ) = Δ R s i α β ( s ) .
When ΔLd ≠ 0, the relationship between the coefficients is
A c A c B c B c = j ω ^ e ( 1 B c B c ) .
Then, the estimated EEMF error is
Δ e ^ α β ( s ) = j ω ^ e ( B c B c 1 ) + A c A c B c B c B c i α β = 0 .
When ΔLd ≠ 0, the relationship between the coefficients is
B c = B c , A c + j ω ^ e L q L d = A c + j ω ^ e L q L d .
Then, the estimated EEMF error is
Δ e ^ α β ( s ) = A c A c B c i α β ( s ) = j ω ^ e L d Δ L q i α β ( s ) .
Transforming the stationary frame EEMF to the synchronous frame, Equations (27) and (31) are transformed into
Δ e ^ d q ( s ) = Δ R s i d q ( s )
Δ e ^ d q ( s ) = j ω e Δ L q i d q ( s ) .
In the synchronous frame, the position error of PLL is
Δ E e ^ d e ^ q .
With the stator resistance mismatch and q-axis inductance mismatch, the position errors are
Δ E Δ R s i d e ^ q + Δ R s i q
Δ E Δ L q ω e i q e ^ q + Δ L q ω e i d .
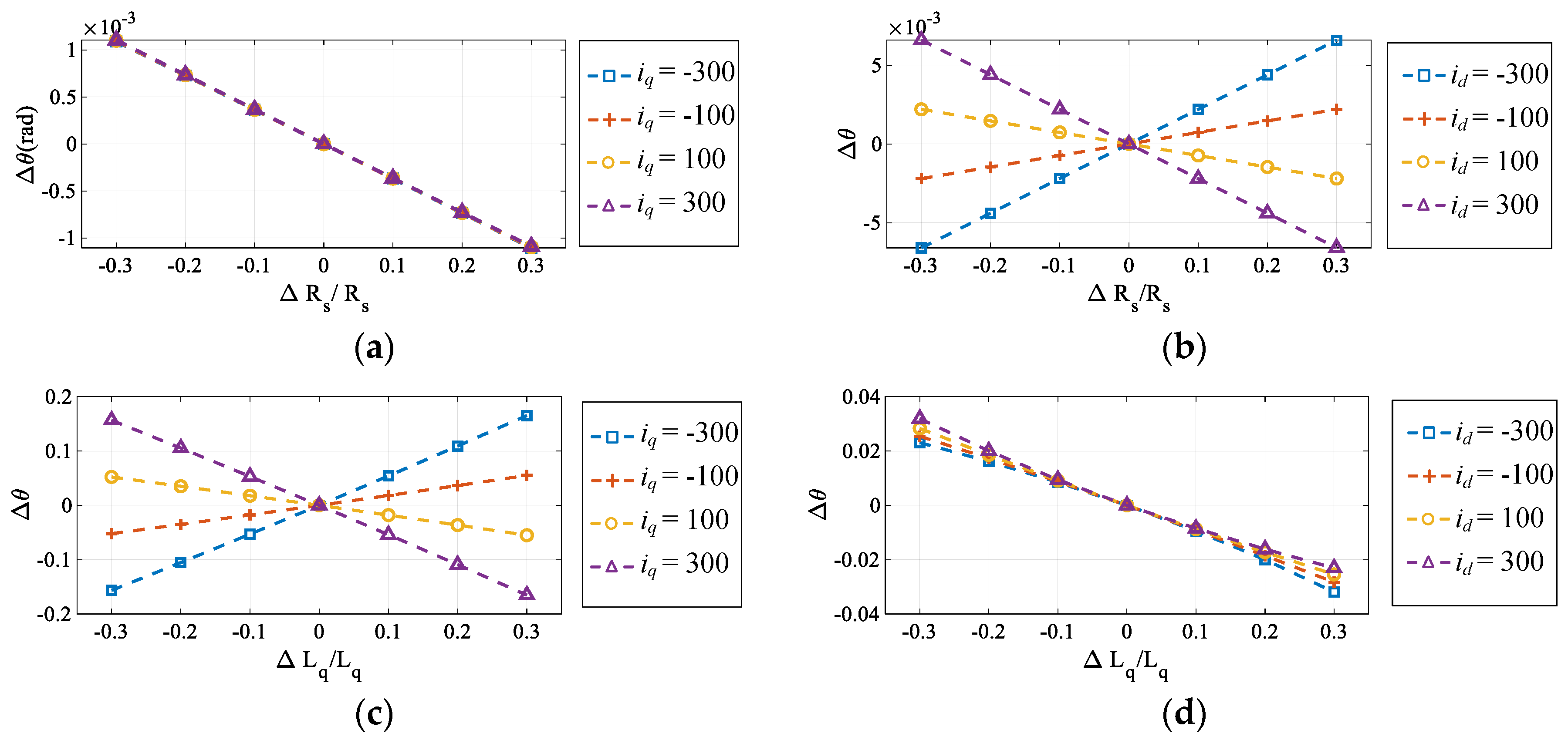
Figure 3 presents the position error at 200 rad/s under Rs and Lq mismatches. As shown in Figure 3a,b, the impact of ΔRs on position error is negligible. In contrast, Figure 3c,d indicate that a mismatch in Lq results in a significant position error, which is proportional to both iq and ΔLq. Notably, id has no influence on the position error.

3. Analysis and Compensation of PLL

3.1. Conventional PLL Performance with Ramp Input Speed

The block diagram of sensorless control is shown in Figure 4. The IPMSM is controlled using field-oriented control (FOC) and a PI current regulator. To mitigate measurement noise, a PLL is generally employed to extract position and speed in sensorless control systems. By normalizing the EEMF, the PLL retains consistent tracking performance with a fixed PI controller, even as the EEMF amplitude varies with speed. Figure 5 illustrates the diagram of the conventional normalized PLL in the stationary frame. The time-domain expression of the EEMF error is
Δ E = e ^ α cos θ ^ e e ^ β sin θ ^ e e ^ α 2 + e ^ β 2 = sin ( Δ θ e ) Δ θ e .
Then the equivalent small signal diagram of Figure 5 is illustrated in Figure 6, and the open loop transfer functions of the position and speed are
G O ( s ) = θ ^ e ( s ) θ e ( s ) = k p s + k i s 2
ω ^ e ( s ) = s θ ^ e ( s ) .
The error transfer function of Figure 6 is
Φ er ( s ) = Δ E ( s ) θ e ( s ) = s 2 s 2 + k p s + k i .
For a typical step input speed, where ωe = c, and a ramp input speed, where ωe = at, the corresponding position inputs are c/s2 and a/s3, respectively. Using the final value theorem, the steady-state position error for the step input speed is calculated as θess1, and the error for the ramp input speed is calculated as θess2:
θ ess 1 = lim s 0   s Φ er ( s ) c s 2 = 0
θ ess 2 = lim s 0   s Φ er ( s ) a s 3 = a k i .
Therefore, the conventional PLL tracks the step input speed with zero steady-state error [10]. However, for the ramp input speed, there is a constant position error related to the ramp and the ki of the PLL. According to Equation (39), in the acceleration and deceleration process.
ω ess = d ( θ ^ e + θ ess ) d t ω ^ e = d ( θ ess ) d t .
From Equations (41)–(43), the steady-state speed error for step input and ramp input speeds are both zero. While the conventional PLL performs well for step input speeds, it requires a position compensation when applied to the frequency-ramped IPMSM.

3.2. Impact of Position Error on Torque Control

With the estimated position error θ ˜ e , the feedback i ^ d q in Figure 7 is
i ^ d = i d cos ( θ ˜ e ) i q sin ( θ ˜ e ) i ^ q = i q cos ( θ ˜ e ) + i d sin ( θ ˜ e ) .
The torque of the IPMSM is
T e = 3 2 n p ψ i q + ( L d L q ) i d i q
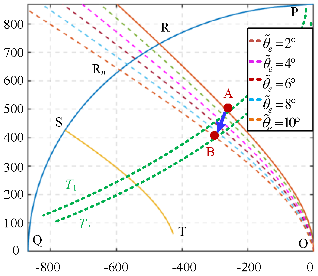
where np is the number of pole pairs. For the maximum torque per ampere (MTPA) control of IPMSMs, the trajectory of reference idq is determined by a LUT. The current trajectory caused by different position errors is shown in Figure 8. Curve PQ represents the current limit, curve OR denotes the reference MTPA, curve ST illustrates the maximum torque per voltage (MTPV) trajectory, while T1 and T2 represent the constant torque curves. A set of dashed lines ORn represents the MTPA offset trajectory with different position errors. The deviation angle of the current increases as the position error increases. The operating point will move from the expected point A to point B, and the torque will decrease from T1 to T2.

3.3. Feedforward PLL

The feedforward PLL of SPMSM proposed in [10] and the QPLL proposed in [27] are shown in Figure 9a, b, respectively. The closed-loop transfer function of Figure 9a is
Φ 1 ( s ) = θ ^ e ( s ) θ e ( s ) = ( k p + ω c ) s 2 + ( k i + k p ω c ) s + k i ω c s 3 + ( k p + ω c ) s 2 + ( k i + k p ω c ) s + k i ω c
where ωc is the cutoff frequency of the low-pass filter in the feed-forward path. The addition of the feedforward loop increases the order of the PLL by introducing an extra parameter, which may raise the risk of instability. In contrast, the QPLL shown in Figure 9b relies on the differentiation of current signals and mechanical parameters, which compromises its accuracy.

3.4. KF-Based PLL Compensation Strategy

Based on the analysis above, the conventional PLL requires a position compensation to maintain the command torque for frequency-ramped IPMSMs. According to Equation (43), the compensation position θCP is derived as follows:
θ C P = ω e ( k ) ω e ( k N ) N T s k i .
Typically, a buffer size N >> 1 is assigned to reduce instantaneous errors. However, during program execution, storing N data points takes a significant amount of time. If N is too large, it may reduce the accuracy of the position estimation and negatively affect motor performance. In addition, the estimated speed contains a considerable ripple, which needs to be filtered before calculating θCP.
The compensated PLL diagram is presented in Figure 10. The KF provides an optimal estimation of the current state by combining noisy sensor measurements with a predicted state estimate and its associated uncertainty [30]. The discrete-time state space model of the KF is
x k = F k x k 1 + G k u k + w k y k = H k x k + v k
where xk is the state vector at time k, yk is the measurement value at time k, wk ~ N(0,Q) is the process noise, and vk ~ N(0,R) is the measurement noise. wk and vk are assumed to be Gaussian with covariance matrices Q and R, respectively. uk is the control input signal of the system, Fk is the state transition matrix, Gk is the control input matrix, and Hk is the measurement matrix. The KF structure involves two main steps and five key equations for computation. The prediction step obtains the a priori state estimate of the state x:
x ^ k = F k 1 x ^ k 1 + G k 1 u k 1 .
Then, the error covariance at the priori step is
P k = F k 1 P k 1 F k 1 T + Q
where Pk−1 is the error covariance at the posteriori step. The second step is to update the current estimate state and the error covariance by
K k = P k H k T ( H k P k H k T + R ) 1
x ^ k = x ^ k + K k ( y k H k x ^ k )
P k = ( I K k H k ) P k
where Kk is the Kalman gain. For the speed filter system, uk is zero. F and H are equal to I. The model in Equation (48) is transferred to
x k = x k 1 + w k y k = x k + v k .
The effectiveness of noise and ripple filtering in the KF output depends on the selection of Q and R. A smaller Q results in reduced output ripple, and a larger R also decreases the ripple. However, the KF can introduce output delay for the ramp input speed. And the delay increases as the output smoothness improves. Therefore, a trade-off must be made between the values of Q and R. Figure 11 compares the response of the KF to step input under different parameters with white noise injected into the input signal for simulation. The parameter settings are KF1 (Q = 0.001, R = 0.005), KF2 (Q = 0.00001, R = 0.5), KF3 (Q = 0.0001, R = 5), KF4 (Q = 0.0001, R = 0.05), and KF5 (Q = 0.0001, R = 0.5). Figure 11a shows that KF5 exhibits better performance considering the overall filtering effect and delay time. Figure 11b,c compare the root mean square error (RMSE) and delay time, revealing that the errors of KF2 and KF3 are identical. This indicates that excessively reducing Q or significantly increasing R can decrease the error but at the cost of increased delay time. Additionally, the comparison between KF4 and KF5 suggests that a reduction in R leads to an increase in RMSE. Consequently, KF1 has the smallest delay but the largest RMSE.

4. Experimental Analysis

The experimental platform is shown in Figure 12. The IPMSM parameters are shown in Table 1, with a rated speed of 2000 r/min. The load machine is a 450 kW induction motor. The switching and the sample frequencies are 4 kHz and 8 kHz, respectively. Data is collected by the host computer from the controller via Ethernet at a frequency of 4 kHz. As shown in Figure 13, all sensorless control algorithms are implemented on the DSP TMS320F28379D. The observer and FOC control programs are executed on CPU1, while the KF and Ethernet transmission are programmed on CPU2. The motor starts using a variable reluctance (VR) resolver and switches to sensorless control at 300 r/min. In the following tests, the PLL parameters remain constant across different experiments (kp = 200, ki = 1000). The parameter k of the bandpass observer is 0.8. Figure 14 presents the experimental result of KF under KF1-5, which is consistent with the simulation results shown in Figure 11. Considering the trade-off between filtering performance and delay time, the KF parameters are set to KF5 (Q = 0.0001 and R = 0.5).
Performance of the adaptive bandpass full-order observer under low speed and rated speed is presented in Figure 15 and Figure 16, respectively. Figure 15 illustrates the estimated results at 300 r/min under 100 N·m and the rated load. The speed error contains small ripples resulting from the inverter nonlinearity. Even though the adaptive bandpass observer reduces the fifth and seventh harmonics of the estimated EEMF, they are not completely eliminated. Figure 16 presents the estimated results at 2000 r/min under 100 N·m and the rated load. As the speed increases, the fifth and seventh harmonics are further away from the fundamental frequency; therefore, the speed error fluctuations are smaller than that of the low speed. The estimated EEMFs exhibit consistent sinusoidal waveforms across both low- and high-speed ranges under all load conditions.
To verify the influences of the parameter mismatch on the observer, the corresponding experimental results are revealed in Figure 17. Since the parameters of the motor cannot be manually adjusted, the same effect is achieved by modifying the parameters used in the observer and FOC. Figure 17a,b illustrate the performance of the adaptive bandpass full-order observer under load with a 25% resistance mismatch and 25% d-axis inductance mismatch, respectively. There are no significant impacts on the estimation of position. With a 25% q-axis inductance error, Figure 17c shows that the position error is increased.
Figure 18 presents experimental results of the conventional PLL with speed variation and load variation. In regions A–C, acceleration and deceleration processes result in steady-state position error. In region D–I, the position error varies with the load variation without steady-state error, which results from the inverter nonlinearity. Meanwhile, the estimated speed remains accurate with both speed and load variations.
In order to validate the compensation effect of the proposed method, Figure 19, Figure 20, Figure 21 and Figure 22 present the comparison results of the conventional PLL and the compensated PLL in different conditions: (1) the speed reference begins with 500 r/min and changes to 1000 r/min with a ramp of 200 rad/s2 under a load of 100 N·m; (2) the speed reference begins with 500 r/min and changes to 1000 r/min with a ramp of 200 rad/s2 under the rated load; (3) the speed reference begins with 300 r/min and changes to 2000 r/min with a ramp of 200 rad/s2 under a load of 100 N·m; (4) the speed reference begins with 300 r/min and changes to 2000 r/min with a ramp of 200 rad/s2 under the rated load. The theoretical steady-state position error θess, as given by (42), is 3.6°. The torque is calculated using (45), which adapts the rotor position converted by the AD2S1210. The estimated torque accuracy is affected by parameter mismatches, but since parameters remain consistent under identical operating conditions, the position error can be deduced from the estimated torque. As previously discussed, when the estimated position lags the actual rotor position, the estimated torque falls below the commanded value; conversely, when the estimated position leads the rotor position, the estimated torque exceeds the command value.
It Is observed that the position error and torque fluctuations In condition (1) with the conventional PLL are 12.9° and 17 N·m, respectively, whereas with the compensated PLL, they are reduced to 5.5° and 10 N·m, respectively. Similarly, in conditions (2), conditions (3) and conditions (4), the position error fluctuations are reduced from 14.2° to 7.6°, from 14.7° to 7.2° and from 19.75° to 12.27 °, respectively. While the torque fluctuation decreases from 17 N·m to 10 N·m in condition (1), from 96 N·m to 62 N·m in condition (2), from 23 N·m to 15 N·m in condition (3), and from 138 N·m to 68 N·m in condition (4), respectively. Table 2 presents the calculated position compensation errors and torque compensation values under different conditions. The position errors are within 10% under all conditions, which means the steady-state position error of the traditional PLL under ramp speed input aligns with theoretical calculations, and the compensated strategy significantly reduces the ramp position error. And the torque fluctuations caused by position error during dynamic processes are significantly reduced, and the estimated torque demonstrates the compensation’s impact on motor control. The compensated PLL effectively mitigates the position error under different conditions.

5. Conclusions

In this paper, an adaptive bandpass full-order observer was proposed for IPMSM sensorless control, which realizes EEMF estimation at the operating frequency with 0 dB gain and zero phase delay. And theoretical analysis revealed the conventional PLL tracking error of ramp input speed. The proposed KF-based PLL compensation strategy significantly enhanced the estimation accuracy during acceleration and deceleration processes. Experimental results demonstrated that the compensated position reduces torque fluctuations in dynamic processes. The outcomes under various load and speed conditions align closely with theoretical predictions. The compensated PLL structure can be extended to other stationary frame observers.
The proposed method is still sensitive to model parameter mismatches, particularly the q-axis inductance. Future work will focus on incorporating online parameter identification techniques to further improve observer robustness across the entire operating range.

Author Contributions

Q.W., conceptualization, methodology, software, validation, data curation, writing—original draft. J.Z., validation, investigation, data curation. D.M., validation, data curation. Y.L., validation, investigation, editing. L.D., conceptualization, resources, review. All authors have read and agreed to the published version of the manuscript.

Funding

This research received no external funding.

Institutional Review Board Statement

Not applicable.

Informed Consent Statement

Not applicable.

Data Availability Statement

Data is contained within the article.

Conflicts of Interest

The authors declare no conflicts of interest.

References

  1. Qu, L.; Qiao, W.; Qu, L. An Enhanced Linear Active Disturbance Rejection Rotor Position Sensorless Control for Permanent Magnet Synchronous Motors. IEEE Trans. Power Electron. 2020, 35, 6175–6184. [Google Scholar] [CrossRef]
  2. Zhang, H.; Liu, W.; Chen, Z.; Luo, G.; Liu, J.; Zhao, D. Asymmetric Space Vector Modulation for PMSM Sensorless Drives Based on Square-Wave Voltage-Injection Method. IEEE Trans. Ind. Appl. 2018, 54, 1425–1436. [Google Scholar] [CrossRef]
  3. Hu, M.; Yu, W.; Lei, J.; Wu, Z.; Hua, W.; Hu, Y. Sensorless Control of a High-Speed PMSM with Rapid Acceleration for Air Compressors Using a High-order Extended State Observer. In Proceedings of the 2021 IEEE Energy Conversion Congress and Exposition (ECCE), Vancouver, BC, Canada, 10–14 October 2021; pp. 4781–4787. [Google Scholar] [CrossRef]
  4. Jarzebowicz, L.; Karwowski, K.; Kulesza, W.J. Sensorless Algorithm for Sustaining Controllability of IPMSM Drive in Electric Vehicle after Resolver Fault. Control Eng. Pract. 2017, 58, 117–126. [Google Scholar] [CrossRef]
  5. Bu, H.; Cho, Y. A Practical Position Sensorless Control of Long-Cable-Fed PMSM Drives with a Sine-wave Filter for Electrical Submersible Pumps. In Proceedings of the 2023 IEEE International Symposium on Sensorless Control for Electrical Drives (SLED), Seoul, Republic of Korea, 16–18 August 2023; pp. 1–7. [Google Scholar] [CrossRef]
  6. Ding, L.; Li, Y.; Zargari, N.R. Discrete-Time SMO Sensorless Control of Current Source Converter-Fed PMSM Drives with Low Switching Frequency. IEEE Trans. Ind. Electron. 2021, 68, 2120–2129. [Google Scholar] [CrossRef]
  7. Foo, G.; Rahman, M.F. Sensorless Sliding-Mode MTPA Control of an IPM Synchronous Motor Drive Using a Sliding-Mode Observer and HF Signal Injection. IEEE Trans. Ind. Electron. 2010, 57, 1270–1278. [Google Scholar] [CrossRef]
  8. Wang, B.; Shao, Y.; Yu, Y.; Dong, Q.; Yun, Z.; Xu, D. High-Order Terminal Sliding-Mode Observer for Chattering Suppression and Finite-Time Convergence in Sensorless SPMSM Drives. IEEE Trans. Power Electron. 2021, 36, 11910–11920. [Google Scholar] [CrossRef]
  9. Skoulaxinos, S.; Wheeler, P.; Vakil, G. Hybrid Sensorless Motor Control in Aerospace Applications, a Survey in Sensorless Control, Optimizing for Availability and Acoustic Noise. In Proceedings of the 2021 IEEE Workshop on Electrical Machines Design, Control and Diagnosis (WEMDCD), Modena, Italy, 8–9 April 2021; pp. 175–180. [Google Scholar] [CrossRef]
  10. Liu, G.; Zhang, H.; Song, X. Position-Estimation Deviation-Suppression Technology of PMSM Combining Phase Self-Compensation SMO and Feed-Forward PLL. IEEE J. Emerg. Sel. Top. Power Electron. 2021, 9, 335–344. [Google Scholar] [CrossRef]
  11. Zhang, L.; Xie, X.; Wu, D.; Wang, Z.; Wang, J.; Jing, J.; Deng, H.; Li, J.; Huang, J.; Huang, J. Cascade Nonlinear Observer-based speed-sensorless Adaptive Twisting Sliding Mode Control of Linear Induction Motor. Actuators 2025, 14, 318. [Google Scholar] [CrossRef]
  12. Hu, H.; Yu, S.; Ren, L.; Zhai, M.; Chen, Y. Improved Interconnected MRAS Parameter Identification for Speed Sensorless Control of Linear Induction Motor. Actuators 2025, 14, 2. [Google Scholar] [CrossRef]
  13. Kim, H.; Son, J.; Lee, J. A High-Speed Sliding-Mode Observer for the Sensorless Speed Control of a PMSM. IEEE Trans. Ind. Electron. 2011, 58, 4069–4077. [Google Scholar] [CrossRef]
  14. Yang, Q.; Mao, K.; Zheng, S.; Le, Y. Rotor Position Estimation Based on Fast Terminal Sliding Mode for Magnetic Suspension Centrifugal Compressor Drives. IEEE Trans. Instrum. Meas. 2024, 73, 1–11. [Google Scholar] [CrossRef]
  15. Zhu, X.; Huang, J.; Wang, P.; Li, Y.; Qi, G.; Wu, Y. An Improved Sliding Model Observer Sensorless Control for PMSM Based on Fuzzy Logic Controller and DSOGI-FLL. IEEE Trans. Transp. Electrification. 2025, 11, 823–834. [Google Scholar] [CrossRef]
  16. Filho, C.J.V.; Xiao, D.; Vieira, R.P.; Emadi, A. Observers for High-Speed Sensorless PMSM Drives: Design Methods, Tuning Challenges and Future Trends. IEEE Access. 2021, 9, 56397–56415. [Google Scholar] [CrossRef]
  17. Filho, C.J.V.; Vieira, R.P. Adaptive Full-Order Observer Analysis and Design for Sensorless Interior Permanent Magnet Synchronous Motors Drives. IEEE Trans. Ind. Electron. 2021, 68, 6527–6536. [Google Scholar] [CrossRef]
  18. Tian, Y.; Du, K.; Qu, J.; Li, F.; Chai, Y. A Learning Observer-based Control Strategy for PMSM with Position Sensor Fault in Railway. Control Eng. Pract. 2024, 142, 105705. [Google Scholar] [CrossRef]
  19. Zhang, W.; Guo, F. Research on Sensorless Technology of a Magnetic Suspension Flywheel Battery Based on a Genetic BP Neural Network. Actuators 2025, 14, 174. [Google Scholar] [CrossRef]
  20. Putra, D.S.; Chen, S.-C.; Khong, H.-H.; Cheng, F. Design and Implementation of a Machine-learning Observer for Sensorless PMSM Drive Control. Appl. Sci. 2022, 12, 2963. [Google Scholar] [CrossRef]
  21. Farah, N.; Lei, G.; Zhu, J.; Guo, Y. Robust Model-free Reinforcement Learning Based Current Control of PMSM Drives. IEEE Trans. Transp. Electrification. 2025, 11, 1061–1076. [Google Scholar] [CrossRef]
  22. Choi, J.; Lim, G.C.; Hwang, C.; Park, B.R.; Ha, J.-I. Feedback Gain Design of Induction Machine Full-order Flux Observer. IEEE Trans. Ind. Electron. 2023, 70, 9870–9881. [Google Scholar] [CrossRef]
  23. Liu, B.; Wu, T.; Wu, X.; Yang, M.; Luo, L.; Lu, K. Adaptive Full-Order Observer for Sensorless Variable Flux Reluctance Motor Drives Considering Field-Current Adjustability and Stator Resistance Mismatch. IEEE Trans. Transp. Electrification. 2025, 11, 6326–6334. [Google Scholar] [CrossRef]
  24. Shao, Y.; Yu, Y.; Chai, F.; Chen, T. A Two-degree-of-freedom Structure-based Backstepping Observer for DC Error Suppression in Sensorless PMSM Drives. IEEE Trans. Ind. Electron. 2022, 69, 10846–10858. [Google Scholar] [CrossRef]
  25. Zhang, W.; Zhang, Z.; Lu, J.; Li, Y.; Chen, T. Discrete-Time Position Sensorless Current Control for Permanent Magnet Synchronous Motors with an Accuracy-Improved Phase-Locked Loop. IEEE Trans. Ind. Electron. 2023, 71, 6677–6688. [Google Scholar] [CrossRef]
  26. Novak, Z.; Novak, M. Adaptive PLL-Based Sensorless Control for Improved Dynamics of High-Speed PMSM. IEEE Trans. Power Electron. 2022, 37, 10154–10165. [Google Scholar] [CrossRef]
  27. Jiang, F.; Sun, S.; Liu, A.; Xu, Y.; Li, Z.; Liu, X. Robustness Improvement of Model-based Sensorless SPMSM Drivers Based on an Adaptive Extended State Observer and an Enhanced Quadrature PLL. IEEE Trans. Power Electron. 2020, 36, 4802–4814. [Google Scholar] [CrossRef]
  28. Wu, T.; Wu, X.; Huang, S.; Lu, K.; Cui, H. An Optimized PLL with Time Delay and Harmonic Suppression for Improved Position Estimation Accuracy of PMSM Based on Levenberg–Marquardt. IEEE Trans. Ind. Electron. 2023, 70, 9847–9858. [Google Scholar] [CrossRef]
  29. Cai, J.; Gu, Y.; David Cheok, A.; Yan, Y. A Survey of Phase-Locked Loop Technologies in Sensorless Position Estimation of Permanent Magnet Synchronous Motor Drives. IEEE Trans. Instrum. Meas. 2024, 73, 1–16. [Google Scholar] [CrossRef]
  30. Assa, A.; Janabi-Sharifi, F. A Kalman Filter-based Framework for Enhanced Sensor Fusion. IEEE Sens. J. 2015, 15, 3281–3292. [Google Scholar] [CrossRef]
Figure 1. Bode diagram of the proposed observer in different speeds.
Figure 1. Bode diagram of the proposed observer in different speeds.
Actuators 14 00387 g001
Figure 2. Bode diagram of the proposed observer with different parameters.
Figure 2. Bode diagram of the proposed observer with different parameters.
Actuators 14 00387 g002
Figure 3. Position error under mismatch of (a) Rs with a variation of iq, (b) Rs with a variation of id, (c) Lq with a variation of iq and (d) Lq with a variation of id.
Figure 3. Position error under mismatch of (a) Rs with a variation of iq, (b) Rs with a variation of id, (c) Lq with a variation of iq and (d) Lq with a variation of id.
Actuators 14 00387 g003
Figure 4. Block diagram of sensorless control.
Figure 4. Block diagram of sensorless control.
Actuators 14 00387 g004
Figure 5. Conventional normalized PLL in the stationary frame.
Figure 5. Conventional normalized PLL in the stationary frame.
Actuators 14 00387 g005
Figure 6. Equivalent small signal diagram of the conventional normalized PLL.
Figure 6. Equivalent small signal diagram of the conventional normalized PLL.
Actuators 14 00387 g006
Figure 7. Space vector diagram of the estimation current.
Figure 7. Space vector diagram of the estimation current.
Actuators 14 00387 g007
Figure 8. Trajectory deviations caused by different position errors.
Figure 8. Trajectory deviations caused by different position errors.
Actuators 14 00387 g008
Figure 9. Diagram of the (a) feedforward PLL in [10] and (b) QPLL in [27].
Figure 9. Diagram of the (a) feedforward PLL in [10] and (b) QPLL in [27].
Actuators 14 00387 g009
Figure 10. Diagram of the compensated PLL.
Figure 10. Diagram of the compensated PLL.
Actuators 14 00387 g010
Figure 11. Analysis of the KF in different parameters. (a) The filtered speed of step input speed. (b) RMSE of the filtered speed. (c) Delay time of the filtered speed.
Figure 11. Analysis of the KF in different parameters. (a) The filtered speed of step input speed. (b) RMSE of the filtered speed. (c) Delay time of the filtered speed.
Actuators 14 00387 g011
Figure 12. Experimental platform.
Figure 12. Experimental platform.
Actuators 14 00387 g012
Figure 13. Block diagram of sensorless control implementation.
Figure 13. Block diagram of sensorless control implementation.
Actuators 14 00387 g013
Figure 14. Experimental result of KF under different parameters.
Figure 14. Experimental result of KF under different parameters.
Actuators 14 00387 g014
Figure 15. Experimental results demonstrating the steady-state performance at 300 r/min (a) under a load of 100 N·m and (b) under rated load.
Figure 15. Experimental results demonstrating the steady-state performance at 300 r/min (a) under a load of 100 N·m and (b) under rated load.
Actuators 14 00387 g015
Figure 16. Experimental results demonstrating the steady-state performance at 2000 r/min (a) under a load of 100 N·m and (b) under rated load.
Figure 16. Experimental results demonstrating the steady-state performance at 2000 r/min (a) under a load of 100 N·m and (b) under rated load.
Actuators 14 00387 g016
Figure 17. Experimental results of the proposed observer at 500 r/min with (a) 25% Rs mismatch, (b) 25% Ld mismatch, and (c) 25% Lq mismatch.
Figure 17. Experimental results of the proposed observer at 500 r/min with (a) 25% Rs mismatch, (b) 25% Ld mismatch, and (c) 25% Lq mismatch.
Actuators 14 00387 g017
Figure 18. Experimental results of the conventional PLL with speed variation and load variation.
Figure 18. Experimental results of the conventional PLL with speed variation and load variation.
Actuators 14 00387 g018
Figure 19. Experimental results of the acceleration and deceleration processes between 500 r/min and 1000 r/min with a torque of 100 N·m under the (a) conventional PLL and (b) compensated PLL.
Figure 19. Experimental results of the acceleration and deceleration processes between 500 r/min and 1000 r/min with a torque of 100 N·m under the (a) conventional PLL and (b) compensated PLL.
Actuators 14 00387 g019
Figure 20. Experimental results of the acceleration and deceleration processes between 500 r/min and 1000 r/min with a rated torque under the (a) conventional PLL and (b) compensated PLL.
Figure 20. Experimental results of the acceleration and deceleration processes between 500 r/min and 1000 r/min with a rated torque under the (a) conventional PLL and (b) compensated PLL.
Actuators 14 00387 g020
Figure 21. Experimental results of the acceleration and deceleration processes between 300 r/min and 2000 r/min with a torque of 100 N·m. under the (a) conventional PLL and (b) compensated PLL.
Figure 21. Experimental results of the acceleration and deceleration processes between 300 r/min and 2000 r/min with a torque of 100 N·m. under the (a) conventional PLL and (b) compensated PLL.
Actuators 14 00387 g021
Figure 22. Experimental results of the acceleration and deceleration processes between 300 r/min and 2000 r/min with a rated torque under the (a) conventional PLL and (b) compensated PLL.
Figure 22. Experimental results of the acceleration and deceleration processes between 300 r/min and 2000 r/min with a rated torque under the (a) conventional PLL and (b) compensated PLL.
Actuators 14 00387 g022
Table 1. Parameters of IPMSM.
Table 1. Parameters of IPMSM.
ParameterValueParameterValue
Rated Power300 kWResistance0.004375 Ω
Rated Speed2000 r/mind-axis inductance0.4570 mH
Rated Voltage800 Vq-axis inductance0.5256 mH
Pole Pairs6Flux linkage0.18247 Wb
Table 2. Compensation error in different conditions.
Table 2. Compensation error in different conditions.
Working ConditionCompensation Position ErrorCompensated Torque
Condition (1)2.78%7%
Condition (2)8.33%3.4%
Condition (3)4.2%8%
Condition (4)3.89%7%
Disclaimer/Publisher’s Note: The statements, opinions and data contained in all publications are solely those of the individual author(s) and contributor(s) and not of MDPI and/or the editor(s). MDPI and/or the editor(s) disclaim responsibility for any injury to people or property resulting from any ideas, methods, instructions or products referred to in the content.

Share and Cite

MDPI and ACS Style

Wu, Q.; Zhang, J.; Meng, D.; Liu, Y.; Diao, L. An Adaptive Bandpass Full-Order Observer with a Compensated PLL for Sensorless IPMSMs. Actuators 2025, 14, 387. https://doi.org/10.3390/act14080387

AMA Style

Wu Q, Zhang J, Meng D, Liu Y, Diao L. An Adaptive Bandpass Full-Order Observer with a Compensated PLL for Sensorless IPMSMs. Actuators. 2025; 14(8):387. https://doi.org/10.3390/act14080387

Chicago/Turabian Style

Wu, Qiya, Jia Zhang, Dongyi Meng, Ye Liu, and Lijun Diao. 2025. "An Adaptive Bandpass Full-Order Observer with a Compensated PLL for Sensorless IPMSMs" Actuators 14, no. 8: 387. https://doi.org/10.3390/act14080387

APA Style

Wu, Q., Zhang, J., Meng, D., Liu, Y., & Diao, L. (2025). An Adaptive Bandpass Full-Order Observer with a Compensated PLL for Sensorless IPMSMs. Actuators, 14(8), 387. https://doi.org/10.3390/act14080387

Note that from the first issue of 2016, this journal uses article numbers instead of page numbers. See further details here.

Article Metrics

Back to TopTop