Variable Structure Depth Controller for Energy Savings in an Underwater Device: Proof of Stability
Abstract
1. Introduction
- (i)
- A new formal proof of stability of the controller developed in [12] is developed;
- (ii)
- The new formal proof of stability is different from the existing ones in the literature for switched systems, which are typically based on multiple Lyapunov functions [16];
- (iii)
- A study on how stability regions are influenced by different controller parameter choices and mission requirements is presented, using a depth-controlled sensor platform previously developed by the authors.
2. Underwater Device Description and Model
3. Controller Description
4. Proof of Stability of the Closed-Loop System
4.1. Outline of the Proof of Stability

4.2. Part 1 of the Controller Proof of Stability
4.3. Part 2 of the Controller Proof of Stability
4.4. Part 3 of the Controller Proof of Stability
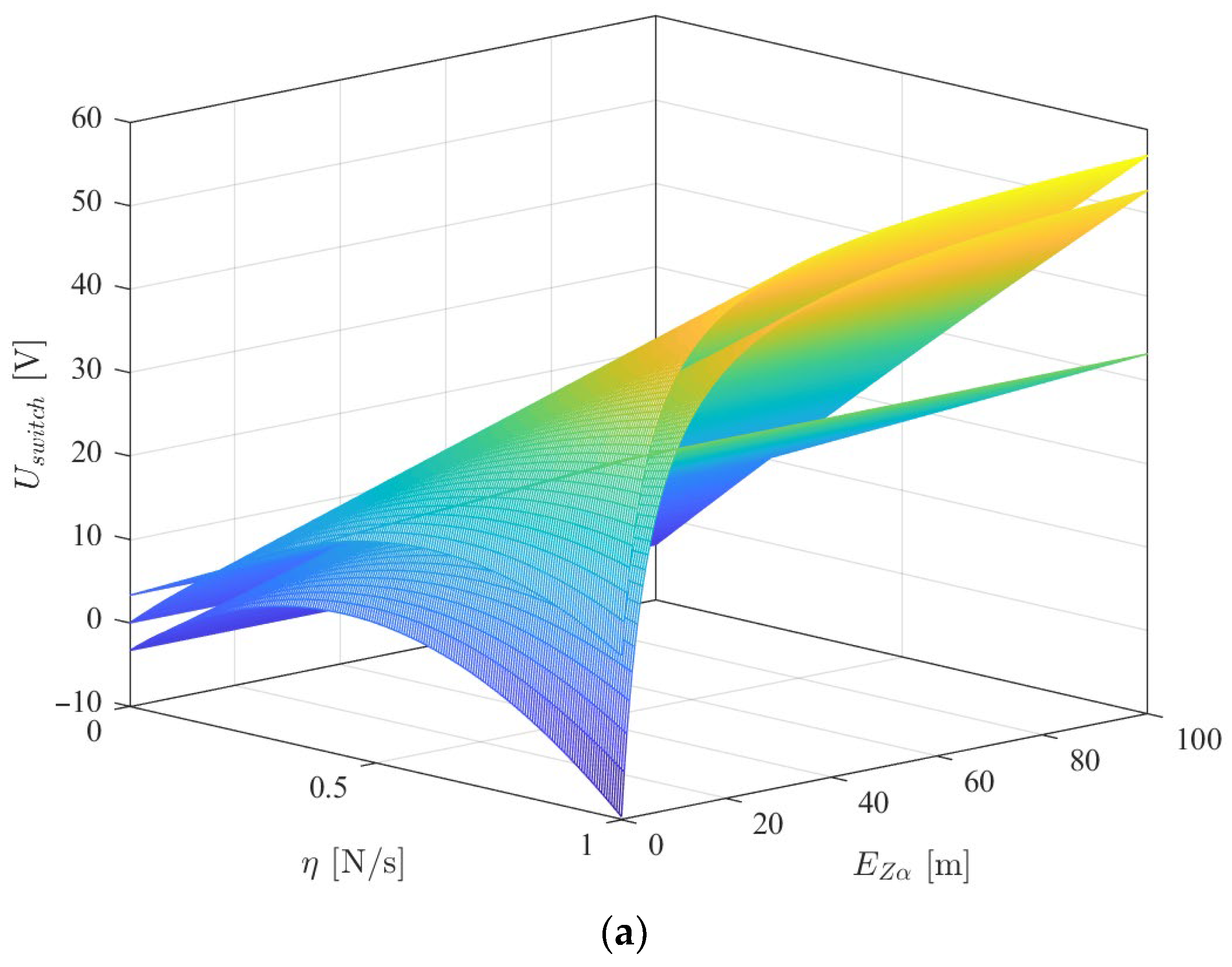
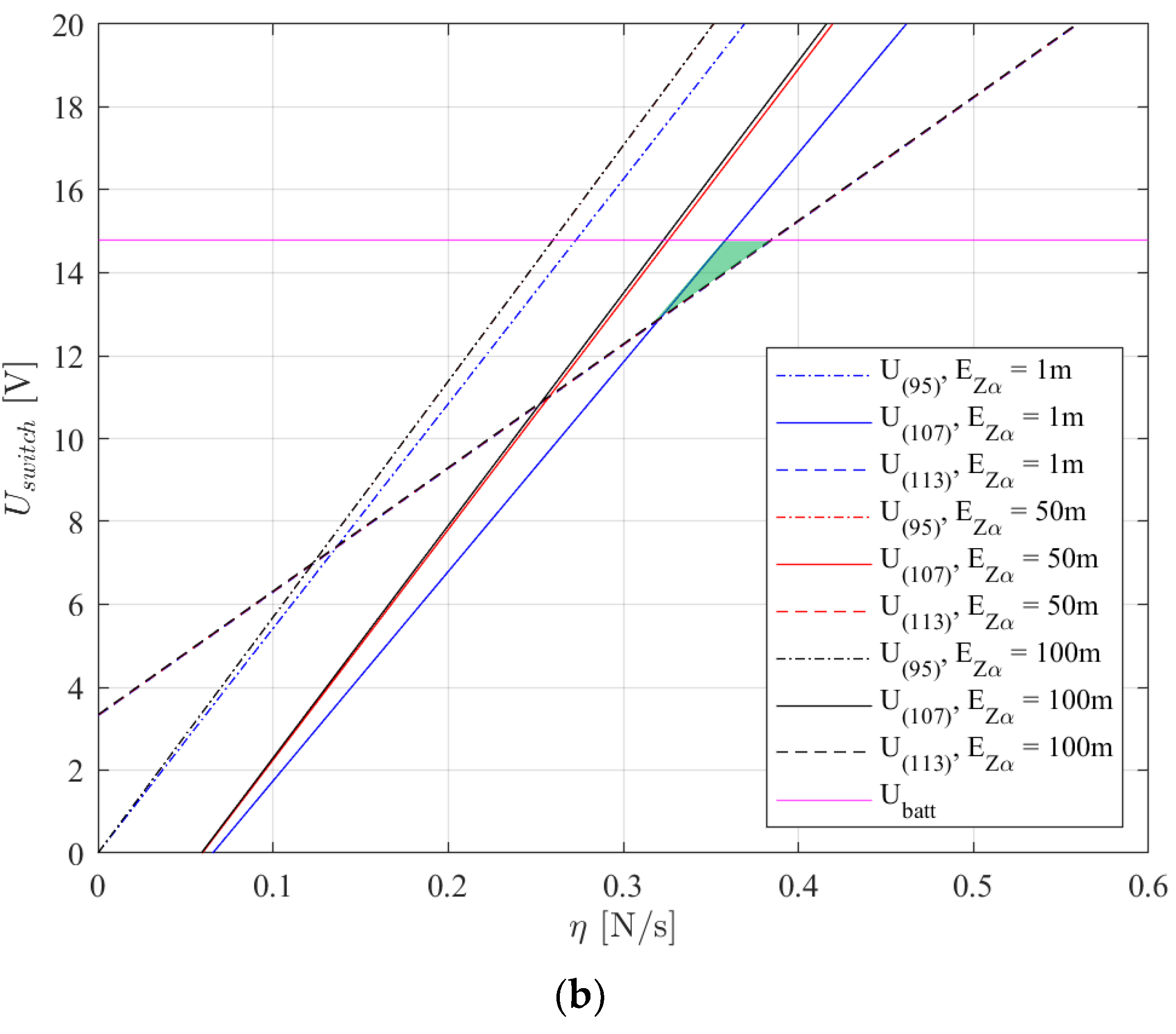
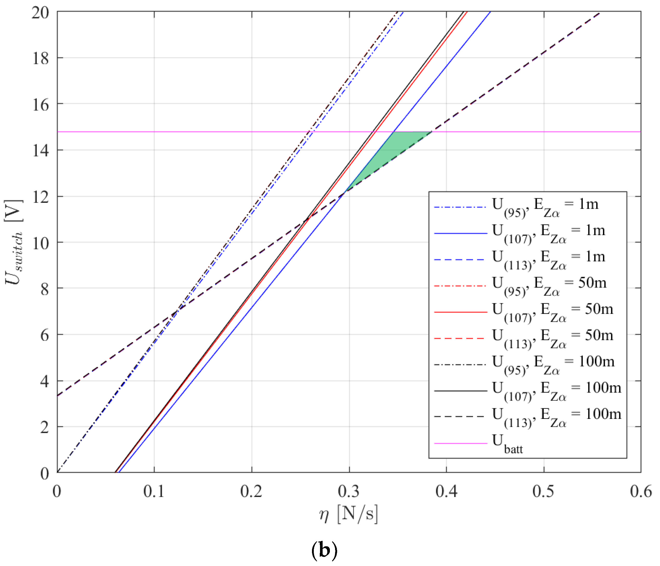
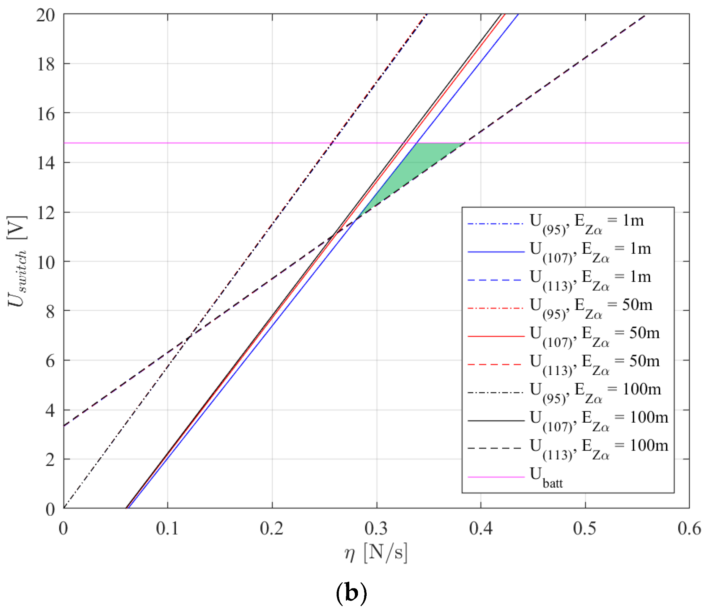
4.5. Quantifying the Controller Action Limits
4.5.1. Quantifying the Upper Limits of
- 1.
- From to , for the purposes of estimating . Since is the maximum value takes between and , this will contribute to an overestimation of , leading to a conservative estimation of .
- 2.
- The integral factor . Since is always positive, assuming that its integral is zero contributes to a conservative estimation.
- 3.
- From to , . The difference corresponds to the required time for to increase from to . Since from to , , it will be considered, in a conservative scenario, that .
- 4.
- From to , for the purposes of estimating . Since is the maximum value takes between and , this will contribute to an overestimation of , leading to a conservative estimation of .
- 5.
- To calculate the integral factor, will be assumed to take its maximum value, , in a given mission, thus considering a conservative estimation.
- 6.
- From to , . The difference corresponds to the required time for to decrease from to . Since from to , , it will be considered, in a conservative scenario, that .
4.5.2. Quantifying the Lower Limit of
5. Closed-Loop System Stability: Case Study
6. Conclusions
Author Contributions
Funding
Data Availability Statement
Conflicts of Interest
References
- Camus, L.; Andrade, H.; Aniceto, A.S.; Aune, M.; Bandara, K.; Basedow, S.L.; Christensen, K.H.; Cook, J.; Daase, M.; Dunlop, K.; et al. Autonomous Surface and Underwater Vehicles as Effective Ecosystem Monitoring and Research Platforms in the Arctic—The Glider Project. Sensors 2021, 21, 6752. [Google Scholar] [CrossRef] [PubMed]
- Riser, S.C.; Freeland, H.J.; Roemmich, D.; Wijffels, S.; Troisi, A.; Belbéoch, M.; Gilbert, D.; Xu, J.; Pouliquen, S.; Thresher, A.; et al. Fifteen years of ocean observations with the global Argo array. Nat. Clim. Change 2016, 6, 145–153. [Google Scholar] [CrossRef]
- Fossum, T.O.; Fragoso, G.M.; Davies, E.J.; Ullgren, J.; Mendes, R.; Johnsen, G.; Ellingsen, I.H.; Eidsvik, J.; Ludvigsen, M.; Rajan, K. Toward adaptive robotic sampling of phytoplankton in the coastal ocean. Sci. Robot. 2019, 4, eaav3041. [Google Scholar] [CrossRef] [PubMed]
- Denos, K.; Ravaut, M.; Fagette, A.; Lim, H.S. Deep learning applied to underwater mine warfare. In Proceedings of the OCEANS 2017—Aberdeen, Aberdeen, UK, 19–22 June 2017; pp. 1–7. [Google Scholar]
- Zhang, H.; Zhang, S.; Wang, Y.; Liu, Y.; Yang, Y.; Zhou, T.; Bian, H. Subsea pipeline leak inspection by autonomous underwater vehicle. Appl. Ocean. Res. 2021, 107, 102321. [Google Scholar] [CrossRef]
- Roman, C.; Mather, R. Autonomous Underwater Vehicles as Tools for Deep-Submergence Archaeology. Proc. Inst. Mech. Eng. Part M J. Eng. Marit. Environ. 2010, 224, 327–340. [Google Scholar] [CrossRef]
- Sarkar, M.; Nandy, S.; Shome, S.N. Energy Efficient Trajectory Tracking Controller for Underwater Applications: ARobust Approach. Aquat. Procedia 2015, 4, 571–578. [Google Scholar] [CrossRef]
- Yang, N.; Amini, M.R.; Johnson-Roberson, M.; Sun, J. Real-Time Model Predictive Control for Energy Management in Autonomous Underwater Vehicle. In Proceedings of the 2018 IEEE Conference on Decision and Control (CDC), Miami Beach, FL, USA, 17–19 December 2018; pp. 4321–4326. [Google Scholar]
- Yang, N.; Chang, D.; Amini, M.R.; Johnson-Robersor, M.; Sun, J. Energy Management for Autonomous Underwater Vehicles using Economic Model Predictive Control. In Proceedings of the 2019 American Control Conference (ACC), Philadelphia, PA, USA, 10–12 July 2019; pp. 2639–2644. [Google Scholar]
- Yang, N.; Chang, D.; Johnson-Roberson, M.; Sun, J. Energy-Optimal Control for Autonomous Underwater Vehicles Using Economic Model Predictive Control. IEEE Trans. Control Syst. Technol. 2022, 30, 2377–2390. [Google Scholar] [CrossRef]
- Kormushev, P.; Caldwell, D.G. Improving the energy efficiency of autonomous underwater vehicles by learning to model disturbances. In Proceedings of the 2013 IEEE/RSJ International Conference on Intelligent Robots and Systems, Tokyo, Japan, 3–7 November 2013; pp. 3885–3892. [Google Scholar]
- Falcão Carneiro, J.; Bravo Pinto, J.; Gomes de Almeida, F.; Cruz, N.A. Variable Structure Controller for Energy Savings in an Underwater Sensor Platform. Sensors 2024, 24, 5771. [Google Scholar] [CrossRef] [PubMed]
- Gong, P.; Yan, Z.; Zhang, W.; Tang, J. Lyapunov-based model predictive control trajectory tracking for an autonomous underwater vehicle with external disturbances. Ocean. Eng. 2021, 232, 109010. [Google Scholar] [CrossRef]
- Yan, Z.; Zhang, M.; Zhou, J.; Yue, L. Distributed Lyapunov-Based Model Predictive Control for AUV Formation Systems with Multiple Constraints. J. Mar. Sci. Eng. 2024, 12, 363. [Google Scholar] [CrossRef]
- Liu, H.; Meng, B.; Tian, X. Finite-Time Prescribed Performance Trajectory Tracking Control for Underactuated Autonomous Underwater Vehicles Based on a Tan-Type Barrier Lyapunov Function. IEEE Access 2022, 10, 53664–53675. [Google Scholar] [CrossRef]
- Lu, J.; Brown, L.J. A multiple Lyapunov functions approach for stability of switched systems. In Proceedings of the 2010 American Control Conference, Baltimore, MD, USA, 30 June–2 July 2010; pp. 3253–3256. [Google Scholar]
- Branicky, M.S. Multiple Lyapunov functions and other analysis tools for switched and hybrid systems. IEEE Trans. Autom. Control 1998, 43, 475–482. [Google Scholar] [CrossRef]
- Zeng, H.-B.; Chen, Y.-J.; He, Y.; Zhang, X.-M. A delay-derivative-dependent switched system model method for stability analysis of linear systems with time-varying delay. Automatica 2025, 175, 112183. [Google Scholar] [CrossRef]
- Chen, Y.; Lu, C.; Zhang, X.-M. Allowable delay set flexible fragmentation approach to passivity analysis of delayed neural networks. Neurocomputing 2025, 629, 129730. [Google Scholar] [CrossRef]
- Carneiro, J.F.; Pinto, J.B.; Almeida, F.G.; Cruz, N.A. Electrohydraulic and Electromechanical Buoyancy Change Device Unified Vertical Motion Model. Actuators 2023, 12, 380. [Google Scholar] [CrossRef]
- Carneiro, J.F.; Pinto, J.B.; Almeida, F.G.d.; Cruz, N.A. Model Identification and Control of a Buoyancy Change Device. Actuators 2023, 12, 180. [Google Scholar] [CrossRef]
- Falcão Carneiro, J.; Bravo Pinto, J.; Gomes Almeida, F.; Cruz, N. Depth control of an underwater sensor platform: Comparison between variable buoyancy and propeller actuated devices. Sensors 2024, 24, 3050. [Google Scholar] [CrossRef] [PubMed]












| Regions | Decision | i | |||
|---|---|---|---|---|---|
| OFF | 1 | ||||
| ON | 2 | ||||
| OFF | 1 | ||||
| OFF | 1 | ||||
| ON | 2 |
| Parameter | Value | Unit |
|---|---|---|
| 7.7 × 10−3 | [m2] | |
| 9.81 | [ms−2] | |
| 4.44 × 10−4 | [ms−1V−1] | |
| 7.9355 × 103 | [ms−1m−3] | |
| 3.31 × 10−2 | [Vm−1] | |
| 36.3 | [s] | |
| 0.5 | [m] | |
| 1 × 103 | [kgm−3] | |
| 3.4 × 10−7 | [m3m−1] | |
| 100 | [m] |
Disclaimer/Publisher’s Note: The statements, opinions and data contained in all publications are solely those of the individual author(s) and contributor(s) and not of MDPI and/or the editor(s). MDPI and/or the editor(s) disclaim responsibility for any injury to people or property resulting from any ideas, methods, instructions or products referred to in the content. |
© 2025 by the authors. Licensee MDPI, Basel, Switzerland. This article is an open access article distributed under the terms and conditions of the Creative Commons Attribution (CC BY) license (https://creativecommons.org/licenses/by/4.0/).
Share and Cite
Bravo Pinto, J.; Falcão Carneiro, J.; Gomes de Almeida, F.; Cruz, N.A. Variable Structure Depth Controller for Energy Savings in an Underwater Device: Proof of Stability. Actuators 2025, 14, 340. https://doi.org/10.3390/act14070340
Bravo Pinto J, Falcão Carneiro J, Gomes de Almeida F, Cruz NA. Variable Structure Depth Controller for Energy Savings in an Underwater Device: Proof of Stability. Actuators. 2025; 14(7):340. https://doi.org/10.3390/act14070340
Chicago/Turabian StyleBravo Pinto, João, João Falcão Carneiro, Fernando Gomes de Almeida, and Nuno A. Cruz. 2025. "Variable Structure Depth Controller for Energy Savings in an Underwater Device: Proof of Stability" Actuators 14, no. 7: 340. https://doi.org/10.3390/act14070340
APA StyleBravo Pinto, J., Falcão Carneiro, J., Gomes de Almeida, F., & Cruz, N. A. (2025). Variable Structure Depth Controller for Energy Savings in an Underwater Device: Proof of Stability. Actuators, 14(7), 340. https://doi.org/10.3390/act14070340

