Research on Predefined Time Sliding Mode Control Method for High-Speed Maglev Train Based on Finite Time Disturbance Observer
Abstract
1. Introduction
- (1)
- The theory of predefined time is introduced into the design of improved sliding mode controllers for high-speed maglev trains. A new predefined-time sliding mode control structure is designed, which is applied to the inner-loop stator current and the outer-loop speed error control, to achieve the adjustability of the upper bound of the convergence time and, at the same time, make the upper bound free from the influence of any other parameter and the initial conditions, so as to improve the system’s immunity to disturbances.
- (2)
- The inner and outer loop uncertainty terms such as complex unknown disturbances and additional resistance of the system are estimated as aggregate disturbances, which are estimated and compensated by using a finite-time disturbance observer, which improves the observation accuracy and outer-loop robustness while satisfying the stability to eliminate the impact of this part of the disturbance on the operation of the high-speed maglev train.
- (3)
- The designed control strategy simultaneously considers the effects of the LSLSM parameter perturbation, uncertain resistance and unknown perturbations. In addition, compared to other uncertain uptake estimation methods that only assume that the parameters are unknown [20,21], this paper makes the more general assumption that all unknown parameters are time-varying. This extends the range of practical applications while achieving global finite-time stability.
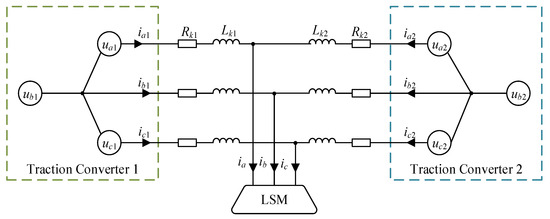
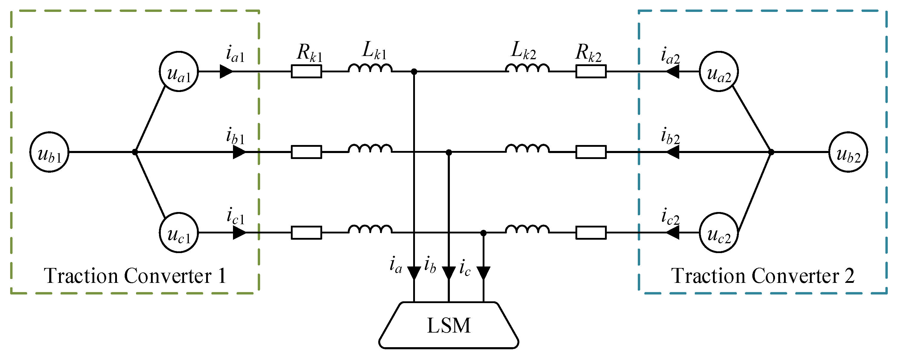
2. Dynamic Model Analysis
2.1. LSM Voltage Equation
2.2. Mechanical Model
3. Controller Design
3.1. Relevant Mathematical Lemmas
3.2. Controller Design and Stability Analysis
3.2.1. Predefined-Time Sliding Mode Controller
3.2.2. Stability Analysis
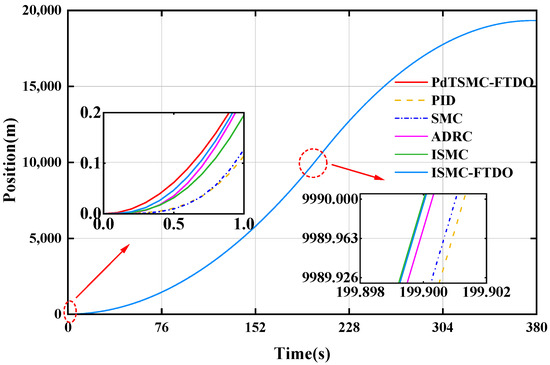
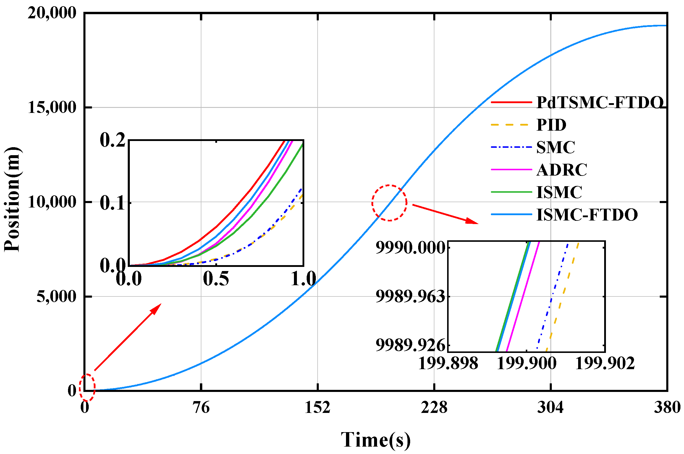
4. Model Validation
5. Conclusions
Author Contributions
Funding
Data Availability Statement
Conflicts of Interest
References
- Chen, B.; Zhang, L.; Cheng, G.; Liu, Y.; Chen, J. A novel approach for train tracking in virtual coupling based on soft actor-critic. Actuators 2023, 12, 447. [Google Scholar] [CrossRef]
- Zhou, F.; Tao, K.; Chen, B.; Li, S.; Zhu, Z.; Yang, Y. Distributed cooperative cruise control for high-speed trains with energy-saving optimization. Actuators 2023, 12, 207. [Google Scholar] [CrossRef]
- Zhu, J.; Cao, X.; Ge, Q.; Zeng, D. Adaptive-SMO-Based Traction Force Fluctuation Suppression Strategy Considering Suspension System for High-speed Maglev Train. IEEE Trans. Ind. Electron. 2023, 71, 2289–2299. [Google Scholar] [CrossRef]
- Zhu, J.; Ge, Q.; Sun, P. Extended state observer-based sensorless control for high-speed maglev application in single-feeding mode and double-feeding mode. IEEE Trans. Transp. Electrif. 2021, 8, 1350–1361. [Google Scholar] [CrossRef]
- Cao, X.; Ge, Q.; Zhu, J.; Kong, G.; Zhang, B.; Wang, X. Improved sliding mode traction control combined sliding mode disturbance observer strategy for high-speed maglev train. IEEE Trans. Power Electron. 2022, 38, 827–838. [Google Scholar] [CrossRef]
- Cao, X.; Ge, Q.; Zhu, J.; Zhao, L.; Zeng, D. Periodic traction force fluctuations suppression strategy of maglev train based on flux linkage observation and harmonic current injection. IEEE Trans. Transp. Electrif. 2022, 9, 3434–3451. [Google Scholar] [CrossRef]
- Zhong, W.; Li, S.; Xu, H.; Zhang, W. On-line train speed profile generation of high-speed railway with energy-saving: A model predictive control method. IEEE Trans. Intell. Transp. Syst. 2020, 23, 4063–4074. [Google Scholar] [CrossRef]
- Zhang, W.; Li, M.; Gao, Y.; Chen, Y. Periodic adaptive learning control of PMSM servo system with LuGre model-based friction compensation. Mech. Mach. Theory 2022, 167, 104561. [Google Scholar] [CrossRef]
- Li, T.; Sun, X.; Yao, M.; Guo, D.; Sun, Y. Improved finite control set model predictive current control for permanent magnet synchronous motor with sliding mode observer. IEEE Trans. Transp. Electrif. 2023, 10, 699–710. [Google Scholar] [CrossRef]
- Sun, X.; Lin, X.; Guo, D.; Lei, G.; Yao, M. Improved deadbeat predictive current control with extended state observer for dual three-phase PMSMs. IEEE Trans. Power Electron. 2024, 39, 6769–6782. [Google Scholar] [CrossRef]
- Cao, H.; Deng, Y.; Zuo, Y.; Li, H.; Wang, J.; Liu, X.; Lee, C.H.T. Improved ADRC with a cascade extended state observer based on quasi-generalized integrator for PMSM current disturbances attenuation. IEEE Trans. Transp. Electrif. 2023, 10, 2145–2157. [Google Scholar] [CrossRef]
- Li, T.; Sun, X.; Lei, G.; Guo, Y.; Yang, Z.; Zhu, J. Finite-Control-Set Model Predictive Control of Permanent Magnet Synchronous Motor Drive Systems-An Overview. IEEE/CAA J. Autom. Sin. 2022, 9, 2087–2105. [Google Scholar] [CrossRef]
- Xu, L.; Liu, H.; Zhu, X.; Fan, W.; Zhang, C.; Zhang, L.; Quan, L. Multiple-mode current control for a hybrid-excitation axial flux switching permanent magnet motor considering driving cycles. IEEE Trans. Ind. Electron. 2023, 71, 204–214. [Google Scholar] [CrossRef]
- Ahn, H.; Kim, S.; Park, J.; Chung, Y.; Hu, M.; You, K. Adaptive Quick Sliding Mode Reaching Law and Disturbance Observer for Robust PMSM Control Systems. Actuators 2024, 13, 136. [Google Scholar] [CrossRef]
- Wu, X.; Qi, P.; Yu, X.; Wu, T.; Huang, S.; Cui, H. Multiple Discrete Adaptive Filter Based Position Error Reduction for Sensorless IPMSM Drives. IEEE Trans. Ind. Electron. 2023, 71, 3342–3350. [Google Scholar] [CrossRef]
- Tahami, H.; Saberi, S.; Ali, B.M.; AbdulAmeer, S.; Hussein, A.H.A.; Chaoui, H. A Robust Hꝏ-Based State Feedback Control of Permanent Magnet Synchronous Motor Drives Using Adaptive Fuzzy Sliding Mode Observers. Actuators 2024, 138, 307. [Google Scholar] [CrossRef]
- Wei, Q.; Yang, Z.; Su, H.; Wang, L. Online adaptive dynamic programming for optimal self-learning control of VTOL aircraft systems with disturbances. IEEE Trans. Autom. Sci. Eng. 2022, 21, 343–352. [Google Scholar] [CrossRef]
- Chen, L.; Zhang, H.; Wang, H.; Shao, K.; Wang, G.; Yazdani, A. Continuous adaptive fast terminal sliding mode-based speed regulation control of pmsm drive via improved super-twisting observer. IEEE Trans. Ind. Electron. 2023, 71, 5105–5115. [Google Scholar] [CrossRef]
- Zhang, M.; Zang, H.; Bai, L. A new predefined-time sliding mode control scheme for synchronizing chaotic systems. Chaos Solitons Fractals 2022, 164, 112745. [Google Scholar] [CrossRef]
- Hua, C.C.; Wang, K.; Chen, J.N.; You, X. Tracking differentiator and extended state observer-based nonsingular fast terminal sliding mode attitude control for a quadrotor. Nonlinear Dyn. 2018, 94, 343–354. [Google Scholar] [CrossRef]
- Zhu, S.; Huang, W.; Zhao, Y.; Lin, X.; Dong, D.; Jiang, W.; Zhao, Y.; Wu, X. Robust Speed Control of Electrical Drives with Reduced Ripple Using Adaptive Switching High-order Extended State Observer. IEEE Trans. Power Electron. 2021, 37, 2009–2020. [Google Scholar] [CrossRef]
- Su, S.; Wang, D.; Cao, Y.; Zhou, Y.; Tang, T. Adaptive fault-tolerant fixed-time cruise control for virtually coupled train set. Transp. Res. Part C Emerg. Technol. 2023, 156, 104348. [Google Scholar] [CrossRef]
- Zhao, X.; Tang, T.; Wang, D.; Su, S. Distributed fixed-time formation control for heavy haul trains based on sliding mode control. Phys. A Stat. Mech. Its Appl. 2024, 633, 129428. [Google Scholar] [CrossRef]
- Meng, X.; Zhang, G.; Han, B. Fault-tolerant control of underactuated MSVs based on neural finite-time disturbance observer: An Event-triggered Mechanism. J. Frankl. Inst. 2024, 361, 106603. [Google Scholar] [CrossRef]
- Zhao, M.; Ge, Q.; Zhu, J.; Wang, K.; Zhang, B.; Zhao, L. Improved Synchronized SVPWM Strategy for High-Power Three-level Active Neutral Point Clamped Traction Inverter. IEEE Trans. Power Electron. 2024, 40, 3189–3209. [Google Scholar] [CrossRef]
- Zhang, W.; Cao, B.; Nan, N.; Li, M.; Chen, Y. An adaptive PID-type sliding mode learning compensation of torque ripple in PMSM position servo systems towards energy efficiency. ISA Trans. 2021, 110, 258–270. [Google Scholar] [CrossRef] [PubMed]
- Chen, Q.; Yuan, J.; Dong, Z.; Chai, Z.; Wan, L. Enhanced Control Strategies for Underactuated AUVs Using Backsteping Integral Sliding Mode Techniques for Ocean Current Challenges. J. Mar. Sci. Eng. 2024, 12, 2201. [Google Scholar] [CrossRef]
- Li, J.; Zhang, L.; Luo, L.; Li, S. Extended state observer based current-constrained controller for a PMSM system in presence of disturbances: Design, analysis and experiments. Control. Eng. Pract. 2023, 132, 105412. [Google Scholar] [CrossRef]












| Motor Parameters | Value |
|---|---|
| Stator resistance () | 436.176 |
| Mutual inductance () | 165 |
| Stator d-axis inductance () | 3.9153 |
| Stator q-axis inductance () | 3.4653 |
| Motor pole pitch () | 0.258 |
| Gross vehicle of train () | 306.9 |
| Feeder cable resistance () | 58.33 |
| Feeder cable inductance () | 0.0713 |
| Excitation current () | 27 |
| Number of train sections | 5 |
| Controller | Parameters | Value |
|---|---|---|
| PI-VFDC | 7 | |
| 10 | ||
| SMC | 1 | |
| 1 | ||
| 0.1 | ||
| 0.1 | ||
| 10 | ||
| PdTSMC | 0.8 | |
| 0.001 | ||
| 0.1 | ||
| 0.1 | ||
| 10 | ||
| 10 |
| Controller | Maximum Current Error | Response Time |
|---|---|---|
| PI-VFDC | 174 A | 0.8 s |
| SMC | 37 A | 0.6 s |
| PdTSMC | 20 A | 0.1 s |
| Controller | Parameters | Value |
|---|---|---|
| PID | 7 | |
| 20 | ||
| 2 | ||
| SMC | 18 | |
| 8000 | ||
| 55 | ||
| ISMC | 5 | |
| 20 | ||
| 5000 | ||
| 5500 | ||
| ISMC-FTDO | 5 | |
| 20 | ||
| 5000 | ||
| 5500 | ||
| 100 | ||
| 100 | ||
| 100 | ||
| 1 | ||
| ADRC | 0.5 | |
| 0.25 | ||
| 0.1 | ||
| 180 | ||
| 2160 | ||
| 24,000 | ||
| PdTSMC-FTDO | 0.2 | |
| 1 | ||
| 1 | ||
| 10 | ||
| 100 | ||
| 100 | ||
| 100 | ||
| 100 | ||
| 1 |
| Controller | Maximum Speed Error | Maximum Position Error | Response Time |
|---|---|---|---|
| PID | 0.25 m/s | 0.15 m | 30 s |
| SMC | 0.18 m/s | 0.13 m | 10 s |
| ISMC | 0.098 m/s | 0.023 m | 6 s |
| ISMC-FTDO | 0.047 m/s | 0.068 m | 5 s |
| ADRC | 0.084 m/s | 0.029 m | 3 s |
| PdTSMC | 0.0005 m/s | 0.0005 m | 0.5 s |
Disclaimer/Publisher’s Note: The statements, opinions and data contained in all publications are solely those of the individual author(s) and contributor(s) and not of MDPI and/or the editor(s). MDPI and/or the editor(s) disclaim responsibility for any injury to people or property resulting from any ideas, methods, instructions or products referred to in the content. |
© 2025 by the authors. Licensee MDPI, Basel, Switzerland. This article is an open access article distributed under the terms and conditions of the Creative Commons Attribution (CC BY) license (https://creativecommons.org/licenses/by/4.0/).
Share and Cite
Ji, J.; Jiang, P. Research on Predefined Time Sliding Mode Control Method for High-Speed Maglev Train Based on Finite Time Disturbance Observer. Actuators 2025, 14, 21. https://doi.org/10.3390/act14010021
Ji J, Jiang P. Research on Predefined Time Sliding Mode Control Method for High-Speed Maglev Train Based on Finite Time Disturbance Observer. Actuators. 2025; 14(1):21. https://doi.org/10.3390/act14010021
Chicago/Turabian StyleJi, Jinsong, and Ping Jiang. 2025. "Research on Predefined Time Sliding Mode Control Method for High-Speed Maglev Train Based on Finite Time Disturbance Observer" Actuators 14, no. 1: 21. https://doi.org/10.3390/act14010021
APA StyleJi, J., & Jiang, P. (2025). Research on Predefined Time Sliding Mode Control Method for High-Speed Maglev Train Based on Finite Time Disturbance Observer. Actuators, 14(1), 21. https://doi.org/10.3390/act14010021
