Abstract
This paper proposes a distributed passivity-based control scheme for the consensus and vibration suppression of multiple space manipulators holding flexible beams. A space manipulator holding a flexible beam is essentially a rigid–flexible underactuated system. The bending deformation of the flexible beam is discretized by employing the assumed modes method. Based on Lagrange’s equations of the second kind, the dynamics model of each manipulator holding a flexible beam is established. By connecting such underactuated systems with the auxiliary Euler–Lagrange systems, a distributed passivity-based controller is designed under undirected communication graphs. To suppress flexible vibration effectively, a distributed controller with the feedback of the velocity of deflection at the free end of the flexible beam is proposed to achieve the manipulator synchronization and vibration suppression simultaneously. The stability of the proposed controller is analyzed with LaSalle’s invariance principle. Numerical simulations and experiments are conducted to show the effectiveness of the designed controllers.
1. Introduction
Space manipulators are playing an increasingly significant role in complex space operations. The space manipulators can independently complete on-orbit servicing operations such as target capture, space observation, extravehicular equipment installation, etc. In addition, the space manipulators can also assist astronauts in completing extravehicular operations, reducing the workload of the astronauts. The application of space manipulators greatly improves the efficiency and safety of space missions. Therefore, space manipulators have attracted widespread attention from researchers in all fields.
The coordinated control of multiple networked manipulators is of great significance for space tasks such as load transportation and human–machine collaboration. The manipulator dynamics model established by the Lagrangian method is essentially an Euler–Lagrangian (EL) system. Therefore, the consensus of multiple manipulators can be solved by using the distributed control algorithms of multiple EL systems. In order to achieve the consensus of multi-agent systems, distributed control is usually considered one of the important methods since it does not need global information. Distributed control coordinates the behavior of the group through the information exchange between intelligent agents [1,2,3]. The construction of the communication topology is a crucial step for distributed control of multi-agent systems. A common approach to describe the communication topology is the graph theory [4]. Communication graphs usually include directed and undirected graphs. In directed graphs, information exchange between agents is unidirectional, and communication ability is limited [5]. To improve the flexibility of the communication topology, Meng et al. [6] introduced switchable directed graphs into the distributed control of multi-agent systems. Different from the directed graph, undirected graphs allow the path between any nodes being undirected, which results in higher fault tolerance [7,8]. Liu et al. modeled the communication network of multiple EL systems as an undirected graph [9]. Furthermore, for the consensus missions of multi-agent systems, there may or may not exist a leader. Hence, the consensus behavior can be divided into leader–follower and leaderless patterns [10,11]. Wang et al. proposed an adaptive controller based on distributed observers to solve the leaderless consensus problem of heterogeneous networked Euler–Lagrange systems [12]. In certain space missions, such as transportation, it is necessary for each agent to follow the leader to reach the designated position and orientation. The leader–follower pattern is more suitable for such space missions. Song et al. designed an optimized leader–follower consensus controller by combining sliding mode control and reinforcement learning for multiple manipulators [13]. Cong et al. addressed the issue of synchronization control for multiple nonlinear manipulation systems by designing a bounded distributed cooperative controller with a virtual leader [14].
In current space missions, manipulators will probably operate some flexible modules. For a manipulator grasping a flexible appendage, such as solar panels, it is necessary to suppress the elastic vibration of the flexible appendage during the movement of the manipulator. Essentially, flexible appendages have infinite degrees of freedom. Also, there are usually no extra actuators on the flexible appendages. Hence, the system made of the manipulator with the flexible appendage is essentially an underactuated EL system. This poses a significant challenge for the controller design. The main control methods for underactuated systems include backstepping [15,16], feedback linearization [17], Passivity-Based Control (PBC), and so on. For example, Yan et al. proposed an adaptive controller based on the backstepping method to address the control problem of a planar underactuated manipulator with two flexible joints [18]. Du and Li addressed the consensus for multiple underactuated EL systems by designing a distributed control law based on the backstepping method using the cascaded normal form [19]. Cheikh et al. designed a control method that combines sliding mode control and partial feedback linearization to address the issue of underactuated system control caused by joint actuator failures in the manipulator [20]. Matous et al. simplified the dynamic behavior of underactuated underwater vehicles using the output feedback linearization method to allow many control strategies to be employed [21]. For highly coupled nonlinear systems, it is difficult to convert the system into a standard cascade normal form [22,23], so the backstepping and feedback linearization methods may not be applicable to highly coupled nonlinear systems. Ortega et al. [24,25] proposed the PBC theory based on the passive characteristics of the system. The PBC does not require altering the system’s nonlinearity and structure, thereby decreasing the difficulty of the controller design [26]. Chen et al. addressed the issue of attitude synchronization during the maneuvering of a group of underactuated flexible spacecrafts. Considering the scenario without system damping, they designed a distributed passivity-based controller that relied only on attitude angle feedback [27]. Introducing vibration information of the flexible beam into the control system is an effective way for vibration suppression in such underactuated systems. Mansour et al. addressed the problem of vibration suppression and stability control of a single-joint flexible manipulator. A vibration suppression method based on deformation feedback to adjust torque was designed [28]. Wang et al. proposed a distributed cooperative controller for the vibration problems of multiple underactuated flexible spacecraft. The controller utilizes proportional and differential feedback, as well as interactive feedback between adjacent control units, to suppress vibrations while achieving attitude consensus among multiple spacecraft [29].
As mentioned above, few studies have thoroughly investigated the issue of vibration suppression of flexible payloads during the consensus of space manipulators [30,31,32], particularly by integrating the feedback of the Velocity of Deflection at the Free End of the Beam (VDFEB) into the passivity-based controller. This paper aims to present distributed passivity-based controllers for networked space manipulators holding flexible appendages. Compared with the studies on distributed control of fully actuated and rigid manipulators in [4,7,12,14], this paper proposed distributed passivity-based controllers for a team of rigid–flexible underactuated systems to realize the consensus manipulation and vibration suppression of the flexible appendages. Moreover, different from the distributed passivity-based controller in [27], the VDFEB is introduced into passivity-based controllers as the feedback signal.
The rest of the paper is organized as follows. Problem formulation is given in Section 2. The distributed passivity-based controllers with or without the feedback of the VDFEB are designed in Section 3. Section 4 and Section 5 present the results of numerical simulations and experiments, respectively. Conclusions are drawn in Section 6.
2. Problem Formulation
2.1. Research Objective
This paper will investigate the control problem of a group of fixed-base four degrees-of-freedom manipulators. Each manipulator holds a flexible beam without any actuators. The control purpose is to realize the coordinated motion of multiple manipulators and vibration suppression of the flexible beams. The space mission scenario is illustrated in Figure 1.
Figure 1.
Mission concept of cooperative operation of flexible beams using multiple space manipulators.
2.2. Graph Theory
Consider a multi-agent system composed of multiple manipulators. The information exchange among the multiple intelligent agents can be described as a communication topology graph. The graph consists of a set of nodes and edges, denoted as . Nodes represent agents, and edges represent the paths of information flow between adjacent agents. In graph , represents the set of all nodes, and represents the set of all edges connecting the nodes. The edge (i, j) represents the information flow from node i to node j, and node i is a neighbor of node j. A graph G is undirected if there is an edge (j, i) for any edge (i, j); otherwise, the graph is directed. The set of neighbors of node i is denoted by . The path from node il to node ik is a series of ordered edges (il, il+1), where . If there exists at least one path between any two nodes, the graph G is connected. The adjacency matrix of graph G is defined as , where if ; otherwise, . The in-degree of the ith node is denoted as di, which is defined as the sum of the elements in the ith row of the adjacency matrix A, i.e., . The matrix D is then defined as , where D is a diagonal matrix with di as its diagonal elements. The Laplacian matrix L of the graph G is then defined as .
Assume that the desired position of the manipulator is determined by a virtual leader, denoted as node 0. Node i is said to be reachable from the leader if there exists a path from the leader to node i. If there exists a path from the leader to every node, the leader is said to be globally reachable. If node i can receive information from the leader without having to go through other nodes, then bi is set to 1; otherwise, bi = 0. The matrix H is defined as , where .
Lemma 1.
In graph G, if there is at least one follower that can receive information from the leader and the communication among followers is a connected undirected graph, the leader is globally reachable [33] and the matrix H is positive definite [34].
2.3. System Dynamics
The schematic diagram of a 4-DOF manipulator grasping a flexible beam in a three-dimensional space is shown in Figure 2. The beam is slender such that it is considered as an Euler–Bernoulli beam.
Figure 2.
A manipulator with 4 joints grasping a flexible beam.
As illustrated in Figure 3a, the cross-section of the beam is parallel to the ozy plane. To facilitate understanding, the three-dimensional floating frame is projected onto the oxy plane along the height direction of the flexible beam. denotes the bending deformation of the flexible beam, which occurs in the plane oxy, as shown in Figure 3b. is discretized by using the assumed mode method and shown as follows
where is the ith order mode shape and is the corresponding modal coordinate, respectively. Without loss of generality, only the first bending mode of the cantilever beam is considered in this study. Therefore, the first-order mode shape function is
where
and s1 is the first-order wave number. Then, , and lb is the length of the flexible beam. To facilitate subsequent writing, the is uniformly replaced with .
Figure 3.
The bending deformation of the flexible beam in the floating frame; (a) the cross-section of the beam; (b) the deformation plane of the beam.
To give a short expression, (t) after a variable will be uniformly omitted in the following context. Hence, the dynamic model of a space manipulator grasping a flexible beam system is given based on the Lagrange equation of the second kind as follows:
where represents the generalized driving torque vector, and represents the generalized coordinates of the system. ua is the input torque of the manipulator’s joints. The generalized coordinates of the system can be written as , where and . , , and represent the generalized coordinates of the manipulator’s joints. η represents the modal coordinate of the first bending mode of the flexible beam. is the mass inertia matrix of the system. includes the centrifugal and Coriolis matrix of the system. is the stiffness matrix. It is clear that only the manipulator joint angles are controlled directly. The dynamic model can also be written in the following form of partitioned matrix:
Then, the dynamic equations of the networked manipulator holding flexible beam systems can be rewritten according to Equation (4) as
where , , , , for . Note that N represents the number of the manipulator of concern. The subscript i is added to show that the variables are corresponding to the ith agent.
2.4. System Energy Analysis
The definition of passive is briefly introduced in this subsection firstly. Consider the system governed by the following equation
where a causal dynamic operator [35] is defined. According to [36,37], Equation (7) is passive if there is a continuously differentiable semidefinite function E such that
where E is called the storage function. Moreover, it is said to be lossless if .
For the system in Equation (6) with output , where , the storage function is defined as
where the first and second terms in Es are the kinetic energy and potential energy for the networked manipulators carrying a flexible beam, respectively. The derivative of Es can be expressed as
The following equation can be obtained for the EL system:
Hence, Equation (10) can be rewritten as
Since , can be reformulated as
where . Hence, the system in Equation (9) is lossless.
3. Controller Design
In order to achieve the leader–follower consensus of multiple manipulators holding flexible beam systems, the focus of the passivity-based controller is to construct an auxiliary controller dynamic equation with isomorphic structure and form a closed-loop system with the system dynamic equation. In order to further suppress flexible vibrations, the feedback of the VDFEB is added to the controller as an integral form. This enables the manipulator to suppress vibration actively without adding an actuator.
3.1. Control Objective
The controller design is intended to drive N manipulators that hold flexible beams to track a static virtual leader while effectively suppressing flexible vibration under the following Assumption 1. The desired generalized coordinate vector is represented by , where is the desired value of . The leader–follower synchronization and vibration suppression problems are said to be achieved if and hold for .
Assumption 1.
The communication topology is undirected and connected. At least one follower can receive information from the leader.
If Assumption 1 is satisfied, it can be clearly concluded from the description in Section 2.1 that the matrix H is positive definite.
3.2. Passivity-Based Control Method
The objective of PBC methods is to render the closed-loop system passive. Essentially, as illustrated in Figure 4, a PBC is realized by interconnecting another auxiliary Euler–Lagrange system with the controlled plant. The resulting controller can be referred to as an Euler–Lagrange controller. This approach allows for the incorporation of additional energy and damping into the closed-loop system.
Figure 4.
Information exchange mechanisms between the controller and the control plant.
3.3. Design of Distributed Passivity-Based Controller
The purpose of this subsection is to utilize PBC methods to design a distributed controller for achieving synchronization of multiple manipulators gripping a flexible beam. Before proceeding, a necessary assumption is stated as follows.
Assumption 2.
Only the joint angles of the manipulators are measurable.
In synchronization missions, it is crucial to ensure real-time communication and complete the task in the shortest possible time with minimal information. Therefore, studying the control problem based on joint angle feedback only is highly necessary. According to the requirements of Assumption 2, only will be used as feedback variables in the controller design in this subsection.
By introducing the virtual generalized coordinates corresponding to the generalized joint angle coordinates of the manipulator [24], the dynamic equation of the controller can be formulated as follows:
where , and are constant positive definite matrices. , and are also constant positive definite matrices for . is a generalized coordinate vector of the controller dynamics. Thus, the controller dynamics corresponding to the ith manipulator are as follows:
It is evident that, since the controller dynamics correspond to the th manipulator depends on its own information and that of its neighbors, the controller is distributed. The total energy associated with the controller dynamics can be formulated as
where
and
where is a positive definite matrix to be defined in the following controller.
According to Assumption 2, since the joint angles of the manipulator are measurable, the controller can be designed as follows:
For the leader–follower consensus under an undirected communication graph, only the controller’s generalized coordinates are exchanged among the followers by using the distributed auxiliary Euler–Lagrange dynamics.
Theorem 1.
For the networked manipulators gasping a flexible beam governed by Equation (6), the controller in Equation (19) based on the controller dynamics in Equation (14) can drive the group of manipulators to track the leader and suppress the flexible vibration asymptotically.
Proof.
The following total energy of the system is selected as the Lyapunov function candidate.
where ES and EC are defined by Equations (9) and (16), respectively. The time derivative of is
According to LaSalle’s invariance principle, the system will asymptotically converge to the largest invariant set . Given that is positive definite, the condition implies that . Under the assumption that , θ remains constant; therefore, the controller dynamics described in Equation (14) can be reformulated as
It can thus be inferred that remains invariant. Given that both and are constant positive definite matrices, it follows that . Consequently, the dynamic equation of the rigid–flexible coupled manipulator, as expressed in Equation (5), can be reformulated as
From the dynamic Equation (5) of the manipulator, there exists at least one row of [ ] independent of [ ]. Therefore, the aforementioned Equation (23) has a unique solution when and , which holds when . Hence, the unique solution to Equation (23) is . Consequently, when , it follows that and . Therefore, according to LaSalle’s invariance principle, the controller can achieve distributed consensus control and vibration suppression. Therefore, this system is asymptotically stable. □
Remark 1.
The closed-loop system previously mentioned can be reformulated as follows
Then, the energy function of this closed-loop system
can be formed as
The time derivative of
is
where
and
are the new output and input of this system, respectively. Hence, the closed-loop system considered is passive.
3.4. Distributed PBC with the Feedback of the VDFEB
This section will systematically discuss the controller design with feedback of the VDFEB. As mentioned in Section 2.3, only the first-order bending mode of the flexible beam is considered. Since depends only on x, is a constant. Define the rate of change in the deflection at the end of the flexible beam as
where .
Assumption 3.
The angles and angle velocities of manipulator joints, and the velocities of the deflection at the end of the flexible beam, are all measurable.
According to the above assumption, , and can be used to design the following controller. Inspired by [28], the new controller can be reformulated as follows:
In this context, represent the first to fourth joint angles of the ith manipulator, and are the four elements of . The first term in Equation (28) is identical to that in Equation (19), while the second term represents the fine-tuning of the torque of the first and third joints of the manipulator to suppress the vibration of the flexible beam. Such torques applied to the first and third joints to suppress vibrations depend on the angle of the fourth joint. It should be noted that such a control torque for vibration suppression is specifically designed based on the unique configuration of the space manipulators in this paper. The value of k is chosen as a large positive constant. This controller is designed to further suppress the vibration of flexible beams. According to the design of this controller, the vibration information of each beam is only feedback to its own controller, and there is no need to exchange the system states between followers.
Theorem 2.
For the networked manipulators gasping a flexible beam governed by Equation (6), with the controller dynamics in Equation (14), the controller in Equation (28) can drive the group of manipulators to track the leader and suppress the flexible vibration asymptotically.
Proof.
Define the following vectors:
and
Consider the following Lyapunov function:
where .
The time derivative of is
where . One can obtain
and
Based on Equations (33) and (34), it can be derived that
Utilizing Equation (35), Equation (32) can be reformulated as
Similarly to the Proof of Theorem 1, it can be concluded that implies and . From LaSalle’s invariance principle, , , and as time goes to infinity. □
Remark 2.
Similar to Remark 1, the closed-loop system governed by Equation (28) is passive.
Remark 3.
As shown in the proof of Theorems 1 and 2, the closed-loop system will converge to the largest invariant set , which corresponds to the desired control state. Hence, the proposed control method also works for other underactuated EL systems satisfying such a property that the underactuated variable will be equal to the desired value once the actuated variable is kept constant.
4. Numerical Simulations
With the distributed system governed by the dynamics equation in Equation (4) as the control platform, some simulations will be introduced to validate the effectiveness of the control scheme proposed in Section 3.4. In this section, the distributed system consists of four space manipulators grasping flexible beams. The undirected communication graph is presented in Figure 5 and it shows that only manipulator numbered 1 can obtain the desired position information from the virtual leader. The parameters of the manipulator and the flexible beam are shown in Table 1. I1 to I4 represent the inertia matrices of the various parts of the manipulator. and represent the mass and size of each structure of the manipulator [38], respectively. , , and A represent the length of the flexible beam, flexural rigidity, density, and cross-sectional area, respectively.
Figure 5.
The undirected communication graph for the distributed system.
Table 1.
System parameters.
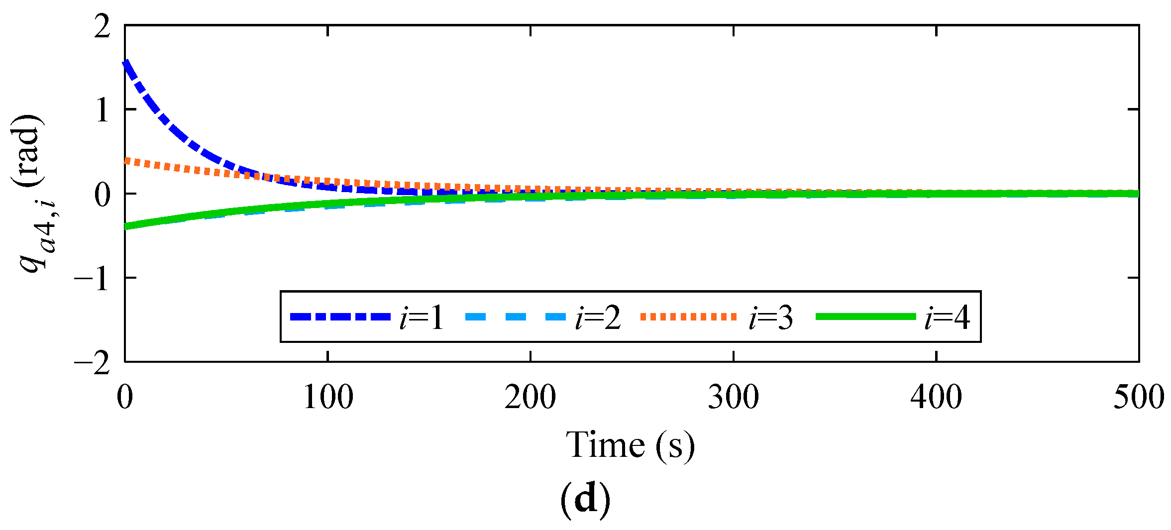
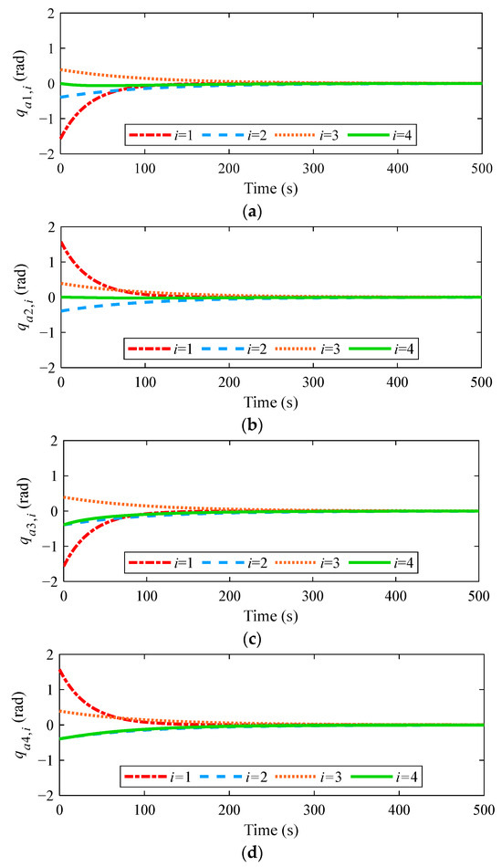
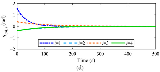
To show the effectiveness of the feedback of the VDFEB in the proposed controller, the PBC in Equation (19) together with the proposed controller in Equation (28) are compared with each other. The initial angle vectors of the space manipulators are set as , , and , respectively. There is no deformation in the flexible beam at the initial time, i.e., both the values the and for are set as 0 initially. The desired joint angle vector is . The parameters in controller dynamics in Equation (15) are chosen as , and . Note that , and remain consistent in the simulations under these two control laws. Furthermore, k is chosen as in the designed controller in Equation (28).
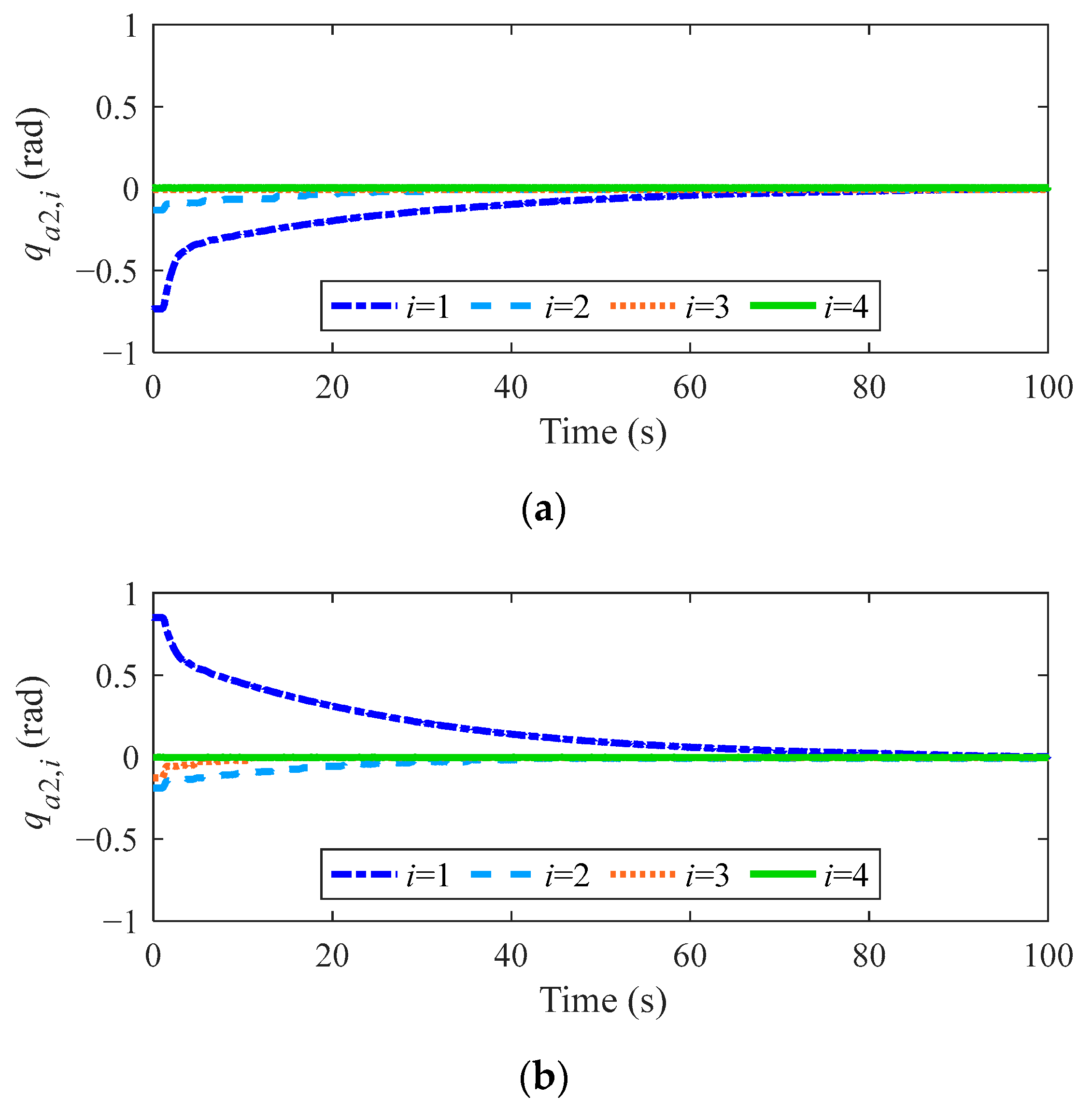
Figure 6 and Figure 7 display the responses of the joint angles of the manipulators under the control laws in Equations (19) and (28), respectively. As we can see, all the joint angles of the manipulators converge to the desired positions at about 300 s. It is clear that both controllers can effectively drive multiple manipulators to achieve the consensus. According to Equations (19) and (28), the control input will continually drive the joint angle to approach the virtual generalized coordinate θ. The time histories of the tracking errors of the joint angles under two control laws are shown in Figure 8 and Figure 9. It can be found that the tracking errors of the joint angles are all within 0.001 rad and converge to zero ultimately. Furthermore, in order to compare the differences between the tracking performance of the joint angles under these two control schemes, the following function is employed.
where represents the tracking error between the jth joint angle of the ith manipulator and the virtual generalized coordinate. Essentially, Equation (37) represents the area enclosed by the absolute value of the function and the time axis. According to Equation (37), the calculation results in Figure 8 and Figure 9 are presented in Figure 10. As shown by the red bar charts, the areas corresponding to the time responses of the joint angles under the PBC with the feedback of the VDFEB are smaller than those under the controller in the absence of the feedback of the VDFEB. Note that there exists little difference for the fourth joint angles between the areas under these two controllers. The reason for such little difference can be found in Equation (28). As we can see, the feedback of the VDFEB is not employed in the control signal of the fourth joint. Therefore, it can be concluded that the PBC with the feedback of the VDFEB presents greater tracking performance.

Figure 6.
The simulation results of the manipulators under PBC. (a) Joint angles of manipulator 1, (b) Joint angles of manipulator 2. (c) Joint angles of manipulator 3. (d) Joint angles of manipulator 4.
Figure 7.
The simulation results of manipulators under PBC with the feedback of the VDFEB. (a) Joint angles of manipulator 1. (b) Joint angles of manipulator 2. (c) Joint angles of manipulator 3. (d) Joint angles of manipulator 4.
Figure 8.
Tracking error of the joint angles of manipulators under PBC. (a) Tracking error of the joint angles of manipulator 1. (b) Tracking error of the joint angles of manipulator 2. (c) Tracking error of the joint angles of manipulator 3. (d) Tracking error of the joint angles of manipulator 4.
Figure 9.
Tracking error of the joint angles of manipulators under PBC with the feedback of the VDFEB. (a) Tracking error of the joint angles of manipulator 1. (b) Tracking error of the joint angles of manipulator 2. (c) Tracking error of the joint angles of manipulator 3. (d) Tracking error of the joint angles of manipulator 4.
Figure 10.
The tracking performance under PBC and PBC with the feedback of the VDFEB. (a) The comparison for manipulator 1. (b) The comparison for manipulator 2. (c) The comparison for manipulator 3. (d) The comparison for manipulator 4.
To further analyze the effect of the feedback of the VDFEB in the proposed controller [39], the comparison of the first bending mode of the flexible beam under the control laws in Equations (19) and (28) is conducted. Figure 11 shows the comparison results, and it can be seen intuitively that the value of the modal coordinates under the control law of Equation (28) is smaller than that of Equation (19). Similarly, to highlight the effectiveness of vibration suppression under the feedback of the VDFEB, the performance function of vibration suppression is defined as follows.
Figure 11.
The modal coordinates of the flexible beams. (a) Modal coordinates of beam 1. (b) Modal coordinates of beam 2. (c) Modal coordinates of beam 3. (d) Modal coordinates of beam 4.
The calculation results based on Equation (38) are presented in Figure 12 and the vertical axis represents the area enclosed by the absolute value of the modal coordinate and the time-axis, which implies that the degree of vibration suppression can be quantified reasonably. As shown in Figure 12, it is clear that the control method based on the feedback of the VDFEB has an apparent effect on suppressing the vibration of the flexible beam. Hence, it is adopted that the distributed system under the designed controller with the feedback of the VDFEB can achieve consensus with a better performance of the vibration suppression in comparison with that under PBC.
Figure 12.
The comparison of the degree of vibration suppression under PBC and PBC with the feedback of the VDFEB.
5. Experimental Verification
In this section, two manipulators from Quanser Consulting Inc. in Toronto, Ontario, Canada are used to verify the effectiveness of the proposed controller of PBC with the feedback of the VDFEB. As shown in Figure 13, the experiment system consists of two manipulators, two flexible beams, and a workstation. The sensing interface can provide data on the joint angle and the velocity of the joint angle. The Intel RealSense D415 RGB-D cameras from Intel Corporation in Santa Clara, California, US with a framerate of 30 Hz are employed to obtain information on the position of the beam ends with the aid of the April tag fixed at the free end of the flexible beam. All the above information is fed back to the workstation by the USB cables. Then, the deflection and the deflection velocity at the end of the flexible beam can be calculated by the workstation in real time. Based on Equations (19) and (28), the workstation can calculate the PBC laws with and without the feedback of the VDFEB, respectively, and drive the manipulators with the QUARC 2023 software from Quanser Consulting Inc. in Toronto, Ontario, Canada. Note that only the joints of manipulators can be controlled directly by the joint motor and there is no extra actuator used to suppress the vibration. That is, the system is underactuated.
Figure 13.
The system of the QARM manipulators holding flexible beams from Quanser, Inc.
To show the effectiveness of the feedback of the VDFEB in the proposed controller, the PBC in Equation (19) together with the proposed controller in Equation (28) are compared with each other. A rectangular cross-section beam, as shown in Figure 3a, was selected, and it was assumed that the deformation of the beam occurs only in the oxy plane. In experimental tests, the gravitational force was controlled to be perpendicular to the deformation plane of the beam to avoid additional deformation caused by gravity. Therefore, the initial angle vectors of the space manipulators are set as , , respectively. There is no deformation in the flexible beam at the initial time. The desired joint angle vector is . The parameters in controller dynamics in Equation (15) are chosen as the same as that in Section 4. Figure 14 records the state of the manipulators 0 s, 1 s, 5 s, and 50 s under PBC with and without the feedback of the VDFEB. The left column of Figure 14 pictures represents the PBC with the feedback of the VDFEB, while the right column represents the PBC without the feedback of the VDFEB. It can be seen that under the two control laws, the time required for the two manipulators to reach the desired position is roughly the same.
Figure 14.
Dual-manipulator system under two control methods. (a) T = 0 s, (b) T = 1 s, (c) T = 5 s, (d) T = 50 s.
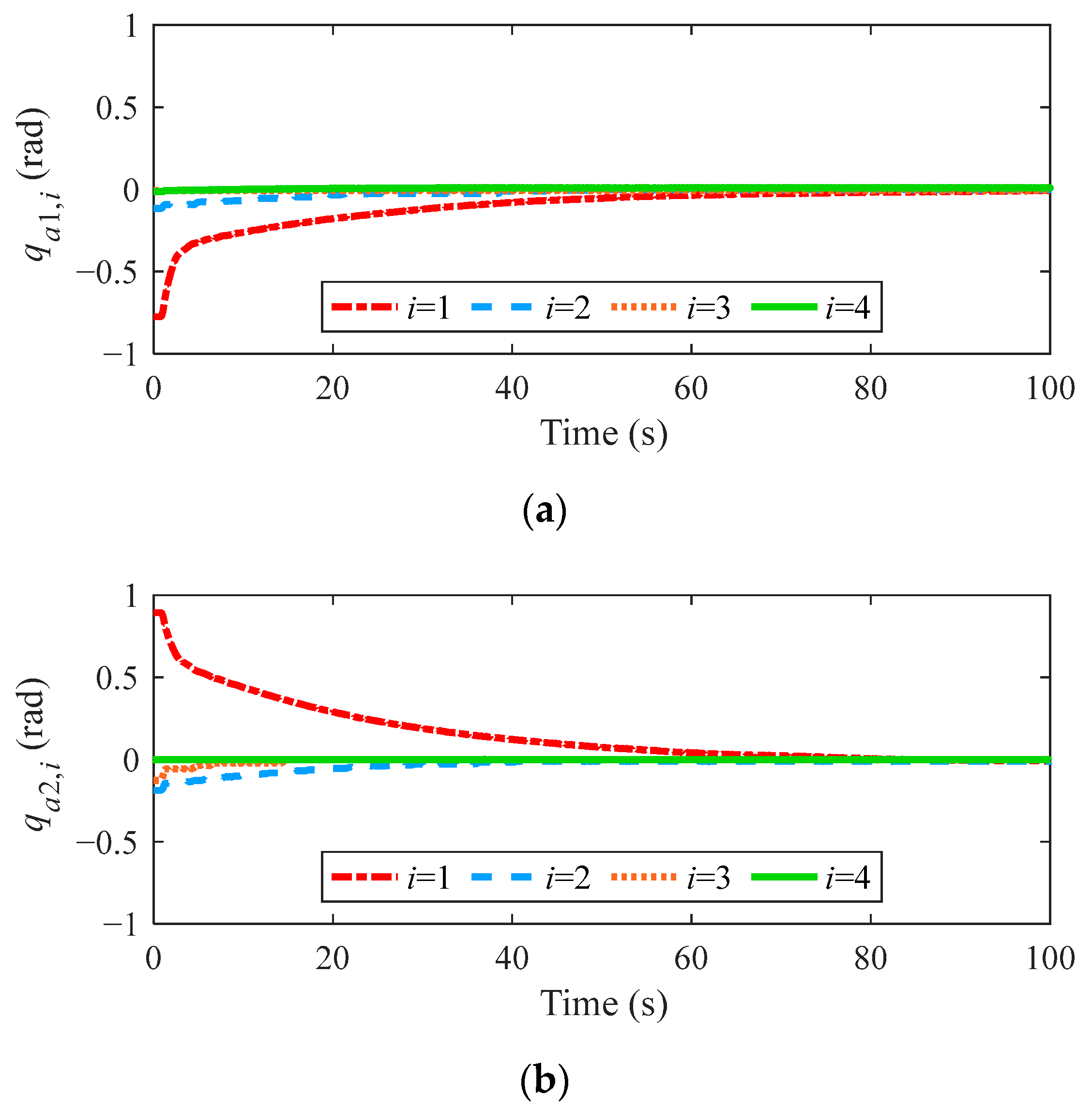
Figure 15 and Figure 16 display the responses of the joint angles of the manipulators under the control laws in Equations (19) and (28), respectively. It implied that all the joint angles of the manipulators converge to the desired positions at about 50 s. It is clear that both controllers can effectively drive multiple manipulators to achieve the consensus.
Figure 15.
The experiment results under PBC. (a) Joint angles of manipulator 1. (b) Joint angles of manipulator 2.
Figure 16.
The experiment results under PBC with the feedback of VDFEB. (a) Joint angles of manipulator 1. (b) Joint angles of manipulator 2.
In order to emphasize the effectiveness of the VDFEB feedback-based vibration suppression in the proposed controller, the comparison of the deflection at the end of the flexible beam under the control laws in Equations (19) and (28) is conducted and Figure 17 shows the comparison results. It is clear that the control method based on the feedback of the VDFEB has an apparent effect on suppressing the vibration of the flexible beam. It can be seen intuitively that under the control law in Equation (28), the vibration amplitude of the flexible beam is smaller than that under the control law in Equation (19). At the same time, the amplitude decays faster.
Figure 17.
The deflections of the flexible beams. (a) Deflection of beam 1. (b) Deflection of beam 2.
6. Conclusions
This study presents a distributed PBC without or with the feedback of the VDFEB to achieve the leader–follower consensus of multiple manipulators holding flexible beams while simultaneously suppressing the vibration of the flexible beams. Lagrange’s equations of the second kind and the assumed mode method are employed to describe the dynamics behaviors of the rigid–flexible coupling system. With the aid of the auxiliary Euler–Lagrange systems, the leader–follower distributed system can achieve consensus under undirected communication graphs. The feedback of the VDFEB is introduced into the PBC to complete the tracking tasks and the vibration suppression. Simulation results demonstrate that the multiple underactuated EL systems under the designed controller can achieve consensus more efficiently with a better performance of the vibration suppression in comparison with that under PBC. The experimental results show that both control methods can complete the consistency tracking task, and the distributed PBC with the feedback of the VDFEB has an obvious vibration suppression effect.
Author Contributions
Conceptualization, Y.C., Z.W. and T.C.; methodology, Y.C.; software, Y.C.; validation, Y.C., T.C. and E.Z.; formal analysis, Y.C. and T.C.; investigation, Y.C.; resources, T.C.; data curation, Y.C.; writing—original draft preparation, Y.C.; writing—review and editing, T.C., M.X., S.N. and Z.W.; visualization, Y.C.; supervision, T.C.; project administration, T.C.; funding acquisition, T.C. and Z.W. All authors have read and agreed to the published version of the manuscript.
Funding
This work was supported in part by the National Natural Science Foundation of China under Grants 12494562, 12472015 and 12232011, and in part by the Fundamental Research Funds for the Central Universities, No. NS2024004, and in part by the National Key Laboratory of Space Intelligent Control under Grant HTKJ2024KL502032.
Data Availability Statement
The datasets generated during and analyzed during the current study are available from the corresponding author upon reasonable request.
Conflicts of Interest
The authors declare no conflicts of interest.
References
- Cao, Y.C.; Yu, W.W.; Ren, W.; Chen, G.R. An overview of recent progress in the study of distributed multi-agent coordination. IEEE Trans. Ind. Inform. 2012, 9, 427–438. [Google Scholar] [CrossRef]
- Chen, T.; Shan, J.J.; Wen, H.; Xu, S.D. Review of attitude consensus of multiple spacecraft. Astrodynamics 2022, 6, 329–356. [Google Scholar] [CrossRef]
- Liu, Y.; Jia, Y.M. Adaptive consensus control for multiple Euler-Lagrange systems with external disturbance. Int. J. Control Autom. Syst. 2017, 15, 205–211. [Google Scholar] [CrossRef]
- Chen, T.; Shan, J.J.; Wen, H. Distributed Attitude Consensus of Multiple Flexible Spacecraft; Springer: Singapore, 2023; pp. 4–60. [Google Scholar]
- Zhang, Y.H.; Jiang, Y.L.; Zhang, W.L.; Ai, X.L. Distributed coordinated tracking control for multi-manipulator systems under intermittent communications. Nonlinear Dyn. 2022, 107, 3573–3591. [Google Scholar] [CrossRef]
- Meng, X.Z.; Mei, J.; Miao, Z.B.; Wu, A.G.; Ma, G.F. Fully distributed consensus of multiple Euler-Lagrange systems under switching directed graphs using only position measurements. IEEE Trans. Autom. Control 2023, 69, 1781–1788. [Google Scholar] [CrossRef]
- Nuño, E. Consensus of Euler-Lagrange systems using only position measurements. IEEE Trans. Control Netw. Syst. 2016, 5, 489–498. [Google Scholar] [CrossRef]
- Wang, Y.Q.; Yu, C.B. Distributed attitude and translation consensus for networked rigid bodies based on unit dual quaternion. Int. J. Robust Nonlinear Control 2017, 27, 3971–3989. [Google Scholar] [CrossRef]
- Liu, Y.; Min, H.B.; Wang, S.C.; Ma, L.; Liu, Z.G. Consensus for multiple heterogeneous Euler–Lagrange systems with time-delay and jointly connected topologies. J. Frankl. Inst. 2014, 351, 3351–3363. [Google Scholar] [CrossRef]
- Aldana, C.I.; Tabarez, L.; Nuño, E.; Romero, J.G. Leader-follower and leaderless pose consensus of robot networks with variable time-delays and without velocity measurements. Int. J. Control 2023, 96, 2885–2897. [Google Scholar] [CrossRef]
- Ren, W. Distributed leaderless consensus algorithms for networked Euler–Lagrange systems. Int. J. Control 2009, 82, 2137–2149. [Google Scholar] [CrossRef]
- Wang, S.M.; Zhang, H.W.; Baldi, S.; Zhong, R.X. Leaderless consensus of heterogeneous multiple Euler–Lagrange systems with unknown disturbance. IEEE Trans. Autom. Control 2022, 68, 2399–2406. [Google Scholar] [CrossRef]
- Song, Y.F.; Li, Z.J.; Li, B.; Wen, G.X. Optimized leader-follower consensus control using combination of reinforcement learning and sliding mode mechanism for multiple robot manipulator system. Int. J. Robust Nonlinear Control 2024, 34, 5212–5228. [Google Scholar] [CrossRef]
- Cong, Y.Z.; Du, H.B.; Li, X.L.; Jin, X.Z. Distributed bounded finite-time cooperative control algorithm for multiple nonlinear manipulators. Int. J. Robust Nonlinear Control 2024, 34, 8127–8143. [Google Scholar] [CrossRef]
- Ghommam, J.; Bouterra, Y.; Mnif, F.; Poisson, G. Distributed backstepping control for synchronization of networked class of underactuated systems: A passivity approach. In Proceedings of the Mediterranean Conference on Control & Automation, Corfu, Greece, 20–23 June 2011; pp. 7–12. [Google Scholar]
- Listmann, K.D.; Woolsey, C.A.; Adamy, J. Passivity-based coordination of multi-agent systems: A backstepping approach. In Proceedings of the European Control Conference, Budapest, Hungary, 23–26 August 2009; pp. 2450–2455. [Google Scholar]
- Spong, M.W. Partial feedback linearization of underactuated mechanical systems. In Proceedings of the International Conference on Intelligent Robots and Systems, Munich, Germany, 12–16 September 1994; pp. 314–321. [Google Scholar]
- Yan, Z.; Lai, X.Z.; Meng, Q.X.; Wu, M.; She, J.H.; Iwasaki, M. Modeling, analysis, and adaptive neural modified-backstepping control of an uncertain horizontal pendubot with double flexible joints. Control Eng. Pract. 2023, 139, 105647. [Google Scholar] [CrossRef]
- Du, H.B.; Li, S.H. Attitude synchronization control for a group of flexible spacecraft. Automatica 2014, 50, 646–651. [Google Scholar] [CrossRef]
- Cheikh, I.; Faqihi, H.; Benbrahim, M.; Kabbaj, M.N. Robust sliding mode based on partial feedback linearization Control for underactuated robot manipulator. In Proceedings of the International Conference on Digital Technologies and Applications, Ningbo, China, 30–31 May 2024; pp. 487–497. [Google Scholar]
- Matouš, J.; Paliotta, C.; Pettersen, K.Y.; Varagnolo, D. The hand position concept for control of underactuated underwater vehicles. IEEE Trans. Control Syst. Technol. 2024, 32, 2223–2239. [Google Scholar] [CrossRef]
- Olfati-Saber, R. Cascade normal forms for underactuated mechanical systems. In Proceedings of the IEEE Conference on Decision and Control, Sydney, Australia, 12–15 December 2000; pp. 2162–2167. [Google Scholar]
- Olfati-Saber, R. Normal forms for underactuated mechanical systems with symmetry. IEEE Trans. Autom. Control 2002, 47, 305–308. [Google Scholar] [CrossRef]
- Ortega, R.; Loria, A.; Nicklasson, P.J.; Sira-Ramirez, H. Euler-Lagrange Systems, Springer: London, UK, 1998; pp. 15–37.
- Nuño, E.; Ortega, R. Achieving consensus of Euler–Lagrange agents with interconnecting delays and without velocity measurements via passivity-based control. IEEE Trans. Control Syst. Technol. 2017, 26, 222–232. [Google Scholar] [CrossRef]
- Hatanaka, T.; Chopra, N.; Fujita, M.; Spong, M.W. Passivity-Based Control and Estimation in Networked Robotics; Springer: Cham, Switzerland, 2015; pp. 31–45. [Google Scholar]
- Chen, T.; Shan, J.J.; Wen, H. Distributed passivity-based control for multiple flexible spacecraft with attitude-only measurements. Aerosp. Sci. Technol. 2019, 94, 105408. [Google Scholar] [CrossRef]
- Mansour, T.; Konno, A.; Uchiyama, M. Modified PID control of a single-link flexible robot. Adv. Robot. 2008, 22, 433–449. [Google Scholar] [CrossRef]
- Wang, E.M.; Wu, S.N.; Liu, Y.F.; Wu, Z.G.; Liu, X.D. Distributed vibration control of a large solar power satellite. Astrodynamics 2019, 3, 189–203. [Google Scholar] [CrossRef]
- Li, D.; Zhong, L.; Zhu, W.; Xu, Z.; Tang, Q.; Zhan, W. A survey of space robotic technologies for on-orbit assembly. Space Sci. Technol. 2022, 2022, 1–13. [Google Scholar] [CrossRef]
- Wu, Z.; Chen, Y.; Xu, W. A light space manipulator with high load-to-weight ratio: System development and compliance control. Space Sci. Technol. 2021, 2021, 1–12. [Google Scholar] [CrossRef]
- Tayebi, J.; Chen, T.; Wang, H. Dynamics and control of flexible satellite using reaction sphere actuators. Space Sci. Technol. 2023, 3, 0077. [Google Scholar] [CrossRef]
- Du, H.B.; Chen, M.Z.; Wen, G.H. Leader–following attitude consensus for spacecraft formation with rigid and flexible spacecraft. J. Guid. Control Dyn. 2016, 39, 944–951. [Google Scholar] [CrossRef]
- Hu, J.; Hong, Y. Leader-following coordination of multi-agent systems with coupling time delays. Phys. A Stat. Mech. Its Appl. 2007, 374, 853–863. [Google Scholar] [CrossRef]
- Zhu, Q. Nonlinear Systems; MDPI-Multidisciplinary Digital Publishing Institute: Beijing, China, 2023; pp. 19–47. [Google Scholar]
- Ortega, R.; Van Der Schaft, A.; Maschke, B.; Escobar, G. Interconnection and damping assignment passivity-based control of port-controlled Hamiltonian systems. Automatica 2002, 38, 585–596. [Google Scholar] [CrossRef]
- Ortega, R.; Garcia-Canseco, E. Interconnection and damping assignment passivity-based control: A survey. Eur. J. Control 2004, 10, 432–450. [Google Scholar] [CrossRef]
- Xie, M.; Chen, T.; Ni, S.; Feng, C. Flexible payload transportation using cooperative space manipulators with statics compensation. ISA Trans. 2025, in press. [Google Scholar] [CrossRef]
- Lyu, B.; Liu, C.; Yue, X. Integrated predictor-observer feedback control for vibration mitigation of large-scale spacecraft with unbounded input time delay. IEEE Trans. Aerosp. Electron. Syst. 2025, in press. [Google Scholar] [CrossRef]
Disclaimer/Publisher’s Note: The statements, opinions and data contained in all publications are solely those of the individual author(s) and contributor(s) and not of MDPI and/or the editor(s). MDPI and/or the editor(s) disclaim responsibility for any injury to people or property resulting from any ideas, methods, instructions or products referred to in the content. |
© 2025 by the authors. Licensee MDPI, Basel, Switzerland. This article is an open access article distributed under the terms and conditions of the Creative Commons Attribution (CC BY) license (https://creativecommons.org/licenses/by/4.0/).