Next Article in Journal
Finite Element Method Analysis of Seismic Response of Confined Masonry Walls with Openings Built Using Polyurethane Glue
Previous Article in Journal
Enhancing Creativity Through Material Choice in Architectural and Urban Design Model-Making
 
 
Font Type:
Arial Georgia Verdana
Font Size:
Aa Aa Aa
Line Spacing:
Column Width:
Background:
Article

Mechanistic Understanding of the Non-Uniform Corrosion of Steel Bridges: From the Perspective of Micro-Environments

1
School of Highway, Chang’an University, Xi’an 710064, China
2
School of Civil Engineering, Chongqing University, Chongqing 400044, China
*
Author to whom correspondence should be addressed.
Buildings 2025, 15(3), 422; https://doi.org/10.3390/buildings15030422
Submission received: 11 December 2024 / Revised: 12 January 2025 / Accepted: 26 January 2025 / Published: 28 January 2025
(This article belongs to the Section Building Structures)

Abstract

The prevention of non-uniform corrosion in steel bridges remains a global challenge. Addressing this gap, the present study investigates atmospheric corrosion in steel bridges and introduces a non-uniform corrosion rate prediction process based on micro-environments, including the temperature and relative humidity of the air near the steel bridge surface (TS and RHS) and the deposition of pollutants on the steel bridge (DP). Using a CFST arch bridge as a case study, this research examines the causes of non-uniform corrosion and explores effective protective measures. The findings reveal a maximum of 1.48 °C for the TS and 15.7% for the RHs in different parts of the arch ribs. Significant disparities of the DP are observed in different parts of the arch ribs. The largest DP at the upper chord is up to 44.3 mg/m2/day (mdd), and the smallest amount of deposition at the lower chord is close to 0 mdd. Under the influence of the aforementioned factors, significant non-uniform corrosion of the ribs was found, with the fastest corrosion rate being up to 18.5 μm/year and the slowest corrosion rate being close to 0 μm/year. Uneven pollutant deposition is the primary cause of the non-uniform corrosion of the CFST arch bridge. By conducting the regular cleaning of the ribs, non-uniform corrosion could be mitigated.

1. Introduction

Steel bridges endure alternating cycles of cold and heat, sunlight, rainfall, and pollutant erosion, all of which contribute to atmospheric corrosion [1,2]. Atmospheric corrosion reduces the thickness of steel bridge components, thereby compromising their load-bearing capacity and structural stability [3,4,5]. Preventing severe atmospheric corrosion is therefore crucial to ensuring the long-term service life of steel bridges.
Weathering steel and coatings are widely used to mitigate atmospheric corrosion in steel bridges. However, even with these protective measures, severe corrosion damage can still occur, potentially leading to structural failures or engineering disasters. For instance, Dounoki River Bridge [6] and the Pittsburgh Bridge [7] collapsed after 38 and 49 years of service, respectively, due to severe atmospheric corrosion. Other notable bridge failures caused by atmospheric corrosion include Japan’s Wakayama Aqueduct Bridge, the silver Bridge [7] in the United States, and the Seongsu Bridge [8] in South Korea. In most of these cases, significant non-uniform corrosion was observed prior to the collapse. The rapid deterioration of individual components led to substantial reductions in the overall load-bearing capacities of the structures, ultimately resulting in catastrophic failures. Thus, despite the adoption of various atmospheric corrosion protection strategies, the persistent issue of non-uniform corrosion undermines their effectiveness. To prevent severe performance degradation or even structural failure caused by non-uniform atmospheric corrosion, it is essential to identify and understand the root causes of this phenomenon.
In recent years, researchers have increasingly focused on non-uniform corrosion in steel bridges. Jin-Hee Ahn studied the buckling modes and load-carrying capacity of steel plate composite girders affected by non-uniform corrosion [9]. Shigenobu Kainuma investigated the impact of non-uniform corrosion in steel–concrete composite bridges on stress concentration [10]. Similarly, Huajie Wang analyzed the strength reduction in circular steel tubes subjected to non-uniform corrosion [11]. However, most existing studies primarily focus on the performance degradation of steel components or entire structures after non-uniform corrosion has occurred. Few studies provide explanations for the underlying causes of non-uniform corrosion in steel bridges.
From the author’s perspective, variations in the service environments across different parts of a steel bridge may be a critical factor contributing to non-uniform corrosion. The design criteria for coating systems and the application conditions for weathering steel are typically based on the macro-environment surrounding the bridge site. Zhi assessed the atmospheric corrosion rate of low-alloy steel using six environmental factors, including chloride concentration, SO2 concentration, relative humidity, temperature, rainfall, and pH [12]. Hao calculated the corrosion rate of steel hangers in various regions of China based on four environmental parameters and utilized GIS to perform the classification and spatial mapping of atmospheric corrosion across China [13]. Kim predicted the atmospheric corrosion rate of carbon steel in different regions of the Korean Peninsula using three macro-environmental parameters: sulfur dioxide, chloride particles, and wetness duration [14]. However, the actual service environment of a steel bridge often differs significantly from the macro-environment. Jin monitored the corrosion rate at different locations on steel plate girders using ACM sensors. The experimental results showed that the corrosion rate of the top plate could be up to six times that of the bottom plate [15]. Ahn investigated the atmospheric corrosion damage of steel plate composite girder bridges. The findings revealed that the corrosion rate of the bottom plate and web plates was significantly higher than that of other parts [16]. Ha monitored the corrosion rate of different components of steel truss girders and found that the corrosion rate of the chord members could be more than three times greater than that of the web members [17,18]. When the most severe service conditions within a bridge are more corrosive than the macro-environment, the anti-corrosion measures designed with macro-environmental conditions may prove inadequate for ensuring long-term corrosion resistance.
To represent the true service environment of steel bridges, researchers have introduced the concept of micro-environments, which has been adopted by standards such as AASHTO, SHRP 2, and ACI [7]. Based on this concept, these standards characterize the micro-environment of steel bridges through micro exposure zones. For example, the ribs of a through-arch bridge are classified into atmospheric exposure zones and indirect de-icing salt exposure zones. However, in practical engineering, even within the same micro-exposure zone, the corrosion levels at different locations can vary significantly, as shown in Figure 1. This suggests that the classification based on engineering experience cannot fully reflect the true service environment of steel bridges. Therefore, more specific methods are needed to describe and quantify the actual service environment of steel bridges in order to comprehensively understand the differences in atmospheric corrosion environments at various parts of the bridge.
This study explores the causes of non-uniform corrosion in steel bridges from a novel perspective, emphasizing the role of variations in service environments and using a CFST arch bridge in Shaanxi Province, China, which was dismantled due to non-uniform corrosion, as a case study. The bridge’s service environment and non-uniform corrosion rate are analyzed. Based on the findings, targeted protective measures are proposed to mitigate non-uniform corrosion in similar steel bridge structures. The results provide valuable insights for identifying locations prone to rapid corrosion and developing effective corrosion protection strategies for similar types of bridges. Moreover, the methodology in this study offers a new approach to predicting non-uniform corrosion rates in various steel bridge structures.

2. Micro-Environment of Steel Bridge

Atmospheric corrosion occurs at the interface between the surface of steel bridge and the surrounding air. The primary factors influencing the atmospheric corrosion rate include the temperature of the air nearby the steel surface (denoted as TS), the relative humidity of the air nearby the steel surface (denoted as RHS), and the amount of pollutant deposition on the steel surface (denoted as DP). These factors are referred to as the micro-environment of the steel bridge in this study.

2.1. Pollutant Deposition on the Steel Surface (DP)

Airborne pollutants primarily consist of sulfur dioxide and chlorides. Sulfur dioxide is usually emitted from the combustion of industrial and domestic fuels. Chlorides primarily originate from marine environments or deicing salts. As shown in Figure 2, pollutants can collide with and deposit onto the steel surface under the influence of the surrounding airflow. The distribution characteristics of pollutants deposited on the steel surface can be quantified using the pollutant deposition per unit area.
The influence of the DP on the corrosion rate varies depending on the type of pollutant. For example, atmospheric corrosion caused by sulfur dioxide exhibits autocatalytic behavior. In contrast, chlorides can penetrate the passivation film on steel, thereby accelerating the atmospheric corrosion process.

2.2. Temperature of Air Nearby Steel Surface (TS)

The air temperature varies significantly along the direction normal to the surface, within the thermal boundary layer of height δ t near the steel surface. The air temperature immediately adjacent to the surface (denoted as TS) is equal to the temperature of the steel surface. Beyond the boundary layer, in the mainstream region, the air temperature gradient becomes nearly zero. The temperature in this region, commonly measured using sensors installed at meteorological stations, is referred to as the ambient temperature (denoted as Ta).
The influence of the TS on the corrosion rate can be observed in three key aspects. First, a higher TS accelerates the rate of chemical reactions. Second, the TS affects the solubility of gases such as oxygen and sulfur dioxide, thereby influencing the corrosion rate. Finally, the TS indirectly impacts the corrosion rate by altering relative humidity.

2.3. Relative Humidity of Air Nearby Steel Surface (RHS)

Rapid temperature variations within the thermal boundary layer leads to changes in the relative humidity of the air. Similarly to the TS, the relative humidity of the air adjacent to the steel surface is referred to as RHS. In contrast, the relative humidity in the mainstream region is termed the ambient relative humidity (RHa).
Relative humidity can be characterized by the relative proportion of water vapor. Relative humidity increases with an increase in the relative proportion of water vapor. As illustrated in Figure 3, the physical relationship among the RHS, RHa, Ta, and TS can be described as follows: When TS > Ta, the relative proportion of water vapor reduces due to the air adjacent to the steel surface being able to hold a greater amount of water vapor. The relative proportion of water vapor decreases in the air adjacent to the steel surface. Therefore, RHS < Rha. Conversely, when TS < Ta, RHS > RHa.
The impact of the RHS on the corrosion rate is illustrated in Figure 4. When the RHS is low, the steel bridge experiences slow chemical corrosion. As the RHS increases, the kind of the corrosion transitions from chemical to electrochemical, causing a significant rise in the corrosion rate. With a further increase in the RHS, a visible water film forms on the steel surface, limiting oxygen contact with the steel. This leads to a gradual decline in the corrosion rate.

3. Numerical Simulation Method of Micro-Environment

As discussed in the previous section, the environmental factors influencing the atmospheric corrosion rate of steel bridges primarily include the TS, RHS, and DP. This section focuses on numerical simulation methods for analyzing the micro-environment. Specifically, the DP can be analyzed using computational fluid dynamics (CFD), while the TS and RHS can be studied using the finite element method (FEM).

3.1. DP

The pollutant deposition on the steel surface is closely associated with the movement of surrounding fluids and pollutant particles. The behavior of fluids can be analyzed by solving equations for momentum conservation, mass conservation, and other fundamental principles of fluid dynamics. The motion of pollutant particles in the air is influenced by forces such as gravity, drag, pressure gradient force, and Saffman lift. The particle motion is described by the particle motion equilibrium, shown in Equation (1). Typically, the discrete phase model (DPM) in fluid dynamics software is used to calculate the forces acting on particles within the flow field and to determine their trajectories.
m p d u p d t = m p u u p τ r + m p g ρ p ρ ρ p + F S
In this equation, mp is the mass of the particle, u is the velocity of the continuous phase, u p is the velocity of the particle, ρ is the fluid density, ρ p is the particle density, F S is the Saffman lift force, and m p u u p τ r is the drag force.

3.2. TS

As described in Section 2.2, the temperature of the air nearby steel bridge surface is equal to the temperature of the steel surface. Therefore, the TS can be obtained by solving the temperature field of steel bridges. The temperature field of steel bridges exposed to natural environments adheres to the heat conduction differential equation. Solving the heat conduction differential equation requires defining the thermal boundary conditions of the bridge. These thermal boundaries include solar radiation, radiation heat transfer, and convective heat transfer. Solar radiation is influenced by factors such as the bridge’s longitude, latitude, altitude, spatial orientation of components, and absorption rate. Convective heat transfer depends on atmospheric temperature, wind speed, and the convective heat transfer coefficient. Radiation heat transfer includes both sky radiation and ground radiation. The calculation methods for these thermal boundaries can be referenced in the literature [19,20]. Once the thermal boundaries are defined, the steel bridge surface temperature can be determined using the heat conduction module in commercial finite element software.

3.3. RHS

Previous research by the authors demonstrates that the RHS can be calculated using the Ta, TS, and RHa, as expressed in Equations (2)–(4). This calculation process can be implemented using the USFLED subroutine in ABAQUS (2019) software. Detailed computational methods are available in reference [21].
R H s = R H e × E a / E s
lg E a = 10.7957 × ( 1 T 1 T a + 273.15 ) 5.028 × lg T 1 T a + 273.15 ) + 1.50475 × 10 4 × ( 1 10 8.2969 × ( T a / T 1 ) ) + 0.42873 × 10 3 × ( 10 4.76955 × ( 1 T 1 T a + 273.15 ) 1 ) + 0.78614
lg E s = 10.7957 × ( 1 T 1 T S + 273.15 ) 5.028 × lg T 1 T S + 273.15 ) + 1.50475 × 10 4 × ( 1 10 8.2969 × ( T s / T 1 ) ) + 0.42873 × 10 3 × ( 10 4.76955 × ( 1 T 1 T + 273.15 ) 1 ) + 0.78614
In the equation, RHS is the relative humidity of air nearby the steel bridge surface, Ea is the saturated vapor pressure of ambient, Es is the saturated vapor pressure of the air adjacent to the steel bridge surface, T1 is the triple point temperature of water, taken as 273.16 K, Ts is the temperature of the air adjacent to the steel bridge surface, and Ta is the ambient temperature.

4. Validation of Numerical Simulation Method

4.1. DP

The accuracy of the simulation method for the DP is validated using the case study from reference [22]. The dry plate was suspended beneath the bridge to collect chloride particles from the air. The dimensions of the dry plate were 100 mm × 100 mm. Noguchi measured the air salinity concentration and the chloride particle deposition on the dry plate from September 2015 to August 2016 [22]. The average wind speed during the test period was 0.6 m/s. As show in Figure 5, the pollutant deposition model for the dry plate was established in FLUENT software, with a computational domain of 1 m × 1 m and a grid size of 5 mm.
Figure 6 shows the measured and calculated values of the DP. As shown in Figure 6, the trends of the measured and calculated values are generally consistent. The average deviation between the measured and calculated values is 3.58 mg·(m2·day)−1 (mdd), with an average relative error of 19%. Except for November and February, the calculated values were generally slightly higher than the measured values. This is due to phenomena such as rainfall and condensation, which may wash away the pollutants deposited on the surface. The maximum deviation occurred in November 2015 and February 2016. This discrepancy is attributed to the occurrence of typhoons in Japan during these periods, causing the measured values to be significantly higher than the calculated values. From the perspective of exploring the differences in corrosion environments, the accuracy of the numerical simulation meets the requirements for the analysis.

4.2. Ts and RHs

The accuracy of simulation method for the Ts and RHs is validated using the arch rib model from reference [21]. The arch rib model is located at 108° E longitude and 34° N latitude, with a north–south orientation. The span of the arch rib is 15 m, with a rise of 3.75 m and a rise-to-span ratio of 1/4. The arch axis follows a catenary curve, with an arch axis coefficient of 2.0. The cross-section of the arch rib is a circular steel tube with an outer diameter of 426 mm, using Q345 steel. The simulation model is shown in Figure 7. The element size along the cross-sectional direction is 200 mm, and along the longitudinal direction of the arch rib, the element size is 500 mm.
The measured and calculated values for the TS and RHS at the top of the arch rib are shown in Figure 8. As can be seen from the figure, the trends of the calculated and measured values are generally consistent. The TS shows a higher value during the day and a lower value at night, while the RHS shows the opposite, with a lower value during the day and a higher value at night. The maximum deviation for the TS is 4.3 °C, with an average deviation of 2.4 °C. For the RHS, the maximum deviation is 15.1%, with an average deviation of 3.5%. Therefore, the measured and calculated values for the TS and RHS are relatively close, indicating that the numerical simulation methods for the TS and RHS are suitable for the analysis of bridge corrosion environments.

5. Case Study of a CFST Bridge

5.1. Engineering Background

As shown in Figure 9, the case study examines a concrete-filled steel tube (CFST) arch bridge located in Ankang City, Shaanxi Province, China, at a longitude of 109.6° E and a latitude of 32.8° E. The superstructure of the main bridge comprises a 2 × 120 m CFST arch design with a mid-span support configuration. The arch ribs feature a dumbbell-shaped cross-section, and the hangers are constructed from parallel steel wire bundles. The bridge includes a total of 44 hangers, spaced 16 m apart. The dimensions of the bridge are detailed in Figure 10.
The bridge was completed and opened to traffic in 1999. During its service life, the arch ribs suffered severe corrosion damage. Ultimately, the bridge was dismantled in 2020. Notably, no coating maintenance was performed on the arch ribs throughout its operational period.

5.2. Simulation Model of Pd

The primary source of pollutants near the bridge site is the deicing salt applied during the winter. In this study, FLUENT (2020 R2) is used to simulate the movement and deposition of deicing salt. To simplify the computational process, only the ribs near the crown of the arch is considered, while the effects of cross-bracing is neglected. The computational domain and mesh division of the model are illustrated in Figure 11.
To minimize the influence of boundary conditions on the computational results, the length and width of the computational domain are set to 6 times the arch rib height and 17 times the arch rib width, respectively. A grid independence analysis is performed to determine the most appropriate mesh size. Five different mesh scales are used to calculate the wind speed near the arch rib, including case1 (with 41,309 grids), case2 (with 53,520 grids), case3 (with 76,272 grids), case4 (with 113,524 grids), and case5 (with 152,323 grids). The wind speed at a point 20 cm above the south arch crown is used as the criterion for comparison. The wind speed results for different mesh scales are shown in Figure 12. As can be seen from Figure 12, the calculated results are nearly identical when using case3, case4, and case5. To maximize computational efficiency, case3 is selected as the analysis model. The mesh size near the arch rib is refined to 10 mm, while the mesh size in the outer region is set to 100 mm. To accurately capture the airflow characteristics near the arch rib, a detailed boundary layer is established in its vicinity. The first layer of the mesh is set at 0.01 mm, with a total of 15 boundary layers.
The boundary conditions of the model are illustrated in Figure 13. The boundary conditions for the continuous phase (air) are abbreviated as CPBs, while those for the discrete phase (deicing salt) are abbreviated as DPB. For the inlet and outlet, the DPB are defined as a velocity inlet and a pressure outlet, respectively. The inlet velocity is set to the average winter wind speed of 0.50 m/s, while the outlet pressure is set to standard atmospheric pressure. All remaining CPBs are defined as the symmetry boundary.
The DPB at the inlet is defined as the injection boundary, assuming that deicing salt particles are emitted from the center of the inlet grid. The DPB of the arch rib surface is defined as the wall–film boundary, meaning that seven particles are assumed to adhere to the surface upon contact. To reduce the computational effort, particles are assumed to pass through other boundaries upon collision. Thus, the escape boundary is used for the DPB of other surfaces.
Relevant studies indicate that deicing salt can persist over an extended period within a horizontal range of 8 m from the road and up to 20 m in height [23]. According to statistics from the Shaanxi Provincial Department of Transportation, the usage rate of deicing salt in Shaanxi Province is approximately 0.39 tons per kilometer, with the sodium chloride concentration in the deicing salt being around 20%.
To simplify the calculations, it is assumed that the concentration of deicing salt remains constant during its retention period. The concentration of deicing salt in the model can be determined using Equation (5). For this case study, the NaCl concentration near the bridge site is calculated as 0.89 g/m3.
p nacl = m SALT × n NACL h d × l d
In the equation, pnacl is the concentration of NaCl in the air (g∙m−3), msalt is the sage of deicing salt per unit length (g∙m), hd is the diffusion height of the deicing salt (m), and ld is the diffusion width of the deicing salt (m).
According to the findings of Liu [24], deicing salt particles with a diameter of 30 μm are the most likely to deposit on structures. To simplify the calculations, the particle size in this study is uniformly set to 30 μm. The numerical analysis is performed using a transient simulation and the calculation timestep size is set to 0.01 s, with a total simulation time of 110 s. The SST k-ω model is selected to solve the turbulent flow within the flow field due to its excellent adaptability in similar analyses.

5.3. Simulation Model of TS and RHS

Based on the prior numerical simulation experience of the TS and RHS, the mesh division for the case study is illustrated in Figure 14. Steel tubes, concrete, and air were modeled using the C3D8 element. To ensure continuous heat transfer between the cross-bracing and the arch ribs, a tie constraint was utilized. The thermal properties of steel, concrete, and air are summarized in Table 1.
Four different kinds of mesh size were used to calculate the Ts and RHs for the arch bridge on 1 August 2021. The mesh sizes for case1 to case4 are as follows: 400 mm, 500 mm, 600 mm, and 700 mm, respectively. The calculation results are presented in Figure 15. As shown in Figure 15, the results for the other three cases are generally consistent, except for case1. For case2, a further reduction in the mesh size has little impact on the calculation results. Therefore, the element size is selected as 500 mm for the simulation.
The numerical analysis is performed using a transient simulation, and the calculation timestep size is set to 1800 s, with a total simulation time of 1 year. Meteorological data near the bridge site in 2020 were collected to serve as input parameters for the simulation model. These data include wind speed, solar radiation, ambient temperature, and ambient relative humidity. Additionally, the effective sky temperature is required to accurately account for long-wave radiation heat transfer between the steel bridge and the sky.
Relevant research indicates that the effective sky temperature was influenced by parameters such as ambient temperature (Ta) and ambient humidity (RHa). The sky temperature is calculated using the method described in reference [21]. The meteorological data used in the model are illustrated in Figure 16.

6. Results of Micro-Environment

6.1. DP

Figure 17 illustrates the motion of deicing salt particles around the arch ribs. At the start of the simulation, deicing salt particles are continuously emitted from the inlet and moved under the influence of wind. When the simulation time = 6 s and 8 s, the particles reach the windward and leeward sides of the arch rib, respectively. When the simulation time > 10 s, the particles fill the entire computational domain and their motion become essentially stable. Consequently, the results after the simulation time = 10 s were selected for analysis in this study.
Figure 18 depicts the residual deicing salt on the arch ribs at the end of the simulation. The white dots represent the deicing salt particles adhering to the arch ribs. To differentiate the deposition of deicing salt particles across various locations on the arch rib, a background map illustrating the particle distribution density is overlaid on the image. In the map of distribution density, red indicates areas with high distribution density, while purple represents areas with sparse particle distribution.
Figure 18 reveals that the distribution pattern of deicing salt on the windward and leeward sides of the arch rib is generally similar. Deposition is most pronounced on the top of the upper chord and the top of the lower chord, while the bottom of the chords exhibits relatively less deposition. Notably, on the bottom of the leeward side of the lower chord, almost no pollutant particles are deposited.
To conveniently analyze the deicing salt deposition of different position, the rib is divided into distinct regions. The partitioning and numbering method of each part is illustrated in Figure 19. The first letter identifies the arch ribs, with “S” and “N” representing the southern and northern arch ribs, respectively. In the second letter, “C” and “W” correspond to the arch rib and the batten plate, respectively. The subscript letters “S” and “N” indicate the southern and northern halves of the arch rib, respectively. The top of the upper chord and the bottom of the lower chord are excluded from the analysis due to the absence of deicing salt deposition. Consequently, each arch rib is divided into 14 regions in total.
Chloride ions from deicing salt had the most significant impact on atmospheric corrosion. The deposition rate of chloride ions was a critical parameter for characterizing atmospheric corrosivity and was expressed in milligrams per square meter per day. Existing studies have shown that deicing salt could persist near the bridge site for approximately one month after application. The deposition rate of chloride ions in different regions could be determined using Equation (6).
P cl = t c × n × 4 3 π R 3 × ρ × M c l M n a c l × t r 365
t c = t sp × t r / t y
In the equation, Pcl is the deposition rate of chloride ions, where the unit is mg·(m2·day)−1; n is the number of deposited pollutant particles; R is diameter of the particle, set to 30 μm in this study; ρ is the particle density, taken as 2160 kg m−3; Mcl is the molar mass of chloride ions; Mnacl is the molar mass of sodium chloride; and tc is a time correction factor, which can be determined by Equation (7). In Equation (7), tsp represents the proportion of simulation time within one day. In this paper, the simulation time is 100 s and tsp is 100/86400, tr is the retention time of deicing salt in the air, assumed to be 30 days in this study, and ty is the total number of days in a year.
Table 2 presents the deposition rate of chloride particles. As shown in the table, the differences in deposition rate across different parts are significant. For the northern arch rib, the maximum deposition amount is 4.429 × 101 mmd, recorded at NCS1, while the minimum deposition is just 1.500 × 10−6 mmd, observed at NCN6. Similarly, for the southern arch rib, the highest deposition amount is 3.143 × 101 mmd, recorded at SCS4, whereas the lowest deposition is only 9.9 × 10−4 mmd, observed at SCN6.
For the southern arch rib, the maximum deposition occurs at the intersection of the lower arch rib and the gusset plate, whereas for the northern arch rib, it is recorded at the arch crown. This phenomenon is closely related to the airflow patterns around the arch ribs.
Figure 20 illustrates the streamlines of airflow surrounding the arch ribs. The airflow diverges around the southern arch rib and forms vortices at its trailing edge. At the intersection of the gusset plate and the lower chord, the airflow is directed downward. Combined with the gravitational settling of deicing salt particles, this results in increased deposition at the junction of the lower chord and the gusset plate. In traditional understanding, vortices around bridges can trigger vortex-induced vibrations, which may lead to excessive structural displacement and even collapse [25,26,27]. In the case presented in this study, the vortices around the structure affect the direction of the surrounding airflow, influencing the deposition of chlorides. Therefore, accurately identifying the vortices around bridges should be given attention in corrosion environment assessments.
In contrast, the wind speed around the northern arch rib is significantly lower than that around the southern arch rib, reducing the influence of wind on particle deposition. Consequently, the particles deposited on the northern arch rib are primarily driven by gravity. Horizontal surfaces facing the sky exhibit greater levels of chloride accumulation.

6.2. TS

As the bridge is oriented along a north–south axis, the amount of solar radiation received by the southern and northern arch ribs is similar. Consequently, the surface temperature differences between the southern and northern arch ribs are negligible. This section, therefore, focuses on analyzing the cross-section at the crown of the southern arch rib.
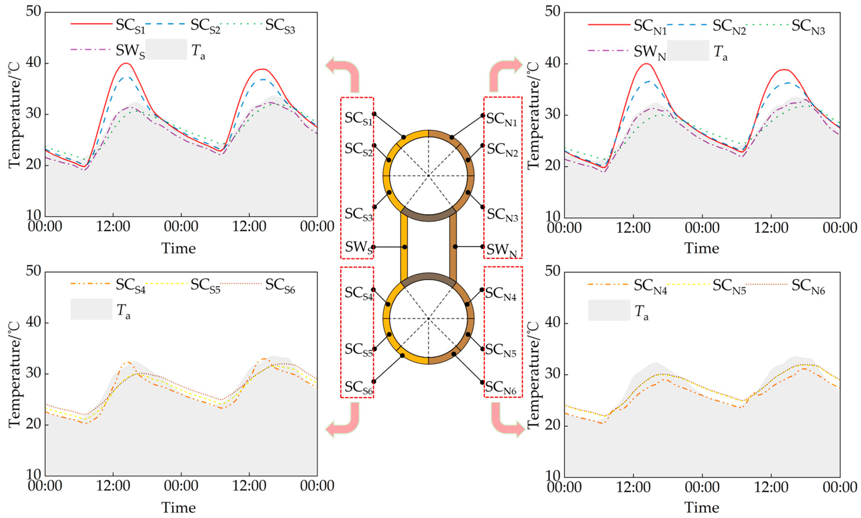
Figure 21 presents the time–history curves of the average TS for different parts of the arch rib compared to the ambient temperature (Ta). As shown in Figure 21, the TS and Ta exhibit a sinusoidal variation pattern over the course of a day, with higher temperatures during the daytime and lower temperatures at night. However, the amplitude of variation between the TS and Ta changes throughout the day.
The annual average temperature is often considered a key parameter for characterizing atmospheric corrosion environments. To quantify the differences between the TS and Ta over the course of a year, Equation (8) is used to calculate the annual average TS for different regions of the arch ribs. The results of the annual average TS are illustrated in Figure 22. The annual average TS of the southern arch rib are consistently higher than the annual average Ta. The location with the highest annual average temperature is NCS5, reaching 18.70 °C, which is 1.4 °C higher than the annual average Ta. Except for NCN1 and NCN6 on the northern arch rib, the annual average TS at other locations on the northern arch rib are lower than the annual average Ta. The lowest annual average temperature is observed at NWN, reaching 15.82 °C, which is 1.48 °C lower than the annual average Ta.
Δ T S - A = t = 1 t max i = 1 j T St i × A i t max × i = 1 j A i
In the equation, t is the analysis steps during the numerical calculation process and tmax is the maximum analysis step in the calculation. In this study, the numerical simulation period is 1 year, with an analysis step size of 1800 s and a maximum analysis step of 17,521; i is the index of an element within the domain; j is the total number of elements in the domain; TSti is the TS of the i-th element at the t-th analysis step; and Ai is the area of the i-th element.
The above analysis indicates that the TS of the arch rib and the Ta generally exhibit similar diurnal variation patterns, though with differences in amplitude. This phenomenon leads to discrepancies in the daily temperature extremes of the arch rib and the air. However, over the course of a year, the difference between the annual average TS of the arch rib and the annual average Ta is minimal. This may be attributed to the relatively large diameter of the chord members, where the internal concrete provided excellent insulation. Relevant studies suggested that when the concrete thickness exceeds 0.5 m, internal temperature variations become essentially stable [28]. In the case of the chord members being 0.82 m, the insulating effect on the structure is even more pronounced.

6.3. RHS

Similarly to the TS, the cross-section at the crown of the southern arch rib is selected to analyze the RHS. Figure 23 presents the time–history curves of the RHS and RHa. Both the RHS and RHa exhibit a sinusoidal diurnal variation, with lower values during the day and higher values at night. On the sunlit side, the amplitude of surface humidity variation at the top of the arch rib is greater than that at the bottom. This phenomenon is attributed to direct solar radiation on the top of the arch rib, where intense temperature fluctuations lead to significant surface humidity variations. During the daytime, the RHS of the south side is higher than that on the north side, with the difference being particularly pronounced at the top of the lower chord.
The annual average humidity is another critical parameter for characterizing atmospheric corrosion environments. To quantify the differences between the RHS and RHa over a year, Equation (9) is used to calculate the annual average RHS. The results of the RHS and RHa are plotted in Figure 24. The annual average RHS of the southern side is consistently lower than that of the northern side and also lower than the annual average RHa. This is because the southern sides of the arch ribs are exposed to sunlight for most of the year, which reduces the RHS. The lowest RHS is observed at SCS2, reaching 62.9%, which is 5.9% lower than the annual average RHa. As for the northern arch rib, except for SCN1, SCN5, and SCN6, the RHS at all other locations is higher than the RHa. The highest RHS is 78.6%, exceeding the average ambient RHa by 9.8%.
Δ R H S - A = t = 1 t max i = 1 j R H St i × A i t max × i = 1 j A i
In the equation, RHSti is the surface humidity of the i-th element at the t-th analysis step. The meanings of the other parameters are identical to those in Equation (7).

7. Atmospheric Corrosion Rate Prediction

The first-year corrosion rate is generally influenced by factors such as temperature, relative humidity, and the deposition of pollutants. The standard recommends using Equation (8) to calculate the first-year corrosion rate of steel.
r corr = 1.77 P d 0.52 exp 0.020 RH + f St + 0.102 S d 0.62 exp ( 0.033 RH + 0.040 T )
In the equation, rcorr is first-year corrosion rate of metal, expressed in micrometers per year (μm·a−1); T is the annual average temperature, expressed in degrees Celsius (°C); RH is the annual average relative humidity, expressed as a percentage (%); Pd is the annual average SO2 deposition, expressed in mmd; and Sd is the annual average cl deposition, expressed in mmd.
Most researchers commonly use relative humidity and temperature values as RHa and Ta, respectively, as these parameters are easily obtained from sensors at meteorological stations. For structures in non-industrial areas, researchers typically assume chloride ion originate from sea salt deposition. Based on relevant engineering experience, the amount of sea salt deposition is correlated with the distance from the coastline and could be determined using the following formula:
P d = 43.23 × x 0.47
In the equation, Pd is deposition of cl and x is the distance from the sea (km).
The average Ta and RHa near the bridge site are collected, and the deposition of cl is calculated using Equation (9). Based on the empirical formula recommended by the standards (Equation (9)), the first-year corrosion rate is determined to be 2.9 μm/y.
The analysis in Section 5 revealed significant differences in the annual average TS, RHS, and Sd across various locations on the arch rib. The corrosion rate of the arch rib accounting for the micro-environment could be determined using these parameters. And the results of the corrosion rate are plotted in Figure 25. When the micro-environment was uniform, that is when the corrosion prediction was based on the Ta, the RHa, and Equation (9), the corrosion rate is uniform. However, after accounting for the micro-environment, the maximum corrosion rate on the leeward side of the chord member reaches 18.5 μm/y, which is 4.4 times greater than the uniform corrosion rate.
Figure 26 illustrates the corrosion state of the engineering structure prior to its demolition. Compared to the windward side, the top of the upper chord on the leeward side of the arch rib exhibits significant corrosion. Additionally, isolated corrosion spots are observed at the junction between the gusset plate and the lower chord. The results of the corrosion rate demonstrates that the highest corrosion rate occurs at the top of the leeward-side chord, ranging from 11.9 to 18.5 μm/y. The corrosion rates at the junction between the gusset plate and the lower chord are slightly lower, ranging from 14.1 to 14.6 μm/y.
The above analysis indicated that corrosion rates ignoring the micro-environment tend to be uniform. However, in reality, atmospheric corrosion on steel bridges is often non-uniform. This non-uniform corrosion phenomenon is primarily associated with variations in the micro-environment across different locations on the steel bridge. The influence of the micro-environment should be considered to ensure an accurate assessment of environmental corrosivity.
For this bridge, the annual average TS and RHS across different parts of the arch rib does not exhibit significant differences. The primary cause of the non-uniform corrosion is the uneven deposition of deicing salts. Although many researchers recommend bridge washing after the application of de-icing salts, unfortunately, no maintenance facilities are designed for arch ribs. Therefore, it is difficult to implement washing measures for the arch ribs. The prolonged and cumulative deposition of chloride ions ultimately leads to an unfortunate situation where the bridge has to be dismantled due to severe corrosion. As shown in Figure 27, drawing from the experiences and lessons of the previous bridge, the new design incorporates convenient inspection pathways to mitigate the influence of chloride ions by regularly cleaning the new bridge.

8. Conclusions

(1)
For steel bridges, micro-environmental factors, such as pollutant deposition on the steel surface (DP), the temperature of the air nearby the steel surface (TS), and the relative humidity of the air nearby the steel surface (RHS), are the primary contributors to atmospheric corrosion rates.
(2)
Within a single day, the TS exhibits a sinusoidal variation, with higher temperatures during the day and lower temperatures at night. The concrete of the dumbbell-shaped chord effectively provides thermal insulation for the structure. Across different sections of the arch rib, the annual average TS deviates from the average ambient temperature by no more than 1.48 °C.
(3)
Both the ambient relative humidity and RHS exhibit sinusoidal variations throughout the day. The RHS remains low during the day and increases significantly at night. The annual average RHS on the illuminated side is lower than that on the shaded side, with a maximum difference of up to 15.7%.
(4)
Wind direction causes differences in pollutant deposition between the two arch ribs. The windward arch rib experiences less deicing salt deposition compared to the leeward side. Variations in the inclination angle of components also contribute to differences in deposition across different sections of the arch ribs. Areas with an inclination angle close to 0° and facing the sky tend to accumulate higher amounts of pollutants.
(5)
After considering the micro-environment, the corrosion rate becomes non-uniform and is more aligned with reality. For the case in this paper, the primary cause of the non-uniform corrosion is the uneven deposition of deicing salts. Designing accessible maintenance facilities and conducting the regular cleaning of the bridge may help alleviate the non-uniform corrosion phenomenon.
The micro-environment numerical simulation method established in this paper helps to understand the phenomenon of the non-uniform atmospheric corrosion of steel bridges from a mechanism level. Using this method, the harsh service environment of steel bridges could be predicted, which helps to find the rapid corrosion locations of steel bridges in advance during the design stage. Establishing the relationship between the micro-environment and the corrosion rate of steel is expected to provide a basis for the prediction of the non-uniform atmospheric corrosion rate of steel bridges. In addition, this method provides an analytical means for the atmospheric corrosion disease analysis of all infrastructure exposed to the atmosphere, such as transmission towers, sluice gates, signal towers, etc.

Author Contributions

Conceptualization, Z.W. and Y.L.; Software, Z.W., K.Y. and S.C.; Validation, K.Y., S.C. and G.Y.; Writing—original draft, Z.W.; Writing—review & editing, Y.L. All authors have read and agreed to the published version of the manuscript.

Funding

This research was funded by National Natural Science Foundation of China, grant number 52478126.

Data Availability Statement

All datasets are publicly available.

Conflicts of Interest

The authors declare no conflicts of interest.

References

  1. Han, X.L.; Sakairi, M. Role of Hygroscopic Chloride Salts on Corrosion Performance and Hydrogen Absorption of Steel under Cyclic Wet-dry Conditions. Corros. Sci. 2024, 231, 111993. [Google Scholar] [CrossRef]
  2. Morcillo, M.; Chico, B.; Díaz, I.; Cano, H.; Fuente, D.L. Atmospheric Corrosion Data of Weathering Steels. A review. Corros. Sci. 2013, 77, 6–24. [Google Scholar] [CrossRef]
  3. Guo, L.; Li, J.; Jia, C.; Elchalakani, M. Axial Compression Behavior of Slender Concrete-filled Steel Tubes with Machining Defects Representing Local Corrosion. Eng. Struct. 2023, 86, 116091. [Google Scholar] [CrossRef]
  4. Han, L.H.; Hua, Y.X.; Hou, C.; Wang, Q.L. Circular Concrete-filled Steel Tubes Subjected to Coupled Tension and Chloride Corrosion. Eng. Struct. 2017, 143, 04017134. [Google Scholar] [CrossRef]
  5. Nishikata, A.; Zhu, Q.J.; Tada, E. Long-term Monitoring of Atmospheric Corrosion at Weathering Steel Bridges by an Electrochemical Impedance Method. Corros. Sci. 2014, 87, 80–88. [Google Scholar] [CrossRef]
  6. Shimozato, T.; Murakoshi, J.; Tamaki, Y. Monitoring of Deformation of Steel Bridges That Tollapsed Due to Corrosion Deterioration. Tech. Civ. Eng. Data 2011, 53, 14–17. [Google Scholar]
  7. Liu, Y.J.; Chen, S.; Wang, Z. Atmospheric Corrosion Micro-environment and Longevity Genes of Steel Bridges. J. Archit. Civ. Eng. 2023, 40, 1–19. [Google Scholar]
  8. Lichtenstein, A.G. The Silver Bridge Collapse Recounted. J. Perform. Constr. Facil. 1993, 7, 249–261. [Google Scholar] [CrossRef]
  9. Ahn, J.H.; Choi, W.R.; Jeon, S.K.; Kim, S.H.; Kim, I.T. Residual Compressive Strength of Inclined Steel Tubular Members with Local Corrosion. Appl. Ocean Res. 2016, 59, 489–509. [Google Scholar] [CrossRef]
  10. Kainuma, S.; Jeong, Y.S.; Ahn, J.H. Investigation on the Stress Concentration Effect at the Corroded Surface Achieved by Atmospheric Exposure Test. Mater. Sci. Eng. A 2014, 602, 89–97. [Google Scholar] [CrossRef]
  11. Wang, H.J.; Zhang, Z.W.; Qian, H.L.; Liu, Y.L.; Hu, N.; Fan, F. Galvanic Corrosion Induced Localized Defects and Resulting Strength Reduction of Circular Steel Tubes under Axial Compression: An Experimental Study. Thin-Wall Struct. 2020, 154, 106881. [Google Scholar] [CrossRef]
  12. Zhi, Y.J.; Fu, D.M.; Zhang, D.W. Prediction and Knowledge Mining of Outdoor Atmospheric Corrosion Rates of Low Alloy Steels Based on the Random Forests Approach. Metals 2019, 9, 383. [Google Scholar] [CrossRef]
  13. Hao, W.K.; Xu, L.L.; Chen, X. Classification and Spatial Mapping of Atmospheric Corrosion of China. npj Mater. Degrad. 2022, 6, 23–31. [Google Scholar] [CrossRef]
  14. Kim, Y.S.; Lim, H.K.; Kim, J.J. Corrosivity of Atmospheres in the Korean Peninsula. Corros. Sci. Technol. 2011, 10, 109–117. [Google Scholar]
  15. Jin, Y.H.; Ha, M.G.; Jeon, S.H. Evaluation of Corrosion Conditions for the Steel Box Members by Corrosion Monitoring Exposure Test. Constr. Build. Mater. 2020, 258, 120195. [Google Scholar] [CrossRef]
  16. Ahn, J.H.; Kim, I.T.; Kainuma, S. Residual Shear Strength of Steel Plate Girder Due to Web Local Corrosion. J. Constr. Steel Res. 2013, 89, 198–212. [Google Scholar] [CrossRef]
  17. Ha, M.G.; Heo, C.J.; Ahn, J.H. Correlation Evaluation of Time of Wetness and Mean Corrosion Depth Depending on Corrosive Environment. J. Korean Soc. Steel Constr. 2022, 34, 119–127. [Google Scholar] [CrossRef]
  18. Ha, M.G.; Jeon, S.H.; Jeong, Y.S. Corrosion Environment Monitoring of Local Structural Members of a Steel Truss Bridge under a Marine Environment. Int. J. Steel Struct. 2021, 21, 167–177. [Google Scholar] [CrossRef]
  19. Liu, Y.J.; Liu, J.; Zhang, N. A Review of Research on Sunshine Temperature Effect on Bridge Structures. J. Civ. Eng. 2019, 52, 59–78. [Google Scholar]
  20. Gong, B.X.; Feng, L.J.; Liu, J.; Wang, Z.; Liu, Y.J. Finite-element Analysis of Temperature Field and Effect on Steel-concrete Composite Pylon of Cable-stayed Bridge Without Backstays. Buildings 2024, 14, 1731. [Google Scholar] [CrossRef]
  21. Chen, S.; Liu, Y.J.; Wang, Z.; Hao, X.Y. Calculation Methods for Boundary Conditions of Relative Humidity on Steel Bridge Surface. J. Archit. Civ. Eng. 2024, 41, 85–95. [Google Scholar]
  22. Noguchi, K. Prediction of Salt Content on Bridge Surfaces by Location and Application of Advanced Maintenance Technology. Ph.D. Thesis, Kyoto University, Kyoto, Japan, 2017. [Google Scholar]
  23. Blomqvist, G.; Johansson, E. Airborne Spreading and Deposition of Deicing Salt a Case Study. Sci. Total Environ. 1999, 235, 161–168. [Google Scholar] [CrossRef]
  24. Liu, Z.Y. Study on the Transport Behavior of Polluted Particles in the Neighborhood of Double Layer Steel Truss Road-Rail Bridge. Master’s Thesis, Chang’an University, Xi’an, China, 2023. [Google Scholar]
  25. You, C.H.; Kim, S.; Kim, H.K. Cause Investigation of High-mode Vortex-induced vibration in a long-span suspension bridge. Struct. Infrastruct. Eng. 2020, 16, 84–93. [Google Scholar]
  26. Aytekin, D. Numerical and Experimental Investigation of Vortex Formation Modes on a Freely Vibrating Circular Cylinder at High Reynolds Numbers. Appl. Ocean Res. 2024, 114, 103909. [Google Scholar]
  27. Aytekin, D.; Onur, U.; Omer, K.K. Systematic Investigation of the Tip Effects on Vortex-induced Vibrations for Circular Cylinders. Ocean Eng. 2021, 239, 109829. [Google Scholar]
  28. Liu, Y.J.; Liu, J. Review of Temperature Action and Effect of Steel-concrete Composite Girder Bridge. J. Traffic Transp. Eng. 2020, 20, 42–59. [Google Scholar]
Figure 1. Micro-environment of arch ribs, including classification of micro-environments for arch ribs (a) and non-uniform corrosion of the arch ribs (b).
Figure 1. Micro-environment of arch ribs, including classification of micro-environments for arch ribs (a) and non-uniform corrosion of the arch ribs (b).
Buildings 15 00422 g001
Figure 2. Pollutants deposition on steel surface.
Figure 2. Pollutants deposition on steel surface.
Buildings 15 00422 g002
Figure 3. Relationship between temperature and relative humidity of air.
Figure 3. Relationship between temperature and relative humidity of air.
Buildings 15 00422 g003
Figure 4. The effect of the RHS on corrosion rate.
Figure 4. The effect of the RHS on corrosion rate.
Buildings 15 00422 g004
Figure 5. Validation model of DP.
Figure 5. Validation model of DP.
Buildings 15 00422 g005
Figure 6. Validation model of DP.
Figure 6. Validation model of DP.
Buildings 15 00422 g006
Figure 7. Validation for simulation model of Ts and RHs.
Figure 7. Validation for simulation model of Ts and RHs.
Buildings 15 00422 g007
Figure 8. Validation for simulation method of Ts and RHs.
Figure 8. Validation for simulation method of Ts and RHs.
Buildings 15 00422 g008
Figure 9. Position of the CFST arch bridge.
Figure 9. Position of the CFST arch bridge.
Buildings 15 00422 g009
Figure 10. Elevation diagram of the CFST bridge.
Figure 10. Elevation diagram of the CFST bridge.
Buildings 15 00422 g010
Figure 11. CFD model of the CFST bridge.
Figure 11. CFD model of the CFST bridge.
Buildings 15 00422 g011
Figure 12. Grid independence analysis.
Figure 12. Grid independence analysis.
Buildings 15 00422 g012
Figure 13. Boundary conditions of the CFD model.
Figure 13. Boundary conditions of the CFD model.
Buildings 15 00422 g013
Figure 14. Model of RHS and TS.
Figure 14. Model of RHS and TS.
Buildings 15 00422 g014
Figure 15. Mesh size independence analysis.
Figure 15. Mesh size independence analysis.
Buildings 15 00422 g015
Figure 16. Meteorological data, including wind speed (a), solar radiation (b), relative humidity (c), ambient temperature, and sky temperature (d).
Figure 16. Meteorological data, including wind speed (a), solar radiation (b), relative humidity (c), ambient temperature, and sky temperature (d).
Buildings 15 00422 g016aBuildings 15 00422 g016b
Figure 17. The motion of deicing salt particles around the arch ribs, including: simulation time = 4 s (a); simulation time = 6 s (b); simulation time = 8 s (c); simulation time = 10 s (d).
Figure 17. The motion of deicing salt particles around the arch ribs, including: simulation time = 4 s (a); simulation time = 6 s (b); simulation time = 8 s (c); simulation time = 10 s (d).
Buildings 15 00422 g017
Figure 18. The motion of deicing salt particles around the arch ribs.
Figure 18. The motion of deicing salt particles around the arch ribs.
Buildings 15 00422 g018
Figure 19. Partitions of the arch ribs.
Figure 19. Partitions of the arch ribs.
Buildings 15 00422 g019
Figure 20. Air flow around the arch ribs.
Figure 20. Air flow around the arch ribs.
Buildings 15 00422 g020
Figure 21. Ta and TS on 1–2 August.
Figure 21. Ta and TS on 1–2 August.
Buildings 15 00422 g021
Figure 22. Annually average Ta and Ts.
Figure 22. Annually average Ta and Ts.
Buildings 15 00422 g022
Figure 23. RHa and RHS on 1–2 August.
Figure 23. RHa and RHS on 1–2 August.
Buildings 15 00422 g023
Figure 24. Annually average RHa and RHs.
Figure 24. Annually average RHa and RHs.
Buildings 15 00422 g024
Figure 25. Corrosion rates of the arch ribs.
Figure 25. Corrosion rates of the arch ribs.
Buildings 15 00422 g025
Figure 26. Appearance of the arch ribs.
Figure 26. Appearance of the arch ribs.
Buildings 15 00422 g026
Figure 27. Comparison between the new bridge and the old bridge.
Figure 27. Comparison between the new bridge and the old bridge.
Buildings 15 00422 g027
Table 1. Thermal parameter.
Table 1. Thermal parameter.
PropertyUnitSteelAirConcrete
Density (20 °C)kg∙m−378501.2052500
Specific heatJ/(kg·°C)4601005970
Thermal conductivityW/(m·°C)520.0262.5
Absorptivity/0.80//
Long-wave radiation coefficient/0.85//
Table 2. Deposition rate of chloride ions.
Table 2. Deposition rate of chloride ions.
PositionDeposition (Mdd)PositionDeposition (Mdd)
NCN13.872 × 101SCN12.500 × 101
NCN21.970 × 101SCN21.871 × 101
NCN36.238 × 10−2SCN33.829 × 10−1
NWN3.025 × 100NWN6.400 × 100
NCN42.332 × 101SCN42.813 × 101
NCN52.486 × 10−3SCN51.591 × 10−1
NCN61.500 × 10−6SCN69.943 × 10−3
NCS14.429 × 101SCS11.916 × 101
NCS22.885 × 101SCS21.056 × 101
NCS39.185 × 10−1SCS31.091 × 100
NWS4.5117 × 100NWS1.665 × 100
NCS42.990 × 101SCS43.143 × 101
NCS51.983 × 100SCS58.650 × 10−1
NCS65.468 × 10−2SCS61.193 × 10−1
Disclaimer/Publisher’s Note: The statements, opinions and data contained in all publications are solely those of the individual author(s) and contributor(s) and not of MDPI and/or the editor(s). MDPI and/or the editor(s) disclaim responsibility for any injury to people or property resulting from any ideas, methods, instructions or products referred to in the content.

Share and Cite

MDPI and ACS Style

Wang, Z.; Liu, Y.; Ye, K.; Chen, S.; Yang, G. Mechanistic Understanding of the Non-Uniform Corrosion of Steel Bridges: From the Perspective of Micro-Environments. Buildings 2025, 15, 422. https://doi.org/10.3390/buildings15030422

AMA Style

Wang Z, Liu Y, Ye K, Chen S, Yang G. Mechanistic Understanding of the Non-Uniform Corrosion of Steel Bridges: From the Perspective of Micro-Environments. Buildings. 2025; 15(3):422. https://doi.org/10.3390/buildings15030422

Chicago/Turabian Style

Wang, Zhuang, Yongjian Liu, Kecheng Ye, Sha Chen, and Guang Yang. 2025. "Mechanistic Understanding of the Non-Uniform Corrosion of Steel Bridges: From the Perspective of Micro-Environments" Buildings 15, no. 3: 422. https://doi.org/10.3390/buildings15030422

APA Style

Wang, Z., Liu, Y., Ye, K., Chen, S., & Yang, G. (2025). Mechanistic Understanding of the Non-Uniform Corrosion of Steel Bridges: From the Perspective of Micro-Environments. Buildings, 15(3), 422. https://doi.org/10.3390/buildings15030422

Note that from the first issue of 2016, this journal uses article numbers instead of page numbers. See further details here.

Article Metrics

Back to TopTop