Determining the Optimal FRP Mesh–ECC Retrofit Scheme for Corroded RC Structures: A Novel Multi-Dimensional Assessment Framework
Abstract
1. Introduction
2. Decision-Making Optimization Framework
- ➢
- Annual collapse probability (λCollapse): quantifies structural failure risk under earthquakes and serves as the core measure of seismic safety.
- ➢
- Expected annual loss (EAL): evaluates direct and indirect economic losses over the life cycle and represents economic performance.
- ➢
- Capital expenditure (CapEx): reflects financial investment during implementation and indicates static economic cost.
- ➢
- Carbon emissions (Cem): measure the carbon footprint of material production, transportation, and construction, highlighting environmental impact and alignment with low-carbon goals.
- ➢
- Annual downtime (Tdown): includes both construction and earthquake-induced interruptions, reflecting resilience and functional recovery capacity.
3. Case Study Building and Retrofitting Schemes
3.1. Structural Information
3.2. Finite Element Model and Validation
3.2.1. Finite Element Model
3.2.2. Models for Deterioration of Materials
3.2.3. Model Validation
3.3. Retrofitting Schemes
- ➢
- Scheme 1 (SCS-1): Beam and column ends are uniformly retrofitted with a 20 mm ECC layer and two layers of FRP mesh.
- ➢
- Scheme 2 (SCS-2): Beam and column ends are uniformly retrofitted with a 40 mm ECC layer and four layers of FRP mesh.
- ➢
- Scheme 3 (SCS-3): Beam and column ends of the lower three stories are retrofitted with 40 mm ECC and four FRP mesh layers, while the upper three stories are retrofitted with 20 mm ECC and two FRP mesh layers.
- ➢
- Scheme 4 (SCS-4): Column ends are retrofitted with 40 mm ECC and four FRP mesh layers, while beam ends are retrofitted with 20 mm ECC and two FRP mesh layers.
- ➢
- Scheme 5 (SCS-5): Beam and column ends of the lower three stories are retrofitted with 20 mm ECC and two FRP mesh layers, while the upper three stories are repaired by replacing the cover concrete with cement mortar.
- ➢
- Scheme 6 (SCS-6): Beam and column ends of the lower three stories are retrofitted with 40 mm ECC and four FRP mesh layers, while the upper three stories are repaired by replacing the cover concrete with cement mortar.
- ➢
- Scheme 7 (SCS-7): Column ends are retrofitted with 20 mm ECC and two FRP mesh layers, while beam ends are repaired by replacing the cover concrete with cement mortar.
- ➢
- Scheme 8 (SCS-8): Column ends are retrofitted with 40 mm ECC and four FRP mesh layers, while beam ends are repaired by replacing the cover concrete with cement mortar.
4. Models for Decision Indicators
4.1. Annual Collapse Probability λCollapse
4.2. Expected Annual Loss EAL
4.3. Capital Expenditure CapEx
4.4. Carbon Emissions Cem
4.5. Annual Downtime Tdown
5. Results and Discussion
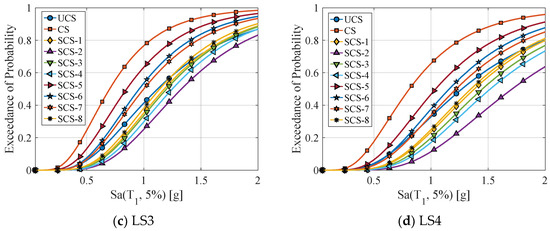
5.1. Annual Collapse Probability Analysis
5.2. Expected Annual Loss Analysis
5.3. Capital Expenditure Analysis
5.4. Carbon Emission Analysis
5.5. Downtime Analysis
5.6. Multi-Objective Scheme Optimization and Decision-Making
5.6.1. Multi-Objective Scheme Optimization
5.6.2. Sensitivity Analysis Considering Interval Weight Uncertainty
6. Conclusions
Author Contributions
Funding
Data Availability Statement
Acknowledgments
Conflicts of Interest
References
- Apostolopoulos, C.A.; Demis, S.; Papadakis, V.G. Chloride-induced corrosion of steel reinforcement—Mechanical performance and pit depth analysis. Constr. Build. Mater. 2013, 38, 139–146. [Google Scholar] [CrossRef]
- Du, Y.; Clark, L.; Chan, A. Impact of reinforcement corrosion on ductile behavior of reinforced concrete beams. ACI Struct. J. 2007, 104, 285–293. [Google Scholar] [CrossRef]
- Ou, Y.-C.; Susanto, Y.T.T.; Roh, H. Tensile behavior of naturally and artificially corroded steel bars. Constr. Build. Mater. 2016, 103, 93–104. [Google Scholar] [CrossRef]
- Kashani, M.M.; Lowes, L.N.; Crewe, A.J.; Alexander, N.A. Phenomenological hysteretic model for corroded reinforcing bars including inelastic buckling and low-cycle fatigue degradation. Comput. Struct. 2015, 156, 58–71. [Google Scholar] [CrossRef]
- Fu, X.; Chung, D.D.L. Effect of corrosion on the bond between concrete and steel rebar. Cem. Concr. Res. 1997, 27, 1811–1815. [Google Scholar] [CrossRef]
- Bhargava, K.; Ghosh, A.K.; Mori, Y.; Ramanujam, S. Corrosion-induced bond strength degradation in reinforced concrete—Analytical and empirical models. Nucl. Eng. Des. 2007, 237, 1140–1157. [Google Scholar] [CrossRef]
- Dai, K.; Yu, X.; Jiang, Z.; Wang, D.; Qian, K. Hysteretic model for corroded reinforced concrete columns retrofitted with FRP. Constr. Build. Mater. 2023, 380, 131207. [Google Scholar] [CrossRef]
- Yalciner, H.; Sensoy, S.; Eren, O. Seismic Performance Assessment of a Corroded 50-Year-Old Reinforced Concrete Building. J. Struct. Eng. 2015, 141, 05015001. [Google Scholar] [CrossRef]
- Yu, X.-H.; Dai, K.-Y.; Li Y-S. Variability in corrosion damage models and its effect on seismic collapse fragility of aging reinforced concrete frames. Constr. Build. Mater. 2021, 295, 123654. [Google Scholar] [CrossRef]
- Liu, J.; Zeng, Z.; Sun, J.; Zhou, C. Studies on the RC Beam Strengthened by Using the Exterior-Wrapping U-Shaped Steel Plate and Its Application. Adv. Civ. Eng. 2019, 2019, 2396764. [Google Scholar] [CrossRef]
- Nagaprasad, P.; Sahoo, D.R.; Rai, D.C. Seismic strengthening of RC columns using external steel cage. Earthq. Eng. Struct. Dyn. 2009, 38, 1563–1586. [Google Scholar] [CrossRef]
- Meda, A.; Mostosi, S.; Rinaldi, Z.; Riva, P. Corroded RC columns repair and strengthening with high performance fiber reinforced concrete jacket. Mater. Struct. 2016, 49, 1967–1978. [Google Scholar] [CrossRef]
- Dai, K.-Y.; Yu, X.-H.; Qian, K.; Wang, D.-Y. Deformation capacity of FRP retrofitted reinforced concrete columns with corroded reinforcing bars. Eng. Struct. 2022, 254, 113834. [Google Scholar] [CrossRef]
- Wang, W.; Li, L.; Chen, J.; Dai, K. Experimental and analytical study on flexural behavior of corroded RC beams strengthened with CFRP rods and UHPC. Eng. Struct. 2025, 323, 119299. [Google Scholar] [CrossRef]
- Li, V.; Wang, S.X. Flexural Behaviors of glass fiber-reinforced polymer (GFRP) reinforced engineered cementitious composite beams. ACI Mater. J. 2002, 99, 11–21. [Google Scholar] [CrossRef] [PubMed]
- Xu, S.L.; Li, Q.H.; Li, H.D. Experimental study on flexural behavior of carbon textile-reinforced ultra high toughness cementitious composites. China Civ. Eng. J. 2007, 40, 69–76. (In Chinese) [Google Scholar]
- Kobayashi, K.; Rokugo, K. Mechanical performance of corroded RC member repaired by HPFRCC patching. Constr. Build. Mater. 2013, 39, 139–147. [Google Scholar] [CrossRef]
- Triantafyllou, G.G.; Rousakis, T.C.; Karabinis, A.I. Effect of patch repair and strengthening with EBR and NSM CFRP laminates for RC beams with low, medium and heavy corrosion. Compos. Part B Eng. 2018, 133, 101–111. [Google Scholar] [CrossRef]
- Jiang, J.F.; Sui, K. Experimental study on compressive behavior of concrete cylinders strengthened with textile-reinforced ultra-high toughness cementitious composites. Acta Mater. Compos. Sin. 2019, 36, 1957–1967. (In Chinese) [Google Scholar]
- Hu, B.; Zhou, Y.; Xing, F.; Sui, L.; Luo, M. Experimental and theoretical investigation on the hybrid CFRP-ECC flexural strengthening of RC beams with corroded longitudinal reinforcement. Eng. Struct. 2019, 200, 109717. [Google Scholar] [CrossRef]
- Zhou, Y.; Wang, X.; Hu, B.; Sui, L.; Yuan, F. Seismic Retrofit of Nonuniformly Corroded Coastal Bridge Piers with FRP and Engineered Cementitious Composite Overlays. J. Compos. Constr. 2023, 27, 04022088. [Google Scholar] [CrossRef]
- Zeng, J.-J.; Liang, Q.-J.; Cai, W.-J.; Liao, J.; Zhou, J.-K.; Zhu, J.-Y.; Zhang, L. Strengthening RC square columns with UHP-ECC section curvilinearization and FRP confinement: Concept and axial compression tests. Eng. Struct. 2023, 280, 115666. [Google Scholar] [CrossRef]
- Bi, K. Study on Seismic Behavior of Corroded Non-Ductile Reinforced Concrete Columns Strengthened with FRP Grid-ECC. Master’s Thesis, Zhengzhou University, Zhengzhou, China, 2024. [Google Scholar]
- Omidian, P.; Khaji, N. A multi-objective optimization framework for seismic resilience enhancement of typical existing RC buildings. J. Build. Eng. 2022, 52, 104361. [Google Scholar] [CrossRef]
- Dai, K.; Bi, K.; Song, G.; Jiang, Z.; Yu, X. Evaluating the Seismic Risk of FRP Retrofitting Schemes for Corroded RC Frame Structures Based on Benefit-Cost Assessment. Earthq. Eng. Resil. 2025, 4, 97–115. [Google Scholar] [CrossRef]
- Choi, S.W.; Kim, Y.; Park, H.S. Multi-objective seismic retrofit method for using FRP jackets in shear-critical reinforced concrete frames. Compos. Part B Eng. 2014, 56, 207–216. [Google Scholar] [CrossRef]
- Razmara Shooli, A.; Vosoughi, A.R.; Banan, M.R. A mixed GA-PSO-based approach for performance-based design optimization of 2D reinforced concrete special moment-resisting frames. Appl. Soft Comput. 2019, 85, 105843. [Google Scholar] [CrossRef]
- Warda, M.A.; Ahmad, S.S.E.; Mahdi, I.M.; Sallam, H.E.D.M.; Khalil, H.S. The Applicability of TOPSIS- and Fuzzy TOPSIS-Based Taguchi Optimization Approaches in Obtaining Optimal Fiber-Reinforced Concrete Mix Proportions. Buildings 2022, 12, 796. [Google Scholar] [CrossRef]
- Guo, M.; Huang, H.; Xue, C.; Huang, M. Assessment of fuzzy global seismic vulnerability for RC structures. J. Build. Eng. 2022, 57, 104952. [Google Scholar] [CrossRef]
- GB50011-2010; Code for Seismic Design of Buildings. China Architecture & Building Press: Beijing, China, 2010. (In Chinese)
- GB 50010-2010; Code for Design of Concrete Structures. China Architecture & Building Press: Beijing, China, 2010. (In Chinese)
- Du, Y.G.; Clark, L.A.; Chan, A.H.C. Residual capacity of corroded reinforcing bars. Mag. Concr. Res. 2005, 57, 135–147. [Google Scholar] [CrossRef]
- Coronelli, D.; Gambarova, P. Structural Assessment of Corroded Reinforced Concrete Beams: Modeling Guidelines. J. Struct. Eng. 2004, 130, 1214–1224. [Google Scholar] [CrossRef]
- Yu, B.; Qin, C.H.; Tao, B.X. Experimental study and constitutive model of corroded stirrup-confined concrete under uniaxial compression. J. Disaster Prev. Mitig. Eng. 2021, 41, 511–519+548. (In Chinese) [Google Scholar]
- Li, Y. Confinement Model and Axial Compression/Seismic Performance Study of Damaged Concrete Columns Strengthened with Textile-Reinforced Concrete (TRC). Doctoral Dissertation, China University of Mining and Technology, Xuzhou, China, 2022. [Google Scholar]
- Lowes, L.N.; Mitra, N.; Altoontash, A. A Beam–Column Joint Model for Simulating the Earthquake Response of Reinforced Concrete Frames; PEER Report 2003/10; University of California: Berkeley, CA, USA, 2004. [Google Scholar]
- fib. fib Model Code for Concrete Structures 2010; John Wiley & Sons: Hoboken, NJ, USA, 2013. [Google Scholar]
- Dai, K.-Y.; Lu, D.-G.; Yu, X.-H. Experimental investigation on the seismic performance of corroded reinforced concrete columns designed with low and high axial load ratios. J. Build. Eng. 2021, 44, 102615. [Google Scholar] [CrossRef]
- Cao, X.; Wang, W.; Tan, X.; Zhang, Y. Seismic behaviour of pre-damaged RC columns strengthened with CFRP grid/sprayed ECC jackets subjected to horizontal reversed cyclic loading and constant axial force. Case Stud. Constr. Mater. 2024, 20, e02948. [Google Scholar] [CrossRef]
- Wang, D.Y. Seismic Analysis and Concept Design of Non-Ductile RC Frames Retrofitted by CFRP. Ph.D. Thesis, Harbin Institute of Technology, Harbin, China, 2011. (In Chinese). [Google Scholar]
- DG/TJ 08-2415-2022; Technical Standard for Masonry Structures Strengthened with High Ductility Fiber Reinforced Cementitious Composites. Shanghai Housing and Urban-Rural Development Management Commission: Shanghai, China, 2022.
- T/CECS 146-2022; Technical Specification for Carbon Fiber Reinforced Polymer Composites for Strengthening Concrete Structures. China Architecture & Building Press: Beijing, China, 2022.
- Cornell, C.A. Engineering Seismic Risk Analysis. Bull. Seismol. Soc. Am. 1968, 58, 1583–1606. [Google Scholar] [CrossRef]
- Bradley, B.A.; Dhakal, R.P.; Cubrinovski, M.; Mander, J.B.; MacRae, G.A. Improved seismic hazard model with application to probabilistic seismic demand analysis. Earthq. Eng. Struct. Dyn. 2007, 36, 2211–2225. [Google Scholar] [CrossRef]
- Dai, K.-Y.; Yu, X.-H.; Lu, D.-G.; Qian, K. Fragility functions for corroded reinforced concrete columns. J. Build. Eng. 2024, 82, 108124. [Google Scholar] [CrossRef]
- Dai, K.Y. Seismic Performance and Fragility Analysis of Corroded Reinforced Concrete Columns and Frame Structures. Ph.D. Thesis, Harbin Institute of Technology, Harbin, China, 2021. (In Chinese). [Google Scholar]
- Medina, R.A. Seismic Demands for Nondeteriorating Frame Structures and Their Dependence on Ground Motions. ProQuest Dissertations & Theses, Stanford University, Stanford, CA, USA, 2003. [Google Scholar]
- Dai, K.Y.; Yu, X.H.; Li, Y.S.; Lu, D.G. Seismic Fragility Analysis of Reinforced Concrete Structures Considering Reinforcement Corrosion. J. Build. Struct. 2022, 43, 20–31. (In Chinese) [Google Scholar] [CrossRef]
- Baker, J.W. Efficient analytical fragility function fitting using dynamic structural analysis. Earthq. Spectra 2015, 31, 579–599. [Google Scholar] [CrossRef]
- Cornell, C.A. Risk-based stutural design. In Proceedings of Symposium on Risk Analysis; Nowak, A., Ed.; Department of Civil Engineering, University of Michigan: Ann Arbor, MI, USA, 1994; pp. 37–48. [Google Scholar]
- Chen, H.F. Research on Evaluation Method for Earthquake-Induced Loss of Urban Building Decoration. Doctoral Dissertation, Institute of Engineering Mechanics, China Earthquake Administration, Harbin, China, 2008. [Google Scholar]
- GB/T 24335-2009; Classification of Earthquake Damage to Buildings and Special Structures. China Standards Press: Beijing, China, 2009. (In Chinese)
- GB/T 18208.4-2011; Post-Earthquake Field Works-Part 4: Assessment of Direct Los. China Standards Press: Beijing, China, 2011. (In Chinese)
- Federal Emergency Management Agency (FEMA)-National Institute of Building Sciences (NIBS). Earthquake Loss Estimation Methodology—HAZUS97; Technical Manual; Federal Emergency Management Agency: Washington, DC, USA, 1997. [Google Scholar]
- Wu, W.Y.; Wu, B.Y.; Li, J.Q. Research on Urban Seismic Disaster Risk Analysis Model; Beijing Institute of Technology Press: Beijing, China, 2012. [Google Scholar]
- Xie, L.L.; Ma, Y.H.; Zhai, C.H. Performance-Based Seismic Fortification and Design Ground Motion; Science Press: Beijing, China, 2009. [Google Scholar]
- GB/T 27932-2011; Assessment Methods for Indirect Economic Loss Due to Earthquake. China Standard Press: Beijing, China, 2011.
- Sichuan Provincial Department of Construction. Valuation Norm for Seismic Retrofitting of Building Works in Sichuan Province; China Planning Press: Beijing, China, 2008. [Google Scholar]
- Wu, X.B.; Chen, P.; Gao, F. Research on optimization method of seismic strengthening scheme for masonry structures based on strengthening cost-effectiveness ratio. Eng. Mech. 2022, 39, 167–176. (In Chinese) [Google Scholar]
- GB/T 51366-2019; Standard for Building Carbon Emission Calculation. China Architecture & Building Press: Beijing, China, 2019.
- CEN. EN 15804:2012+A2:2019; Sustainability of Construction Works—Environmental Product Declarations—Core Rules for the Product Category of Construction Products. European Committee for Standardization: Brussels, Belgium, 2019.
- Liu, T.; Tang, J.-T.; Zhang, S.; Dong, L.; Hu, L.; Meng, X.; Zhao, Y.; Feng, P. Carbon emissions of durable FRP composite structures in civil engineering. Eng. Struct. 2024, 315, 118482. [Google Scholar] [CrossRef]
- IPCC. 2006 IPCC Guidelines for National Greenhouse Gas Inventories, Emission Factor Database (EFDB). Intergovernmental Panel on Climate Change, Institute for Global Environmental Strategies (IGES). Available online: https://www.ipcc-nggip.iges.or.jp/EFDB/find_ef.php?ipcc_code=2.A&ipcc_level=1 (accessed on 15 August 2025).
- DEFRA. UK Government GHG Conversion Factors for Company Reporting: 2024 (Conversion Factors—Condensed Set); Department for Environment, Food & Rural Affairs: London, UK, 2024. [Google Scholar]
- Applied Technology Council. Seismic Performance Assessment of Buildings Volume 1—Methodology(FEMA P-58-1) (Vol. 1); Federal Emergency Management Agency: Washington, DC, USA, 2012. [Google Scholar]















| Structures | Limit States | |||
|---|---|---|---|---|
| LS1 (10−4) | LS2 (10−4) | LS3 (10−5) | LS4 (10−5) | |
| UCS | 3.82 | 1.61 | 3.17 | 2.61 |
| CS | 6.51 | 2.96 | 7.14 | 5.75 |
| SCS-1 | 2.97 | 1.19 | 2.51 | 1.91 |
| SCS-2 | 2.27 | 0.92 | 1.99 | 1.29 |
| SCS-3 | 2.76 | 1.11 | 2.42 | 1.73 |
| SCS-4 | 2.57 | 1.02 | 2.21 | 1.59 |
| SCS-5 | 5.34 | 2.20 | 4.88 | 3.40 |
| SCS-6 | 4.15 | 1.81 | 3.78 | 2.74 |
| SCS-7 | 4.03 | 1.71 | 3.54 | 2.51 |
| SCS-8 | 3.06 | 1.23 | 2.68 | 1.99 |
Disclaimer/Publisher’s Note: The statements, opinions and data contained in all publications are solely those of the individual author(s) and contributor(s) and not of MDPI and/or the editor(s). MDPI and/or the editor(s) disclaim responsibility for any injury to people or property resulting from any ideas, methods, instructions or products referred to in the content. |
© 2025 by the authors. Licensee MDPI, Basel, Switzerland. This article is an open access article distributed under the terms and conditions of the Creative Commons Attribution (CC BY) license (https://creativecommons.org/licenses/by/4.0/).
Share and Cite
Wang, Y.; Wang, P.; Wan, D.-B.; Zhang, B.; Li, Y.-H.; Huo, H.; Yu, Z.-Y.; Qu, Y.-W.; Dai, K.-Y. Determining the Optimal FRP Mesh–ECC Retrofit Scheme for Corroded RC Structures: A Novel Multi-Dimensional Assessment Framework. Buildings 2025, 15, 3823. https://doi.org/10.3390/buildings15213823
Wang Y, Wang P, Wan D-B, Zhang B, Li Y-H, Huo H, Yu Z-Y, Qu Y-W, Dai K-Y. Determining the Optimal FRP Mesh–ECC Retrofit Scheme for Corroded RC Structures: A Novel Multi-Dimensional Assessment Framework. Buildings. 2025; 15(21):3823. https://doi.org/10.3390/buildings15213823
Chicago/Turabian StyleWang, Yang, Pin Wang, Dong-Bo Wan, Bo Zhang, Yi-Heng Li, Hao Huo, Zhen-Yun Yu, Yi-Wen Qu, and Kuang-Yu Dai. 2025. "Determining the Optimal FRP Mesh–ECC Retrofit Scheme for Corroded RC Structures: A Novel Multi-Dimensional Assessment Framework" Buildings 15, no. 21: 3823. https://doi.org/10.3390/buildings15213823
APA StyleWang, Y., Wang, P., Wan, D.-B., Zhang, B., Li, Y.-H., Huo, H., Yu, Z.-Y., Qu, Y.-W., & Dai, K.-Y. (2025). Determining the Optimal FRP Mesh–ECC Retrofit Scheme for Corroded RC Structures: A Novel Multi-Dimensional Assessment Framework. Buildings, 15(21), 3823. https://doi.org/10.3390/buildings15213823

