Abstract
To investigate the thermal effects of solar radiation on annular steel structures with non-uniform spans, this study implemented a methodology combining numerical simulation and monitoring. Electronic strain gauges and temperature monitoring points were installed at mid-span of three lifting segments (TS1–3) of “Sky Hall” project to simultaneously record thermal stress and temperature data. The data of temperature was imported into Midas-GEN, where structural thermal stresses were computationally generated through a simplified non-uniform temperature field model. Comparatively analysis showed the following: (1) Thermal stress shows a strong linear correlation with temperature increase, with a Pearson correlation coefficient of r = 0.989; (2) Constraint intensity is a critical factor affecting the magnitude of thermal stress in annular structures—TS3 with lower constraint density exhibits better deformation compatibility, leading to effective stress dissipation (stress increase of 6 MPa per 1 °C rise), while TS1 under strong constraint conditions shows limited deformation capacity, resulting in significantly intensified stress concentration (with 18 MPa increase per 1 °C rise); (3) The variation trends of simulation and monitoring results are highly consistent, though significant deviations exist in some members (the peak monitored stress was 2.31 times the simulated value) due to factors such as structural geometry, material properties, member dimensions, constraint conditions, and the simplified non-uniform temperature field model; (4) According to the most unfavorable combination specified in the Standard for Design of Steel Structures (GB 50017-2017), the design stress value is 203.5 MPa, which is quite less than the yield stress, thus meeting the safety requirement.
1. Introduction
In response to growing public demand, long-span spatial structures have been evolving toward lighter weight, more complex forms, and more esthetically pleasing designs, while also imposing greater construction challenges. With continual increases in the spans of steel structures, increasingly complex designs, and advances in construction techniques, deformation control during construction—complicated by various constraints—has become a significant issue. Consequently, the thermal effects on large-span steel structures have become critical consideration in structural design.
Numerous numerical simulations and structural health monitoring studies have been conducted domestically and internationally to investigate the thermal effects in large-span spatial steel structures. Han et al. [1] demonstrated that non-uniform temperature distribution in construction-stage steel structures intensifies under component shading conditions, creating heterogeneous thermal gradients. Fan et al. [2] revealed through support stiffness variations that reduced constraint rigidity decreases maximum axial stresses in steel truss elements by enhancing deformation compatibility. Addressing computational challenges, Zhou et al. [3] introduced a novel framework for simulating spatiotemporal temperature fields in large-span systems, subsequently validated through empirical case studies with enhanced predictive accuracy. Recent advances in thermal behavior research have further elucidated heterogeneous thermal responses across diverse structural typologies. Wang et al. [4,5] identified pronounced non-uniform thermal distributions in large-span stainless steel roof systems under solar radiation, establishing material-specific thermal anisotropy patterns. Chen [6] pioneered the concept of solar-induced flexural stress through mechanistic investigations of shaped steel members, developing a theoretical framework correlating asymmetric thermal gradients with structural responses, thereby informing design protocols for solar-affected engineering systems. Complementing field studies, Xu [7] characterized spatiotemporal thermal gradients in spatial truss structures through empirical boundary parametrization at the Xi’an Silk Road International Convention Center, discerning critical thermal drivers in modular steel assemblies. Advancing membrane structure analysis, Li [8] numerically demonstrated significant solar thermal effects in cable-strut dome systems, revealing membrane transmissivity coefficients as pivotal modulators of both thermal field heterogeneity and load-path sensitivity in tension-based configurations. Sun et al. [9] conducted a comprehensive review to statistically analyze the temperature field and structural response of large-span spatial structures under fire conditions. Liu et al. [10] proposed a numerical simulation method based on the ASHRAE model to compute the temperature distribution and thermal behavior of large-span steel structures under solar radiation, which was validated through steel plate specimens.
These collective findings systematically map thermal-structural interaction mechanisms across material systems, providing multi-scale insights from component-level phenomena to system-level performance. Recent investigations have significantly advanced the understanding of thermo-structural interactions through multidisciplinary approaches. Chen [11] elucidated fluid-thermal coupling mechanisms in large-span structures, demonstrating that hydrodynamic effects disrupt conventional thermal contour patterns, transforming isotropic temperature distributions into complex gradient geometries. Complementing this, Li [12] established performance–temperature correlations in aluminum alloy domes through operational monitoring at Nanjing Niushou Mountain’s Grand Dome, providing critical benchmarks for lightweight structural systems. Field studies by Xiong [13] at Kunming South Station quantified thermal deformation patterns in transportation hubs, while Shen et al.’s [14] analysis of diurnal thermal cycles at the Hangzhou Asian Games Stadium revealed seasonal thermal homogenization phenomena and amplified stress fluctuations under winter conditions. Addressing construction-phase challenges, Wang et al. [15] conducted comparative thermal loading analyses on continuous steel roofs, conclusively proving the necessity of differential thermal treatment protocols. Expanding to curved concrete systems, Zhang [16] systematically mapped constraint configuration effects on curved box girders, identifying restraint optimization thresholds that balance thermal stress mitigation with deformation control.
The operational integrity assessment of civil infrastructures is enabled through Structure-Health Monitoring (SHM), which systematically implements non-invasive sensor networks to capture time-dependent variations in mechanical behavior. Huang et al. [17] proposed a hybrid network model by integrating CNN with a bidirectional gated recurrent unit (BiGRU) based on numerical models and actual monitoring data from the Guangzhou New Television Tower, and also proposed a vibration-based nondestructive global damage identification method using a genetic algorithm (GA) to determine the location and extent of structural damage under the influence of temperature variations and noise [18]. A comparative study was conducted with several methods, including CNN, CNN-GRU, and CNN-BiGRU. Cawley’s [19] taxonomy of structural health monitoring (SHM) methodologies classify systems into four principal categories according to monitoring objectives: rotating machinery condition assessment, global structural integrity evaluation, wide-area surveillance, and localized defect detection. Roque and Santos [20] conducted a longitudinal SHM campaign and employed finite element software to evaluate the impact of insulation layer positioning on thermal efficiency in European Light Steel Framing (LSF) systems, thereby reducing energy consumption and operational costs.
Although numerous experimental studies have been conducted on the thermal effects in steel structures, there remains a scarcity of monitoring research on the coupled thermal-restraint effects in ring-shaped steel structures with non-uniform spans. The relationship between restraint effects and thermal actions has not yet reached a consensus, primarily due to the rarity of practical engineering projects where restraint conditions can be treated as a single variable. Therefore, this study integrates Structural Health Monitoring (SHM) and numerical simulation methods to investigate the thermal effects in a long-span circular steel structure with non-uniform spans, using the Sky Hall project in Daze Lake Returnee Town R&D Center as an engineering prototype. A high-fidelity finite element model was developed in accordance with building codes and construction drawings and calibrated using field temperature data monitored from structural components. Advanced thermo-structural coupling simulations were carried out via Midas/Gen software to elucidate the inherent complex interaction mechanisms of “thermal-structural-restraint” in such circular spatial structures.
2. Project Background
This steel structural system serves as a core component of the Sky Hall project within the Daze Lake Returnee Town R&D Center, Changsha. Positioned atop three interconnected buildings (A, B, and C), it forms a large-span statically indeterminate spatial structural system, with its conceptual rendering illustrated in Figure 1. Its unique non-equal-span layout and multi-support constraint conditions provide an ideal platform for investigating the span–temperature–constraint interaction mechanism.
Figure 1.
Architectural Rendering.
The structural system adopts a concentric circular truss ring configuration, with an inner ring diameter of 24 m and an outer ring diameter of 34 m, and adopted a segmented lifting and high-altitude assembly construction method, with sequential hoisting and closure following the construction sequence of TS1, TS2, and TS3 (lifting segments shown in Figure 2a. The connection between upper and lower chord members forms a highly statically indeterminate system. Six groups of box-section columns provide multi-point constraint conditions, leading to complex internal force redistribution under thermal loading, and the steel structure axonometric diagram and On-site Images is shown in Figure 3. The layout of the top and bottom chord members and the arrangement of member cross-sectional dimensions are shown in Figure 4 and Table 1, respectively.
Figure 2.
Schematic Diagram of (a) Lifting Segment and (b) Monitoring Members.
Figure 3.
(a) Steel Structure Axonometric Diagram and (b,c) On-site Images.
Figure 4.
Layout of the (a) top and (b) bottom chord members.
Table 1.
Member Cross-sectional Dimensions.
3. Thermomechanical Simulation and Monitoring
3.1. Finite-Element Simulation Modeling
Midas-GEN (2022v1.1) software was used for finite element analysis in this study. This software has been widely applied in thermal research [21,22,23,24] and demonstrates high accuracy.
Step 1: Establish the structural model and define constraint conditions. Beam elements are used to simulate the main steel structure, and shell elements are used for the concrete components. Rigid connections are set between components, and general supports fully constraining all six degrees of freedom are applied at the base nodes of the supporting columns. The steel structure adopts a bilinear hardening constitutive model, while the concrete uses a linear elastic model.
Step 2: Based on field-monitored data, construction stages are defined from 8:30 to 18:30 at hourly intervals. The monitored temperature data are applied as thermal loads to the finite element model.
Step 3: Configure a geometrically nonlinear analysis type, using nonlinear solution parameters of 10 load steps and 30 iterations per step.
Step 4: Perform calculations for each construction stage and extract structural response results, including deformations, stresses, and internal forces under thermal loads, to analyze the thermomechanical behavior of the structure.
The mind map is shown in Figure 5.
Figure 5.
Mind Map of Finite-Element Simulation Modeling.
3.2. Structural Behavior Under Vertical Non-Uniform Heating
Given the exposure of the annular steel structure to asymmetric solar radiation in an open environment, its thermal behavior necessitates refined numerical analysis. Based on previous studies [25,26,27], which reported a vertical temperature gradient of 20 °C in concrete box girders, this study applies differential thermal loading to simulate non-solar exposure conditions. Under the assumption of solar radiation at 12:00 p.m., without considering the self-weight of the structure, a temperature load is applied using the monitored temperature of the lower chord members as the reference value. The upper concrete–steel composite deck is subjected to a temperature increase of 20 °C, while both the upper chord members and the web members experience a temperature rise of 10 °C. The resulting stress, axial force, and displacement distributions of the structure under this condition are illustrated in Figure 6.
Figure 6.
Stresses, Axial Forces, and Deformations under Non-Uniform Temperature Rise Conditions.
Figure 6a,b reveal distinct stress redistribution patterns under non-uniform thermal loading, with lower support columns acting as primary load-bearing elements constrained by limited thermal stress dissipation. Structural thermal stress predominantly concentrates in radial crossbeams interconnecting inner–outer truss systems, exhibiting notable stress stratification where upper chord members sustain 37 MPa maximum tensile stress versus lower chord counterparts (22 MPa peak). Compressive stress localization (38 MPa peak) manifests in web components and support columns, reflecting load-transfer characteristics of annular configurations.
Figure 6c,d present the numerical simulation results of stress in the top and bottom chord slabs, respectively. To ensure the durability and normal serviceability of the structure, it is necessary to perform crack resistance calculations for the concrete slab. According to the Code for Design of Concrete Structures GB/T 50010-2010 [28], the calculation results are presented in Table 2.
Table 2.
Overall Crack Resistance Calculation Results.
The displacement analysis (Figure 6e) reveals a characteristic bidirectional curvature reversal pattern under thermal loading, demonstrating uniform displacement distribution with distinct curvature modulation effects. The structural configuration exhibits inward arching deformation at inner rings contrasted by outer ring downward displacement, where deformation amplification follows a curvature-deflection coupling mechanism proportional to arc length increments in curved segments. This geometric sensitivity highlights the critical influence of curvature radius-to-span ratios on thermomechanical deformation patterns.
3.3. Targeted Thermomechanical Monitoring Protocol
Due to tight construction schedules and weather constraints, the monitoring was conducted only on 17 July 2024, during the peak summer solar exposure, with the air temperature ranging from 28 °C to 40 °C (Data source: China Meteorological Administration, Wangcheng District, Changsha). Studies by Huang et al. [29,30] have shown that non-uniform temperature fields may lead to a reduction in structural bearing capacity and proposed a two-dimensional non-uniform temperature field simulation method for double-box single-cell concrete box girders, as well as a refined three-dimensional temperature field simulation method for long-span continuous rigid-frame bridges.
However, due to the large scale of the project and the tight construction schedule, it was not feasible to conduct comprehensive temperature monitoring across the entire area. This study employed a multi-point monitoring approach to obtain a simplified temperature field, which was used to investigate the temperature effects on the ring-shaped steel structure with unequal spans. An infrared thermometer (Figure 7) was used to conduct hourly monitoring from 08:30 to 18:30, obtaining coupled temperature-strain data sequences at critical structural nodes of the upper chord. Key monitoring points were arranged on the outer members at the mid-span of each lifting segment; the spans and self-weights of TS1, TS2, and TS3 are with , with , and with , respectively (Figure 2a). The infrared thermometer has a monitoring range of −50 to 500 °C with a resolution of 0.1 °C. The emissivity can be adjusted according to the target material, with an adjustable range of 0.10 to 1.00. The emissivity of steel is 0.80, and that of paint is 0.93.
Figure 7.
Temperature Monitoring Equipment.
Strain monitoring was performed using DH-5908 strain acquisition instruments (Jiangsu Donghua Testing Technology Co., Ltd., Taizhou, Jiangsu, China) (Figure 8a,b). The system adopts an independent distributed modular architecture and supports both WiFi wireless and wired Ethernet communication expansion. A single computer can achieve parallel synchronous testing and analysis of dynamic stress and strain signals from up to 16 modules, with strain monitoring ranges of ±30,000 με and ±5 V volt ranges. In conventional strain monitoring, due to the extended duration of construction processes, two strain gauges (one oriented horizontally and one vertically) are typically installed at adjacent locations on each monitoring point to mitigate the influence of environmental factors on the monitoring results. This approach employs a “one-to-one compensation” method to eliminate errors. In this study, to further minimize the impact of external forces on the monitoring accuracy, an additional set of strain gauges was installed at the same locations of each monitoring point (Figure 8c) to record the strain response of the structural members under external loads.
Figure 8.
(a,b) Strain Monitoring Equipment and (c) Strain Gauge Installation Methods.
4. Thermomechanical Response Analysis
4.1. Time-History Thermal Stresses Comparison Between Simulated and Monitoring
The recorded strain data were converted into equivalent stress values through generalized Hooke’s Law, with subsequent filtration of valid datasets through temperature-stress correlation analysis. Synchronized meteorological parameters and monitored temperature profiles were systematically imposed as thermal boundary conditions in finite element simulations to reconstruct hourly stress evolution patterns. Comparative evaluation between experimental monitoring and numerical predictions (Figure 9) demonstrates the time-dependent characteristics of structural stress increments, expressed as deviations from initial baseline values. The synthesized methodology establishes a dual-validation framework through synchronized experimental-numerical temporal profiling, enabling rigorous assessment of solar-induced thermomechanical interactions while maintaining strict adherence to sensor-derived empirical constraints.
Figure 9.
Comparison between Simulated and Monitored Thermal Stresses.
Temporal monitoring data and simulation results from Figure 9 reveal thermally stable structural heating processes characterized by uniform thermal gradients without significant thermal shocks. All instrumented members demonstrate monotonic stress escalation commensurate with temperature elevation, with segments attaining peak thermal stress magnitudes (maximum incremental stress: ) synchronously at , followed by stabilized mechanical states consistent with subsequent thermal equilibrium. Notably, components exhibit phased thermoelastic behavior—maintaining stress stability during before resuming incremental accumulation (maximum incremental stress: )—a pattern demonstrating precise synchronization with solar altitude variations. This chronologically coordinated thermal stress correspondence substantiates a linear proportionality between thermal stress magnitudes and differential temperature parameters across geometrically distinct subsystems. Finite element simulations substantiate the linear dependence of structural thermal stresses on temperature differentials, with component stress magnitudes exhibiting progressive amplification corresponding to thermal intensification. Numerical predictions demonstrate congruent behavioral patterns with empirical monitoring, notably revealing systematically reduced thermal stress levels in subsystems compared to counterparts—a phenomenon mirroring field monitoring data.
Through comparison between finite element analysis and monitored stress results, the overall trends are highly consistent, but significant value discrepancies were observed between field monitoring and simulations (For TS 1-1, the monitored peak stress is , which is times the finite element simulation value (). This indicates that, due to influences such as structural geometry, as well as differences in material properties, dimensions, and constraint conditions of the monitored members, their sensitivity to thermal effects also varies—a nuance that finite element analysis fails to adequately capture. Additionally, the finite element model employed a simplified vertically non-uniform temperature field, which differs from the actual solar radiation conditions in the engineering environment.
Comparative analysis of thermal stress distribution across monitoring points reveals pronounced disparities under equivalent temperature rise conditions. Monitoring points exhibit significantly higher stress magnitudes compared to other locations, while negligible disparity is observed between points and . This phenomenon, coupled with distinct structural configurations among monitored components, underscores the inherent differential sensitivity of various element types to thermal excitation.
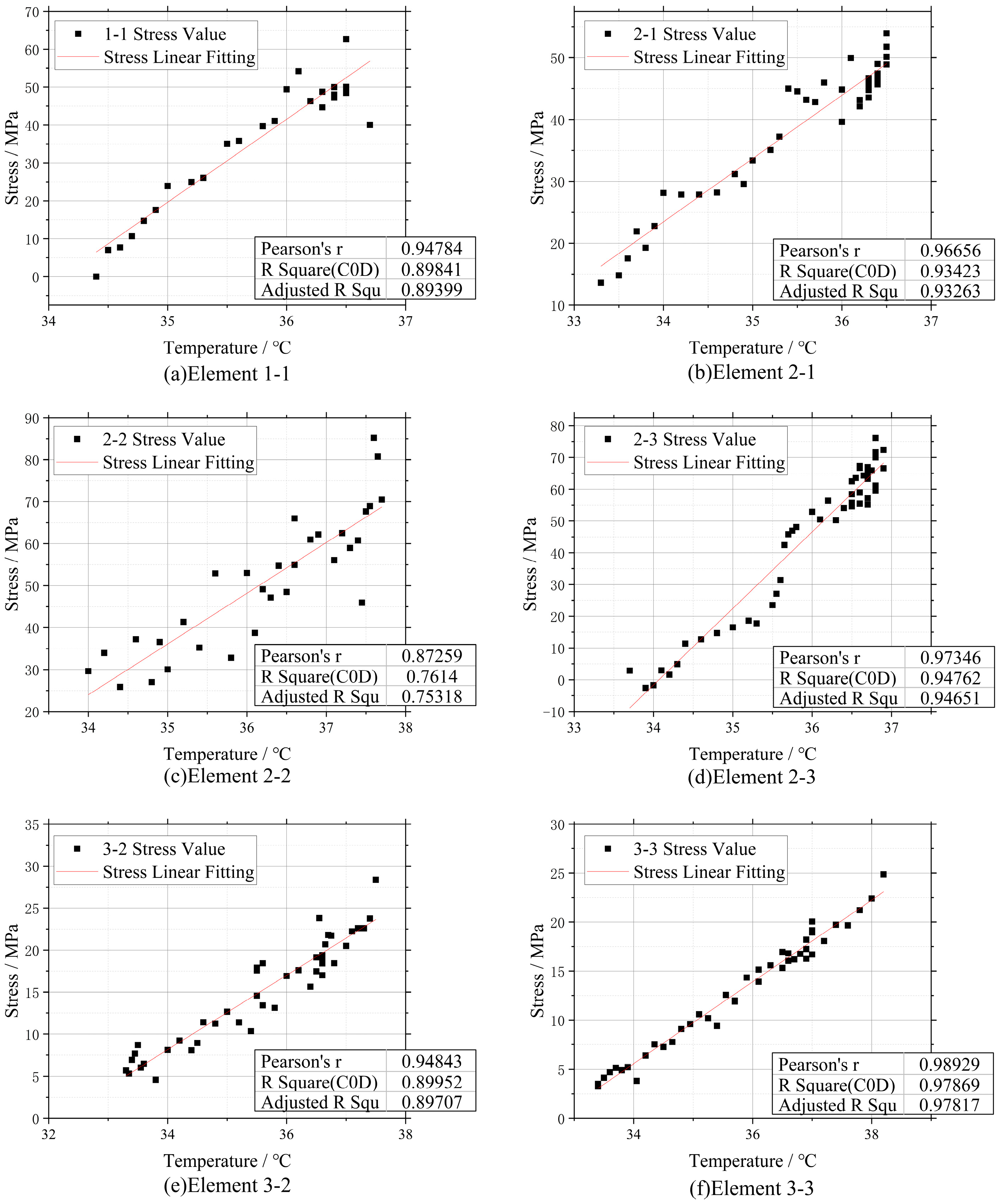
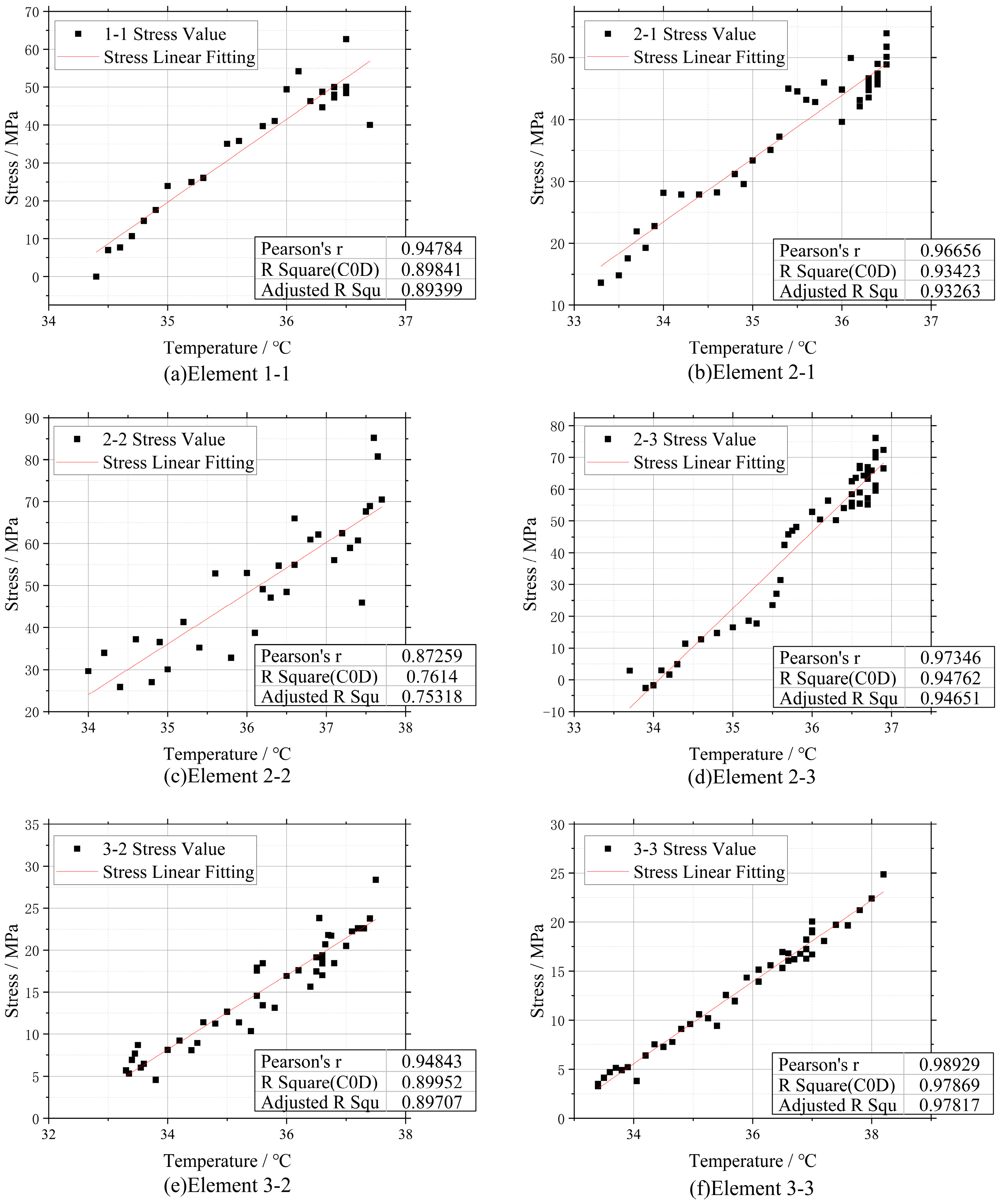
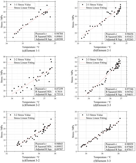
4.2. Stress–Temperature Linear Fitting Analysis
Figure 10 delineates the linear regression analysis between temperature-induced stresses and thermal parameters across monitoring positions. The statistically robust correlation is evidenced by systematically aligned datapoints along regression trajectories, with coefficient of determination values exceeding for specific structural members—particularly peaking at . This parametric validation definitively establishes linear proportionality between structural thermal stress magnitudes and corresponding temperature variations.
Figure 10.
Stress–Temperature Linear Fitting Results at Each Measurement Point.
Notwithstanding identical correlation parameters, discernible heterogeneity emerges in thermal stress increments across curved structural subsystems. Figure 10 reveals systematically attenuated stress escalation in the whole structure (For 1 °C increasing, . This differential hierarchy underscores the critical influence of boundary constraint configurations on thermal stress development; wherein enhanced structural restraint amplifies thermomechanical response intensities. Comparative analysis reveals sustains substantially attenuated thermo-mechanical loading relative to adjacent and elements, with the latter exhibiting intermediate stress magnitudes. This progressive mitigation pattern correlates with restraint condition gradations, confirming structural boundary constraints as critical modulators of thermal deformation resistance.
Based on finite element analysis considering only the self-weight of the structure, the maximum compressive stress calculated in the steel structure is , while the extreme value of temperature stress measured by the monitoring element is 73 MPa. According to the most unfavorable combination specified in the “Standard for Design of Steel Structures” (GB 50017-2017) [31], the stress design value is approximately . The primary and secondary beams of the steel structure are made of Q355B-grade steel, which meets the safety requirements. It should be noted that this scenario does not account for the additional dead load from subsequent decoration works or the effects of other variable loads.
5. Conclusions
This chapter investigates solar thermal effects on the steel structure with non-uniform spans of Sky Hall in Daze Lake Returnee Town through integrated field monitoring and computational simulations. Empirical temperature data were systematically collected and analyzed using Midas/Gen finite element software to evaluate daylight-induced thermal behavior, yielding the following conclusions:
- (1)
- Thermomechanical Response Patterns
Finite element simulations and monitoring data indicate that the large-span annular steel truss exhibits distinct thermal stress distribution characteristics under temperature loading. A strong linear correlation is observed between stress and temperature (Pearson’s r from linear fitting), while different types of structural members show varying temperature sensitivity. Structural regions with higher constraint conditions (e.g., beam–column joints) exhibit significant stress concentration (approximately ). Geometric differences between the inner and outer rings lead to measurable torsional deformation in curved members. Under identical thermal gradients, the displacement of the outer ring significantly exceeds that of the inner ring.
- (2)
- Constraint–Stress Interdependency
Constraint intensity is a critical factor regulating the magnitude of thermal stress in annular structures. Segment TS3, with its lower constraint density, exhibits superior deformation compatibility, leading to effective stress dissipation (with an internal stress increase of per degree Celsius temperature rise). In contrast, segment TS1 under strong constraint conditions shows limited deformation capacity, resulting in significantly intensified stress concentration (with per degree Celsius rise). The behavior of TS2 falls between that of TS3 and TS1 (with per degree Celsius rise).
- (3)
- Discrepancies between Finite Element and Measured Results
As indicated by the comparative analysis in Figure 2, the overall trends are highly consistent, and significant discrepancies exist between the simulated stresses in members and and the measured stresses (the peak measured stress was times that of the simulated value). The primary reasons for these differences lie in the influences of structural geometry, as well as variations in material properties, dimensions, and constraint conditions of the monitored members, which lead to differing sensitivities to thermal effects—nuances not adequately captured in the finite element analysis. Furthermore, the finite element model employed a simplified vertically non-uniform temperature field instead of a comprehensive three-dimensional temperature field based on the full domain of the members, resulting in deviations from the actual solar radiation conditions in the engineering environment.
- (4)
- Safety Verification
According to the most unfavorable combination formula specified in the Standard for Design of Steel Structures (GB 50017-2017), the designed stress value under the condition considering only self-weight and temperature stress is 203.5 MPa, which is less than the yield strength of the primary and secondary beams (355 MPa), indicating that the structure is safe. However, this condition does not account for the influence of permanent loads such as curtain walls and equipment, nor does it consider live loads such as pedestrian traffic, wind, or snow.
- (5)
- Limitations of the Monitoring Scheme
Due to tight construction schedules and adverse weather conditions, the monitoring in this study was conducted only during the peak solar radiation period in summer (lasting only one day), which inevitably introduces limitations to the results. Whenever possible, it is recommended to carry out long-term temperature monitoring across different seasons and under various meteorological conditions to further validate and refine the relevant conclusions.
Author Contributions
Conceptualization, X.Y.; Methodology, W.H., W.X., and X.Y.; Software, M.J.; Validation, M.M.; Formal analysis, F.C.; Investigation, W.X., M.M., C.Y., and X.K.; Data curation, M.J., C.Y., and X.K.; Writing—original draft, X.M.; Writing—review and editing, F.C. and X.K.; Supervision, X.M. and W.X.; Project administration, W.H. All authors have read and agreed to the published version of the manuscript.
Funding
This project was funded by National Natural Science Foundation of China (Project No: 52278479).
Data Availability Statement
The data that supports the findings of this study are available from the corresponding author, Xin Kuang, upon reasonable request.
Acknowledgments
Since English is not the author’s native language, DeepSeek-R1(Pro) was appropriately used for language polishing during the revision process. However, the AI rate in the manuscript is guaranteed to remain below 15%.
Conflicts of Interest
Authors Wei Huang, Xianglei Meng, Wenjie Xu, Mengzhao Mei and Xin Yao were employed by the company Hunan Construction Investment Group Co., Ltd. The remaining authors declare that the research was conducted in the absence of any commercial or financial relationships that could be construed as a potential conflict of interest.
References
- Han, Q.; Qi, P.; Lu, Y.; Yu, Z.; Jiang, Q.; Qi, X. Effect of Non-Uniform Temperature on the Thermal Behavior of Large-Span Spatial Steel Structures under Construction. J. Constr. Steel Res. 2025, 228, 109396. [Google Scholar] [CrossRef]
- Fan, D.L.; Xiao, F.; Fan, J. Temperature Effects on Steel Truss Structure under Different Bearing Stiffness Conditions. J. Phys. Conf. Ser. 2023, 2476, 012001. [Google Scholar] [CrossRef]
- Zhou, M.; Fan, J.; Liu, Y.; Zhang, J.-X.; Duan, X.-J.; Lei, S.-S. Non-Uniform Temperature Field and Effect on Construction of Large-Span Steel Structures. Autom. Constr. 2020, 119, 103346. [Google Scholar] [CrossRef]
- Wang, M.M.; Liu, D.; Lu, Y.; Yang, Q.; Song, D.; Liu, X. Investigation into the Nonuniform Temperature Effect of a Large-Span Stainless Steel Roof System under Solar Radiation. J. Constr. Steel Res. 2025, 224, 109133. [Google Scholar] [CrossRef]
- Wang, M.M.; Xin, Z.Y.; Ou, T.; Wang, D.; Zhang, Y. Experimental Study on Temperature Field and Effect of Standing Seam Stainless Steel Roof System with Different Structures Forms. Structures 2023, 49, 198–211. [Google Scholar] [CrossRef]
- Chen, D.K. Study on Non-Uniform Temperature Field and Effects of Spatial Steel Structures Under Solar Radiation. Ph.D. Thesis, Harbin Institute of Technology, Harbin, China, 2017. [Google Scholar]
- Xu, W.C. Study on Non-Uniform Temperature Field and Effects of Spatial Grid Structures Under Solar Radiation. Ph.D. Thesis, Harbin Institute of Technology, Harbin, China, 2021. [Google Scholar]
- Li, B. Study on Non-Uniform Temperature Effects of Large-Span Steel Structures Under Solar Radiation with Membrane Roof. Ph.D. Thesis, Tianjin University, Tianjin, China, 2016. [Google Scholar]
- Sun, G.J.; Xiao, S.; Wu, J.Z.; Xue, S. Study on mechanical properties of large-span spatial structures under large-space fire: Review and outlook. J. Build. Eng. 2024, 98, 111421. [Google Scholar] [CrossRef]
- Liu, H.B.; Chen, Z.H.; Zhou, T. Investigation on temperature distribution and thermal behavior of large span steel structures considering solar radiation. Adv. Steel Constr. 2013, 9, 41–58. [Google Scholar]
- Chen, B.B. Study on Non-Uniform Temperature Effects of Large-Span Structures Under Solar Radiation. Ph.D. Thesis, Tianjin University, Tianjin, China, 2014. [Google Scholar]
- Li, T.F. Research on Structural Performance and Safety Monitoring Technology of Large-Span Aluminum Alloy Dome. Ph.D. Thesis, Southeast University, Nanjing, China, 2018. [Google Scholar]
- Xiong, X.W. Research on Structural Monitoring and Early Warning Evaluation Method of Kunming South Station Based on Temperature Effect Analysis. Build. Struct. 2023, 53, 2091–2097. [Google Scholar]
- Shen, Y.B.; Luo, Y.Z.; Fu, W.W.; Zhang, Z.Y.; Cai, P.C. Structural Health Monitoring and Analysis of the Main Stadium for Hangzhou Asian Games. J. Build. Struct. 2024, 45, 81–91. [Google Scholar]
- Wang, X.L.; Luo, X.Z.; Gou, B.L. Study on Temperature Effects of Large-Span Steel Roof Considering Special Environments. Spat. Struct. 2024, 30, 53–60. [Google Scholar]
- Zhang, X.M. Study on Temperature Field and Temperature Effects of Long-Span Curved Prestressed Concrete Box Girder. Ph.D. Thesis, Wuhan University of Technology, Wuhan, China, 2016. [Google Scholar]
- Huang, M.S.; Wan, N.; Zi, H.P. Reconstruction of structural acceleration response based on CNN-BiGRU with squeeze-and-excitation under environmental temperature effects. J. Civ. Struct. Health Monit. 2025, 15, 985–1003. [Google Scholar] [CrossRef]
- Huang, M.S.; Gül, M.; Zhu, H.-P. Vibration-Based Structural Damage Identification under Varying Temperature Effects. J. Aerosp. Eng. 2018, 31, 04018014. [Google Scholar] [CrossRef]
- Cawley, P. Structural health monitoring: An overview of research and industrial applications. Struct. Health Monit. 2018, 17, 1225–1244. [Google Scholar] [CrossRef]
- Roque, E.; Santos, P. The Effectiveness of Thermal Insulation in Lightweight Steel-Framed Walls with Respect to Its Position. Buildings 2017, 7, 13. [Google Scholar] [CrossRef]
- Zhong, Z.X. Temperature Effect Analysis of Long-Span High-Speed Railway Cable-Stayed Bridges. Master’s Thesis, Southeast University, Nanjing, China, 2025. [Google Scholar]
- Wang, J.N.; Wang, X.L.; Gao, B.L.; Wang, Y.F. Temperature influence analysis and field monitoring study on the lifting process of large complex gymnasium steel structure. J. Build. Struct. 2023, 53, 96–101+57. [Google Scholar]
- Xu, Y.; Zhang, J.G.; Li, Z.Q. Temperature effect analysis of ultra-long concrete station structure. J. Build. Struct. 2023, 53, 214–220. [Google Scholar]
- Qu, Y.C. Temperature Effect Study on Ultra-Long High-Rise Steel Frame Structure. Master’s Thesis, Beijing Jiaotong University, Beijing, China, 2018. [Google Scholar]
- Ye, J.S.; Jia, L.; Qian, P.S. Observation and Research on Temperature Distribution of Concrete Box Girders. J. Southeast Univ. Nat. Sci. Ed. 2002, 32, 788–793. [Google Scholar]
- Ding, K. Research on Solar Temperature Gradient Patterns and Temperature Reduction Measures for Concrete Box Girders in Chengdu-Chongqing Area. Master’s Thesis, Chongqing Jiaotong University, Chongqing, China, 2024. [Google Scholar]
- Zhang, Y.H. Study on the Most Unfavorable Solar Temperature Field and Temperature Stress of Long-Span Concrete Box Girder Bridges. Ph.D. Thesis, Southwest Jiaotong University, Chengdu, China, 2017. [Google Scholar]
- GB 50010-2010; Code for Design of Concrete Structures. China Architecture & Building Press: Beijing, China, 2014.
- Huang, M.S.; Zhang, J.W.; Li, J.; Zhu, H. Temperature field characteristics of concrete box girders in rigid-frame bridges based on fine simulation and monitoring. Case Stud. Therm. Eng. 2025, 72, 106265. [Google Scholar]
- Zhang, J.W.; Huang, M.S.; An, Y.H.; Zhu, H.P. Analysis of three-dimensional temperature distribution characteristics and temperature-induced frequency variation for continuous rigid frame bridges. Adv. Struct. Eng. 2025. online ahead of print. [Google Scholar] [CrossRef]
- GB 50017-2017; Standard for Design of Steel Structures. China Architecture & Building Press: Beijing, China, 2017.
Disclaimer/Publisher’s Note: The statements, opinions and data contained in all publications are solely those of the individual author(s) and contributor(s) and not of MDPI and/or the editor(s). MDPI and/or the editor(s) disclaim responsibility for any injury to people or property resulting from any ideas, methods, instructions or products referred to in the content. |
© 2025 by the authors. Licensee MDPI, Basel, Switzerland. This article is an open access article distributed under the terms and conditions of the Creative Commons Attribution (CC BY) license (https://creativecommons.org/licenses/by/4.0/).









