Size and Geometry Effects on Compressive Failure of Laminated Bamboo: A Combined Experimental and Multi-Model Theoretical Approach
Abstract
1. Introduction
2. Materials and Methods
2.1. Material Preparation and Processing
2.1.1. Raw Material Sourcing
2.1.2. Manufacturing Process
2.2. Specimen Design and Grouping
2.2.1. Specimen Geometry
2.2.2. Material Characterization
2.3. Mechanical Testing Protocol
2.3.1. Testing Equipment and Setup
2.3.2. Strain Measurement and Data Acquisition
2.3.3. Loading Protocol and Data Analysis
3. Results and Discussion
3.1. Failure Characteristics and Mechanisms
3.2. Mechanical Response and Property Variations
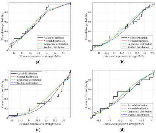
3.3. Statistical Distribution of Mechanical Properties
3.4. Quantification of Size Effects
3.5. Theoretical Modeling of Size Effects
3.5.1. Parameters and Estimated Values
3.5.2. Volume Size Effect Analysis
3.5.3. Physical Interpretation of Model Parameters
- D0 (characteristic dimension): The values of 2.68 × 107 mm3 for strength and 1.37 × 107 mm3 for modulus represent the transition volume below which material strength dominates and above which fracture energy governs failure. The large characteristic dimensions indicate that even our largest specimens (FY4 = 4 × 106 mm3) remain well within the strength-dominated regime, explaining the relatively modest size effects observed. For comparison, the largest specimen volume represents only 15% of the characteristic dimension for strength, confirming that the tested specimens have not yet reached the transition to energy-dominated scaling.
- B2 parameter: The ratio B2/ft ≈ 0.35 suggests that approximately 35% of the material’s tensile capacity contributes to the fracture process zone, consistent with fiber-bridging mechanisms in bio-composites.
- However, the convergence to fracture energy dominance in volume-based analysis suggests that three-dimensional effects unify these mechanisms under a common energy dissipation framework. This convergence indicates that as geometric complexity increases, energy-based approaches provide more robust descriptions of failure behavior than purely statistical models.
3.6. Influence of Density Variations
3.6.1. Specific Properties Analysis and Enhanced Sensitivity
3.6.2. Single Size Effect Analysis
3.6.3. Model Development and Comparison
3.6.4. Model Parameters and Validation
- Method 1 (Section 3.4): Average errors of 0.03% (strength) and 0.05% (modulus) for proportional scaling, demonstrating good accuracy but limited to constant aspect ratios.
- Method 2: Average errors of 0.73% (strength) and 1.17% (modulus) for specific properties, with broader applicability to geometric variations.
- Method 3: Average errors of 0.37% (strength) and 0.78% (modulus) for density-coupled analysis, providing optimal balance between accuracy and general applicability across all specimen configurations.
3.6.5. Limitations and Validity Range
3.7. Critical Dimensions and Design Implications
4. Conclusions
- Traditional size effect models (Method 1) demonstrate good accuracy for proportional scaling but limited scope. While proportional scaling produces modest mechanical property reductions (60% strength, 8.62% modulus for 4× scaling), the fracture energy model’s superior performance confirms that quasi-brittle fracture mechanics, rather than simple statistical effects, govern the scaling behavior.
- The significant influence of length effects (15.78% strength increase, 25.11% modulus increase with reduced length) demonstrates that optimizing component geometry offers more substantial improvements than simply minimizing overall size. This finding suggests that current design practices favoring slender members may be unnecessarily conservative, and that stockier cross-sections could enable more efficient material utilization.
- The systematic progression from Method 1 (excellent accuracy for proportional scaling but limited scope) through Method 2 (0.73–1.17% errors, broader applicability to geometric variations) to Method 3 (0.37–0.78% errors, optimal performance across all configurations) demonstrates that incorporating density effects captures material heterogeneity that amplifies size-dependent behavior. Despite minimal air-dry density variations (COV = 9.27%), density-coupled models reveal that local material quality indicators scale nonlinearly with volume, providing order-of-magnitude improvements in prediction accuracy for complex geometries.
- The identified threshold dimensions of 125.64 mm (strength) and 126.14 mm (modulus) for square sections with 4:1 aspect ratios provide practical design boundaries. Components exceeding these dimensions can use constant reduction factors (0.86 for strength, 0.78 for modulus) rather than size-dependent adjustments, simplifying design procedures while maintaining safety. These values position laminated bamboo between unreinforced concrete (more severe effects) and FRP composites (less severe effects) in the materials hierarchy.
- The consistent delamination failure mode across all specimen sizes indicates that advances in bio-based adhesive technology could substantially reduce size effects. Enhanced interfacial bonding would not only increase absolute strength but also reduce sensitivity to scale, enabling larger structural applications without proportional property penalties and potentially shifting the critical dimensions to larger values.
Author Contributions
Funding
Data Availability Statement
Conflicts of Interest
References
- Liu, C.; Yue, S.; Zhou, C.; Sun, H.; Deng, S.; Gao, F.; Tan, Y. Anisotropic mechanical properties of extrusion-based 3D printed layered concrete. J. Mater. Sci. 2021, 56, 16851–16864. [Google Scholar] [CrossRef]
- Li, J.n.; Singh, A.; Zhao, Y.; Sun, J.; Tam, V.W.Y.; Xiao, J. Enhancing thermo-mechanical and moisture properties of 3D-Printed concrete through recycled ultra-fine waste glass powder. J. Clean. Prod. 2024, 480, 144121. [Google Scholar] [CrossRef]
- Singh, A.; Miao, X.; Zhou, X.; Deng, Q.; Li, J.; Zou, S.; Duan, Z. Use of recycled fine aggregates and recycled powders in sustainable recycled concrete. J. Build. Eng. 2023, 77, 107370. [Google Scholar] [CrossRef]
- Chen, X.; Wang, X.; Luo, X.; Chen, L.; Li, Y.; Xu, J.; Liu, Z.; Dai, C.; Miao, H.; Liu, H. Bamboo as a natural optimized fiber reinforced composite: Interfacial mechanical properties and failure mechanisms. Compos. Part B Eng. 2024, 279, 111458. [Google Scholar] [CrossRef]
- Akinbade, Y.; Harries, K.A.; Sharma, B.; Ramage, M.H. Variation of through-culm wall morphology in P. edulis bamboo strips used in glue-laminated bamboo beams. Constr. Build. Mater. 2020, 232, 117248. [Google Scholar] [CrossRef]
- Li, L.; Huang, C.; Guo, N. Flexural behaviour of bamboo scrimber beams with different composite and reinforced technology: A literature review. Case Stud. Constr. Mater. 2024, 20, e02805. [Google Scholar] [CrossRef]
- Chen, L.; Luo, X.; Huang, B.; Ma, Y.; Fang, C.; Liu, H.; Fei, B. Properties and bonding interface characteristics of an innovative bamboo flattening and grooving unit (BFGU) for laminated bamboo lumber. Colloids Surf. A Physicochem. Eng. Asp. 2023, 676, 132185. [Google Scholar] [CrossRef]
- Li, J.; Yan, J.; Zhou, Y.; Yang, S.; Singh, A. Analyzing the effects of size and density on the ultimate compressive strength of structural laminated bamboo parallel to the grain. J. Build. Eng. 2024, 90, 109481. [Google Scholar] [CrossRef]
- Li, J.; Singh, A.; Sharma, R.; Yu, X.; Zhou, J.; Ge, P.; Yang, S. Size Influence of Laminated Bamboo on Tensile Mechanical Properties with the Consideration of Density. Materials 2025, 18, 238. [Google Scholar] [CrossRef]
- Liu, K.; Jayaraman, D.; Shi, Y.; Xiong, Z.; Yang, J.; Symeonidis, A.; Escamilla, E.Z. Life cycle assessment (LCA) of the industrial production of structural glued laminated bamboo. J. Clean. Prod. 2024, 485, 144367. [Google Scholar] [CrossRef]
- Li, J.; Singh, A.; Yu, X.; Zhou, J.; Ge, P.; Yang, S. Size influence of laminated bamboo bending mechanical properties with the consideration of density. J. Build. Eng. 2025, 111, 113489. [Google Scholar] [CrossRef]
- Mashrah, W.A.H.; Boufendassa, R.; Fu, X.; Al-Mansour, A.; Yu, Y.; Amer, M.; Mo, S. Comprehensive review of engineered bamboo in structural engineering: Comparative insights into laminated bamboo and bamboo scrimber. Structures 2025, 76, 108896. [Google Scholar] [CrossRef]
- Dauletbek, A.; Li, H.; Lorenzo, R.; Corbi, I.; Corbi, O.; Ashraf, M. A review of basic mechanical behavior of laminated bamboo lumber. J. Renew. Mater. 2021, 10, 273–300. [Google Scholar] [CrossRef]
- Li, J.; Singh, A.; Zhou, Y. Experimental study on the flexural behavior of I-shaped laminated bamboo composite beam as sustainable structural element. Buildings 2024, 14, 671. [Google Scholar] [CrossRef]
- Su, Y.; Zou, J.; Lu, W. A macroscopic shear angle model for ultimate bearing capacity of glued laminated bamboo hollow columns under axial compression. Structures 2022, 45, 560–571. [Google Scholar] [CrossRef]
- Li, H.; Xue, X.; Xiong, Z.; Ashraf, M.; Lorenzo, R.; Shuchi, S. Application case of laminated bamboo lumber structure—Building of Sentai Bamboo Research Center. Sustain. Struct. 2024, 4, 000043. [Google Scholar] [CrossRef]
- Huang, D.; Zhu, J.; Shen, Y. Design of a 3-storey frame building using engineered bamboo composite (EBC). Eng. Struct. 2024, 300, 117230. [Google Scholar] [CrossRef]
- Deng, Y.; Hao, Y.; Mohamed, A.; Wong, S.H.F.; Tang, Y.; Yuen, T.Y.P.; Sukontasukkul, P.; Shen, M.; Fernando, N.; Saint, R.; et al. Experimental investigation of mechanically laminated straight or curved-and-tapered bamboo-concrete T-beams. Eng. Struct. 2023, 283, 115896. [Google Scholar] [CrossRef]
- Zhang, Z.; Wei, Y.; Yi, J.; Wei, B.; Lin, Y.; Huang, S. Experiments and design of laminated bamboo and concrete-filled steel tube columns under axial compression. Eng. Struct. 2024, 318, 118692. [Google Scholar] [CrossRef]
- Du, H.; Xu, R.; Liu, P.; Yuan, S.; Wei, Y. Experimental and theoretical evaluation of inclined screws in glued laminated bamboo and timber-concrete composite beams. J. Build. Eng. 2024, 91, 109579. [Google Scholar] [CrossRef]
- Wang, Z.; Li, H.; Fei, B.; Ashraf, M.; Xiong, Z.; Lorenzo, R.; Fang, C. Axial compressive performance of laminated bamboo column with aramid fiber reinforced polymer. Compos. Struct. 2021, 258, 113398. [Google Scholar] [CrossRef]
- Zhang, H.; Lu, R.; Li, H.; Xiong, Z.; Ashraf, M. Dynamic response of fiber-reinforced polymer laminated bamboo lumber beams under cyclic loading. Structures 2025, 72, 107920. [Google Scholar] [CrossRef]
- Tian, Y.; Li, H.; Chen, B.; Lorenzo, R.; Ashraf, M. Experimental and theoretical investigation of prestressed-steel-reinforced laminated bamboo lumber beams. Structures 2023, 47, 434–448. [Google Scholar] [CrossRef]
- Ma, R.; Wang, X.; Du, Y.; Sun, G.; Kang, S.B.; Ma, J.; Chen, Z. Experimental and theoretical investigation into flexural performance of thin-walled steel-laminated bamboo lumber truss beam. Thin-Walled Struct. 2024, 199, 111841. [Google Scholar] [CrossRef]
- Zhang, Z.; Wei, Y.; Yuan, Z.; Lin, Y.; Chen, J. Axial compression behavior of laminated bamboo columns restrained by rectangular steel tubes. Eng. Struct. 2025, 328, 119723. [Google Scholar] [CrossRef]
- Zhang, Z.; Wei, Y.; Yuan, Z.; Yi, J.; Chen, S.; Chen, J. Flexural modeling and failure criteria of thermal modified laminated bamboo beams. Constr. Build. Mater. 2024, 435, 136885. [Google Scholar] [CrossRef]
- Zhao, E.; Liu, J.; Zhang, X.; Wang, F. Eccentric compression behavior of inorganic-bonded bamboo composite columns. Structures 2025, 72, 108287. [Google Scholar] [CrossRef]
- Dauletbek, A.; Li, H.; Xiong, Z.; Lorenzo, R. A review of mechanical behavior of structural laminated bamboo lumber. Sustain. Struct. 2021, 1, 000004. [Google Scholar] [CrossRef]
- Ye, J.; Yang, M.; Yu, J.; Dai, Y.; Yin, B.B.; Weng, Y. Size effect on flexural and fracture behaviors of 3D printed engineered cementitious composites: Experimental and numerical studies. Eng. Struct. 2024, 298, 117062. [Google Scholar] [CrossRef]
- Hao, Y.; Li, Y.; Guan, J.; Xie, C.; Li, L.; Chen, S.; He, S.; Wei, S. Strength size effect model of fully substituted coal gangue concrete under coupled action of sulfate attack and dry-wet cycles. Constr. Build. Mater. 2025, 467, 140313. [Google Scholar] [CrossRef]
- Crist ’obal, T.; Simon, A. Survival analysis of tensile strength variation and simulated length-size effect along Oak boards. J. Eng. Mech. 2022, 148, 04021130. [Google Scholar] [CrossRef]
- Wu, G.; Chen, B.; Zhong, Y.; Zhang, Y.; Ren, H.; Shen, Y. Effect of size on tensile strength parallel to grain of high-performance wood scrimber. Constr. Build. Mater. 2024, 449, 138399. [Google Scholar] [CrossRef]
- Walley, S.M.; Rogers, S.J. Is Wood a Material? Taking the Size Effect Seriously. Materials 2022, 15, 5403. [Google Scholar] [CrossRef] [PubMed]
- Wu, Y.; Liu, S.; Li, Z.; Xu, J.; Xu, W. Comparative study of toughness and energy evaluation of laminated bamboo composites and toughening mechanism. Compos. Struct. 2025, 352, 118706. [Google Scholar] [CrossRef]
- Wu, G.; Zhang, Y.; Zhong, Y.; Ren, H.; Shen, Y. Size effect on the compressive strength of a novel structural wood composite: High-performance wood scrimber. Ind. Crops Prod. 2024, 221, 119381. [Google Scholar] [CrossRef]
- Vida, C.; Lukacevic, M.; Hochreiner, G.; Füssl, J. Size effect on bending strength of glued laminated timber predicted by a numerical simulation concept including discrete cracking. Mater. Des. 2023, 225, 111550. [Google Scholar] [CrossRef]
- Yang, D.; Li, H.; Xiong, Z.; Mimendi, L.; Lorenzo, R.; Corbi, I.; Corbi, O.; Hong, C. Mechanical properties of laminated bamboo under off-axis compression. Compos. Part A Appl. Sci. Manuf. 2020, 138, 106042. [Google Scholar] [CrossRef]
- Liu, Y.; Sheng, B.; Huang, D.; Zhou, A. Mode-I interlaminar fracture behavior of laminated bamboo composites. Adv. Struct. Eng. 2021, 24, 733–741. [Google Scholar] [CrossRef]
- Wang, Q.; Li, Q.; Yin, X.; Xu, S.; Su, Z.; Xie, H. Fracture behavior and size effect of UHPFRC: Experimental and meso-scale numerical investigation. Eng. Fract. Mech. 2023, 283, 109197. [Google Scholar] [CrossRef]
- Wu, F.; Li, B.; Yu, J.; Li, Y.; Wang, S.; Jiang, G.; Wang, S. Size effect in the mechanical characteristics of steel fiber reinforced alkali-activated slag/fly ash-based concrete. Constr. Build. Mater. 2024, 443, 137827. [Google Scholar] [CrossRef]
- De La Rosa, Á.; Ruiz, G. A new approach to the study of the size and the geometry effect on compressive strength in concrete. Results Eng. 2025, 25, 104261. [Google Scholar] [CrossRef]
- Shu, Y.; Shen, Z.; Zhang, H.; Gan, L.; Xu, L.; Sun, Y.; Yu, J.a.; Wang, R. Size effect of tensile bonding strength between new and old concrete. J. Build. Eng. 2024, 97, 110739. [Google Scholar] [CrossRef]
- Kosteski, L.E.; Iturrioz, I.; Lacidogna, G.; Carpinteri, A. Size effect in heterogeneous materials analyzed through a lattice discrete element method approach. Eng. Fract. Mech. 2020, 232, 107041. [Google Scholar] [CrossRef]
- Jiang, N.; Ge, Z.; Wang, Z.; Gao, T.; Zhang, H.; Ling, Y.; Šavija, B. Size effect on compressive strength of foamed concrete: Experimental and numerical studies. Mater. Des. 2024, 240, 112841. [Google Scholar] [CrossRef]
- De Santis, Y.; Aloisio, A.; Pasca, D.P.; Fragiacomo, M.; Dombrowski, F. Evaluation of the shear size effect in glued laminated timber using a stochastic FE model calibrated on 17000 glue-line tests. Constr. Build. Mater. 2023, 399, 132488. [Google Scholar] [CrossRef]
- Liu, Y.; Liu, X.; Yuan, C. Improved size effect law (SEL) considering size-dependent fracture process zone (FPZ) for quasi-brittle materials. J. Build. Eng. 2024, 92, 109770. [Google Scholar] [CrossRef]
- Ye, J.; Uddin, M.N.; Yu, J.; Xu, T.; Zhan, Y.; Zhang, D.; Weng, Y. A data-driven approach to predicting multifactor-influenced flexural size effect and fracture behaviors of concrete. Eng. Fract. Mech. 2025, 315, 110794. [Google Scholar] [CrossRef]
- Qiu, J.; Kuang, D.M.; Wang, M.B.; Chen, L.; Peng, C.; Song, Z.B. Numerical simulation of the size effect on rock particle crushing behavior considering microscopic heterogeneous bond strength characteristics. Soils Rocks 2025, 48, e2025009723. [Google Scholar] [CrossRef]
- NDS. National Design Specification for Wood Construction; American Forest and Paper Association: Washington, DC, USA, 2018. [Google Scholar]
- Canadian Standards Association. Engineering Design in Wood O86; Canadian Standards Association: Toronto, ON, Canada, 2014. [Google Scholar]
- AS1720.1; Timber Structures—Part 1: Design Methods. Standards Australia: Sydney, Australia, 2010.
- GB 50005; Standard for Design of Timber Structures. Ministry of Housing and Urban-Rural Development of the People’s Republic of China: Beijing, China, 2017.
- ASTM D143-14; Standard Test Methods for Small Clear Specimens of Timber. ASTM International: West Conshohocken, PA, USA, 2014.
- GB/T 1927.11; Test Methods for Physical and Mechanical Properties of Small Clear Wood Specimens-Part 11: Determination of Ultimate Stress in Compression Parallel to Grain. The Standardization Administration of the People’s Republic of China: Beijing, China, 2022.
- GB/T 1927.4; Test Methods for Physical and Mechanical Properties of Small Clear Wood Specimens-Part 4: Determination of Moisture Content. The Standardization Administration of the People’s Republic of China: Beijing, China, 2021.
- GB/T 1927.5; Test Methods for Physical and Mechanical Properties of Small Clear Wood Specimens-Part 5: Determination of Density. The Standardization Administration of the People’s Republic of China: Beijing, China, 2021.
- Tang, S.; Zhou, A.; Li, J. Mechanical properties and strength grading of engineered bamboo composites in China. Adv. Civ. Eng. 2021, 2021, 6666059. [Google Scholar] [CrossRef]
- Wang, X.; Dong, E.; Jia, Z.; Jia, L.; Xia, K.; Zhang, Z.; Chen, Y.; Zhang, L.; Gao, Y.; Zhang, Y. Specimen size effect on compressive strength of 3D printed concrete containing coarse aggregate with varying water to binder ratios. J. Build. Eng. 2024, 97, 110704. [Google Scholar] [CrossRef]
- Ye, J.; Yu, J.; Yu, J.; Yu, K.; Wang, Y.; Weng, Y. Tensile size effect of engineered cementitious composites (ECC): Experimental and theoretical investigations. Constr. Build. Mater. 2023, 402, 133053. [Google Scholar] [CrossRef]
- Wei, H.; Shi, D.; Rupert, E.; Fragiacomo, M.; Demartino, C.; Xiao, Y. Axial compressive behavior of novel laminated bamboo tubes: Experimental tests and predictive buckling model. Constr. Build. Mater. 2025, 463, 139987. [Google Scholar] [CrossRef]
- Wang, Z.; Li, H.; Xiong, Z.; Lorenzo, R.; Ashraf, M. Behavior of laminated bamboo columns under low cyclic reversed loading. Structures 2024, 70, 107671. [Google Scholar] [CrossRef]
- Kang, T.; Li, S.; Jin, L.; Wu, X.; Zhou, J.; Zhang, Y.; Liang, Y. Size effect on compressive behaviors of waste fiber-reinforced recycled aggregate concrete. Eur. J. Environ. Civ. Eng. 2022, 26, 7811–7824. [Google Scholar] [CrossRef]
- Fang, H.; Gu, M.; Zhang, S.; Jiang, H.; Fang, Z.; Hu, J. Effects of Steel Fiber and Specimen Geometric Dimensions on the Mechanical Properties of Ultra-High-Performance Concrete. Materials 2022, 15, 3027. [Google Scholar] [CrossRef]
- Yang, Y.; Qiu, Z.; Yang, S.; Lin, J.; Cao, H.; Bao, W.; Fan, H. Effects of cross-section morphology, vascular bundle content and anisotropy on compression failure of laminated bamboo columns. Eng. Fract. Mech. 2023, 290, 109497. [Google Scholar] [CrossRef]
- Yang, Y.; Yang, S.; Lin, J.; Qiu, Z.; Fan, H. Engineering fracture mechanics of laminated bamboo lumbers: Numerical and theoretical methods. Eng. Fract. Mech. 2025, 321, 111102. [Google Scholar] [CrossRef]
- Chen, G.; Yu, Y.; Li, X.; He, B. Mechanical behavior of laminated bamboo lumber for structural application: An experimental investigation. Eur. J. Wood Wood Prod. 2020, 78, 53–63. [Google Scholar] [CrossRef]
- Su, Y.; Zou, J. Local stability of glued laminated bamboo columns with box sections under axial compression. Eur. J. Wood Wood Prod. 2024, 82, 1171–1185. [Google Scholar] [CrossRef]
- Zheng, Y.; Zhou, C. Effect of slenderness ratio on axial compression behavior of circular wood columns strengthened with high-performance bamboo-based composites. Eng. Struct. 2024, 320, 118910. [Google Scholar] [CrossRef]
- Çetin, S.Y. An experimental study of basalt aggregate concrete according to different size effect laws. Alex. Eng. J. 2025, 120, 358–370. [Google Scholar] [CrossRef]
- Zhang, Y.; Zheng, Y.; Hu, S.; Du, C. Size effect difference between uniaxial and splitting tensile strength of recycled aggregate concrete considering the maximum aggregate size: Meso-simulation. Constr. Build. Mater. 2025, 462, 139961. [Google Scholar] [CrossRef]
- Huang, Y.; Han, J.; Sun, J.; Zhao, T. Size effects on the in-situ compressive behavior of first-year sea ice. Appl. Ocean. Res. 2025, 154, 104395. [Google Scholar] [CrossRef]
- Anagnostopoulos, C.A.; Cabja, D.; Papadimitriou, C.A. Experimental data on strength properties of mussel shell concretes and specimen size effect. Data Brief 2021, 35, 106954. [Google Scholar] [CrossRef]
- Bažant, Z.P. Size Effect in Blunt Fracture: Concrete, Rock, Metal. J. Eng. Mech. 1984, 110, 518–535. [Google Scholar] [CrossRef]
- Lee, B.J.; Kee, S.H.; Oh, T.; Kim, Y.Y. Effect of Cylinder Size on the Modulus of Elasticity and Compressive Strength of Concrete from Static and Dynamic Tests. Adv. Mater. Sci. Eng. 2015, 2015, 580638. [Google Scholar] [CrossRef]
- Liu, H.; Ka, T.A.; Su, N.; Zhu, Y.; Guan, S.; Long, J.; Tafsirojjaman, T. Experimental Study of Dimensional Effects on Tensile Strength of GFRP Bars. Buildings 2024, 14, 1205. [Google Scholar] [CrossRef]
- Wisnom, M.R. Size effects in the testing of fibre-composite materials. Compos. Sci. Technol. 1999, 59, 1937–1957. [Google Scholar] [CrossRef]
- ISO 23478; Bamboo Structures—Engineered Bamboo Products—Test Methods for Determination of Physical and Mechanical Properties. International Organization for Standardization: Geneva, Switzerland, 2022.














| Group | Width, b (mm) | Thickness, t (mm) | Length, l (mm) | Aspect Ratio (l/b) | Volume (×103 mm3) | Sample Size |
|---|---|---|---|---|---|---|
| FY1 | 25 | 25 | 100 | 4.0 | 62.5 | 20 |
| FY2 | 50 | 50 | 200 | 4.0 | 500 | 20 |
| FY3 | 50 | 50 | 50 | 1.0 | 125 | 20 |
| FY4 | 100 | 100 | 400 | 4.0 | 4000 | 20 |
| Property | Mean | Standard Deviation (SD) | Coefficient of Variation (COV) |
|---|---|---|---|
| Air-dry density (ρad/g·cm−3) | 0.62 | 0.040 | 6.56% |
| Oven-dry density (ρod/g·cm−3) | 0.59 | 0.026 | 1.62% |
| Moisture content (%) | 9.27 | 1.62 | 17.52% |
| Group | σc (MPa) | Ec (MPa) | εc (%) | ν | COVσ (%) | COVE (%) |
|---|---|---|---|---|---|---|
| FY1 | 46.39 ± 3.92 | 9314.78 ± 578.41 | 2.19 ± 0.51 | 0.29 ± 0.04 | 8.44 | 6.21 |
| FY2 | 47.72 ± 1.25 | 9109.32 ± 542.22 | 2.18 ± 0.41 | 0.30 ± 0.07 | 2.62 | 5.95 |
| FY3 | 55.25 ± 1.09 | 11,396.94 ± 2184.32 | 3.77 ± 2.21 | 0.41 ± 0.12 | 1.97 | 19.17 |
| FY4 | 45.65 ± 0.95 | 8512.19 ± 421.16 | 2.69 ± 0.73 | 0.29 ± 0.04 | 2.07 | 4.95 |
| Group | Dn | Dl | Dw | Dc | Optimal Distribution |
|---|---|---|---|---|---|
| FY1 | 0.118 | 0.123 | 0.131 | 0.294 | Normal |
| FY2 | 0.132 | 0.133 | 0.131 | 0.294 | Weibull |
| FY3 | 0.229 | 0.231 | 0.190 | 0.294 | Weibull |
| FY4 | 0.161 | 0.158 | 0.200 | 0.294 | Lognormal |
| Group | Volume (mm3) | σc (MPa) | Ec (MPa) | εc (%) | ν |
|---|---|---|---|---|---|
| FY1 | 62,500.00 | 46.39 | 9314.78 | 2.19 | 0.29 |
| FY3 | 125,000.00 | 47.72 | 9109.32 | 2.18 | 0.30 |
| FY2 | 500,000.00 | 55.25 | 11,396.94 | 3.77 | 0.41 |
| FY4 | 4,000,000.00 | 45.65 | 8512.19 | 2.69 | 0.29 |
| Property | Model | Parameters | SSE |
|---|---|---|---|
| Strength | Weakest Link | A1 = 48.70, B1 = 0.011 | 1.93 |
| Fracture Energy | B2 = 47.42, D0 = 1.60 × 103 | 1.62 | |
| Multifractal | A3 = 2.15 × 103, B3 = 1.10 × 103 | 2.14 | |
| Modulus | Weakest Link | A1 = 1.15 × 104, B1 = 0.064 | 2.79 × 104 |
| Fracture Energy | B2 = 8.98 × 103, D0 = −2.33 × 108 | 3.48 × 105 | |
| Multifractal | A3 = 7.03 × 107, B3 = 4.45 × 108 | 6.70 × 104 |
| Group | Strength | Modulus | ||||
|---|---|---|---|---|---|---|
| Estimated (MPa) | Experimental (MPa) | Error (%) | Estimated (MPa) | Experimental (MPa) | Error (%) | |
| FY1 | 47.05 | 46.39 | 1.44 | 9383.12 | 9314.78 | 0.73 |
| FY2 | 46.70 | 47.72 | −2.14 | 8975.90 | 9109.32 | −1.46 |
| FY4 | 46.00 | 45.65 | 0.78 | 8586.36 | 8512.19 | 0.87 |
| Average | 0.03 | 0.05 | ||||
| Property | Model | Parameters | SSE |
|---|---|---|---|
| Strength | Weakest Link | A1 = 48.88, B1 = 2.07 × 10−4 | 58.49 |
| Fracture Energy | B2 = 49.75, D0 = 2.68 × 107 | 50.64 | |
| Multifractal | A3 = 2377.00, B3 = −8.56 × 103 | 58.48 | |
| Modulus | Weakest Link | A1 = 1.09 × 104, B1 = 9.83 × 10−3 | 4.64 × 106 |
| Fracture Energy | B2 = 9.95 × 103, D0 = 1.37 × 107 | 3.70 × 106 | |
| Multifractal | A3 = 9.18 × 107, B3 = 7.82 × 10−2 | 4.73 × 106 |
| Group | Strength | Modulus | ||||
|---|---|---|---|---|---|---|
| Estimated (MPa) | Experimental (MPa) | Error (%) | Estimated (MPa) | Experimental (MPa) | Error (%) | |
| FY1 | 49.69 | 46.39 | 7.12 | 9923.31 | 9314.78 | 6.53 |
| FY2 | 49.63 | 47.72 | 4.02 | 9900.77 | 9109.32 | 8.69 |
| FY3 | 49.29 | 55.25 | −10.78 | 9768.70 | 11,396.94 | −14.29 |
| FY4 | 46.41 | 45.65 | 1.67 | 8746.66 | 8512.19 | 2.75 |
| Average | 0.51 | 0.92 | ||||
| Group | ρ (g/cm3) | Specific Strength (MPa·cm3/g) | Specific Modulus (MPa·cm3/g) |
|---|---|---|---|
| FY1 | 0.65 ± 0.03 | 71.97 ± 6.74 | 14,452.04 ± 1122.85 |
| FY2 | 0.62 ± 0.01 | 77.00 ± 1.85 | 14,706.26 ± 1002.11 |
| FY3 | 0.62 ± 0.01 | 89.02 ± 1.09 | 18,370.84 ± 3542.90 |
| FY4 | 0.64 ± 0.01 | 71.12 ± 1.61 | 13,258.92 ± 598.59 |
| Property | Model | Parameters | SSE |
|---|---|---|---|
| Specific Strength | Weakest Link | A1 = 78.94, B1 = 1.67 × 10−3 | 203.90 |
| Fracture Energy | B2 = 79.28, D0 = 2.07 × 107 | 172.10 | |
| Multifractal | A3 = 5.97 × 103, B3 = −3.58 × 104 | 204.00 | |
| Specific Modulus | Weakest Link | A1 = 0.58, B1 = 0.43 | 9.38 × 108 |
| Fracture Energy | B2 = 1.59 × 104, D0 = 1.18 × 107 | 1.13 × 107 | |
| Multifractal | A3 = 2.31 × 108, B3 = 0.18 | 1.46 × 107 |
| Property | Model | Parameters | SSE |
|---|---|---|---|
| Strength | Weakest Link | A1 = 76.64, B1 = −3.30 × 10−4 | 82.97 |
| Fracture Energy | B2 = 78.80, D0 = 2.30 × 107 | 72.31 | |
| Multifractal | A3 = 5.92 × 103, B3 = 0.26 | 82.97 | |
| Modulus | Weakest Link | A1 = 1.70 × 104, B1 = 9.27 × 10−3 | 5.69 × 106 |
| Fracture Energy | B2 = 1.58 × 104, D0 = 1.25 × 107 | 4.56 × 106 | |
| Multifractal | A3 = 2.29 × 108, B3 = 0.26 | 5.78 × 106 |
| Group | Estimated Specific Strength (MPa·g−1·cm3) | Strength | Estimated Specific Modulus (MPa·g−1·cm3) | Modulus | ||||
|---|---|---|---|---|---|---|---|---|
| Estimated (MPa) | Experimental (MPa) | Error (%) | Estimated (MPa) | Experimental (MPa) | Error (%) | |||
| FY1 | 79.16 | 51.12 | 46.39 | 10.20 | 15,808.05 | 10,208.51 | 9314.78 | 9.59 |
| FY2 | 79.04 | 48.99 | 47.72 | 2.67 | 15,766.43 | 9772.70 | 9109.32 | 7.28 |
| FY3 | 78.34 | 48.62 | 55.25 | −12.00 | 15,523.43 | 9635.09 | 11,396.94 | −15.46 |
| FY4 | 72.57 | 46.59 | 45.65 | 2.05 | 13,691.62 | 8789.70 | 8512.19 | 3.26 |
| Average | 0.73 | 1.17 | ||||||
| Group | Strength | Modulus | ||||
|---|---|---|---|---|---|---|
| Estimated (MPa) | Experimental (MPa) | Error (%) | Estimated (MPa) | Experimental (MPa) | Error (%) | |
| FY1 | 50.82 | 46.39 | 9.55 | 10,145.77 | 9314.78 | 8.92 |
| FY2 | 48.71 | 47.72 | 2.08 | 9714.22 | 9109.32 | 6.64 |
| FY3 | 48.39 | 55.25 | −12.42 | 9586.46 | 11,396.94 | −15.89 |
| FY4 | 46.69 | 45.65 | 2.28 | 8804.02 | 8512.19 | 3.43 |
| Average | 0.37 | 0.78 | ||||
| Property | Size Effect Factor | Critical Volume (mm3) | Critical Side Length (mm) * |
|---|---|---|---|
| Strength | 0.86 | 7,932,500.00 | 125.64 |
| Modulus | 0.78 | 8,027,500.00 | 126.14 |
Disclaimer/Publisher’s Note: The statements, opinions and data contained in all publications are solely those of the individual author(s) and contributor(s) and not of MDPI and/or the editor(s). MDPI and/or the editor(s) disclaim responsibility for any injury to people or property resulting from any ideas, methods, instructions or products referred to in the content. |
© 2025 by the authors. Licensee MDPI, Basel, Switzerland. This article is an open access article distributed under the terms and conditions of the Creative Commons Attribution (CC BY) license (https://creativecommons.org/licenses/by/4.0/).
Share and Cite
Li, J.-N.; Singh, A.; Zhou, J.-W.; Zhang, H.-T.; Lu, Y.-C. Size and Geometry Effects on Compressive Failure of Laminated Bamboo: A Combined Experimental and Multi-Model Theoretical Approach. Buildings 2025, 15, 3261. https://doi.org/10.3390/buildings15183261
Li J-N, Singh A, Zhou J-W, Zhang H-T, Lu Y-C. Size and Geometry Effects on Compressive Failure of Laminated Bamboo: A Combined Experimental and Multi-Model Theoretical Approach. Buildings. 2025; 15(18):3261. https://doi.org/10.3390/buildings15183261
Chicago/Turabian StyleLi, Jian-Nan, Amardeep Singh, Jun-Wen Zhou, Hai-Tian Zhang, and Yun-Chuan Lu. 2025. "Size and Geometry Effects on Compressive Failure of Laminated Bamboo: A Combined Experimental and Multi-Model Theoretical Approach" Buildings 15, no. 18: 3261. https://doi.org/10.3390/buildings15183261
APA StyleLi, J.-N., Singh, A., Zhou, J.-W., Zhang, H.-T., & Lu, Y.-C. (2025). Size and Geometry Effects on Compressive Failure of Laminated Bamboo: A Combined Experimental and Multi-Model Theoretical Approach. Buildings, 15(18), 3261. https://doi.org/10.3390/buildings15183261

