- Article
Urban Metro System Network Resilience Under Waterlogging Disturbance: Connectivity-Based Measurement and Enhancement
- Xiaohua Yang,
- Xiaer Xiahou,
- Kang Li and
- Qiming Li
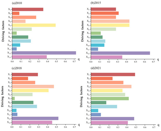
Urban metro systems (UMSs) primarily consist of underground structures and are therefore highly susceptible to disasters, such as rainstorms and waterlogging. The damages caused by such events are often substantial and difficult to recover from, high...

