Dynamic Characteristics and Parameter Optimization of Floor Vibration Isolation Systems for Metro-Induced Vibrations in Over-Track Buildings
Abstract
1. Introduction
2. Theoretical Analysis on Dynamic Characteristics of Floor Isolation System
2.1. SDOF Isolation System
2.2. MDOF Isolation System
- Translational DOFs:
- 2.
- Rotational DOFs:
- 3.
- Bearing configuration:
2.2.1. Coupled DOF Response (ux, θy)
- When H = 0, the height-dependent coupling terms vanish from the dynamic equations and frequency response functions. Consequently, the ux equation simplifies to an SDOF system driven solely by X-direction excitation, completely decoupled from θy. Similarly, the θy equation reduces to an SDOF system excited exclusively by the eccentric moment from Z-direction excitation, decoupled from ux. Under this condition, horizontal excitation induces only translational response ux without generating additional moments, while rotational response θy arises solely from Z-direction excitation eccentricity.
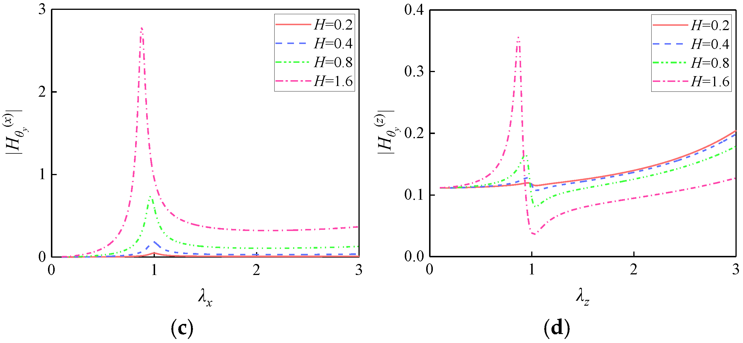
- When H ≠ 0, non-zero off-diagonal terms in the impedance matrix Z indicate dynamic “ux-θy” coupling. Horizontal excitation directly excites ux through the H11 term and generates a coupling moment FxH due to the height difference H. This moment excites θy, whose rotational velocity and displacement subsequently influence ux through coupling terms NHcx and NHkx.
2.2.2. Independent DOF Response (uy, uz)
- Y-direction response uy
- 2.
- Z-direction response uz
3. Numerical Analysis on the Influence of System Parameters on Vibration Isolation Performance
3.1. Theoretical Stability Analysis of Key Parameters
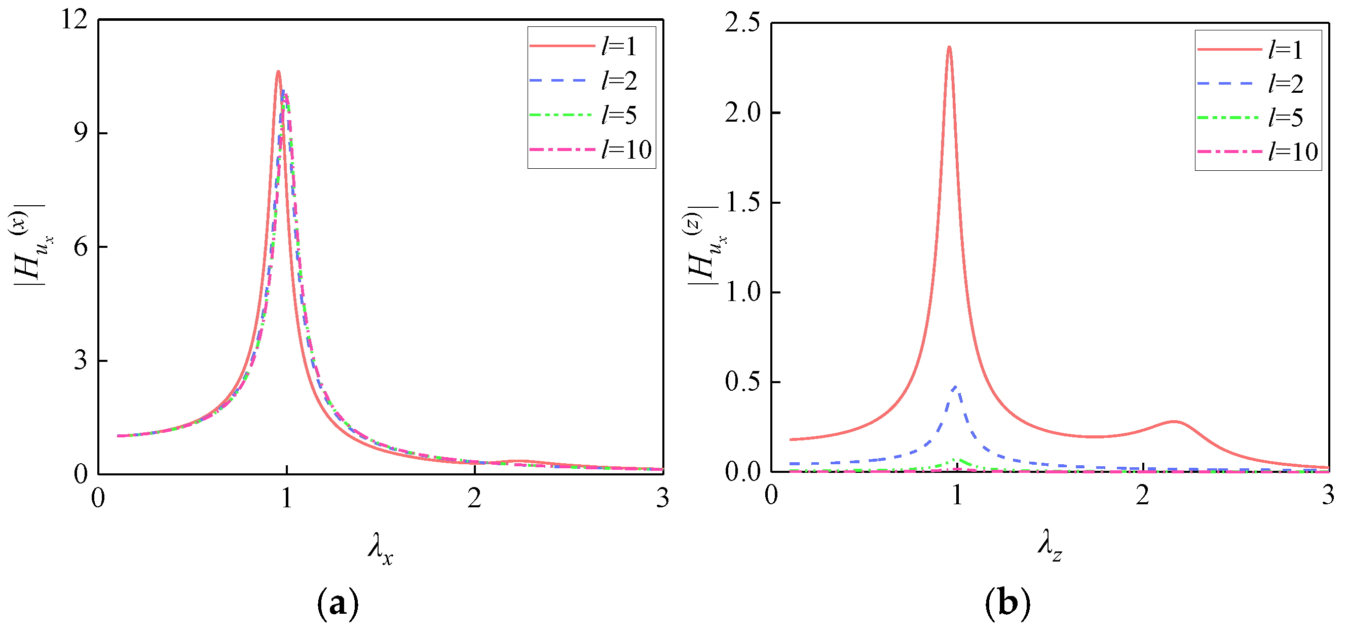
3.1.1. Influence of the Isolation Plate Length
3.1.2. Influence of the Number of Bearings
3.1.3. Influence of the Bearing Arrangement
3.2. Parametric Numerical Analysis of Vibration Isolation Performance
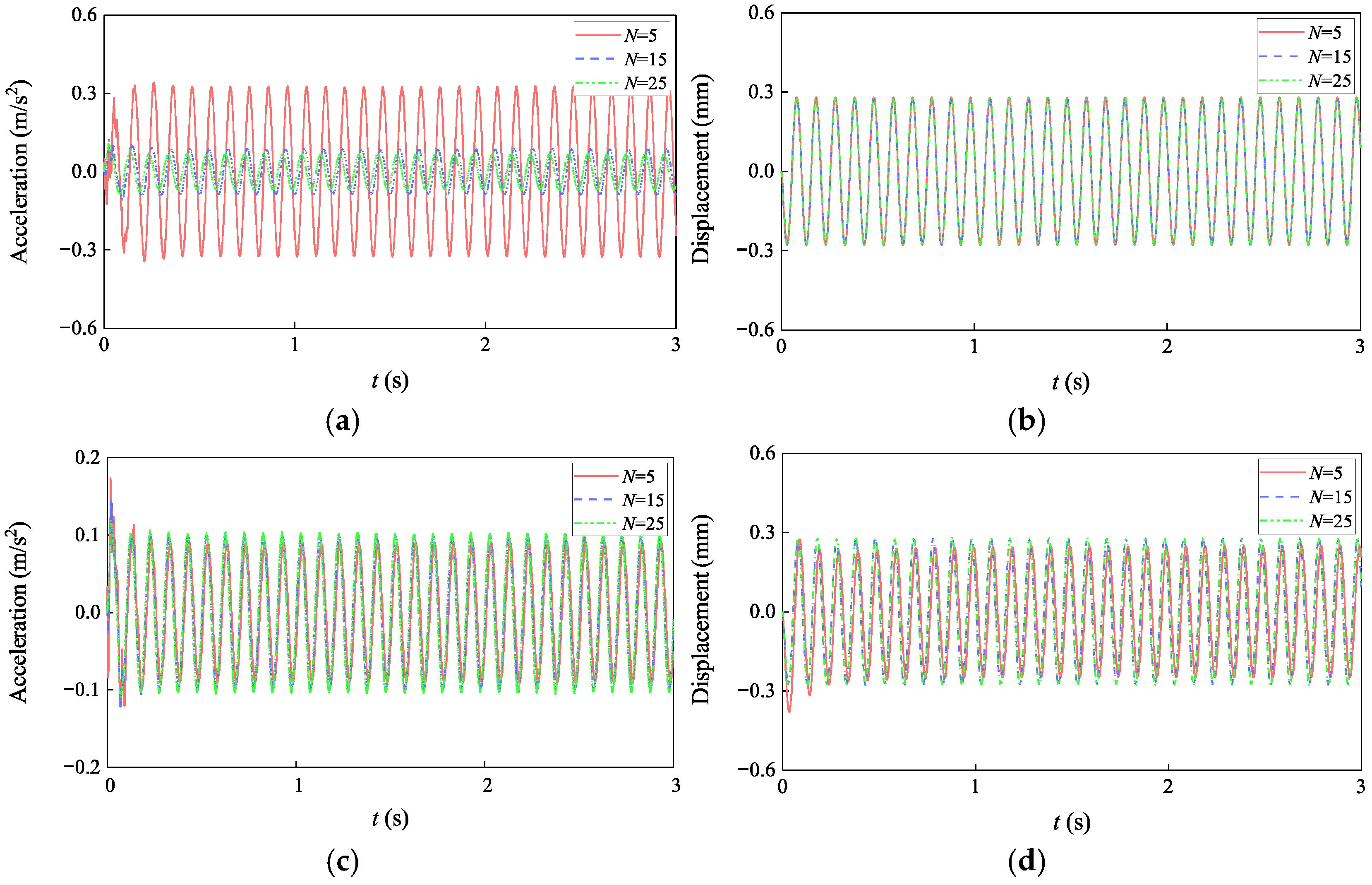
3.2.1. Influence of the Number of Bearings
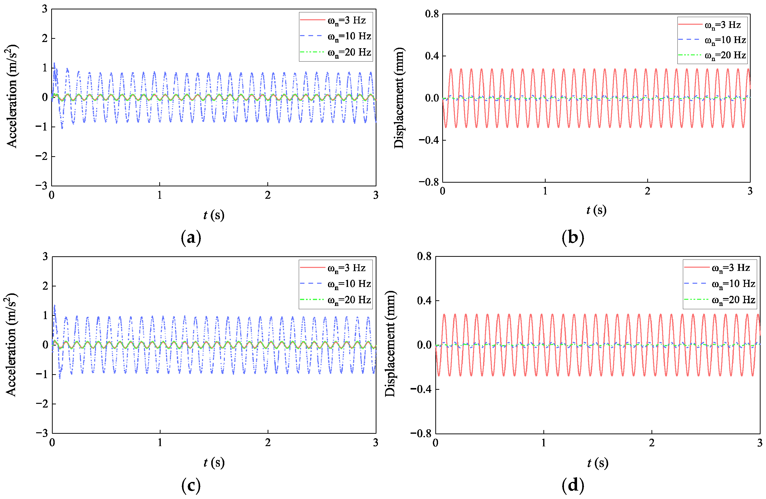
3.2.2. Influence of Isolation Frequency
3.2.3. Influence of Bearing Damping Ratio
4. Vibration Isolation Performance of Floor Isolation Systems Under Metro-Induced Vibrations in Over-Track Buildings
4.1. Numerical Modeling
4.2. Influence of Key Parameters of the Isolation System on Metro-Induced Vibration Isolation
4.2.1. Influence of the Number of Bearings
4.2.2. Influence of Isolation Frequency
4.2.3. Influence of Bearing Damping Ratio
4.3. Parametric Sensitivity Analysis for Robustness of Isolation Systems
4.3.1. Sensitivity to Deviations in the Number of Bearings
4.3.2. Sensitivity to Deviations in Isolation Frequency
4.3.3. Sensitivity to Deviations in Bearing Damping Ratio
5. Practical Implementation Challenges
5.1. Bearing Installation
5.2. Cost Considerations
5.3. Maintenance Requirements
5.4. Potential Practical Problems
6. Conclusions
- (1)
- A 4-DOF model (ux, uy, uz, θy) was established to analyze the dynamic behavior of the isolation floor system under multi-point excitations. The height difference (H) between the horizontal bearing installation plane and the centroid of the isolation plate was identified as a critical factor inducing significant “translation–rotation” coupling. When H = 0, the system becomes decoupled, simplifying response prediction and improving isolation efficiency.
- (2)
- Dimensionless theoretical analysis demonstrated that the dynamic response of the isolation floor system is strongly influenced by key parameters, including the plate length, number of bearings, and bearing arrangement. Increasing the plate length enhances the moment of inertia, which amplifies rotational inertial impedance and reduces both rotational and coupled translational responses. Additional bearings improve system stiffness and damping, effectively lowering all FRF magnitudes and enhancing stability. However, this effect diminishes beyond an optimal bearing quantity, indicating a trade-off between performance and cost. A larger H amplifies “translation–rotation” coupling and substantially increases all FRF magnitudes, particularly the coupled rotational response. Optimal stability is achieved when bearings are located at the centroid of the isolation plate.
- (3)
- Parametric FE simulations further elucidated the influence of key parameters. Increasing the number of bearings promotes uniform stiffness, thereby reducing the overall acceleration and mitigating differences between central and corner points. However, the marginal benefit declines beyond 25 bearings. The isolation frequency dictates energy transmission: operation within the 3–5 Hz isolation band minimizes acceleration, rendering the system suitable for acceleration-sensitive applications. Conversely, higher frequencies could shift the system into the amplification zone, significantly elevating acceleration. Higher damping ratios enhance energy dissipation, effectively attenuating transient acceleration and displacement, though they slightly increase steady-state acceleration due to increased transmissibility in the isolation zone.
- (4)
- A coupled FE model of the rail–trackbed–soil–over-track building–isolation floor system was established to evaluate the isolation performance under realistic metro-induced vibrations. Simulations confirmed that the isolation floor system effectively reduces vibration transmission, resulting in spatially uniform responses across different floor levels. Increasing the number of bearings lowers acceleration and spectral responses and minimizes spatial variation between center and corner points. The analysis indicates that isolation frequencies of 3–5 Hz maximize efficacy, while a damping ratio of 0.05–0.1 provides comprehensive response suppression and spatial uniformity, representing an optimal performance–cost balance. Sensitivity analysis further demonstrates that the proposed parameter ranges exhibit strong robustness against practical deviations of ±20%, thereby ensuring reliable performance despite typical manufacturing and installation tolerances. These optimized parameter ranges are derived from generalized trends and are recommended as design guidelines for such systems in various over-track buildings.
- (5)
- Our findings elucidate the critical mechanism of “translation–rotation” coupling induced by the height difference H, providing a generalized analytical method beyond simplified SDOF models. The identified optimal parameters offer practical and robust design guidelines for vibration control in over-track buildings, enhancing their sustainable development. We also acknowledge certain limitations that point to valuable future research directions, including the following:
- While the current model primarily addresses harmonic and metro-induced vibrations, future work should incorporate multi-physics analyses, including combined loads from wind, human activities, and building equipment, to fully validate the system’s robustness under complex real-world operational conditions.
- The analysis assumed linear elastic material behavior for isolation bearings under low-strain vibrations. Investigating their long-term performance, including the potential effects of aging on high-damping rubber bearings, wear in sliding surface systems, and the impact of these factors on the isolation performance over the structure’s lifespan is crucial for life-cycle assessment and maintenance planning.
- Although the rigid-body assumption for the slab is justified for the target global response, a more detailed investigation coupling rigid-body modes with local flexural deformations of the slab could provide insights into high-frequency vibration transmission and localized responses, which would be beneficial for applications with strict vibration criteria.
- Exploring hybrid or semi-active control strategies that integrate the isolation system with tuned mass dampers (TMDs) or adaptive damping mechanisms could further enhance adaptability across a broader frequency range and under varying load conditions.
- Large-scale or full-scale experimental testing under well-controlled conditions is highly recommended to further corroborate the numerical findings and theoretical models presented in this study.
Author Contributions
Funding
Data Availability Statement
Conflicts of Interest
References
- Connolly, D.; Giannopoulos, A.; Forde, M.C. Numerical modelling of ground-borne vibrations from high-speed rail lines on embankments. Soil Dyn. Earthq. Eng. 2013, 46, 13–19. [Google Scholar] [CrossRef]
- Shao, Z.P.; Bai, W.; Dai, J.W.; Yu, H.; Tong, Y.M. Monitoring and analysis of railway-induced vibration and structure-borne noise in a transit oriented development project. Structures 2023, 57, 105097. [Google Scholar] [CrossRef]
- Hung, H.H.; Chen, G.H.; Yang, Y.B. Effect of railway roughness on soil vibrations due to moving trains by 2.5D finite/infinite element approach. Eng. Struct. 2013, 57, 254–266. [Google Scholar] [CrossRef]
- Sanayei, M.; Kayiparambil, P.A.; Moore, J.A.; Brett, C.R. Measurement and prediction of train-induced vibrations in a full-scale building. Eng. Struct. 2014, 77, 119–128. [Google Scholar] [CrossRef]
- Zou, C.; Wang, Y.; Moore, J.A.; Sanayei, M. Train-induced field vibration measurements of ground and over-track buildings. Sci. Total Environ. 2017, 575, 1339–1351. [Google Scholar] [CrossRef] [PubMed]
- Cao, Z.L.; Guo, T.; Zhang, Z.Q.; Li, A.Q. Measurement and analysis of vibrations in a residential building constructed on an elevated metro depot. Measurement 2018, 125, 394–405. [Google Scholar] [CrossRef]
- Tao, Z.Y.; Zou, C.; Wang, Y.M.; Wu, J. Vibration transmission within low-rise buildings above metro depot throat areas. J. Vib. Control 2023, 29, 1105–1116. [Google Scholar] [CrossRef]
- Liang, Q.H.; Zhou, Y.; Wang, D.Y.; Luo, W.; Li, J.; He, Z.M. Shaking table test of vertical isolation performances of super high-rise structure under metro train-induced vibration. J. Build. Eng. 2024, 82, 108323. [Google Scholar] [CrossRef]
- Bin, P.; Harvey, P.S., Jr. A dual-mode floor isolation system to achieve vibration isolation and absorption: Experiments and theory. J. Sound Vib. 2022, 525, 116757. [Google Scholar] [CrossRef]
- Sheng, T.; Bian, X.C.; Xiao, C.; Liu, G.B.; Li, Y. Experimental study on a geosynthetics isolator for the base vibration isolation of buildings neighboring metro transportation. Geotext. Geomembr. 2021, 49, 1066–1078. [Google Scholar] [CrossRef]
- Sheng, T.; Shi, W.X.; Shan, J.Z.; Hong, X.C.; Bian, G.B.; Liu, Y. Base isolation of buildings for subway-induced environmental vibration: Field experiments and a semi-analytical prediction model. Struct. Des. Tall Spec. 2020, 29, e1798. [Google Scholar] [CrossRef]
- Wang, C.H.; Wang, J.; Chen, H.; Ou, J.P. Mitigating train-induced building vibrations with rubber bearings designed for horizontal earthquake isolation. J. Build. Eng. 2024, 89, 109251. [Google Scholar] [CrossRef]
- Gidaris, I.; Taflanidis, A.; Lopez-Garcia, D.; Mavroeidis, G.P. Multi-objective risk-informed design of floor isolation systems. Earthq. Eng. Struct. Dyn. 2016, 45, 1293–1313. [Google Scholar] [CrossRef]
- Zhao, C.; Shi, D.; Zheng, J.; Niu, Y.; Wang, P. New floating slab track isolator for vibration reduction using particle damping vibration absorption and bandgap vibration resistance. Constr. Build. Mater. 2022, 336, 127561. [Google Scholar] [CrossRef]
- Lu, L.Y.; Lee, T.Y.; Juang, S.Y.; Yeh, S.W. Polynomial friction pendulum isolators (PFPIs) for building floor isolation: An experimental and theoretical study. Eng. Struct. 2013, 56, 970–982. [Google Scholar] [CrossRef]
- Cui, S.L.; Bruneau, M.; Kasalanati, A. Seismic response case study of isolated floor system having special biaxial spring units. J. Struct. Eng. 2016, 142, 05016002. [Google Scholar] [CrossRef]
- Fayyadh, N.K.; Hejazi, F. Hybrid rubber-concrete isolation slab system with various shape factors for structures subjected to horizontal and vertical vibrations. Struct. Des. Tall Spec. Build. 2023, 32, e1995. [Google Scholar] [CrossRef]
- Xiang, P.; Nishitani, A. Seismic vibration control of building structures with multiple tuned mass damper floors integrated. Earthq. Eng. Struct. Dyn. 2014, 43, 909–925. [Google Scholar] [CrossRef]
- Kuo, K.A.; Papadopoulos, M.; Lombaert, G. The coupling loss of a building subject to railway induced vibrations: Numerical modelling and experimental measurements. J. Sound Vib. 2019, 442, 459–481. [Google Scholar] [CrossRef]
- Song, Y.S.; Sun, X.T. Modeling and dynamics of a MDOF isolation system. Appl. Sci. 2017, 7, 393. [Google Scholar] [CrossRef]
- Charalampakis, A.E.; Tsiatas, G.C.; Tsopelas, P. A mass-reduction design concept for seismic hazard mitigation. Earthq. Eng. Struct. Dyn. 2020, 49, 301–314. [Google Scholar] [CrossRef]
- Liu, S.; Warn, G.P. Seismic performance and sensitivity of floor isolation systems in steel plate shear wall structures. Eng. Struct. 2012, 42, 115–126. [Google Scholar] [CrossRef]
- Clough, R.W.; Penzien, J. Dynamics of Structures; Computers and Structures, Inc.: Walnut Creek, CA, USA, 2003. [Google Scholar]
- Ruzicka, J.E.; Derby, T.F. Derby, Influence of Damping in Vibration Isolation; Naval Research Laboratory, U.S. Department of Defense: Washington, DC, USA, 1971. [Google Scholar]
- Li, X.M.; Chen, Y.K.; Zou, C.; Wu, J.H.; Shen, Z.X.; Chen, Y. Building coupling loss measurement and prediction due to train-induced vertical vibrations. Soil Dyn. Earthq. Eng. 2023, 164, 107644. [Google Scholar] [CrossRef]
- Zhu, Z.H.; Wang, L.D.; Costa, P.A.; Bai, Y.; Yu, Z.W. An efficient approach for prediction of subway train-induced ground vibrations considering random track unevenness. J. Sound Vib. 2019, 455, 359–379. [Google Scholar] [CrossRef]
- Han, Q.H.; Jing, M.; Lu, Y. Shaking table tests on the seismic response of truss structure with air spring-FPS three-dimensional isolation bearing. Earthq. Eng. Struct. Dyn. 2023, 52, 4964–4986. [Google Scholar] [CrossRef]
- Zhang, W.; Che, J.X.; Shu, H.; Bai, Y.M.; Liu, X.Y.; Wu, J.L.; Chen, W.D. Stewart-inspired vibration isolation mechanisms for precision equipment: Current status and future research trend. Mech. Mach. Theory 2025, 214, 106153. [Google Scholar] [CrossRef]
- Liu, Z.H.; Sun, L.M.; Chen, L.; Damatty, A.E. Dynamic analysis of long-span bridges with vibration control systems: A novel reduced-order model and comparative study. Eng. Struct. 2025, 333, 120066. [Google Scholar] [CrossRef]
- Qu, S.; Yang, J.; Feng, Y.; Peng, C.; Zhao, S.; Zhai, W. Ground vibration induced by maglev trains running inside tunnel: Numerical modelling and experimental validation. Soil Dyn. Earthq. Eng. 2022, 157, 107278. [Google Scholar] [CrossRef]
- Cheng, Y.; Lu, K.Y.; Huang, Q.J.; Ding, F.; Song, C.Y. Environmental microvibration analysis method for vibration isolation research in high-precision laboratories. Buildings 2024, 14, 1215. [Google Scholar] [CrossRef]
- Jing, M.; Lu, F.; Chen, Y.; Li, Y.; Gao, S.L.; Zhang, R.J. Research on the vibration response and control technologies for buildings above the metro depot. J. Build. Eng. 2025, 109, 112908. [Google Scholar] [CrossRef]
- Li, X.; Chen, Y.; Zou, C.; Chen, Y. Train-induced vibration mitigation based on foundation improvement. J. Build. Eng. 2023, 76, 107106. [Google Scholar] [CrossRef]
- Ren, Y.; Qu, S.; Yang, J.; Li, Q.; Zhu, B.; Zhai, W.; Zhu, S. An efficient three-dimensional dynamic stiffness-based model for predicting subway train-induced building vibrations. J. Build. Eng. 2023, 76, 107239. [Google Scholar] [CrossRef]
- Otsubo, M.; O’Sullivan, C.; Shire, T. Empirical assessment of the critical time increment in explicit particulate discrete element method simulations, Comput. Comput. Geotech. 2017, 86, 67–79. [Google Scholar] [CrossRef]
- Salehi, M.; Bagherzadeh, S.A.; Fakhari, M. Experimental detection of train wheel defects using wayside vibration signal processing. Struct. Health Monit. 2023, 22, 3286–3301. [Google Scholar] [CrossRef]
- Domenico, M.D.; Ricc, P.; Verderame, G. Floor spectra for bare and infilled reinforced concrete frames designed according to Eurocodes. Earthq. Eng. Struct. Dyn. 2021, 50, 3577–3601. [Google Scholar] [CrossRef]
- Algamati, M.; Al-Sakkaf, A.; Bagchi, A. Energy dissipation technologies in seismic retrofitting: A review. Civ. Eng. 2025, 6, 23. [Google Scholar] [CrossRef]



























| Case No. | Number of Bearings | Bearing Stiffness (kN/m) | Damping Coefficient (N·s/m) | Isolation Frequency (Hz) | Damping Ratio |
|---|---|---|---|---|---|
| 1 | 5 | 818.6 | 4343 | 3 | 0.05 |
| 2 | 15 | 272.9 | 1448 | ||
| 3 | 25 | 90.96 | 482.6 |
| Number of Bearings | Acceleration (m/s2) | Displacement (mm) | ||||||
|---|---|---|---|---|---|---|---|---|
| Center Point | Corner Point | Center Point | Corner Point | |||||
| Transient | Steady | Transient | Steady | Transient | Steady | Transient | Steady | |
| 5 | 0.351 | 0.334 | 0.173 | 0.094 | 0.28 | 0.28 | 0.38 | 0.26 |
| 15 | 0.130 | 0.093 | 0.146 | 0.104 | 0.28 | 0.28 | 0.28 | 0.28 |
| 25 | 0.111 | 0.072 | 0.120 | 0.107 | 0.28 | 0.28 | 0.28 | 0.28 |
| Case No. | Number of Bearings | Bearing Stiffness (kN/m) | Damping Coefficient (N·s/m) | Isolation Frequency (Hz) | Damping Ratio |
|---|---|---|---|---|---|
| 1 | 15 | 272.9 | 1448 | 3 | 0.05 |
| 2 | 3032.1 | 4826 | 10 | ||
| 3 | 12,126.7 | 9652 | 20 |
| Isolation Frequency (Hz) | Acceleration (m/s2) | Displacement (mm) | ||||||
|---|---|---|---|---|---|---|---|---|
| Center Point | Corner Point | Center Point | Corner Point | |||||
| Transient | Steady | Transient | Steady | Transient | Steady | Transient | Steady | |
| 3 | 0.130 | 0.093 | 0.146 | 0.104 | 0.28 | 0.28 | 0.28 | 0.28 |
| 10 | 1.252 | 0.901 | 1.405 | 1.023 | 0.026 | 0.026 | 0.026 | 0.026 |
| 20 | 0.161 | 0.122 | 0.181 | 0.130 | 0.007 | 0.007 | 0.007 | 0.007 |
| Case No. | Number of Bearings | Bearing Stiffness (kN/m) | Damping Coefficient (N·s/m) | Isolation Frequency (Hz) | Damping Ratio |
|---|---|---|---|---|---|
| 1 | 15 | 272.9 | 579 | 3 | 0.02 |
| 2 | 272.9 | 1448 | 0.05 | ||
| 3 | 272.9 | 2895 | 0.1 |
| Damping Ratios | Acceleration (m/s2) | Displacement (mm) | ||||||
|---|---|---|---|---|---|---|---|---|
| Center Point | Corner Point | Center Point | Corner Point | |||||
| Transient | Steady | Transient | Steady | Transient | Steady | Transient | Steady | |
| 0.02 | 0.138 | 0.087 | 0.154 | 0.097 | 0.30 | 0.29 | 0.30 | 0.29 |
| 0.05 | 0.130 | 0.093 | 0.146 | 0.104 | 0.28 | 0.28 | 0.28 | 0.28 |
| 0.1 | 0.115 | 0.100 | 0.139 | 0.116 | 0.25 | 0.24 | 0.25 | 0.24 |
| Material Property | Unit | Artificial Fill | Sandy Silty Soil | Silt Interbedded with Sandy Silty Soil |
|---|---|---|---|---|
| Thickness (H) | m | 0.6 | 8 | 51.4 |
| Density (ρ) | kg/m3 | 1780 | 1900 | 1940 |
| Poisson ratio (ν) | - | 0.29 | 0.31 | 0.33 |
| Shear wave velocity (Vs) | m/s | 120 | 155 | 171 |
| Dynamic elastic modulus (Ed) | MPa | 135.7 | 166.8 | 217 |
| Water content (w) | % | 28.9 | 26.3 | 23.4 |
| Degree of saturation (Sr) | % | 93.5 | 93.1 | 92.1 |
| Void ratio (e) | - | 0.702 | 0.764 | 0.68 |
| Uniformity coefficient (Cu) | - | 4.92 | 6.6 | 13.92 |
| Curvature coefficient (Cc) | - | 0.91 | 0.91 | 0.85 |
| Compression modulus (Es) | MPa | 7.5 | 10.1 | 11.5 |
| Cohesion (c) | kPa | 27 | 29 | 26 |
| Friction angle (φ) | ° | 25.6 | 28 | 28.3 |
| Vertical permeability (kv) | cm/s | 4.5 × 10−4 | 1.2 × 10−3 | 2.0 × 10−3 |
| Horizontal permeability (kh) | cm/s | 7.0 × 10−4 | 2.5 × 10−3 | 3.5 × 10−4 |
| Material Property | Density (kg/m3) | Young’s Modulus (MPa) | Poisson Ratio |
|---|---|---|---|
| Rail | 7850 | 2.06 × 105 | 0.3 |
| Sleeper | 2500 | 32,500 | 0.2 |
| Ballast | 1800 | 130 | 0.35 |
| Subgrade | 2500 | 315,000 | 0.3 |
| Case No. | Isolation Frequency (Hz) | Number of Bearings | Damping Ratio | Spring Stiffness (kN/m) | Damping Coefficient (N·s/m) |
|---|---|---|---|---|---|
| 1 | 3 | 4 | 0.05 | 218.3 | 1158.1 |
| 2 | 9 | 97.0 | 514.7 | ||
| 3 | 25 | 34.9 | 185.2 |
| Number of Bearings | N = 4 | N = 9 | N = 25 | ||||
|---|---|---|---|---|---|---|---|
| Center Point | Corner Point | Center Point | Corner Point | Center Point | Corner Point | ||
| Acceleration (m/s2) | Non-isolated | 0.0417 | |||||
| Isolated | 0.0338 | 0.0625 | 0.0244 | 0.0369 | 0.0173 | 0.0279 | |
| Isolation rate (%) | 18.94 | −49.88 | 41.49 | 11.51 | 58.51 | 33.09 | |
| Displacement (mm) | Non-isolated | 0.0487 | |||||
| Isolated | 0.0115 | 0.0136 | 0.0110 | 0.0120 | 0.0107 | 0.0112 | |
| Isolation rate (%) | 76.39 | 72.07 | 77.41 | 75.36 | 78.03 | 77.00 | |
| Spectral acceleration (m/s2) | Non-isolated | 0.0012 | |||||
| Isolated | 0.0011 | 0.0013 | 0.0011 | 0.0012 | 0.0010 | 0.0011 | |
| Isolation rate (%) | 8.33 | −8.33 | 8.33 | 0.00 | 16.67 | 8.33 | |
| Vibration level (dB) | Non-isolated | 67.05 | |||||
| Isolated | 60.41 | 63.35 | 61.34 | 61.54 | 61.35 | 61.25 | |
| Insertion loss | 6.64 | 3.70 | 5.71 | 5.51 | 5.70 | 5.80 | |
| Case No. | Isolation Frequency (Hz) | Number of Bearings | Damping Ratio | Spring Stiffness (kN/m) | Damping Coefficient (N·s/m) |
|---|---|---|---|---|---|
| 1 | 3 | 25 | 0.05 | 34.9 | 185.2 |
| 2 | 5 | 97.0 | 308.9 | ||
| 3 | 10 | 388.2 | 617.7 |
| Isolation frequency | ωn = 3 Hz | ωn = 5 Hz | ωn = 10 Hz | ||||
|---|---|---|---|---|---|---|---|
| Center Point | Corner Point | Center Point | Corner Point | Center Point | Corner Point | ||
| Acceleration (m/s2) | Non-isolated | 0.0417 | |||||
| Isolated | 0.0173 | 0.0279 | 0.0252 | 0.0361 | 0.0449 | 0.0681 | |
| Isolation rate (%) | 58.51 | 33.09 | 39.57 | 13.43 | −7.67 | −63.31 | |
| Displacement (mm) | Non-isolated | 0.0487 | |||||
| Isolated | 0.0107 | 0.0112 | 0.0025 | 0.0027 | 0.0017 | 0.0024 | |
| Isolation rate (%) | 78.03 | 77.00 | 94.87 | 94.46 | 96.51 | 95.07 | |
| Spectral acceleration (m/s2) | Non-isolated | 0.0012 | |||||
| Isolated | 0.0010 | 0.0011 | 0.0011 | 0.0012 | 0.0024 | 0.0030 | |
| Isolation rate (%) | 16.67 | 8.33 | 8.33 | 0.00 | −100.00 | −150.00 | |
| Vibration level (dB) | Non-isolated | 67.05 | |||||
| Isolated | 61.35 | 61.25 | 64.33 | 65.10 | 74.81 | 75.66 | |
| Insertion loss | 5.70 | 5.80 | 2.72 | 1.95 | −7.76 | −8.61 | |
| Case No. | Isolation Frequency (Hz) | Number of Bearings | Damping Ratio | Spring Stiffness (kN/m) | Damping Coefficient (N·s/m) |
|---|---|---|---|---|---|
| 1 | 3 | 25 | 0.02 | 34.9 | 74.12 |
| 2 | 0.05 | 185.2 | |||
| 3 | 0.1 | 370.6 |
| Damping Ratio | ξ = 0.02 | ξ = 0.05 | ξ = 0.1 | ||||
|---|---|---|---|---|---|---|---|
| Center Point | Corner Point | Center Point | Corner Point | Center Point | Corner Point | ||
| Acceleration (m/s2) | Non-isolated | 0.0417 | |||||
| Isolated | 0.0186 | 0.0301 | 0.0173 | 0.0279 | 0.0170 | 0.0251 | |
| Isolation rate (%) | 55.40 | 27.82 | 58.51 | 33.09 | 59.23 | 39.81 | |
| Displacement (mm) | Non-isolated | 0.0487 | |||||
| Isolated | 0.0133 | 0.0143 | 0.0107 | 0.0112 | 0.0104 | 0.0106 | |
| Isolation rate (%) | 72.69 | 70.64 | 78.03 | 77.00 | 78.64 | 78.23 | |
| Spectral acceleration (m/s2) | Non-isolated | 0.0012 | |||||
| Isolated | 0.0017 | 0.0016 | 0.001 | 0.0011 | 0.0009 | 0.001 | |
| Isolation rate (%) | −41.67 | −33.33 | 16.67 | 8.33 | 25.00 | 16.67 | |
| Vibration level (dB) | Non-isolated | 67.05 | |||||
| Isolated | 64.47 | 64.42 | 61.35 | 61.25 | 59.93 | 60.85 | |
| Insertion loss | 2.58 | 2.63 | 5.70 | 5.80 | 7.12 | 6.20 | |
| Case No. | Isolation Frequency (Hz) | Number of Bearings | Damping Ratio | Spring Stiffness (kN/m) | Damping Coefficient (N·s/m) |
|---|---|---|---|---|---|
| 1 | 3 | 20 | 0.05 | 43.6 | 231.5 |
| 2 | 25 | 34.9 | 185.2 | ||
| 3 | 30 | 29.1 | 154.3 |
| Number of Bearings | N = 20 | N = 25 | N = 30 | ||||
|---|---|---|---|---|---|---|---|
| Center Point | Corner Point | Center Point | Corner Point | Center Point | Corner Point | ||
| Acceleration (m/s2) | Non-isolated | 0.0417 | |||||
| Isolated | 0.0185 | 0.0292 | 0.0173 | 0.0279 | 0.0162 | 0.0268 | |
| Isolation rate (%) | 55.64 | 29.98 | 58.51 | 33.09 | 61.15 | 35.73 | |
| Displacement (mm) | Non-isolated | 0.0487 | |||||
| Isolated | 0.0108 | 0.0115 | 0.0107 | 0.0112 | 0.0106 | 0.0110 | |
| Isolation rate (%) | 77.82 | 76.39 | 78.03 | 77.00 | 78.23 | 77.41 | |
| Spectral acceleration (m/s2) | Non-isolated | 0.0012 | |||||
| Isolated | 0.00105 | 0.00115 | 0.0010 | 0.0011 | 0.00095 | 0.00105 | |
| Isolation rate (%) | 12.50 | 4.17 | 16.67 | 8.33 | 20.83 | 12.5 | |
| Vibration level (dB) | Non-isolated | 67.05 | |||||
| Isolated | 61.35 | 61.50 | 61.35 | 61.25 | 61.35 | 61.23 | |
| Insertion loss | 5.70 | 5.55 | 5.70 | 5.80 | 5.70 | 5.82 | |
| Case No. | Isolation Frequency (Hz) | Number of Bearings | Damping Ratio | Spring Stiffness (kN/m) | Damping Coefficient (N·s/m) |
|---|---|---|---|---|---|
| 1 | 2.5 | 25 | 0.05 | 24.2 | 154.3 |
| 2 | 3 | 34.9 | 185.2 | ||
| 3 | 3.5 | 47.5 | 216.1 |
| Isolation Frequency | ωn = 2.5 Hz | ωn = 3 Hz | ωn = 3.5 Hz | ||||
|---|---|---|---|---|---|---|---|
| Center Point | Corner Point | Center Point | Corner Point | Center Point | Corner Point | ||
| Acceleration (m/s2) | Non-isolated | 0.0417 | |||||
| Isolated | 0.0158 | 0.0255 | 0.0173 | 0.0279 | 0.0191 | 0.0302 | |
| Isolation rate (%) | 62.11 | 38.80 | 58.51 | 33.09 | 54.20 | 27.58 | |
| Displacement (mm) | Non-isolated | 0.0487 | |||||
| Isolated | 0.0123 | 0.0130 | 0.0107 | 0.0112 | 0.0098 | 0.0105 | |
| Isolation rate (%) | 74.74 | 73.31 | 78.03 | 77.00 | 80.08 | 78.44 | |
| Spectral acceleration (m/s2) | Non-isolated | 0.0012 | |||||
| Isolated | 0.0010 | 0.0010 | 0.0010 | 0.0011 | 0.001 | 0.0011 | |
| Isolation rate (%) | 16.67 | 16.67 | 16.67 | 8.33 | 8.33 | 8.33 | |
| Vibration level (dB) | Non-isolated | 67.05 | |||||
| Isolated | 60.85 | 61.05 | 61.35 | 61.25 | 61.75 | 61.55 | |
| Insertion loss | 6.20 | 6.00 | 5.70 | 5.80 | 5.30 | 5.50 | |
| Case No. | Isolation Frequency (Hz) | Number of Bearings | Damping Ratio | Spring Stiffness (kN/m) | Damping Coefficient (N·s/m) |
|---|---|---|---|---|---|
| 1 | 3 | 25 | 0.04 | 34.9 | 148.2 |
| 2 | 0.05 | 185.2 | |||
| 3 | 0.06 | 222.2 |
| Damping Ratio | ξ = 0.04 | ξ = 0.05 | ξ = 0.06 | ||||
|---|---|---|---|---|---|---|---|
| Center Point | Corner Point | Center Point | Corner Point | Center Point | Corner Point | ||
| Acceleration (m/s2) | Non-isolated | 0.0417 | |||||
| Isolated | 0.0182 | 0.0292 | 0.0173 | 0.0279 | 0.0171 | 0.0276 | |
| Isolation rate (%) | 56.35 | 30.01 | 58.51 | 33.09 | 58.99 | 33.86 | |
| Displacement (mm) | Non-isolated | 0.0487 | |||||
| Isolated | 0.0128 | 0.0135 | 0.0107 | 0.0112 | 0.0106 | 0.0111 | |
| Isolation rate (%) | 73.72 | 72.28 | 78.03 | 77.00 | 78.44 | 77.41 | |
| Spectral acceleration (m/s2) | Non-isolated | 0.0012 | |||||
| Isolated | 0.0011 | 0.0012 | 0.0010 | 0.0011 | 0.00098 | 0.00108 | |
| Isolation rate (%) | 8.33 | 0 | 16.67 | 8.33 | 18.33 | 10.00 | |
| Vibration level (dB) | Non-isolated | 67.05 | |||||
| Isolated | 63.80 | 63.70 | 61.35 | 61.25 | 61.10 | 61.00 | |
| Insertion loss | 3.25 | 3.35 | 5.70 | 5.80 | 5.95 | 6.05 | |
Disclaimer/Publisher’s Note: The statements, opinions and data contained in all publications are solely those of the individual author(s) and contributor(s) and not of MDPI and/or the editor(s). MDPI and/or the editor(s) disclaim responsibility for any injury to people or property resulting from any ideas, methods, instructions or products referred to in the content. |
© 2025 by the authors. Licensee MDPI, Basel, Switzerland. This article is an open access article distributed under the terms and conditions of the Creative Commons Attribution (CC BY) license (https://creativecommons.org/licenses/by/4.0/).
Share and Cite
Jing, M.; Lu, F.; Shi, Y.; Zhang, R.; Chen, Y.; Huang, W.; Zhao, Y. Dynamic Characteristics and Parameter Optimization of Floor Vibration Isolation Systems for Metro-Induced Vibrations in Over-Track Buildings. Buildings 2025, 15, 3260. https://doi.org/10.3390/buildings15183260
Jing M, Lu F, Shi Y, Zhang R, Chen Y, Huang W, Zhao Y. Dynamic Characteristics and Parameter Optimization of Floor Vibration Isolation Systems for Metro-Induced Vibrations in Over-Track Buildings. Buildings. 2025; 15(18):3260. https://doi.org/10.3390/buildings15183260
Chicago/Turabian StyleJing, Ming, Feng Lu, Yibo Shi, Ruijun Zhang, Yong Chen, Weidong Huang, and Yifeng Zhao. 2025. "Dynamic Characteristics and Parameter Optimization of Floor Vibration Isolation Systems for Metro-Induced Vibrations in Over-Track Buildings" Buildings 15, no. 18: 3260. https://doi.org/10.3390/buildings15183260
APA StyleJing, M., Lu, F., Shi, Y., Zhang, R., Chen, Y., Huang, W., & Zhao, Y. (2025). Dynamic Characteristics and Parameter Optimization of Floor Vibration Isolation Systems for Metro-Induced Vibrations in Over-Track Buildings. Buildings, 15(18), 3260. https://doi.org/10.3390/buildings15183260
