Abstract
To enhance the environmental sustainability and structural performance of concrete-filled steel tubes (CFSTs), this study experimentally investigates the eccentric compression behavior of short CFST columns incorporating alkali-activated concrete (AAC) and internal stiffeners. Fifteen specimens were tested, varying in steel tube thickness, stiffener thickness, and eccentricity. The results show that increasing eccentricity reduces load-bearing capacity and stiffness, while stiffeners delay local buckling and improve stability. Based on the experimental findings, the applicability of the GB 50936-2014, Design of Steel and Composite Structures Specification, and the American AISC-LRFD specification to the design of ACFST columns is further evaluated. Corresponding design recommendations are proposed, and a regression-based predictive model for eccentric bearing capacity is developed, showing good agreement with the test results, with prediction errors within 10%.providing technical references for the development of low-carbon, high-performance CFST members.
1. Introduction
Concrete-filled steel tubes (CFSTs) have been extensively used in super high-rise buildings, long-span bridges, and heavy-duty structures due to their excellent load-bearing capacity, seismic performance, flexural stiffness, and construction efficiency [1,2]. The mechanical behavior of CFSTs is influenced by several factors, including the properties of the infilled concrete and steel tube, the interfacial bond, and the use of stiffening ribs. Numerous studies have investigated various infill materials—such as normal concrete, high-strength concrete, fiber-reinforced concrete, recycled concrete, and seawater coral aggregate concrete—through experimental and numerical approaches, confirming the beneficial effect of steel confinement in enhancing concrete strength and ductility [3,4,5,6,7,8,9,10,11]. Furthermore, the incorporation of internal stiffening ribs has been shown to delay local buckling and improve the load-bearing capacity and stability of CFST members [12,13,14,15,16,17,18,19,20,21,22]. Compared to square sections, circular CFSTs provide more uniform confinement, resulting in higher ultimate strength and improved ductility [23,24,25,26,27,28,29].
Despite these advantages, the widespread application of traditional CFSTs heavily relies on ordinary Portland cement (OPC) concrete, the production of which consumes significant non-renewable resources such as limestone, clay, and coal [30,31,32,33] and contributes to severe environmental pollution, including CO2, SO2, and NOx emissions [34,35]. In response to the growing demand for sustainable construction materials, alkali-activated concrete (AAC) has emerged as a promising alternative binder. AAC exhibits comparable or even superior compressive and tensile strength compared to OPC concrete, while offering adequate workability and bonding properties [36]. In addition, life cycle assessment studies have reported that AAC with a compressive strength of 40 MPa can reduce energy consumption by approximately 46% and carbon emissions by 73% relative to OPC-based concrete of the same grade [37]. These characteristics make AAC an attractive green binder that combines structural performance with environmental benefits [38,39].
However, the application of AAC in CFST systems presents several challenges. The relatively high drying shrinkage of AAC [40,41] may compromise the composite action under confinement. A reliable bond between the steel tube and core concrete is essential to ensure effective load transfer and structural synergy throughout the loading process [42]. Recent research has proposed methods to mitigate shrinkage, including optimization of activator composition, use of shrinkage-reducing admixtures, and tailored curing protocols [43]. With appropriate design considerations, AAC can achieve both durability and mechanical reliability in composite structures.
To address these concerns, this study introduces an expansive agent into AAC to enhance its interface bonding with the steel tube, aiming to simultaneously improve structural performance and reduce environmental impact [44,45]. An experimental program involving fifteen rib-stiffened ACFST short columns under eccentric loading was conducted, considering variations in steel tube thickness, stiffener thickness, and eccentricity ratio. The results were analyzed to assess the load-bearing behavior, and the applicability of existing design provisions—namely GB 50936–2014 [46], the Design of Steel and Composite Structures Specification [47], and the American AISC-LRFD Specification [48]—was evaluated. Based on the test results, design recommendations are proposed for ACFST members under eccentric compression.
2. Experimental Scheme
2.1. Specimen Design
A total of 15 cylindrical specimens were designed in this experiment. According to the thickness of the steel tubes, they were divided into four groups. The outer diameter of the cylinders was 133 mm, the length was 400 mm, and the aspect ratio of the columns was 1/3. The variable range of steel tube thickness was 1.5 mm to 2.5 mm. All specimens were cast using the same batch of alkali-activated concrete and thus had equal compressive strength. Detailed information on the ACFST specimens is shown in Table 1.
Table 1.
Specimen design information.
2.2. Test Materials
2.2.1. Steel Tubes and Stiffeners
The steel tubes and stiffening ribs used Q235 steel. According to the standard “Metallic Materials—Tensile Testing—Part 1: Method of Test at Room Temperature” [49], a set of standard tensile specimens was prepared to measure the properties of the steel. The elastic modulus was 169 GPa, yield strength was 270.9 MPa, tensile strength was 361.2 MPa, and Poisson’s ratio was 0.256.
2.2.2. Core Concrete
In this experiment, slag and fly ash were used to replace all the cementitious materials to prepare the core alkali-activated concrete. The coarse and fine aggregates had particle sizes of 5–10 mm and 10–20 mm, respectively. To ensure flowability, calcium lignosulfonate water-reducing agent was used, with a dosage of 10–15%. Sodium hydroxide (purity 99%) and sodium silicate (purity 82%) were used as admixtures. The mix proportions and test results of the concrete are shown in Table 2. The curing method of the concrete was performed following the standard procedures for ordinary Portland cement (OPC) concrete.
Table 2.
Mix proportions of concrete and test results.
2.3. Testing Equipment and Methods
The eccentric compression tests were carried out using a 5000 kN servo-controlled hydraulic testing machine. Knife-edge hinge supports were installed at both ends of each column to allow rotational freedom while maintaining axial load transfer. To prevent relative slip between the specimen and the supports during loading, 10 mm thick steel bearing plates were positioned at both the top and bottom ends of the steel tubes. Six groups of strain gauges (BX120-5AA), each consisting of two perpendicular gauges, were attached at the mid-height of the steel tube to monitor axial and hoop strains, as shown in Figure 1. In addition, two linear variable displacement transducers (LVDTs, model YHD-100) were mounted symmetrically at both ends of the specimen to capture axial deformation. Three additional LVDTs were installed at the quarter points along the column height to record lateral deflection. Each transducer had a measurement accuracy of 0.01 mm and a maximum displacement capacity of 100 mm. The layout of the instrumentation and the overall test setup is illustrated in Figure 2.
Figure 1.
Layout of testing device.
Figure 2.
Testing device.
To ensure proper contact and eliminate initial gaps, a preload of 100 kN was applied under force control before each test, followed by unloading to 20 kN. The formal test was then conducted under displacement control at a constant rate of 0.8 mm/min until failure occurred. The test was terminated when significant local buckling was observed in the outer steel tube or the axial shortening exceeded 30 mm. Load, displacement, and strain data were continuously recorded using a multi-channel data acquisition system. Eccentric loading was achieved using an adjustable knife-edge hinge. Prior to testing, a dial gauge was employed to measure the horizontal offset between the applied load and the column centroid, ensuring that the prescribed eccentricity was accurately achieved. To avoid premature end failure, the top and bottom ends of the steel tubes were additionally reinforced.
3. Results Analysis
3.1. Failure Modes
Figure 3 illustrates the failure modes observed in the tested specimens. All specimens exhibited local buckling and pronounced bending deformation following failure, with buckling predominantly concentrated in the mid-height region of the steel tubes. In the compressive zone, distinct outward buckling was observed; as the applied load increased, wrinkling developed on the tube surface, indicating localized stress concentration and progressive material degradation. Conversely, the tensile zone displayed uniform elongation along the tube length, without signs of rupture or fracture. As the load eccentricity increased, elongation in the tensile zone became more pronounced, while the extent of local buckling in the compressive region reduced correspondingly. This trend suggests that greater eccentricity redistributes internal forces, enhancing tensile effects while reducing compressive stress concentration. Overall, the initial eccentricity was found to play a critical role in governing both the stress distribution and failure patterns of the steel tubes under eccentric compression.
Figure 3.
Destruction phenomenon: (a) t2.5-e20-4; (b) t2.5-e10-4; (c) t1.5-e30-4; (d) t2-e20-6.
Figure 4 illustrates the failure modes of the core concrete confined within the steel tubes. In the compressive zone, the concrete exhibited localized crushing accompanied by slight pulverization, primarily due to concentrated compressive stresses. As the loading progressed, the damaged area gradually expanded along the axial direction. Although the surrounding steel tube provided confinement that delayed the progression of damage, it was insufficient to completely prevent the degradation of the core material. In contrast, the tensile zone showed well-defined transverse cracks that propagated across the mid-height region of the specimen. These cracks were typically linear and became more prominent as the eccentricity increased, with visibly wider crack openings observed in specimens subjected to greater eccentric loads.

Figure 4.
Destruction phenomenon of core concrete: (a) t2.5-e20-4; (b) t2.5-e10-4; (c) t1.5-e30-4; (d) t2-e20-6.
3.2. Eccentric Compression Bearing Capacity
Figure 5 illustrates the effect of initial eccentricity on the ultimate bearing capacity of the ACFST specimens. A pronounced decline in bearing capacity was observed with increasing eccentricity. For specimens with identical stiffener configurations, the ultimate bearing capacities decreased by approximately 12.9%, 33.3%, and 49.9% for eccentricities of 10 mm, 20 mm, and 30 mm, respectively, compared to those subjected to concentric loading (0 mm eccentricity). This reduction is primarily attributed to the non-uniform stress distribution across the cross-section introduced by eccentric loading, which leads to uneven confinement of the core concrete and diminishes the effectiveness of the composite action between steel and concrete. Larger initial eccentricities also result in higher total bending moments and narrower compression zones, thereby weakening the load-carrying capacity of the column section. Consequently, the eccentric bearing capacity shows a steep downward trend with increasing eccentricity.
Figure 5.
The effects of e on eccentric load-bearing capacity.
Figure 6 presents the influence of steel tube wall thickness on the bearing capacity of ACFST specimens. Under constant stiffener configuration and eccentricity, the ultimate bearing capacity exhibits an approximately linear increase with increasing wall thickness. This enhancement can be attributed to the greater circumferential confinement provided by thicker steel walls, which effectively restrain the lateral expansion of the core concrete and delay local buckling of the steel tube.
Figure 6.
The effects of t on eccentric load-bearing capacity.
Figure 7 illustrates the influence of internal stiffening ribs on the eccentric compression bearing capacity of alkali-activated concrete-filled steel tube (ACFST) specimens. In specimens without stiffeners, eccentric loading induced pronounced local buckling of the steel tube, leading to stress concentrations at the buckled regions and subsequent rapid crushing of the core concrete. In contrast, specimens incorporating internal stiffening ribs demonstrated improved lateral stiffness and enhanced local stability of the steel tube. The stiffeners effectively delayed the onset of local buckling and mitigated stress concentrations, thereby contributing to a more favorable load distribution and an increase in ultimate bearing capacity. Specifically, the ultimate bearing capacities were enhanced by approximately 2.1%, 4.7%, and 15.3% for stiffener thicknesses of 2 mm, 4 mm, and 6 mm, respectively, confirming the effectiveness of stiffening ribs in improving structural performance under eccentric loading.
Figure 7.
The effects of stiffeners on eccentric load-bearing capacity.
3.3. Lateral Mid-Span Deflection Curves
Figure 8, Figure 9, Figure 10 and Figure 11 present the load–lateral mid-span deflection (N–δ) responses of the ACFST specimens under eccentric compression. Lateral deflections were captured using displacement transducers positioned at three equally spaced points along the specimen height, with the mid-span deflection representing the maximum lateral deformation. The N–δ curves of all specimens displayed similar shapes, consisting of elastic, elastoplastic, and descending segments. However, parameters influenced the deflection characteristics differently.
Figure 8.
The effects of e on the N–δ curves: (a) N–δ curves with t = 1.5 mm; (b) N–δ curves with t = 2 mm; (c) N–δ curves with t = 2.5 mm.
Figure 9.
The effects of t on the N–δ curves: (a) N–δ curves with e = 10 mm; (b) N–δ curves with e = 20 mm; (c) N–δ curves with e = 20 mm.
Figure 10.
The effects of stiffeners on the N–δ curves.
Figure 11.
The effect of t on N–ε curves: (a) load-circumferential strain curve with t = 2 mm; (b) load-longitudinal strain curve with t = 2 mm; (c) load-circumferential strain curve with t = 2 mm; (d) load-longitudinal strain curve with t = 2 mm; (e) load-circumferential strain curve with t = 2 mm; (f) load-longitudinal strain curve with t = 2 mm.
Figure 8 compares the N–δ responses under varying initial eccentricities. It is observed that increasing eccentricity leads to a steeper rise in lateral deflection and earlier onset of nonlinearity. This behavior is primarily attributed to the intensification of stress concentrations in the compression zone as eccentricity increases. Such concentrations result in non-uniform stress distributions within the core concrete, promoting premature crushing in the compressed region. Consequently, the confinement effectiveness of the steel tube deteriorates due to local buckling, weakening the composite action between the steel tube and the core concrete and significantly reducing the overall load-bearing capacity.
Figure 9 illustrates the influence of steel tube wall thickness on the load–lateral mid-span deflection (N–δ) behavior. While the elastic portions of the curves show slight fluctuations, a general trend of increased stiffness is observed with increasing wall thickness. This behavior can be attributed to the enhanced flexural rigidity provided by the thicker steel tube, which improves overall structural response. However, since the primary function of the steel tube is to offer lateral confinement rather than carry flexural loads, the effect on bending stiffness remains secondary compared to other parameters.
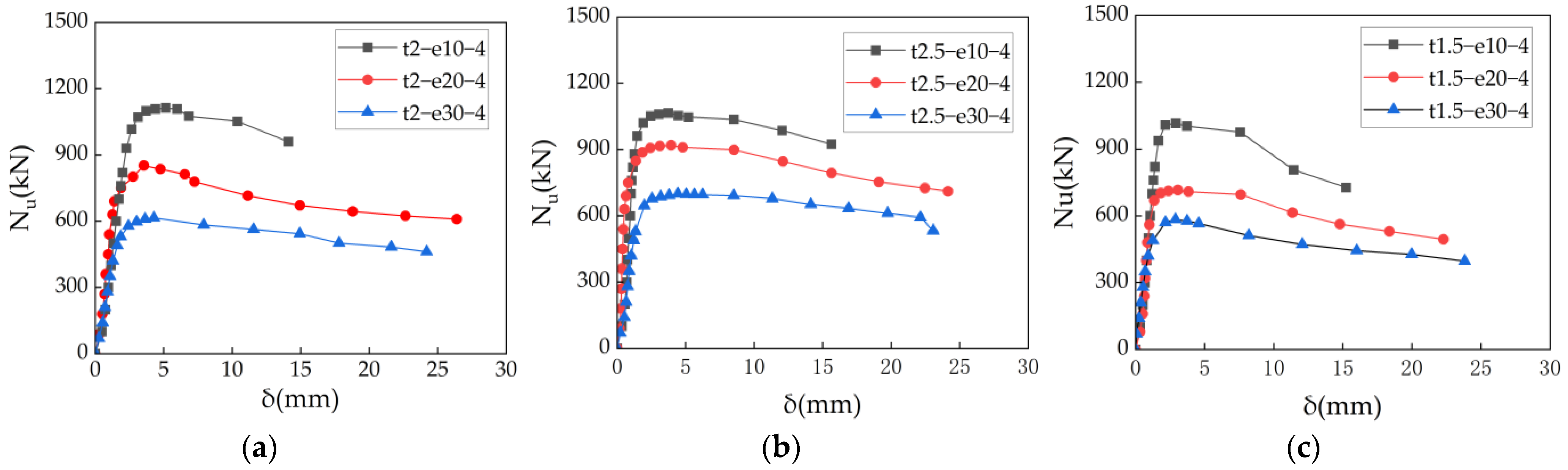
Figure 10 illustrates the influence of stiffening rib thickness on the load–lateral mid-span deflection (N–δ) behavior of ACFST columns. As the rib thickness increases, a modest improvement in lateral stiffness and bearing capacity is observed. For specimens with an eccentricity of 20 mm, the mid-span deflections at peak load were 4.03 mm, 3.91 mm, 3.56 mm, and 3.28 mm for rib thicknesses of 0 mm, 2 mm, 4 mm, and 6 mm, respectively. While these results demonstrate that stiffening ribs help suppress lateral deformation and delay local buckling, it is important to note that the ribs account for a relatively small proportion of the cross-sectional area. As such, their direct contribution to the overall flexural stiffness of the steel tube is limited. The observed enhancements are therefore attributed more to local stability improvements than to substantial increases in global bending resistance.
3.4. Stress–Strain Curves
Figure 11, Figure 12, Figure 13 and Figure 14 present the stress–strain responses of ACFST specimens under eccentric compression, showing the relationships between applied load (kN) and the corresponding longitudinal and circumferential strains in the steel tube. All specimens demonstrated similar curve characteristics: an initial linear increase in load and strain, followed by a slowdown as the peak load approached, and eventual stabilization. Strains in the compression zone developed more rapidly than those in the tension zone due to uneven stress distribution across the section. In several specimens, abrupt drops or rapid reductions in tension zone strain were observed, which may be attributed to local delamination between steel layers or strain gauge detachment.

Figure 12.
The effect of e on N–ε curves: (a) load−circumferential strain curve with e = 10 mm; (b) load−longitudinal strain curve with e = 10 mm; (c) load–circumferential strain curve with e = 20 mm; (d) load–longitudinal strain curve with e = 20 mm; (e) load−circumferential strain curve with e = 30 mm; (f) load−longitudinal strain curve with e = 30 mm.
Figure 13.
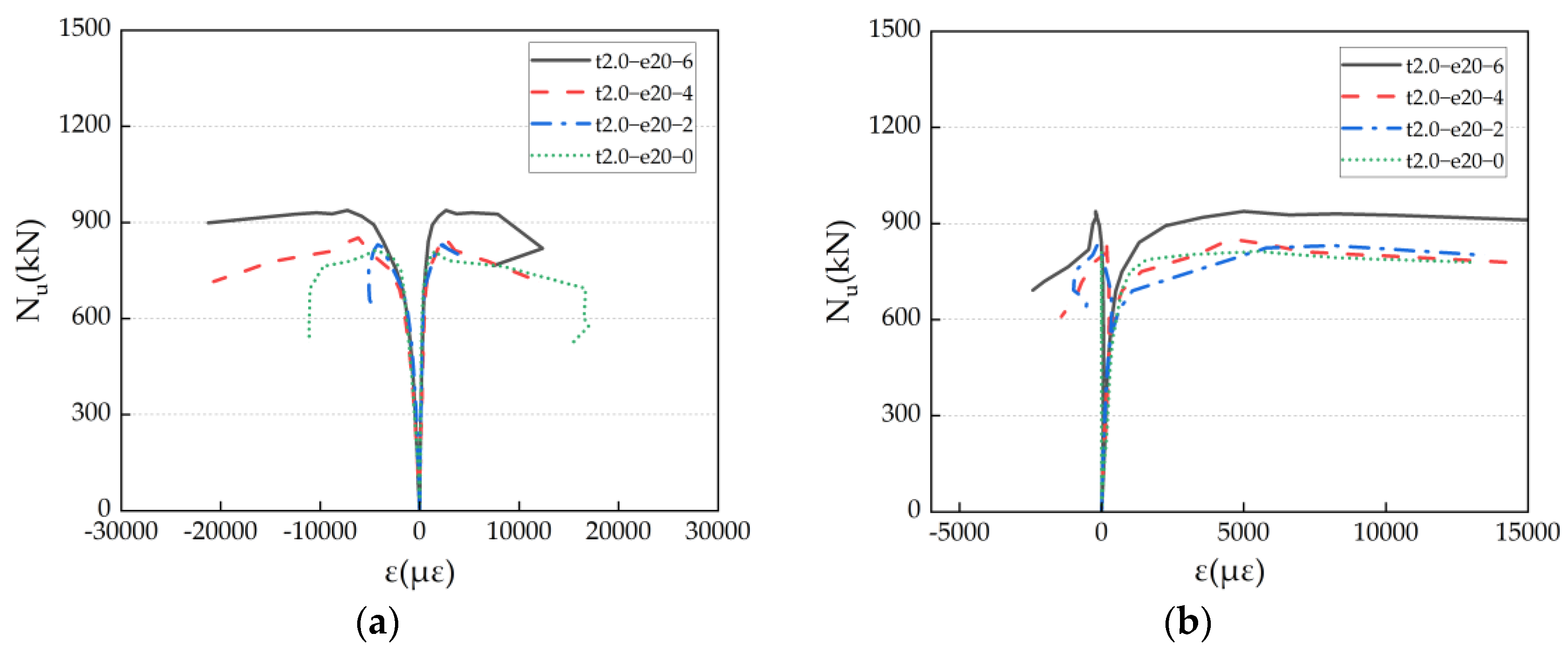
The effect of stiffeners on N–ε curves: (a) load−circumferential strain curve; (b) load–longitudinal strain curve.
Figure 14.
Fitting relationship between and .
Figure 11 illustrates the influence of eccentricity on the N–ε curves. As eccentricity increased, both the circumferential strain magnitude and its rate of growth in the compression zone rose significantly, while strain in the tension zone remained comparatively lower. The enhanced strain gradient was a direct consequence of increased cross-sectional stress asymmetry. Furthermore, higher eccentricities led to accelerated growth in longitudinal strain, reflecting more rapid deformation on the longitudinal axis. Circumferential expansion in the compression region also intensified, whereas in the tension region it declined, indicating a deterioration in confinement efficiency. Notably, when the eccentricity was 10 mm, the longitudinal strain in the tension zone initially registered negative values (compression), then transitioned to positive (tension), with this effect becoming more pronounced at smaller eccentricities.
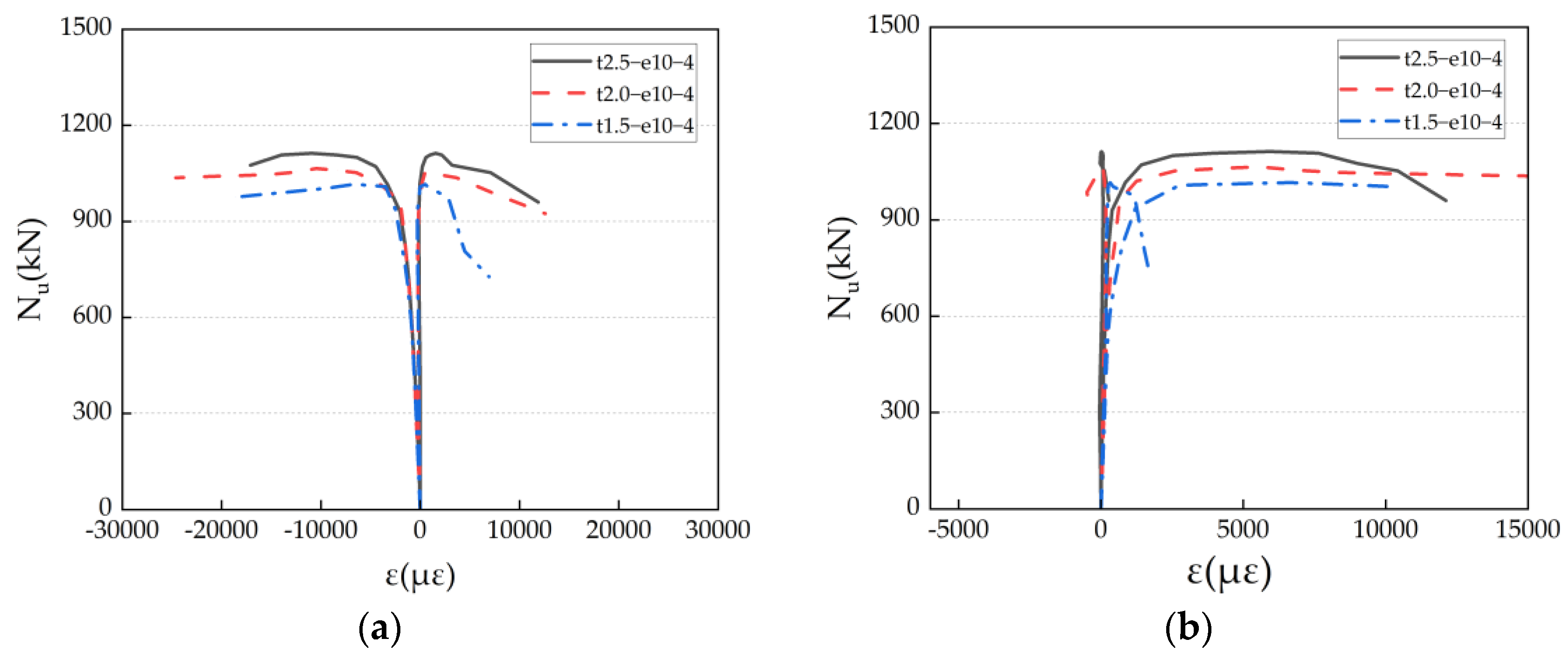
Figure 12 shows the effect of steel tube thickness on the N–ε curve. Increasing wall thickness reduced strain growth rates and increased strain values at peak stress, indicating that thicker tubes reduce deformation under the same stress level. At equal circumferential strain, thicker tubes corresponded to higher stress levels, reflecting stronger confinement and increased strength of the core concrete.
Figure 13 illustrates the effect of stiffening ribs on the N–ε curve. Stiffening ribs significantly suppressed local buckling of the steel tube, reducing lateral deformation at mid-height. Increasing rib thickness imposed stronger constraints on lateral expansion, lowering circumferential strain. Additionally, ribs improved stress uniformity, reduced stress concentration, and stabilized longitudinal strain curves, thereby enhancing overall stability and load-bearing capacity.
4. Bearing Capacity Prediction of ACFST
At present, there is no mature design specification available to predict the compressive capacity of alkali-activated steel reinforced concrete under eccentric loading. Therefore, in order to evaluate the applicability of alkali-activated concrete in steel tube concrete, Table 3 shows the current design specifications GB 50936-2014 [46] (Nu1), Steel and Composite Structures Design Specification [47] (Nu2), and AISC-LRFD Specification [48] (Nu3) formulas, and compares and analyzes the calculated bearing capacity to verify the applicability of existing specifications to alkali-activated steel tube concrete and explore their possible correction directions.
Table 3.
Theoretical calculation formula.
Table 3.
Theoretical calculation formula.
| Specification | Formula | ID |
|---|---|---|
| GB 50936-2014 | (1) | |
| Composite Structures Design Specification | (2) | |
| AISC-LRFD Specification | (3) | |
Table 4 presents the predicted load-bearing capacities of the specimens. The statistical results show that the ratios of Nu2 to the experimental value Nu1 exhibit an average of 0.68 with a coefficient of variation (CoV) of 0.40085; the Nu3/Nu1 ratio averages 0.86 (CoV = 0.23886); and the Nu4/Nu1 ratio averages 0.59 (CoV = 0.94839). The predicted capacities from all three standard methods are consistently lower than the experimental results for ACFST short columns under eccentric compression.
Table 4.
Comparative analysis of test results for ACFST.
Furthermore, significant discrepancies are observed between the calculated results from the AISC-LRFD Specification [48] and GB 50936-2014 [46] compared to the experimental data. Both methods produce conservative estimates that, while ensuring structural safety, may lead to material overuse. Notably, when applying the Steel and Composite Structures Design Specification [47] method, the ratio of calculated to experimental eccentric load-bearing capacity increases significantly with growing eccentricity. This indicates that this design code overestimates the eccentricity reduction factor.
These findings demonstrate that existing standard calculation methods inadequately predict the eccentric compression capacity of ACFST short columns. One primary reason lies in the distinct constitutive relationships between alkali-activated concrete and conventional concrete. Specifically, alkali-activated concrete exhibits lower ductility, reduced plastic deformation capacity, and more pronounced brittleness after peak stress [36,50]. Consequently, further research is warranted to develop more accurate prediction models for the eccentric compression capacity of ACFST short columns.
5. Prediction Model for ACFST Short Columns Under Eccentric Loading
This study proposes a modified prediction model for the bearing capacity of alkali-activated concrete-filled steel tube (ACFST) short columns under eccentric compression. Building upon the axial compression design method for CFST short columns specified in the Design Code for Steel and Composite Structures [47], the model incorporates the combined effects of load eccentricity and the slenderness ratio. By introducing reduction factors that reflect the influence of these two parameters, the standard axial compression formula is extended to accommodate eccentric loading scenarios. The final expression for predicting the eccentric bearing capacity of ACFST short columns is given as follows:
where denotes the load-bearing capacity reduction factor accounting for load eccentricity effects; represents the reduction factor considering the slenderness ratio. The code specifies that when l/B ≤ 4, the value of is set to 1.0 [47]; refers to the axial compressive bearing capacity of ACFST.
5.1. Axial Compression Bearing Capacity of ACFST
The compressive strength of the core concrete was determined using the confined concrete model proposed by Mander et al. [51], which is expressed as follows:
Based on previous research, the ultimate bearing capacity of the specimens was estimated using the superposition principle, wherein the total capacity is considered as the sum of the axial load-bearing contributions from the core concrete and the surrounding steel tube [52].
where denotes the yield stress of the steel tube; represents the cross-sectional area of the steel tube; and indicate the area and yield stress of the stiffening ribs, respectively.
5.2. Capacity Reduction Factor Considering the Impact of Eccentricity
The Steel and Composite Structures Design Specification [47] specifies design requirements for CFST columns. When the ratio of eccentricity to radius of gyration satisfies ≤ 1.55, the condition of small eccentric compression can be expressed as follows:
According to the Steel and Composite Structures Design Specification [47], the design requirements for CFST columns under small eccentric compression are applicable when the ratio of eccentricity to radius of gyration satisfies ≤ 1.55. Under this condition, the eccentric compression can be treated as a small eccentricity case, and the corresponding design expression is given as follows:
In Equation (8), a is an empirical coefficient determined based on the test results. Given the relationships and , Equation (8) can be rewritten as:
As varies hyperbolically with , the reciprocal is linearly related to . Thus, using the slope as the influence coefficient, is given by:
Based on the experimental results, a regression analysis was conducted, as shown in Figure 14. The reduction coefficient accounting for the eccentricity effect was revised accordingly, and the modified expression is given as follows:
Therefore, the ultimate bearing capacity of ACFST under eccentric compression can be expressed as:
Equation (13) was compared with the numerical calculation results (Table 5). The errors were all within 10%, demonstrating high accuracy, which can provide a reliable basis for calculating the bearing capacity of new composite components.
Table 5.
Calculation results.
6. Conclusions
This work presents a comprehensive experimental study on the eccentric compression performance of rib-stiffened ACFST short columns, considering variations in stiffener thickness, tube wall thickness, and eccentricity ratio. The main findings are summarized as follows:
- In this experiment, the failure process of ACFST under eccentric compression load was generally consistent. All specimens exhibited bending-dominated failure. With increasing eccentric compression, the circular steel tubes reached yield strength and subsequently crushed the internal alkali-activated concrete due to excessive strain, leading to failure.
- The load–axial displacement and load–lateral deflection curves of ACFST under eccentric compression consist of an initial linear stage, a nonlinear stage before peak load, and a descending stage after peak load. When other parameters remain constant, higher eccentricity ratios and larger columns generally have lower ultimate bearing capacities. Stiffening ribs delay local buckling onset and suppress stress concentrations, demonstrating higher bearing capacity.
- The ultimate bearing capacity of the specimens increased with the increase in the steel ratio, but decreased as the load eccentricity ratio increased. Based on the experimental results and current standards, a calculation formula for the eccentric compression bearing capacity of ACFST has been proposed. The calculation results are in good agreement with the experimental results, indicating that the calculation formula proposed in this paper can accurately predict the ultimate bearing capacity of ACFST under eccentric load.
Although this study revealed the influence of stiffening ribs and eccentricity on the mechanical behavior of alkali-activated concrete-filled steel tube short columns, the experiments were limited to specific material combinations and geometric parameters. Factors such as different alkali-activation systems, slenderness ratios, different cross-sectional shapes, long column rows, and loading conditions were not considered, and further research is needed to broaden the scope and enhance the applicability of the conclusions.
Author Contributions
Conceptualization, H.W. and C.P.; methodology, H.W.; resources, C.P.; validation, Z.P. and T.W. All authors have read and agreed to the published version of the manuscript.
Funding
This research received no external funding.
Data Availability Statement
Data are contained within the article.
Conflicts of Interest
The authors declare that they have no conflict of interest.
Abbreviations
The following abbreviations are used in this manuscript:
| ACFST | alkali-activated concrete-filled steel tube |
| FA | fly ash |
| FS | furnace Slag |
| CoV | coefficient of variation |
References
- Wang, J.; Han, J.; Zhu, C.; Lu, W.; Zhang, Y.; He, X.; Liu, K.; Chen, Y. Structural optimization and engineering application of concrete-filled steel tubular composite supports. Eng. Fail. Anal. 2024, 159, 108082. [Google Scholar]
- Lan, X.; Wang, Y.; Tan, B.; Zhang, Y. An assessment of application of the component-based method to full range behaviour of joints between steel beam to concrete filled steel tube columns under extreme loading conditions. Eng. Struct. 2024, 309, 118057. [Google Scholar]
- Deng, Y.Q.; Huang, Y.; Young, B. Design of concrete-filled high-strength steel RHS and SHS tubes under bending. Eng. Struct. 2024, 320, 118891. [Google Scholar]
- Ma, H.; Chen, Y.; Bai, H.; Zhao, Y. Eccentric compression performance of composite columns composed of RAC-filled circular steel tube and profile steel. Eng. Struct. 2019, 201, 109778. [Google Scholar]
- Wang, J.; Chen, J.; Liu, M. Theoretical model for CFRP-confined spontaneous combustion gangue coarse aggregate concrete-filled steel tube stub columns under axial compression. Constr. Build. Mater. 2024, 415, 135113. [Google Scholar]
- Tam, V.W.Y.; Tao, Z.; Evangelista, A. Performance of recycled aggregate concrete filled steel tubular (RACFST) stub columns with expansive agent. Constr. Build. Mater. 2021, 272, 121627. [Google Scholar]
- Hu, H.S.; Xu, L.; Guo, Z.X.; Shahrooz, B.M. Behavior of eccentrically loaded square spiral-confined high-strength concrete-filled steel tube columns. Eng. Struct. 2020, 216, 110743. [Google Scholar]
- Li, L.; Lai, Z.; Chen, B. Ultra-high strength concrete filled steel tube members: Classification, experimental database, and design. Eng. Struct. 2024, 300, 117210. [Google Scholar]
- Zong, S.; Lu, Y.; Ma, W.; Liu, Z.; Li, P. Research on eccentric-compressive behaviour of steel-fiber-reinforced recycled concrete-filled square steel tube short columns. J. Constr. Steel Res. 2023, 206, 107910. [Google Scholar]
- Tao, Z.; Cao, Y.F.; Pan, Z.; Hassan, M.K. Compressive behaviour of geopolymer concrete-filled steel columns at ambient and elevated temperatures. Int. J. High-Rise Build. 2018, 7, 327–342. [Google Scholar]
- Zhang, Z.; Guo, X.; Song, Y.; Sun, Q.; Tian, P.; Hu, G. Numerical investigation and design of CFST columns strengthened by CFRP grid-reinforced ECC under eccentric compression. Eng. Struct. 2024, 301, 117253. [Google Scholar]
- Diao, Y.; Wang, Y.; He, H.; Zou, Y.; Hassanein, M. On the behaviour of diagonally-stiffened concrete-filled steel tube-to-SHS steel brace T-joints: An experimental and numerical investigation. J. Constr. Steel Res. 2025, 225, 109176. [Google Scholar]
- Zhou, Z.; Denavit, M.D.; Zhou, X. New cross-sectional slenderness limits for stiffened rectangular concrete-filled steel tubes. Eng. Struct. 2023, 280, 115689. [Google Scholar]
- Luo, K.R.; Shu, G.P.; Qin, Y.; Yu, L.; Li, B.H.; Liu, W.R. Flexural behavior of circular concrete-filled steel tube members reinforced with annular stiffener. J. Constr. Steel Res. 2025, 224, 109094. [Google Scholar]
- Arokiaprakash, A.; Selvan, S.S.; Anandh, K.S.; Adamu, M. Advancements in light-gauge steel rectangular CFST columns: A comprehensive experimental study. Structures 2024, 68, 107231. [Google Scholar]
- Xu, K.; Wang, W.; Zhang, L.; Meng, X.; Yang, C. Study on the mechanical behavior of inequiaxial and stiffened L-shaped concrete-filled steel tube short columns under uniaxial compression. Structures 2024, 70, 107626. [Google Scholar]
- Li, B.; Yang, Y.; Liu, J.; Cheng, Y.; Chen, Y.F. Effect of vertical stiffeners on the seismic performance of T-shaped CFST column to steel beam joint. Struct. Des. Tall Spec. Build. 2024, 33, e2131. [Google Scholar]
- Shen, L.; Yang, B.; Ding, M.; Feng, C.; Wang, D.; Liu, M.; Elchalakani, M. Experimental and numerical studies on the axial compression performance of hexagonal stiffened CFDST stub columns. Compos. Struct. 2023, 311, 116801. [Google Scholar]
- Zheng, M.; Nie, X.; Ding, R. Experimental and numerical research on the uniaxial behavior of the stiffened circular concrete-filled steel tube stub columns. Eng. Struct. 2024, 306, 117785. [Google Scholar]
- Hassanein, M.; Huang, W.-F.; Shao, Y.-B.; Cashell, K.; Elsisy, A. Confinement-based design and behaviour of concrete-filled stiffened steel tubular square slender columns. Ocean Eng. 2024, 304, 117845. [Google Scholar]
- Zheng, Y.; Lin, Y.; Liang, W. Concentric and eccentric compressive behaviors of stiffened T-shaped CFST columns. J. Constr. Steel Res. 2024, 212, 108229. [Google Scholar]
- Singh, H.; Tiwary, A.K. Experimental and numerical investigation on concrete filled steel tube columns reinforced with diagonal stiffeners under axial loading. Eng. Struct. 2023, 292, 116602. [Google Scholar]
- Dai, P.; Yang, L.; Yun, X.; Wang, F.; Zhang, L. Experimental study of concrete-filled stainless steel tubular stub columns with circular and square cross-sections subjected to combined compression and bending. Eng. Struct. 2024, 305, 117773. [Google Scholar]
- Kumar, S.; Gupta, P.K.; Iqbal, M.A. Experimental and numerical study on self-compacting alkali-activated slag concrete-filled steel tubes. J. Constr. Steel Res. 2024, 214, 108453. [Google Scholar]
- Zhu, J.Y.; Chan, T.M. Experimental investigation on steel-tube-confined-concrete stub column with different cross-section shapes under uniaxial-compression. J. Constr. Steel Res. 2019, 162, 105729. [Google Scholar] [CrossRef]
- Song, C.; Wang, Y.B.; Li, G.Q. Interaction and compatibility between steel and concrete of circular CFST stub columns with high-strength materials. J. Constr. Steel Res. 2024, 221, 108873. [Google Scholar]
- Yan, X.F.; Lin, S.; Zhao, Y.G. Behaviour and confinement mechanism of circular concrete-filled aluminum alloy tubular stub columns under axial compression. Mar. Struct. 2024, 95, 103600. [Google Scholar]
- Ma, K.; Zhou, Q.; Li, L.; Wang, C. Experimental study on concrete-filled stainless steel tubular stub columns under axial compression load. Structures 2024, 63, 106436. [Google Scholar]
- Yan, X.F.; He, M.N.; Hao, J.P.; Lin, S. Theoretical model of circular concrete-filled aluminum alloy tubular short columns under axial compression. Eng. Struct. 2024, 303, 117549. [Google Scholar]
- Corinaldesi, V.; Gnappi, G.; Moriconi, G.; Montenero, A. Reuse of ground waste glass as aggregate for mortars. Waste Manag. 2005, 25, 197–201. [Google Scholar]
- Etxeberria, M.; Vázquez, E.; Mari, A.; Barra, M. Influence of amount of recycled coarse aggregates and production process on properties of recycled aggregate concrete. Cem. Concr. Res. 2007, 37, 735–742. [Google Scholar]
- Hossain, M.U.; Poon, C.S.; Wong, M.Y.K.; Khine, A. Techno-environmental feasibility of wood waste derived fuel for cement production. J. Clean. Prod. 2019, 230, 663–671. [Google Scholar]
- Thilakarathna, P.S.M.; Seo, S.; Baduge, K.K.; Lee, H.; Mendis, P.; Foliente, G. Embodied carbon analysis and benchmarking emissions of high and ultra-high strength concrete using machine learning algorithms. J. Clean. Prod. 2020, 262, 121281. [Google Scholar]
- Yang, K.H.; Song, J.K.; Song, K.I. Assessment of CO2 reduction of alkali-activated concrete. J. Clean. Prod. 2013, 39, 265–272. [Google Scholar]
- Ma, C.K.; Awang, A.Z.; Omar, W. Structural and material performance of geopolymer concrete: A review. Constr. Build. Mater. 2018, 186, 90–102. [Google Scholar]
- Ding, Y.; Dai, J.-G.; Shi, C.-J. Mechanical properties of alkali-activated concrete: A state-of-the-art review. Constr. Build. Mater. 2016, 127, 17–38. [Google Scholar]
- Alsalman, A.; Assi, L.N.; Kareem, R.S.; Carter, K.; Ziehl, P. Energy and CO2 emission assessments of alkali-activated concrete and Ordinary Portland Cement concrete: A comparative analysis of different grades of concrete. Clean. Environ. Syst. 2021, 3, 100047. [Google Scholar]
- Li, B.; Wu, F.; Xia, D.; Li, Y.; Cui, K.; Wu, F.; Yu, J. Compressive and flexural behavior of alkali-activated slag-based concrete: Effect of recycled aggregate content. J. Build. Eng. 2023, 67, 105993. [Google Scholar]
- Abdel-Gawwad, H.A.; Mohammed, M.S.; Alomayri, T. Single and dual effects of magnesia and alumina nano-particles on strength and drying shrinkage of alkali activated slag. Constr. Build. Mater. 2019, 228, 116827. [Google Scholar]
- Hanjitsuwan, S.; Injorhor, B.; Phoo-Ngernkham, T.; Damrongwiriyanupap, N.; Li, L.-Y.; Sukontasukkul, P.; Chindaprasirt, P. Drying shrinkage, strength and microstructure of alkali-activated high-calcium fly ash using FGD-gypsum and dolomite as expansive additive. Cem. Concr. Compos. 2020, 114, 103760. [Google Scholar]
- Huang, D.; Chen, P.; Peng, H.; Yang, Y.; Yuan, Q.; Su, M. A review and comparison study on drying shrinkage prediction between alkali-activated fly ash/slag and ordinary Portland cement. Constr. Build. Mater. 2021, 305, 124760. [Google Scholar]
- Zhou, X.; Hou, D.; Chen, T.; Wang, X. The development of concrete filled steel tube with enhanced performance via the use of expansive ultra high performance concrete. J. Build. Eng. 2023, 79, 107793. [Google Scholar]
- Zeng, J.-J.; Xiang, H.-Y.; Cai, W.-J.; Zhou, J.-K.; Zhuge, Y. Behavior of large-scale FRP-confined square RC columns with UHP-ECC section curvilinearization under eccentric compression. Eng. Struct. 2024, 301, 117288. [Google Scholar]
- Ye, H.; Radlińska, A.; Shi, C. Shrinkage mitigation strategies of alkali-activated materials: A review. Cem. Concr. Compos. 2021, 121, 104062.3. [Google Scholar]
- Shen, P.; Lu, J.-X.; Zheng, H.; Lu, L.; Wang, F.; He, Y.; Hu, S. Expansive ultra-high performance concrete for concrete-filled steel tube applications. Cem. Concr. Compos. 2020, 114, 103813. [Google Scholar]
- GB 50936-2014; Technical Code for Concrete Filled Steel Tubular Structures. Ministry of Housing and Urban-Rural Development of the People’s Republic of China: Beijing, China, 2014. (In Chinese)
- Shen, S.L.; Xu, L.H. Design of Steel and Composite Structures, 2nd ed.; China Architecture & Building Press: Beijing, China, 2011; pp. 1–420. (In Chinese) [Google Scholar]
- American Institute of Steel Construction. Load and Resistance Factor Design Specification for Structural Steel Buildings; AISC: Chicago, IL, USA, 2016. [Google Scholar]
- GB/T 228.1-2010; Metallic Materials: Tensile Tests—Part 1: Test Method at Room Temperature. Standards Press of China: Beijing, China, 2010. (In Chinese)
- Liu, Y.; Yang, X.; Tian, W.; Fu, Z.; Zhao, Y.; Li, B.; Li, S.; Xu, D.; Yu, S.; Yao, Z.; et al. Mechanical Properties and Microstructure of Alkali-Activated Cements with Granulated Blast Furnace Slag, Fly Ash and Desert Sand. Buildings 2024, 14, 3422. [Google Scholar] [CrossRef]
- Mander, J.A.B.; Priestley, M.J.N. Theoretical Stress-Strain Model for Confined Concrete. J. Struct. Eng. 1988, 114, 1804–1826. [Google Scholar] [CrossRef]
- Wang, Z.; Qiao, Q.; Cao, W.; Gao, X. Axial compressive behavior of square steel tube confined rubberized concrete stub columns. J. Build. Eng. 2022, 52, 104371. [Google Scholar] [CrossRef]
Disclaimer/Publisher’s Note: The statements, opinions and data contained in all publications are solely those of the individual author(s) and contributor(s) and not of MDPI and/or the editor(s). MDPI and/or the editor(s) disclaim responsibility for any injury to people or property resulting from any ideas, methods, instructions or products referred to in the content. |
© 2025 by the authors. Licensee MDPI, Basel, Switzerland. This article is an open access article distributed under the terms and conditions of the Creative Commons Attribution (CC BY) license (https://creativecommons.org/licenses/by/4.0/).