Exploring the Potential of Green Clay Materials Through Sustainable Modification with Natural Polysaccharides
Abstract
1. Introduction
2. Materials and Methods
2.1. Materials
2.2. Mixture and Sample Preparation
2.3. Methods
- Class 2: Suitable for low-load height construction (e.g., huts, sheds) or secondary structures, with mean compressive strength—2.5 MPa and smallest single compressive strength value—2.0 MPa;
- Class 3: For non-load-bearing structures or high-rise walling, with mean compressive strength—3.8 MPa and smallest single compressive strength value—3.0 MPa;
- Class 4: Intended for inner walls, low-rise walls, or middle-rise buildings, with mean compressive strength—5.0 MPa and smallest single compressive strength value—4.0 MPa;
- Class 5: For load-bearing walls and inner walls, with mean compressive strength—6.3 MPa and smallest single compressive strength value—5.0 MPa;
- Class 6: For load-bearing walls and inner walls, with mean compressive strength—7.5 MPa and smallest single compressive strength value—6.0 MPa.
- Step 1 (mass stabilization): temperature—22 °C, relative humidity—50%, time—24 h;
- Step 2 (moisture adsorption): temperature—22 °C, relative humidity—75%, time—12 h;
- Step 3 (moisture desorption): temperature—22 °C, relative humidity—50%, time—12 h.
3. Results and Discussion
3.1. Physical and Mechanical Characteristics
3.2. Hygroscopic Characteristics
3.3. Water Erosion
3.4. Structure of Clay Materials
4. Conclusions
Author Contributions
Funding
Data Availability Statement
Conflicts of Interest
References
- Islam, M.S.; Tausif-E-Elahi, A.R.; Shahriar, K.; Nahar, T.R.H. Strength and durability characteristics of cement-sand stabilized earth blocks. J. Mater. Civ. Eng. 2020, 32, 04020087. [Google Scholar] [CrossRef]
- Elahi, T.E.; Shahriar, A.R.; Islam, M.S. Engineering characteristics of compressed earth blocks stabilized with cement and fly ash. Constr. Build. Mater. 2021, 277, 122367. [Google Scholar] [CrossRef]
- Elahi, T.E.; Shahriar, A.R.; Islam, M.S.; Mehzabin, F.; Mumtaz, N. Suitability of fly ash and cement for fabrication of compressed stabilized earth blocks. Constr. Build. Mater. 2020, 263, 120935. [Google Scholar] [CrossRef]
- Ouedraogo, K.A.J.; Aubert, J.E.; Tribout, C.; Escadeillas, G. Is stabilization of earth bricks using low cement or lime contents relevant? Constr. Build. Mater. 2020, 236, 117578. [Google Scholar] [CrossRef]
- Ciancio, D.; Beckett, C.T.S.; Carraro, J.A.H. Optimum lime content identification for lime-stabilised rammed earth. Constr. Build. Mater. 2014, 53, 59–65. [Google Scholar] [CrossRef]
- Ávila, F.; Puertas, E.; Gallego, R. Mechanical characterization of lime-stabilized rammed earth: Lime content and strength development. Constr. Build. Mater. 2022, 350, 128871. [Google Scholar] [CrossRef]
- Mattone, M.; Rescic, S.; Fratini, F.; Manganelli Del Fà, R. Experimentation of Earth-Gypsum Plasters for the Conservation of Earthen Constructions. Int. J. Archit. Herit. 2017, 11, 763–772. [Google Scholar] [CrossRef]
- Zak, P.; Ashour, T.; Korjenic, A.; Korjenic, S.; Wu, W. The influence of natural reinforcement fibers, gypsum and cement on compressive strength of earth bricks materials. Constr. Build. Mater. 2016, 106, 179–188. [Google Scholar] [CrossRef]
- Pimraksa, K.; Chindaprasirt, P. Lightweight bricks made of diatomaceous earth, lime and gypsum. Ceram. Int. 2009, 35, 471–478. [Google Scholar] [CrossRef]
- Meena, S.K.; Sahu, R.; Ayothiraman, R. Utilization of Waste Wheat Straw Fibers for Improving the Strength Characteristics of Clay. J. Nat. Fibers. 2021, 18, 1404–1418. [Google Scholar] [CrossRef]
- Laborel-Préneron, A.; Aubert, J.E.; Magniont, C.; Tribout, C.; Bertron, A. Plant aggregates and fibers in earth construction materials: A review. Constr. Build. Mater. 2016, 111, 719–734. [Google Scholar] [CrossRef]
- Turco, C.; Paula Junior, A.C.; Teixeira, E.R.; Mateus, R. Optimisation of Compressed Earth Blocks (CEBs) using natural origin materials: A systematic literature review. Constr. Build. Mater. 2021, 309, 125140. [Google Scholar] [CrossRef]
- Hejazi, S.M.; Sheikhzadeh, M.; Abtahi, S.M.; Zadhoush, A. A simple review of soil reinforcement by using natural and synthetic fibers. Constr. Build. Mater. 2012, 30, 100–116. [Google Scholar] [CrossRef]
- Jannat, N.; Hussien, A.; Abdullah, B.; Cotgrave, A. Application of agro and non-agro waste materials for unfired earth blocks construction: A review. Constr. Build. Mater. 2020, 254, 119346. [Google Scholar] [CrossRef]
- Salih, M.M.; Osofero, A.I.; Imbabi, M.S. Critical review of recent development in fiber reinforced adobe bricks for sustainable construction. Front. Struct. Civ. Eng. 2020, 14, 839–854. [Google Scholar] [CrossRef]
- Oskouei, A.V.; Afzali, M.; Madadipour, M. Experimental investigation on mud bricks reinforced with natural additives under compressive and tensile tests. Constr. Build. Mater. 2017, 142, 137–147. [Google Scholar] [CrossRef]
- Giroudon, M.; Laborel-Préneron, A.; Aubert, J.E.; Magniont, C. Comparison of barley and lavender straws as bioaggregates in earth bricks. Constr. Build. Mater. 2019, 202, 254–265. [Google Scholar] [CrossRef]
- Gandia, R.M.; Gomes, F.C.; Corrêa, A.A.R.; Rodrigues, M.C.; Mendes, R.F. Physical, mechanical and thermal behavior of adobe stabilized with glass fiber reinforced polymer waste. Constr. Build. Mater. 2019, 222, 168–182. [Google Scholar] [CrossRef]
- Kolathayar, S.; Prasannan, S.; Sharma, A.K. Strength Tests and Model Experiments on Soil Reinforced with Areca and PVA Fibers. Lect. Notes Civ. Eng. 2020, 85, 147–153. [Google Scholar] [CrossRef]
- Mattone, R. Sisal fibre reinforced soil with cement or cactus pulp in bahareque technique. Cem. Conc. Compos. 2025, 27, 611–616. [Google Scholar] [CrossRef]
- Akbulut, S.; Arasan, S.; Kalkan, E. Modification of clayey soils using scrap tire rubber and synthetic fibers. Appl. Clay Sci. 2007, 38, 23–32. [Google Scholar] [CrossRef]
- Losini, A.E.; Grillet, A.C.; Bellotto, M.; Woloszyn, M.; Dotelli, G. Natural additives and biopolymers for raw earth construction stabilization—A review. Constr. Build. Mater. 2021, 304, 124507. [Google Scholar] [CrossRef]
- Nakamatsu, J.; Kim, S.; Ayarza, J.; Ramírez, E.; Elgegren, M.; Aguilar, R. Eco-friendly modification of earthen construction with carrageenan: Water durability and mechanical assessment. Constr. Build. Mater. 2017, 139, 193–202. [Google Scholar] [CrossRef]
- Muguda, S.; Booth, S.J.; Hughes, P.N.; Augarde, C.E.; Perlot, C.; Bruno, A.W.; Gallipoli, D. Mechanical properties of biopolymer-stabilised soil-based construction materials. Géotech. Lett. 2017, 7, 309–314. [Google Scholar] [CrossRef]
- Chang, I.; Im, J.; Prasidhi, A.K.; Cho, G.C. Effects of Xanthan gum biopolymer on soil strengthening. Constr. Build. Mater. 2015, 74, 65–72. [Google Scholar] [CrossRef]
- Chang, I.; Prasidhi, A.K.; Im, J.; Cho, G.C. Soil strengthening using thermo-gelation biopolymers. Constr. Build. Mater. 2015, 77, 430–438. [Google Scholar] [CrossRef]
- Perrot, A.; Rangeard, D.; Courteille, E. 3D printing of earth-based materials: Processing aspects. Constr. Build. Mater. 2018, 172, 670–676. [Google Scholar] [CrossRef]
- Keita, I.; Sorgho, B.; Dembele, C.; Plea, M.; Zerbo, L.; Guel, B.; Ouedraogo, R.; Gomina, M.; Blanchart, P. Ageing of clay and clay-tannin geomaterials for building. Constr. Build. Mater. 2014, 61, 114–119. [Google Scholar] [CrossRef]
- Vissac, A.; Bourgès, A.; Gandreau, D.; Anger, R.; Fontaine, R. Argiles & Biopolymères, les Stabilisants Naturels Pour la Construction en Terre; CRAterre: Grenoble, France, 2017. [Google Scholar]
- Singh, R.; Gautam, S.; Sharma, B.; Jain, P.; Chauhan, K.D. Chapter 2—Biopolymers and their classifications. In Biopolymers and Their Industrial Applications. From Plant, Animal, and Marine Sources, to Functional Products; Thomas, S., Gopi, S., Amalraj, A., Eds.; Elsevier: Amsterdam, The Netherlands, 2020; pp. 21–44. [Google Scholar] [CrossRef]
- Niaounakis, M. (Ed.) Biopolymers: Reuse, Recycling, and Disposal; Elsevier: Oxford, UK, 2013. [Google Scholar]
- Khademian, E.; Salehi, E.; Sanaeepur, H.; Galiano, F.; Figoli, A. A systematic review on carbohydrate biopolymers for adsorptive remediation of copper ions from aqueous environments-part A: Classification and modification strategies. Sci. Total Environ. 2020, 738, 139829. [Google Scholar] [CrossRef]
- Ilman, B.; Balkis, A.P. Sustainable biopolymer stabilized earthen: Utilization of chitosan biopolymer on mechanical, durability, and microstructural properties. J. Build. Eng. 2023, 76, 107220. [Google Scholar] [CrossRef]
- Aguilar, R.; Nakamatsu, J.; Ramírez, E.; Elgegren, M.; Ayarza, J.; Kim, S.; Pando, M.A.; Ortega-San-Martin, L. The potential use of chitosan as a biopolymer additive for enhanced mechanical properties and water resistance of earthen construction. Const. Build. Mater. 2016, 114, 625–637. [Google Scholar] [CrossRef]
- Benzerara, M.; Guihéneuf, S.; Belouettar, R.; Perrot, A. Combined and synergic effect of algerian natural fibres and biopolymers on the reinforcement of extruded raw earth. Constr. Build. Mater. 2021, 289, 123211. [Google Scholar] [CrossRef]
- Costa, C.; Arduin, D.; Rocha, F.; Velosa, A. Adobe Blocks in the Center of Portugal: Main Characteristics. Int. J. Archit. Herit. 2021, 3, 467–578. [Google Scholar] [CrossRef]
- Wang, S.; Gainey, L.; Wang, X.; Mackinnon, I.D.R.; Xi, Y. Influence of palygorskite on in-situ thermal behaviours of clay mixtures and properties of fired bricks. Appl. Clay Sci. 2022, 216, 106384. [Google Scholar] [CrossRef]
- Nasrollahzaded, M.; Sajjadi, M.; Nezafat, Z.; Shafiei, N. Chapter 3—Polysaccharides biopolymer chemistry. In Biopolymer-Based Metal Nanoparticle Chemistry for Sustainable Applications. Classification, Properties and Synthesis; Nasrollahzaded, M., Ed.; Elsevier: Amsterdam, The Netherlands, 2021. [Google Scholar] [CrossRef]
- Sharma, G.; Sharma, S.; Kumar, A.; Al-Muhtaseb, A.H.; Naushad, M.; Ghfar, A.A.; Mola, G.T.; Stadler, F.G. Guar gum and its composites as potential materials for diverse applications: A review. Carbohydr. Polym. 2018, 199, 534–545. [Google Scholar] [CrossRef]
- Nsengiyumva, E.M.; Alexandridis, P. Xanthan gum in aqueous solutions: Fundamentals and applications. Int. J. Bio. Macromol. 2022, 216, 583–604. [Google Scholar] [CrossRef]
- LST EN 772-13:2003; Methods of Test for Masonry Units—Part 13: Determination of Net and Gross Dry Density of Masonry Units. LST Standards Board: Vilnius, Lithuania, 2003.
- ASTM C326-09; Standard Test Method for Drying and Firing Shrinkages of Ceramic Whiteware Clays. ASTM International: West Conshohocken, PA, USA, 2009.
- ASTM D4318; Standard Test Methods for Liquid Limit, Plastic Limit, and Plasticity Index of Soils. ASTM International: West Conshohocken, PA, USA, 2017.
- DIN 18945; Earth blocks—Terms and Definitions, Requirements, Test Methods. Beuth Verlag GmbH: Berlin, Germany, 2003.
- DIN EN ISO 7500-1:2004-11; Metallic Materials—Verification of Static Uniaxial Testing Machines—Part 1: Tension/Compression Testing Machines—Verification and Calibration of the Force-Measuring System. Beuth Verlag GmbH: Berlin, Germany, 2004.
- DIN 18945:2013-08; Earth Blocks—Terms and Definitions, Requirements, Test Methods. Beuth Verlag GmbH: Berlin, Germany, 2013.
- ISO 24353:2008; Hygrothermal Performance of Building Materials and Products—Determination of Moisture Adsorption/Desorption Properties in Response to Humidity Variation. International Organization for Standardization: Geneva, Switzerland, 2008.
- ISO 12571:2013; Hygrothermal Performance of Building Materials and Products—Determination of Hygroscopic Sorption Properties. International Organization for Standardization: Geneva, Switzerland, 2013.
- UNE R41410:2008; Earth for Construction. Compressed Earth Blocks. Definitions and Characteristics. AENOR: Madrid, Spain, 2008.
- NZS 4298:1998; Materials and Workmanship for Earth Buildings. Standards New Zealand: Wellington, New Zealand, 1998.
- Hamza, M.; Nie, Z.; Aziz, M.; Ijaz, Z.; Rehman, Z. Strengthening potential of xanthan gum biopolymer in stabilizing weak subgrade soil. Clean Techn. Environ. Policy 2022, 24, 2719–2738. [Google Scholar] [CrossRef]
- Trambitski, Y.; Kizinievič, O.; Kizinievič, V. Modification of clay materials with retrograded starch hydrogel. Constr. Build. Mater. 2022, 314, 125619. [Google Scholar] [CrossRef]
- Dove, C.; Bradley, F.; Patwardhan, S. Seaweed biopolymers as additives for unfired clay bricks. Mater. Struct. 2016, 49, 4463–4481. [Google Scholar] [CrossRef]
- Muguda, S.; Lucas, G.; Hughes, P.N.; Augarde, C.E.; Perlot, C.; Bruno, A.W.; Gallipoli, D. Durability and hygroscopic behaviour of biopolymer stabilised earthen construction materials. Constr. Build. Mater. 2020, 259, 119725. [Google Scholar] [CrossRef]
- Alhaik, G.; Ferreira, M.; Dubois, V.; Wirquin, E.; Tilloy, S.; Monflier, E.; Aouad, G. Enhance the rheological and mechanical properties of clayey materials by adding starches. Constr. Build. Mater. 2017, 139, 602–610. [Google Scholar] [CrossRef]
- Bozyigit, I.; Javadi, A.; Altun, S. Strength properties of xanthan gum and guar gum treated kaolin at different water contents. J. Rock Mech. Geotech. Eng. 2021, 13, 1160–1172. [Google Scholar] [CrossRef]
- Cabalar, A.F.; Awraheem, M.H.; Khalaf, M.M. Geotechnical properties of a low-plasticity clay with biopolymer. J. Mater. Civ. Eng. 2018, 30, 04018170. [Google Scholar] [CrossRef]
- Latifi, N.; Horpibulsuk, S.; Meehan, C.L.; Majid, M.Z.A.; Rashid, A.S.A. Xanthan gum biopolymer: An eco-friendly additive for stabilization of tropical organic peat. Environ. Earth Sci. 2016, 75, 825. [Google Scholar] [CrossRef]
- Mahamaya, M.; Das, S.K.; Reddy, K.R.; Jain, S. Interaction of biopolymer with dispersive geomaterial and its characterization: An eco-friendly approach for erosion control. J. Clean. Prod. 2021, 312, 127778. [Google Scholar] [CrossRef]
- Chen, R.; Zhang, L.; Budhu, M. Biopolymer stabilization of mine tailings. J. Geotech. Geoenviron. 2013, 139, 1802–1807. [Google Scholar] [CrossRef]
- Fatehi, E.H.; Ong, D.E.L.; Yu, J.; Chang, I. The Effects of Particle Size Distribution and Moisture Variation on Mechanical Strength of Biopolymer-Treated Soil. Polymers 2023, 15, 1549. [Google Scholar] [CrossRef]
- Hamza, M.; Nie, Z.; Aziz, M.; Ijaz, N.; Fang, C.; Ghani, M.U.; Ijaz, Z.; Noshin, S.; Salman, M. Geotechnical properties of problematic expansive subgrade stabilized with guar gum biopolymer. Clean Techn. Environ. Policy. 2023, 25, 1699–1719. [Google Scholar] [CrossRef]
- Gualtieri, A.F.; Ricchi, A.; Gualtieri, M.L.; Maretti, S.; Tamburini, M. Kinetic study of the drying process of clay bricks. J. Therm. Anal. Calorim. 2016, 123, 153–167. [Google Scholar] [CrossRef]
- Scherer, G.W. Theory of drying. J. Am. Ceram. Soc. 1990, 73, 3–14. [Google Scholar] [CrossRef]
- Zaccaron, A.; Nandi, V.S.; Bernardin, A.M. Fast drying for the manufacturing of clay ceramics using natural clays. J. Build. Eng. 2021, 33, 101877. [Google Scholar] [CrossRef]
- Sorgho, B.; Zerbo, L.; Keita, I.; Dembele, C.; Plea, M.; Sol, V.; Gomina, M.; Blanchart, P. Strength and creep behavior of geomaterials for building with tannin addition. Mater. Struct. 2014, 47, 937–946. [Google Scholar] [CrossRef]
- Hataf, N.; Ghadir, P.; Ranjbr, N. Investigation of soil stabilization using chitosan biopolymer. J. Clean. Prod. 2018, 170, 1493–1500. [Google Scholar] [CrossRef]
- Soldo, A.; Miletić, M.; Auad, M.L. Biopolymers as a sustainable solution for the enhancement of soil mechanical properties. Sci. Rep. 2020, 10, 267. [Google Scholar] [CrossRef] [PubMed]
- Theng, B.K.G. Formation and properties of clay-polymer complexes, Interactions of clay minerals with naturally occurring polymers. In Developments in Clay Science; Theng, B.K.G., Ed.; Elsevier: Amsterdam, The Netherlands, 2012; Volume 4, pp. 351–383. [Google Scholar]
- Fatehi, H.; Ong, D.E.L.; Yu, J.; Chang, I. Biopolymers as Green Binders for Soil Improvement in Geotechnical Applications: A Review. Geosciences 2021, 11, 291. [Google Scholar] [CrossRef]
- Trambitski, Y.; Kizinievič, O.; Gaspar, F.; Kizinievič, V.; Valente, J. Eco-friendly unfired clay materials modified by natural polysaccharides. Constr. Build. Mater. 2023, 400, 132783. [Google Scholar] [CrossRef]
- Pasqui, D.; De Cagna, M.; Barbucci, R. Polysaccharide-Based Hydrogels: The Key Role of Water in Affecting Mechanical Properties. Polymers 2012, 4, 1517–1534. [Google Scholar] [CrossRef]
- Liu, P. Polymer modified clay minerals: A review. Appl. Clay Sci. 2007, 38, 64–76. [Google Scholar] [CrossRef]
- Liu, Q.; Zhang, Y.; Laskowski, J.S. The adsorption of polysaccharides onto mineral surfaces: An acid/base interaction. Int. J. Miner. Process. 2000, 60, 229–245. [Google Scholar] [CrossRef]
- Nascimento, M.G. Introductory Chapter: Polymers and Clays—A Fruitful Combination. Clay and Clay Minerals. Intech Open. 2021. [Google Scholar] [CrossRef]







| Chemical Composition | Al2O3 + TiO2 | SiO2 | Fe2O3 | MgO | CaO | K2O | Na2O | LOI (at 1000 °C) |
|---|---|---|---|---|---|---|---|---|
| Ratio, % | 17.12 | 49.27 | 5.75 | 4.76 | 9.64 | 2.33 | 0.39 | 10.74 |
| No | Parameter | Guar Gum | Xanthan Gum |
|---|---|---|---|
| 1. | Origin | Plant—sourced from guar beans [39] | Bacterial—sourced from bacterium Xanthomonas campestris [40] |
| 2. | Appearance | Yellow-white powder | Yellow-brown powder |
| 3. | Loss on drying, % | 8.9 | 13.0 |
| 4. | pH (1% solution) | 6.5–8.0 | 6.0–8.0 |
| 5. | Viscosity (1% solution), cps | 5340 (solution unspecified) | 1300 (1% KCL solution) |
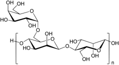
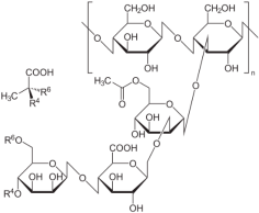
| 6. | Chemical structure | Polysaccharide containing galactose and mannose sugars:![]() | Polysaccharide containing pentasaccharide repeat units:![]() |
| Properties | Type of Polysaccharides | |||||||||
|---|---|---|---|---|---|---|---|---|---|---|
| GG Solution | XG Solution | |||||||||
| 0.5 | 1.0 | 1.5 | 2.0 | 2.5 | 0.5 | 1.0 | 1.5 | 2.0 | 2.5 | |
| pH | 7.67 | 7.78 | 7.95 | 8.11 | 8.36 | 8.34 | 7.91 | 7.72 | 7.49 | 7.38 |
| Viscosity (mPa·s) | 42.9 | 87.4 | 154.9 | 412.4 | 1032.6 | 64.8 | 216.3 | 480.4 | 594.5 | 708.5 |
| Mixture | Component Amount, % | Mixture Code | |
|---|---|---|---|
| Clay | GG or XG | ||
| Clay (100%) | 100 | 0 | C |
| Clay (100%) + Guar gum (0.5%) | 99.5 | 0.5 | C/0.5G |
| Clay (100%) + Guar gum (1.0%) | 99 | 1.0 | C/1.0G |
| Clay (100%) + Guar gum (1.5%) | 88.5 | 1.5 | C/1.5G |
| Clay (100%) + Guar gum (2.0%) | 88.0 | 2.0 | C/2.0G |
| Clay (100%) + Guar gum (2.5%) | 87.5 | 2.5 | C/2.5G |
| Clay (100%) + Xanthan gum (0.5%) | 99.5 | 0.5 | C/0.5X |
| Clay (100%) + Xanthan gum (1.0%) | 99 | 1.0 | C/1.0X |
| Clay (100%) + Xanthan gum (1.5%) | 88.5 | 1.5 | C/1.50X |
| Clay (100%) + Xanthan gum (2.0%) | 88.0 | 2.0 | C/2.0X |
| Clay (100%) + Xanthan gum (2.5%) | 87.5 | 2.5 | C/2.5X |
| Sample | Shrinkage, % | Density, g/cm3 | Compressive Strength, MPa | Young’s Modulus, Pa |
|---|---|---|---|---|
| C | 6.3 ± 0.1 | 2.0 ± 0.002 | 6.5 ± 0.3 | 241.1 |
| C/0.5G | 4.7 ± 0.1 | 2.01 ± 0.001 | 8.1 ± 0.2 | 259.10 |
| C/1.0G | 4.3 ± 0.15 | 2.02 ± 0.002 | 9.0 ± 0.2 | 266.1 |
| C/1.5G | 4.0 ± 0.1 | 2.02 ± 0.002 | 9.6 ± 0.3 | 273.05 |
| C/2.0G | 4.0 ± 0.2 | 2.02 ± 0.002 | 9.8 ± 0.2 | 276.1 |
| C/2.5G | 3.8 ± 0.15 | 2.03 ± 0.001 | 10.3 ± 0.2 | 279.15 |
| C/0.5X | 4.7 ± 0.1 | 2.01 ± 0.001 | 9.2 ± 0.1 | 263.65 |
| C/1.0X | 4.7 ± 0.1 | 2.01 ± 0.002 | 10.4 ± 0.1 | 270.7 |
| C/1.50X | 4.4 ± 0.15 | 2.03 ± 0.002 | 11.0 ± 0.2 | 277.60 |
| C/2.0X | 4.2 ± 0.2 | 2.04 ± 0.001 | 11.2 ± 0.3 | 280.6 |
| C/2.5X | 4.0 ± 0.2 | 2.05 ± 0.001 | 11.6 ± 0.3 | 283.60 |
| Sample | Water Erosion | ||
|---|---|---|---|
| Before Water Treatment | After 5 min | After 10 min | |
| C | ![]() | ![]() Remark: surface damaged (about 50%); grooves appeared on the surface; groove depth 1.0–1.6 mm; depth of water penetration—4–6 mm. | ![]() Remark: surface damaged (about 75%); the surface is dominated by grooves; groove depth 1.5–2.0 mm; depth of water penetration—6–8 mm. |
| C/0.5G | ![]() | ![]() Remark: very small single grooves appeared on the surface; groove depth 0.5–1.0 mm; depth of water penetration—1.8–2.5 mm. | ![]() Remark: very small single grooves appeared on the surface; groove depth 0.8–1.4 mm; depth of water penetration—2.3–3.5 mm. |
| C/2.5G | ![]() | ![]() Remark: very small single grooves appeared on the surface; groove depth 0.5–0.7 mm; depth of water penetration—1.5–2.2 mm. | ![]() Remark: very small single grooves appeared on the surface; groove depth 0.5–1.1 mm; depth of water penetration—2.0–3.0 mm. |
| C/0.5X | ![]() | ![]() Remark: a few very small single grooves appeared on the surface; groove depth 0.4–0.8 mm; depth of water penetration—1.4–2.0 mm. | ![]() Remark: a few more very small single grooves appeared on the surface; groove depth 0.6–1.1 mm; depth of water penetration—1.8–2.5 mm. |
| C/2.5X | ![]() | ![]() Remark: a few more very small single grooves appeared on the surface; groove depth 0.3–0.6 mm; depth of water penetration—1.2–1.6 mm. | ![]() Remark: a few more very small single grooves appeared on the surface; groove depth 0.5–0.9 mm; depth of water penetration—1.6–2.2 mm. |
Disclaimer/Publisher’s Note: The statements, opinions and data contained in all publications are solely those of the individual author(s) and contributor(s) and not of MDPI and/or the editor(s). MDPI and/or the editor(s) disclaim responsibility for any injury to people or property resulting from any ideas, methods, instructions or products referred to in the content. |
© 2025 by the authors. Licensee MDPI, Basel, Switzerland. This article is an open access article distributed under the terms and conditions of the Creative Commons Attribution (CC BY) license (https://creativecommons.org/licenses/by/4.0/).
Share and Cite
Kizinievič, O.; Trambitski, Y.; Kizinievič, V.; Voišnienė, V.; Daščioraitė, I. Exploring the Potential of Green Clay Materials Through Sustainable Modification with Natural Polysaccharides. Buildings 2025, 15, 1870. https://doi.org/10.3390/buildings15111870
Kizinievič O, Trambitski Y, Kizinievič V, Voišnienė V, Daščioraitė I. Exploring the Potential of Green Clay Materials Through Sustainable Modification with Natural Polysaccharides. Buildings. 2025; 15(11):1870. https://doi.org/10.3390/buildings15111870
Chicago/Turabian StyleKizinievič, Olga, Yahor Trambitski, Viktor Kizinievič, Violeta Voišnienė, and Inga Daščioraitė. 2025. "Exploring the Potential of Green Clay Materials Through Sustainable Modification with Natural Polysaccharides" Buildings 15, no. 11: 1870. https://doi.org/10.3390/buildings15111870
APA StyleKizinievič, O., Trambitski, Y., Kizinievič, V., Voišnienė, V., & Daščioraitė, I. (2025). Exploring the Potential of Green Clay Materials Through Sustainable Modification with Natural Polysaccharides. Buildings, 15(11), 1870. https://doi.org/10.3390/buildings15111870


















