Next Article in Journal
CrackdiffNet: A Novel Diffusion Model for Crack Segmentation and Scale-Based Analysis
Next Article in Special Issue
Two-Scale Physics-Informed Neural Networks for Structural Dynamics Parameter Inversion: Numerical and Experimental Validation on T-Shaped Tower Health Monitoring
Previous Article in Journal
Exploring the Potential of Green Clay Materials Through Sustainable Modification with Natural Polysaccharides
Previous Article in Special Issue
Index-Based Neural Network Framework for Truss Structural Analysis via a Mechanics-Informed Augmented Lagrangian Approach
 
 
Font Type:
Arial Georgia Verdana
Font Size:
Aa Aa Aa
Line Spacing:
Column Width:
Background:
Article

Extreme-Value Combination Rules for Tower–Line Systems Under Non-Gaussian Wind-Induced Vibration Response

1
School of Civil and Hydraulic Engineering, Chongqing University of Science and Technology, Chongqing 401331, China
2
Chongqing Research Institute of Building Science, Chongqing 400016, China
3
Zhiruiyuan Traffic Consultation Limited Company, Chongqing 401331, China
4
College of Civil Engineering, Longdong University, Qingyang 745000, China
5
Intelligent Construction College, Sichuan Vocational and Technical College, Suining 629000, China
*
Author to whom correspondence should be addressed.
Buildings 2025, 15(11), 1871; https://doi.org/10.3390/buildings15111871
Submission received: 1 May 2025 / Revised: 23 May 2025 / Accepted: 26 May 2025 / Published: 29 May 2025

Abstract

Currently, extreme response analysis of tower–line systems typically assumes each component response follows a stationary Gaussian process. However, actual structural responses often exhibit significant non-Gaussian characteristics, potentially compromising structural safety during service life. Based on the first-passage theory and the complete quadratic combination (CQC) rule, this study investigates the extreme-value combination of non-Gaussian wind-induced responses for tower–line systems. Subsequently, wind tunnel test data are utilized to generate extreme-value samples with specified first four statistical moments through Monte Carlo simulation. An extensive parametric study was conducted to investigate the influence of non-Gaussian response components on combined extreme responses, leading to the development of a modified CQC (MCQC) rule for extreme-value estimation. Quantitative analyses incorporating both correlation coefficients and standard deviations demonstrated that among the classical combination rules, the proposed MCQC rule provides superior accuracy in estimating the total wind-induced response of tower–line systems. The validity of the MCQC rule was subsequently verified through wind tunnel test data, with the results showing excellent agreement between predicted and experimental values. The research results provide some reference for strengthening the wind resistance toughness of tower–line systems under wind load.

1. Introduction

The dynamic response of tower–line systems under wind loads may exhibit significant non-Gaussian characteristics, which is primarily attributed to their complex operational environments (e.g., mountainous terrain airflow disturbances, extreme climatic conditions) [1], as well as the inherent nonlinear dynamic characteristics of the structures [2]. Structural responses exhibiting non-Gaussian characteristics can accelerate fatigue damage [3]. However, current international codes for tall structure wind-resistant design generally assume structural responses as stationary Gaussian random processes when calculating extreme values [4,5]. This conventional approach may introduce potential safety risks during long-term wind load exposure. Accurate characterization of structural response probability distributions and precise estimation of extreme response values constitute fundamental prerequisites for structural reliability analysis and performance-based design [6]. Consequently, it is essential to develop an extreme-value combination rule that effectively incorporates the non-Gaussian wind-induced responses of tower–line systems.
The rational determination of structural extreme responses under multi-component load excitations constitutes a critical prerequisite for ensuring structural safety [7]. As illustrated in Figure 1, methods for obtaining extreme wind-induced responses of tower–line systems can be classified into two categories: direct methods and indirect methods. The direct method is to estimate the response extreme value of the actual tower–line system under multiple loads, while the indirect method is to estimate the extreme-value response of the substructure tower and line and then determine the total response extreme value through the combination rule. Due to its practicality in wind-resistant design, the indirect methods have been widely adopted in load specifications [8]. Common extreme-value combination rules for structural wind-induced vibration responses include the square-root-of-sum-square (SRSS), complete-quadratic-combination (CQC), and Turkstra (TR) rules [9]. The SRSS rule calculates the total response extreme value through the square root of the sum of squares, under the assumption that response components are independent and their peak factors vary only slightly [10]. This rule is adopted in the ASCE-2020 standard [4]. However, this rule becomes inadequate when component correlations are significant [11]. Therefore, when correlations exist among response components, the CQC rule that accounts for cross-term effects should be used to accurately calculate the standard deviation (STD). This rule has been formally incorporated into the AS/NZS 1170.2:2011 wind load code [12]. As the number of structural modes to be considered increases, the calculations using the CQC rule become more complex [13]. For practical engineering applications, wind-induced response components are typically assumed to follow stationary Gaussian distributions with mutual independence. In this case, a time-series combination strategy is adopted, which combines the extreme value of one component with the accompanying values of other components and uses a linear superposition method with combination coefficients to determine the total response extreme value—namely the Turkstra (TR) rule [14]. Currently, the TR rule and its extended versions have been applied in codes such as GB-50009-2012 and AIJ-RLB-2015 [5,15]. Additionally, simplified combination rules like the 40% rule and 75% rule are also utilized. The above combination rules are based on the assumption of Gaussian processes. However, the response of tower–line systems under wind load shows non-Gaussian characteristics [16], which may lead to significant calculation errors [9]. Moreover, under turbulent winds, the aerodynamic forces on the structure exhibit significant nonlinearity, and the coupling effects between towers and conductors further trigger complex fluid–structure interaction processes [17]. This coupling may amplify local response fluctuations, leading to significant deviations of structural response statistics (e.g., skewness and kurtosis) from Gaussian distributions [18]. The non-Gaussian characteristics become more pronounced under resonance or strong coupling scenarios [19]. Therefore, it is necessary to consider the influence of non-Gaussian wind-induced vibration on the combination of response extreme values in wind-resistant design.
It is essential to develop an extreme-value combination rule that can account for the non-Gaussian responses of tower–line systems. Current methodologies for modeling non-Gaussian wind-induced responses include the higher-order cumulant method, which extracts third- and fourth-order moments of responses via Volterra series to construct non-Gaussian peak factor models [20]; neural network models that utilize deep learning to map target non-Gaussian power spectra to Gaussian spectra for efficient non-Gaussian time history generation [21]; and Bayesian extreme-value theory, which integrates the Peak-Over-Threshold method with Poisson processes to precisely estimate tail distributions and quantify uncertainties through prior–posterior updates [22]. Methods based on the extreme-value statistics of stochastic processes are broadly applicable to diverse non-Gaussian excitations without assuming predefined distribution forms. Existing studies have demonstrated that neglecting non-Gaussian characteristics in extreme-response analyses of tension-leg platform structures leads to the underestimation of extreme responses [23]. Three-dimensional wind-induced responses typically exhibit non-Gaussian properties, and applying conventional Gaussian combination rules can introduce substantial errors in extreme-value estimation. The first-passage theory for non-Gaussian processes offers a potential framework for developing improved combination strategies for tall buildings [24]. Gong and Chen [25] proposed modifications to the CQC rule to address inaccuracies in estimating combined extreme responses with non-Gaussian components. However, their rule’s computational complexity has limited its practical adoption in engineering applications. The wind-induced vibration responses of tower–line systems exhibit significant nonlinear characteristics due to the presence of long-span flexible cables [26]. This implies that Gaussian-based extreme-value combination rules may yield inaccurate predictions of wind-induced vibrations in tower–line systems, thereby compromising structural resilience performance under extreme wind loads. Liu et al. [27] systematically reviewed research directions and future trends in the resilience of critical infrastructure systems, including energy and power grids. To enhance structural resilience, an assessment framework considering the effects of structural deterioration on infrastructure resilience has been proposed [28]. It is noteworthy that as critical components of power grid infrastructure, tower–line systems require accurate consideration of extreme values in wind-induced vibration responses to improve their wind resistance resilience.
The existing extreme-value combination rules neglect the influence of non-Gaussian wind-induced vibrations in tower–line systems on extreme-value estimation. To address this limitation, this study proposes a non-Gaussian wind-induced vibration extreme-value combination rule for tower–line systems using first-passage theory and Monte Carlo simulation techniques. Based on aeroelastic model wind tunnel test data, the proposed combination rule demonstrates strong applicability for the extreme-value estimation of tower–line system responses, while its computational procedure ensures theoretical rigor and practical engineering applicability. This paper is organized as follows: In Section 2, the Gaussian peak factor calculated using the classical formulas, and the peak factor of the tower–line system response determined by the wind tunnel test data, are compared and discussed. Section 3 presents the modified CQC (MCQC) rule and corresponding peak factor formula for tower–line systems, derived through parametric analysis of Monte Carlo simulation samples based on first-passage theory and the CQC rule. Section 4 validates the accuracy of the proposed MCQC rule using aeroelastic wind tunnel test data. Section 5 presents the conclusions of this study, whose findings provide support for improving the wind resilience of tower–line systems.

2. Single Component Extreme-Value Analysis Method

Assuming that n sets of random variables X 1 , X 2 , , X n are independent and identically distributed with a distribution function F X ( x ) , F X ( x ) is referred to as the parent distribution relative to the distribution of their extreme value x ^ = max { x 1 , x 2 , , x n } , and the dataset { x i } ( i = 1 , 2 , , n ) is the parent dataset. To obtain the extreme values of corresponding variables, there are three primary data sample processing approaches: using extreme-value samples, threshold exceedance samples, and parent samples. According to classical extreme-value theory, when n , the resulting extreme-value distribution will converge to one of the Gumbel, Frechet, or Weibull distributions, regardless of the original distribution’s form. These three distributions can be expressed in a unified form [29], namely
F X ( x ) = exp { [ 1 + ξ x ( x α x ) / λ x ] 1 / ξ x } ,
where α x , λ x , and ξ x are position, scale, and shape parameters, respectively.
The above equation is called generalized extreme-value distribution. When ξ x = 0 , Equation (1) is a Gumbel distribution in the following form:
F X ( x ) = exp { exp [ ( x α x ) / λ x ] } .
The extreme-value distribution can be obtained by fitting Equation (1) to extreme-value data. Classical extreme-value theory can be directly applied to analyze extreme wind speeds from long-term meteorological records, whereas wind load and wind-induced vibration response data are limited by the sample size constraints of wind tunnel tests. Consequently, engineering practice typically relies on parent distribution data for extreme-value analysis and the estimation of wind loads and structural responses. This study focuses specifically on the non-Gaussian characteristics of extreme wind-induced responses in tower–line systems. For reference, conventional approaches for Gaussian wind-induced extreme responses can be found in reference [30]. Here, the non-Gaussian wind-induced vibration response extreme-value solution method based on the parent sample is emphasized.

2.1. Non-Gaussian Wind-Induced Vibration Extreme Response

For non-Gaussian wind-induced response time histories, Grigoriull [31] proposed a transformation procedure to establish the mapping relationship between the non-Gaussian process X ( t ) and the Gaussian process X s ( t ) , expressed as
X = g ( X s ) = F X 1 [ Φ ( X s ) ] ,
where F X and Φ denote the cumulative distribution functions of X ( t ) and X s ( t ) , respectively. F X 1 denotes the inverse function of F X . g ( ) = F X 1 [ Φ ( ) ] denotes the mapping transformation between X ( t ) and X s ( t ) . When X s ( t ) is a general Gaussian random wind-induced vibration response time history, g ( X s ) = μ x + σ x X s ( t ) . Based on reference [30], the extreme-value distribution of non-Gaussian random wind-induced response time histories can be derived as
F X ^ ( x ^ ) = exp { v 0 x T exp { [ g 1 ( x ^ ) ] 2 2 } } ,
where T is the time interval. v 0 x is the average forward penetration rate of response X ( t ) at the mean value μ x level, which can be calculated using the formula [24]
v 0 x = 1 2 π σ ˙ x σ x = 0 f 2 S X ( f ) d f / 0 S X ( f ) d f .
where σ x and σ ˙ x represent the standard deviations (STDs) of the X ( t ) and derivatives of X ( t ) , respectively. f denotes frequency. S X ( f ) is the power spectral density (PSD) function of X ( t ) . The mapping relationship described in Equation (1) is implicit. For explicit mapping between non-Gaussian processes X ( t ) and standard Gaussian processes X s ( t ) , the Hermite Polynomial Model (HPM) proposed by Winterstein [32] provides a well-established framework. Additionally, according to Winterstein’s study [33], non-Gaussian wind-induced responses are classified into hardening and softening processes based on a kurtosis threshold of 3 for sample data, where softening corresponds to samples with kurtosis greater than 3, and hardening corresponds to those with kurtosis less than 3. For hardening or softening processes, the corresponding HPM formulas also differ. Typically, the peak factors of hardening time histories are smaller than those of Gaussian time histories, allowing for conservative estimates using Gaussian peak factors. For a normalized non-Gaussian wind-induced response time history X ( t ) classified as a softening process, the HPM form considering the first N Hermite series terms are expressed as [34]
X s ( t ) = H ( z ) = κ [ H 1 ( z ) + i = 3 N h i H i 1 ( z ) ] ,
where H ( z ) denotes the Hermite polynomial. κ and h i are polynomial parameters determined by the first four statistical moments of X ( t ) . The Hermite polynomial function can be calculated by H i ( z ) = ( 1 ) i exp ( z 2 / 2 ) d i d z i [ exp ( z 2 / 2 ) ] .
Due to excessive estimation errors in higher-order moments (fourth-order and above), the analysis typically employs the first four statistical moments, corresponding to the case of N = 4
X s ( t ) = κ [ H 1 ( z ) + h 3 H 2 ( z ) + h 4 H 3 ( z ) ] ,
where κ = 1 / 1 + 2 h 3 2 + 6 h 4 2 . From Equation (6), it follows that H 1 ( z ) = z , H 2 ( z ) = z 2 1 , and H 3 ( z ) = z 3 3 z . To accurately calculate the parameters h 3 and h 4 in the above equation, Winterstein [32] proposed the following approximate expressions:
h 3 = α 3 4 + 2 1 + 1.5 ( α 4 3 ) ; h 4 = 1 + 1.5 ( α 4 3 ) 1 18 ,
where α 3 = E [ ( ( X ( t ) μ x ) / σ x ) 3 ] and α 4 = E [ ( ( X ( t ) μ x ) / σ x ) 4 ] represent the skewness and kurtosis of X ( t ) .
However, the practical application of the above equation is constrained by sample size limitations, leading to reduced computational accuracy when insufficient samples are available. To address this limitation, Ditlevsen et al. [35] proposed a more precise set of nonlinear analytical equations:
α 3 = 2 κ h 3 ( 2 + κ 2 + 18 κ 2 h 4 + 42 k 2 h 4 2 ) ,
α 4 = 15 12 κ 4 + ( 288 264 κ 2 ) κ 2 h 4 + ( 936 864 κ 2 ) κ 2 h 4 2 432 κ 4 h 4 3 2808 κ 4 h 4 4 .
By iteratively solving Equations (9) and (10), the parameters h 3 and h 4 can be obtained. Based on Equation (7), Z ( t ) can be expressed as a function of X ( t ) in the form
Z ( t ) = H 1 ( x s ) = [ ς 2 ( x s ) + d + ς ( x s ) ] 1 / 3 [ ς 2 ( x s ) + d ς ( x s ) ] 1 / 3 a ,
where ς ( x s ) = 1.5 b ( a + x s / κ ) a 3 , a = h 3 / 3 h 4 , b = 1 / 3 h 4 , and d = ( b 1 a 2 ) 3 . The validity of Equation (11) requires the original function (Equation (7)) to be monotonic, which necessitates the following condition [34]:
h 3 2 3 h 4 ( 1 3 h 4 ) ,
To enhance the practical applicability of the above equation, Winterstein and MacKenzie [36] approximated its functional domain as inequality constraints on skewness and kurtosis, formulated as follows:
3 + ( 1.25 α 3 ) 2 α 4 .
Based on the extreme-value distribution function in Equation (4), the mean value μ x ^ s of x ^ s can be calculated as follows:
μ x ^ s = 0 x ^ s d F X ^ s ( x ^ s ) = 0 x ^ s exp ( ξ ) d ξ ,
It is worth noting that if X ( t ) follows a Gaussian distribution, then h 3 = h 4 = 0 , and κ = 0 . In this case, the calculated value of Equation (14) is β + γ / β , which corresponds to the peak factor formula proposed by Davenport [37]. The Davenport peak factor is often underestimated when applied to non-Gaussian response estimation. Huang et al. [38] conducted extensive discussions on the error estimation of this formula for non-Gaussian data and proposed a deviation ratio calculation formula between Gaussian and non-Gaussian peak factors. The peak factor calculated by this formula is defined as g D in the following text. This indicates that when using the HPM to calculate extreme responses, the extreme-value calculation for samples satisfying a Gaussian distribution can be regarded as a special case of non-Gaussian processes. Subsequently, Kareem and Kwon [39] formulated the non-Gaussian peak factor using the first four statistical moments of Hermite polynomials, as shown in the following equation; the peak factor calculated from this formula is denoted as g k hereinafter:
μ x ^ s = κ { ( β + γ β ) + h 3 ( β 2 + 2 γ 1 + 1.98 β 2 ) + h 4 [ β 3 + 3 β ( γ 1 ) + 3 β ( π 2 6 γ + γ 2 ) + 5.54 β 3 ] } ,
In the research on weakly softening non-Gaussian processes, Huang et al. [40] developed a simplified empirical formula for the peak factor that is only related to the skewness parameter. This formula effectively incorporates the influence of weakly softening effects through empirical calibration, as shown below:
g s k e w = μ x ^ s = β 2 + ln ( β 2 2 ) + α 3 6 ( β 2 2 γ 1 ) .

2.2. Applicability Evaluation of Classical Peak Factor Formula

Wind loads typically follow Gaussian distributions, and the responses of linear structures under wind loading should consequently adhere to Gaussian characteristics [41]. It is widely acknowledged that wind-induced responses of tower structures conform to Gaussian distributions [42]. For long-span flexible systems (e.g., conductors), vibrations under low wind speeds primarily originate from Gaussian turbulent excitation, with response distributions determined by the statistical characteristics of incoming turbulent flow. However, as wind speed increases, nonlinear coupling effects between in-plane and out-of-plane vibrations of conductors become significantly pronounced, resulting in non-Gaussian response features. As reported in reference [16], conductor responses to wind gusts are inherently non-Gaussian, a conclusion further validated by subsequent statistical analyses of displacement time histories from aeroelastic conductor models. This section evaluates the applicability of Gaussian versus non-Gaussian extreme-value estimation methods through validation studies on wind-induced extreme responses of a tower and double-span lines, based on wind tunnel test data of measured extreme values.
The wind tunnel tests employed a 1:5 geometric scale ratio, with a mean wind speed of 4 m/s at the tower top (corresponding to a prototype wind speed of 20 m/s). The data acquisition system operated at a sampling frequency of 51.2 Hz over a total duration of 30 h. Extreme-value samples were divided into 10 min intervals, yielding 180 valid datasets per measurement point, meeting the statistical requirements of the conventional peak factor method. Given that the Hermite polynomial (Equation (15)) proposed by Kareem and Kwon [39] balances computational efficiency with theoretical completeness, this study selects this method to evaluate the applicability of the HPM. For the wind-induced response characteristics of the tower–line system, four key measurement points were selected for testing and analysis. Among these, the tower measurement points include the along-wind displacement measurement point T1 and the across-wind displacement measurement point T2; the double-span line measurement points include the mid-span measurement point L1 and the quarter-span measurement point L2. Figure 2 shows the schematic layout of the measurement points, and Table 1 systematically lists the skewness, kurtosis, and calculated peak values for the displacement responses at each measurement point.
The kurtosis values at measurement points L1 and L2 both exceed 3, indicating that the line’s wind-induced displacement responses exhibit significant non-Gaussian characteristics. The peak factor proposed by Davenport [37] tends to overestimate the peak responses of the tower while underestimating those of the lines. The study further reveals that although the peak factor calculation methods developed by Kareem and Kwon [39] and Huang et al. [40] show good agreement with wind tunnel test results when the tower–line system responses follow Gaussian distributions, both methods demonstrate notable computational deviations when the responses display pronounced non-Gaussian behavior (as observed at measurement points L1 and L2 in Table 1). Specifically, the method by Kareem and Kwon [39] overestimates the peak factors, whereas Huang et al.’s [40] approach underestimates them. The peak factor developed based on the HPM can reasonably model tower–line system responses exhibiting Gaussian characteristics, but it still shows significant errors when applied to non-Gaussian distributed responses. Notably, analyzing line responses under Gaussian assumptions leads to overly conservative designs (material overuse) for low wind speed conditions and unsafe designs (insufficient safety margins) for high wind speed scenarios. Therefore, the peak factor should be appropriately increased for wind-induced extreme response analyses of lines under high wind speeds.

3. Combination Rules for Extreme Value of Response

As mentioned above, the single component extreme-value analysis method is applicable for calculating peak factors of time history responses with individual Gaussian or non-Gaussian components, but it struggles to address the non-Gaussian characteristics of combined responses. Furthermore, the existing extreme-value combination rules are not applicable to non-Gaussian conditions. For a more comprehensive discussion on this issue, readers may refer to reference [9]. This section derives the MCQC rule by integrating the first-passage theory with the CQC rule. Utilizing wind tunnel test data from the tower–line system, extensive Gaussian and non-Gaussian samples were generated through Monte Carlo simulations to facilitate extreme-value analysis. Subsequently, parametric studies were conducted to STDs, correlation coefficients, and peak factors on the combined responses of the tower–line system, using statistical moments of non-Gaussian response components. An empirical formula for the combined response peak factor g p was developed, leading to the proposed MCQC rule tailored for tower–line systems. Finally, the applicability of the MCQC rule was systematically compared with SRSS, CQC, and TR rules from the perspective of correlation coefficients and STD ratios.

3.1. Modified Complete-Quadratic-Combination Rule

The displacement response component of the tower induced by line support reaction forces is denoted as X 1 ( t ) , and the displacement response component induced by dynamic wind loads acting on the tower itself is denoted as X 2 ( t ) . Their respective extreme values are assumed to be X ^ 1 and X ^ 2 . During wind tunnel testing, when acquiring the non-Gaussian component X 1 ( t ) , the entire tower was shielded to ensure there was no displacement response under the shielded condition. The line was then installed on the tower, and the measured tower displacement was defined as X 1 ( t ) . For the Gaussian component X 2 ( t ) , only the displacement response measured behind the tower was retained as X 2 ( t ) . The scalar (linear) combined response P ( t ) , expressed through these two random response processes, X 1 ( t ) and X 2 ( t ) , is defined as follows:
P ( t ) = X 1 ( t ) + X 2 ( t )
Without loss of generality, the following discussion focuses on zero-mean cases. According to Equation (5), the extreme value of P can be obtained as
P ^ max = g p σ p ,
where g p and σ p are the peak factor and STD of P ( t ) , respectively. The σ p is calculated as
σ p = σ x 1 2 + 2 ρ x 1 x 2 σ x 1 σ x 2 + σ x 2 2 ,
where ρ x 1 x 2 is the correlation coefficient of response components.
Assuming the peak factors of response components X 1 ( t ) and X 2 ( t ) are approximately equal (i.e., g x 1 g x 2 g p ), the combined extreme response can be derived based on the CQC rule
g p σ p g x 1 2 σ x 1 2 + 2 ρ x 1 x 2 g x 1 σ x 1 g x 2 σ x 2 + σ x 2 2 = A X ^ 1 + X ^ 2 .
where X ^ 1 = g x 1 σ x 1 and X ^ 2 = g x 2 σ x 2 are the extreme values of response component X 1 ( t ) and X 2 ( t ) , respectively. g x 1 and g x 2 represent the peak factors of X 1 ( t ) and X 2 ( t ) . σ x 1 and σ x 2 denote the STDs of X 1 ( t ) and X 2 ( t ) . A = σ x 2 / σ x 1 1 + 2 ρ x 1 x 2 σ x 2 / σ x 1 + ( σ x 2 / σ x 1 ) 2 is the combination coefficient. By combining Equations (18) and (20), P ^ can be rewritten as
P ^ = g p σ p = A X ^ 1 + X ^ 2 ,
g p = A g x 1 λ σ + g x 2 λ σ 2 + 2 ρ x 1 x 2 λ σ + 1 ,
where λ σ = σ x 1 / σ x 2 is the ratio of STDs between response components X 1 ( t ) and X 2 ( t ) .
Substituting Equation (22) into Equation (21) yields a simplified combination rule, named the MCQC rule:
P ^ = ( g p λ σ 2 + 2 ρ x 1 x 2 λ σ + 1 g x 2 ) g x 1 λ σ X ^ 1 + X ^ 2 .

3.2. Monte Carlo Simulation of Extreme-Value Samples

Random vibration processes cannot be characterized by deterministic functions and require probabilistic–statistical methods for quantitative description. In engineering practice, random vibrations are selected as stationary processes where statistical characteristics remain time-invariant. Based on probability distribution characteristics, random processes can be classified into two types: Gaussian and non-Gaussian. Gaussian vibration processes are fully defined by their mean, variance, and power spectral density function, whereas non-Gaussian vibration processes exhibit significant skewness in their probability density distributions. Applying Gaussian-based methods to non-Gaussian processes will lead to significant simulation errors. Therefore, higher-order statistical moments such as skewness α 3 and kurtosis α 4 must be introduced to accurately characterize the probability distribution characteristics of non-Gaussian processes.
The trajectory of a non-Gaussian signal can be obtained through a memoryless transformation of an underlying Gaussian process, as detailed in Equation (3), where z ( t ) = X s ( t ) . A combined simulation of a non-Gaussian process X 1 ( t ) and a standard Gaussian process X 2 ( t ) is implemented using the Monte Carlo method. Monte Carlo simulation generates numerous possible combinations of input parameters to simulate the stochastic behavior of systems, ultimately inferring their global characteristics through statistical results [43]. This technique enables obtaining samples with specific statistical characteristics by inputting response time history data [25]. Carassale and Solari [44] applied Monte Carlo simulation to reproduce wind fields on bridge structures. For further details on Monte Carlo simulation, readers may refer to [45]. The HPM for the X 1 ( t ) is developed based on its first four statistical moments.
Time history samples are generated under given combinations of mean value, STD, correlation coefficient ρ x 1 x 2 , α 3 , and α 4 . As shown in Figure 3a,b, the probability distribution histogram of the non-Gaussian process exhibits a steeper profile compared with the Gaussian distribution, which results from its kurtosis exceeding that of the Gaussian distribution. This observation preliminarily confirms the validity of the generated non-Gaussian process. The probability distribution histogram of the scalar combination of response results is presented in Figure 3c. To determine the optimal sample size for minimizing computational costs and validate the accuracy of generated time history samples, key statistical parameters (mean, STD, α 3 , α 4 ) derived from Monte Carlo simulations are compared with target values, as illustrated in Figure 4. The sample statistical parameters progressively converge toward target values with increasing sample size, though the convergence rate gradually slows. When the sample size exceeds 2 × 105, the parameters stabilize with no significant variations, and the relative changes in simulated statistics (mean, standard deviation, etc.) remain below 2%, demonstrating the validity of the Monte Carlo method in generating target time history samples. Following Chen et al.’s study [34], a sample size of 2 × 105 was selected by balancing computational costs in numerical simulations.
The parameters stabilize without significant changes beyond a sample size of 2 × 105. Therefore, 2 × 105 is selected as the optimal sample size, demonstrating the validity of the Monte Carlo method for generating target time history samples.
Since the ρ x 1 x 2 between response components is a key variable parameter, the ρ x 1 x 2 under the optimal sample size are compared with target values, as shown in Figure 5. Figure 5a displays scatter plots at ρ x 1 x 2 = 0.8 , demonstrating a clear positive correlation without significant outliers. The slope of the linear regression line obtained via the least squares method is 0.802, closely matching the target ρ x 1 x 2 = 0.8 . Figure 5b reveals that within the ρ x 1 x 2 = 1.0 ~ 1.0 range, the relative error between sample ρ x 1 x 2 and target values remains within 5%, meeting precision requirements. In conclusion, the Monte Carlo simulation method can effectively generate target time histories.

3.3. Peak Factor of Extreme-Value Response

This study focuses on the extreme-value combination of non-Gaussian and Gaussian time history. As derived in Section 3.1 (Equation (23)), the key parameter g p for calculating the combined extreme response P ^ primarily depends on σ x 1 , σ x 2 , ρ x 1 x 2 , g x 1 , and g x 2 . Therefore, this section conducts in-depth parametric studies on these variables via Monte Carlo simulations to develop an empirical model for g p . Based on the optimal sample size determined in Section 3.2, 200 time history samples with a duration T = 2000 s and time interval dt = 0.01 s are generated for each case to ensure sufficient statistical reliability for extreme-value estimation. Figure 6 shows the variation in the non-Gaussian response peak factor g x 1 under different STDs for the cases in Section 3.2, where the superscript ‘+’ and ‘−’ denote deviations above and below the mean of the corresponding target parameters. For non-Gaussian responses X 1 ( t ) with fixed α 3 and α 4 , the peak factor g x 1 exhibits minimal sensitivity to STD changes, characterized by recurrent fluctuations. Figure 7 presents the variation curves of g x 1 for the X 1 ( t ) under different α 3 and α 4 values. g x 1 increases with the α 3 and α 4 of the X 1 ( t ) , exhibiting a significant logarithmic relationship. Therefore, a logarithmic function can be employed to characterize this correlation.
The combined response P ( t ) is obtained by combining non-Gaussian response component X 1 ( t ) and Gaussian response component X 2 ( t ) from the cases in Section 3.2 using Equation (17). The influence of STDs and ρ x 1 x 2 on the peak factor g p of P ( t ) is then analyzed. Figure 8a shows the variation curves of g p under different σ x 1 and ρ x 1 x 2 . When ρ x 1 x 2 varies at 0~0.8, g p increases with σ x 1 , but the growth rate gradually decreases. For cases involving ρ x 1 x 2 = 0.4 and ρ x 1 x 2 = 0.8 , g p initially decreases with the STD of the non-Gaussian component σ x 1 then rapidly increases, stabilizing near σ x 1 = 1.5. Additionally, within the ρ x 1 x 2 = 0.8 0.8 range, peak factor of non-Gaussian response component g x 1 and peak factor of Gaussian response component g x 2 remain nearly constant. As shown in Figure 8b, σ x 1 and ρ x 1 x 2 are approximately linear under certain g p and g x 1 . Previous analyses indicate that g x 1 is predominantly governed by the α 3 and α 4 of X 1 ( t ) . Therefore, g x 1 can be modeled as a function of α 3 and α 4 .
In summary, among the parameters σ x 1 , σ x 2 , ρ x 1 x 2 , g x 1 , and g x 2 related to g p , one interacts with the STD σ x 1 and correlation coefficient of X 1 ( t ) , but is primarily governed by the skewness α 3 and α 4 of X 1 ( t ) . Since this study focuses on the extreme-value combination of non-Gaussian and Gaussian time histories, the standard deviation of Gaussian response components σ x 2 is set to 1, while their peak factors can be calculated using classical peak factor formulas. As g p varies with the STD σ x 1 and correlation coefficient of X 1 ( t ) , Equation (22) is redefined based on the above analysis as
g p = c 1 λ g + 1 2 Ψ ( λ σ , ρ x 1 x 2 ) ,
where λ g = g x 1 / g x 2 is the ratio of response component peak factors, and Ψ ( ) is a function of λ σ and ρ x 1 x 2 , with λ σ = σ x 1 / σ x 2 = σ x 1 . Using Monte Carlo simulation data, the combined peak factor g p in Figure 8 is fitted via the least squares method
g p = 1.27 λ g + a 1 exp a 2 λ σ ( a 3 exp a 4 λ σ ) ( a 5 λ σ a 6 ) ρ x 1 x 2 2 .
where, a i ( i = 1 , 2 , 3 , 4 , 5 , 6 ) is a parameter in the equation, and its value is given in Table 2.

3.4. Applicability Analysis of Modified Complete-Quadratic-Combination Rule

Considering that g p primarily depends on λ σ and ρ x 1 x 2 , the applicability of the MCQC rule and other combination rules (e.g., SRSS, CQC, TR, 40%, and 75%) are systematically evaluated from the perspectives of λ σ and ρ x 1 x 2 . This study specifically focuses on extreme-value combinations of non-Gaussian and Gaussian time history. For the non-Gaussian wind load response component, μ x 1 = 0 , σ x 1 = 0.2 ~ 3.0 ( Δ σ x 1 = 0.2 ) , α 3 x 1 = 0 , and α 4 x 1 = 4 , respectively. For the Gaussian-distributed wind load response component, these parameters are μ x 1 = 0 , σ x 1 = 1 , α 3 x 1 = 0 , and α 4 x 1 = 3 , respectively. The ρ x 1 x 2 between response components is defined over the range −0.8~0.8 ( Δ ρ x 1 x 2 = 0.1 ) . The Monte Carlo simulation method is employed to generate random component values under the specified conditions. For each case, 200 time history samples with a duration T = 2000 s and time interval dt = 0.01 s are generated to ensure sufficient sample size for extreme-value estimation. The maximum value of each response group is extracted, and the mean value of the 200 groups is calculated as the true value for each case. Figure 9 illustrates the relative errors between the combined extreme responses of the tower–line system calculated by different combination rules and the true value across varying λ σ and ρ x 1 x 2 , where the red dashed line represents the ±5% error threshold.
As shown in Figure 9, the relative errors between the combined extreme values calculated using SRSS and CQC rules and the true value increase with the λ σ , both exceeding the ±5% error threshold (red dashed line). This indicates that the SRSS and CQC rules are less suitable for non-Gaussian extreme-value combinations compared to other methods. Notably, when response components X 1 ( t ) and X 2 ( t ) exhibit strong negative correlations, the CQC rule underestimates the combined extreme value by nearly 55% relative to the true value, posing significant safety risks in engineering design. For | ρ x 1 x 2 | < 0.5 , the 40%, 75%, and TR rules yield combined extreme values closely aligned with the true value, with further reduced relative errors as the λ σ increases. However, when | ρ x 1 x 2 | > 0.5 , both the 40% and 75% rules overestimate the combined extreme value, and the relative error with the true value reaches the maximum when the standard deviation ratio is near 1. It is important to note that the TR rule produces unacceptably large errors when the λ σ is less than 1. For the proposed MCQC rule, when | ρ x 1 x 2 | < 0.4 , the relative error remains below 5% regardless of changes in the λ σ . When | ρ x 1 x 2 | = 0.8 , the relative error between the combined extreme value and the true value partially exceeds 5% for λ σ < 1.5, but remains below 5% when the λ σ > 1.5. Although the MCQC method demonstrates robust performance in most non-Gaussian scenarios, it should be noted that accuracy degradation occurs when λ σ < 1.5, and strong correlations exist ( | ρ x 1 x 2 | = 0.8 ). As shown in Figure 9f, the relative error under these parameter combinations significantly increases and exceeds the 5% threshold, indicating a reduction in the method’s reliability under these conditions. In short, the MCQC rule achieves optimal applicability under conditions where the λ σ is greater than 1.5 or | ρ x 1 x 2 | < 0.4 . Table 3 compares the Root Mean Square Error (RMSE) and Mean Relative Error (MRE) performance of different combination rules under varying correlation coefficients. The RMSE and MAE are defined as RMSE = 1 n i = 1 n ( y i y t i ) 2 and MRE = 1 n i = 1 n ( y i y t i ) / y t i , where y i and y t i represent the predicted and true values of the i-th sample, respectively, and n is the total number of samples. The results demonstrate that under strong correlation conditions (e.g., correlation coefficient = 0.8), the RMSE of MCQC is significantly lower than that of conventional methods (e.g., SRSS and CQC), indicating its superior robustness in combining strongly correlated components. Additionally, the MAE of MCQC approaches zero across all correlation coefficients (fluctuation range: −0.03% to 0.33%), suggesting not only low error magnitudes, but also controlled systematic bias, with predictions accurately aligning with the distribution center of true values. Notably, while traditional methods (e.g., SRSS, CQC) exhibit significant fluctuations in RMSE and MAE with varying correlation coefficients, the error metrics of MCQC remain highly stable. The results demonstrate that the mean combined extreme response calculated using Equation (23) agrees better with Monte Carlo simulation results compared to other combination rules.

4. Wind-Induced Vibration Extreme-Value Combination Coefficient and Test Validation

4.1. Tower–Line System Wind Tunnel Experiment

The wind tunnel test was conducted in the TK-400 straight-through blow-down wind tunnel laboratory at the Tianjin Research Institute of Water Transport Engineering, China, with dimensions of 15 m × 4.4 m × 2.5 m. The blockage ratio of the model to the wind tunnel cross-section was maintained below 5%. The wind tunnel operates with a 400 kW fan, enabling continuously adjustable wind speeds ranging from 1.8 to 18 m/s. The wind tunnel test was conducted using the cobra-probe anemometer (TFI Company, Australia) to monitor wind speed, equipped with the Panasonic HL-C236BE laser displacement sensor (Japan) to capture displacement responses of the tower–line system. A combination of spires, baffles, and cubic roughness elements was employed to simulate the turbulence wind field of the Chinese Load Code [5] Category B terrain at a geometric scale of 1:200. The simulated wind field exhibited good agreement with the code [5], and detailed validation results can be found in our prior study [46]. The tower model was constructed using round steel bars with diameters of 0.006 m (tower body) and 0.003 m (cross-arms). The total height of the tower model was 0.450 m, with cross arms spanning 0.180 m. For the line system, carbon fishing lines (diameter: 3 × 10−3 m) were adopted as lines, weighted with lead masses to meet inertial similarity. Insulator strings were fabricated using thin iron wires (diameter: 1 × 10−3 m), with a line span of 0.3 m and sag of 0.069 m, and insulator strings of 0.034 m length.
To simulate the influence of line loads on the tower, a substructure replacement method was implemented: acrylic plates were used to encase the tower model (hereafter termed the “shielded-tower model”) instead of directly applying line loads, owing to practical limitations in wind tunnel testing, as shown in Figure 10b. Although this approach may slightly perturb local airflow, its impact is negligible due to the large line span and confined affected region. The shield, designed as a T-shaped structure resembling the tower profile, was spaced sufficiently from the tower body to avoid constraining its dynamic response.
Three test cases were designed to determine the total wind-induced extreme responses of the tower using direct and indirect measurement methods, as shown in Figure 10a–c. Case 1 measures the tower displacement response under wind loads without line effects. Case 2 employs a tower–line aeroelastic model with shielded tower components to measure tower displacements induced by line dynamic reaction forces under wind loads. Case 3 measures the tower displacement response when wind loads act on the actual tower–line system. Additionally, two measurement points were installed on cross-arm of the models, with no sensor loosening observed during testing. For each measurement point, the wind-induced displacement data were divided into 180 segments of 10 min duration. The elimination of outliers in displacement response data is an essential prerequisite for subsequent analyses. A hierarchical processing strategy is adopted based on the distribution characteristics of the data. The data processing workflow comprises the following: (1) preprocessing (removal of DC components and low-pass filtering); (2) the identification of outliers using the 3σ criterion for Gaussian-distributed responses (Case 1), and the interquartile range (IQR) method for non-Gaussian responses (Cases 2 and 3); and (3) the outlier treatment, involving the direct removal of isolated outliers, followed by linear interpolation to preserve the continuity of the time series. In the subsequent analysis, the effects of response component mean values and STDs are temporarily disregarded.

4.2. Validation of Modified Complete-Quadratic-Combination Rule

This section validates the accuracy of the MCQC rule using wind tunnel test data from aeroelastic models of tower–line systems. Figure 11 compares the probability density distributions of longitudinal displacement responses at measurement points T1 and T2 under three test cases with Gaussian distributions. As shown in Figure 11a,b, the actual response distributions in Case 1 closely align with Gaussian distributions. This observation justifies the assumption of Gaussian-distributed probability density functions (PDFs) for estimating extreme wind-induced displacement responses of the tower (without lines), allowing for the use of classical formulas for peak factor prediction. In Cases 2 and 3, the actual probability distribution of the longitudinal displacement response of the T1 and T2 measuring points is partially different from the Gaussian distribution, which shows wider distribution characteristics as a whole. Under high wind speeds, although the actual distributions resemble Gaussian forms, they manifest as ‘sharp and narrow’ single-peak distribution.
The mean skewness and kurtosis values of measurement data for Cases 1–3 are presented in Table 4. It can be observed that for the wind-induced displacement responses at the tower top of the tower–line system model, the kurtosis values generally exceed 3 due to the inclusion of non-Gaussian load-induced displacements caused by line reaction forces. Particularly in Case 2, where the tower–line system model is subjected solely to line wind loads, the peak factor at measurement point T1 is 15.5% and 7.8% larger than those in Cases 1 and 3, respectively.
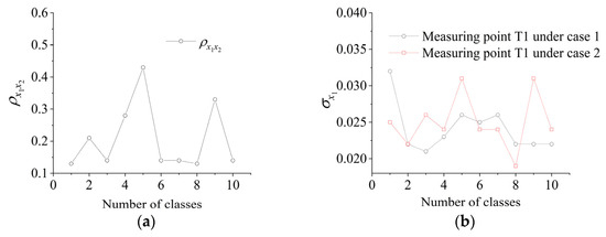
This study focuses on the extreme along-wind displacement responses. Based on 10 sets of wind-induced displacement data from measurement point T1 in Cases 1 and 2, the ρ x 1 x 2 and STDs are obtained as shown in Figure 12. The extreme-value combination coefficient A = 0.83 is calculated using Equation (22). The relative errors between the calculated extreme displacement responses (using this coefficient) and experimental values from Case 3 are shown in Figure 13. Only one dataset exhibits an error exceeding 10%, while most calculated values show relative errors within 5% compared to experimental data, demonstrating strong consistency and validating the accuracy of the extreme-value combination coefficient for the tower–line system. Furthermore, other combination rules are applied to calculate the extreme wind-induced displacements at measurement point T1 of the tower–line system. The relative errors of different combination rules are summarized in Table 5, confirming that the MCQC rule achieves significantly higher accuracy in estimating extreme wind-induced responses for the tower–line system.

5. Conclusions

To address the inability of existing wind-induced extreme-value combination rules to accurately estimate the total extreme wind responses of tower–line systems, this study proposes a modified Complete Quadratic Combination (MCQC) rule based on first-passage theory, wind tunnel test data, and Monte Carlo simulations. The proposed method simultaneously accounts for both correlation between response components and their non-Gaussian characteristics. The effectiveness of the proposed rule is demonstrated through comparative wind-induced vibration analyses of tower–line systems using classical combination rules. The main conclusions are as follows:
(1)
If the wind-induced response of a tower–line system is assumed to follow a Gaussian distribution, the predicted extreme response will be underestimated, resulting in peak factors derived from the Gaussian assumption potentially failing to satisfy structural safety requirements. Therefore, the peak factor values should be appropriately increased in extreme wind-induced response analyses of tower–line systems.
(2)
It was found that when strong negative correlation exists between non-Gaussian response components X1(t) and Gaussian response components X2(t), the peak factor of the combined response P(t) increases with the standard deviation of X1(t). At X1(t)’s standard deviation of 1.5, the peak factor of P(t) exceeds that of X1(t), indicating potential amplification of the combined extreme response. Caution is therefore required in engineering practice regarding the combination of strongly correlated response components. Furthermore, the MCQC exhibits reduced Root Mean Square Error, near-zero Mean Relative Error, and robust adaptability to varying correlation coefficients, demonstrating enhanced accuracy and stability in both engineering reliability and statistical prediction.
(3)
The SRSS and CQC rules demonstrate lower applicability than other combination rules for non-Gaussian extreme-value combinations in tower–line systems, particularly for components exhibiting strong negative correlations. The 40%, 75%, and TR rules are suitable for combining weakly correlated response components. The proposed MCQC rule calculates a combined coefficient of 0.83 for the tower–line system. The SRSS and CQC rules exhibit lower applicability for calculating extreme wind-induced displacement responses of tower–line systems. The MCQC rule reduces the mean error in extreme-value estimation by 53% compared to other rules, with the minimum relative error between MCQC rule-calculated values and experimental values being 5.27%, satisfying engineering design requirements.
(4)
This study provides a method for estimating the total response of tower–line systems through wind-induced response components, which effectively accounts for the non-Gaussian characteristics of wind vibrations. The MCQC rule achieves optimal applicability under conditions where the standard deviation ratio is greater than 1.5 or absolute values of correlation coefficient <0.4. For more complex transmission tower–line systems, future studies should further investigate the effects of lattice tower configurations and multi-bundled conductor arrangements on wind-induced vibrations to enhance the wind resistance resilience of transmission lines.

Author Contributions

Methodology, S.Z. and B.Z.; Software, X.Z. (Xianhong Zhang) and C.Z.; Formal analysis, X.Z. (Xianhong Zhang) and C.Z.; Investigation, S.Z. and Z.Y.; Resources, S.Z., Z.Y., X.Z. (Xueqin Zhang), B.Z. and X.D.; Writing—original draft, X.Z. (Xianhong Zhang) and C.Z.; Writing—review & editing, S.Z. and X.Z. (Xianhong Zhang); Supervision, S.Z. and Z.Y.; Funding acquisition, X.Z. (Xueqin Zhang). All authors have read and agreed to the published version of the manuscript.

Funding

This study was supported by the China Postdoctoral Science Foundation via (Grant No. 2022M720592 and Grant No. 2023T160767), Special Funding of Chongqing Postdoctoral Research Project via (Grant No. 2022CQBSHTB2051), Natural Science Foundation of Chongqing Municipal Science and Technology Commission via (Grant No. CSTB2023NSCQ-MSX0751), Chongqing Construction Science and Technology Plan Project (Grant No. 2022 8-8), Scientific Research Project of Chongqing Design Group Co. Ltd. via (Grant No. 2023-C4), Open Research Project of the University Enterprise Collaborative Innovation Center of Chongqing University of Science & Technology (Grant No. YKJCX2320604), and Gansu Provincial Science and Technology Plan (Grant No. 23JRRM739).

Data Availability Statement

The original contributions presented in the study are included in the article, further inquiries can be directed to the corresponding author.

Conflicts of Interest

Authors Shuang Zhao and Xueqin Zhang were affiliated with Chongqing Research Institute of Building Science. Author Shuang Zhao was affiliated with the company Zhiruiyuan Traffic Consultation Limited Company. The remaining authors declare that the research was conducted in the absence of any commercial or financial relationships that could be construed as a potential conflict of interest.

References

  1. Zhao, S.; Zhang, C.; Dai, X.; Yan, Z. Review of wind-induced effects estimation through nonlinear analysis of tall buildings, high-rise structures, flexible bridges and transmission lines. Buildings 2023, 13, 2033. [Google Scholar] [CrossRef]
  2. Zhao, S.; Yan, Z.T.; Li, Z.L.; Dong, J.; Zhong, Y.L. Investigation on wind tunnel test-s of an aeroelastic model of 1000 kV Sutong long span transmission tower-line system. J. Chin. Electr. Eng. Sci. 2018, 38, 5257–5265. (In Chinese) [Google Scholar] [CrossRef]
  3. Hu, J.; Zhang, X.; Tan, S.; Liang, Y.; Wang, J. Fatigue damage analysis of steel truss suspension bridge under non-stationary and non-Gaussian buffeting. Int. J. Struct. Stab. Dyn. 2025, 25, 2550055. [Google Scholar] [CrossRef]
  4. ASCE NO.74-2020; Guidelines for Electrical Transmission Line Structural Loading. American Society of Civil Engineers: Reston, VA, USA, 2020. [CrossRef]
  5. GB 50009-2012; Load Code for the Design of Building Structures. China Architecture and Building Press: Beijing, China, 2012. (In Chinese)
  6. Ding, Y.; Ye, X.W.; Guo, Y. Wind load assessment with the JPDF of wind speed and direction based on SHM data. Structures 2023, 47, 2074–2080. [Google Scholar] [CrossRef]
  7. Folgueras, P.; Solari, S.; Mier-Torrecilla, M.; Doblaré, M.; Losada, M.Á. The extended Davenport peak factor as an extreme-value estimation method for linear combinations of correlated non-Gaussian random variables. J. Wind Eng. Ind. Aerod. 2016, 157, 125–139. [Google Scholar] [CrossRef]
  8. Kim, T.; Kwon, O.S.; Song, J. Deep learning-based response spectrum analysis method for building structures. Earthq. Eng. Struct. Dyn. 2024, 53, 1638–1655. [Google Scholar] [CrossRef]
  9. Chen, X.Z. Revisiting combination rules for estimating extremes of linearly combined correlated wind load effects. J. Wind Eng. Ind. Aerod. 2015, 141, 1–11. [Google Scholar] [CrossRef]
  10. Wang, W.; Wang, J.; Dai, K.; Tesfamariam, S.; El Damatty, A. Probabilistic evaluation of combination rules that account for orthogonal seismic effects in torsionally irregular structural design. Structures 2024, 66, 106855. [Google Scholar] [CrossRef]
  11. Guan, H.; Tian, Y.; Chen, W.; Qi, Y. Equivalent static wind load based on displacement mode and load combination for high-rise buildings. Struct. Des. Tall Spec. Build. 2024, 33, e2169. [Google Scholar] [CrossRef]
  12. AS/NZS 1170; Australia/New Zealand Standard, Structural Design Actions, Part2: Wind Actions. A.N.Z. Standard: Melbourne, Australia, 2021.
  13. Shi, L.; Peng, L.; Zhang, R. Research on modal combination coefficients considering the spectral characteristics of strong ground motion. Soil Dyn. Earthq. Eng. 2024, 183, 108762. [Google Scholar] [CrossRef]
  14. Sangiorgio, F. Decomposition method for reliability analysis of structural systems. Math. Mech. Complex Syst. 2023, 10, 357–387. [Google Scholar] [CrossRef]
  15. Architectural Institute of Japan (AIJ). AIJ Recommendations for Loads on Building (Tokyo, Japan); Architectural Institute of Japan (AIJ): Tokyo, Japan, 2015. [Google Scholar]
  16. Soares Fernandes, Y.M.; Rodrigues Machado, M.; Dutkiewicz, M. The spectral approach of love and Mindlin-Herrmann theory in the dynamical simulations of the tower-cable interactions under the wind and rain loads. Energies 2022, 15, 7725. [Google Scholar] [CrossRef]
  17. Liu, S.; Zhang, W.; Li, Q.; Yan, S.; Zhang, S.; Li, C.; Li, L. Engineering method for quantifying the coupling effect of transmission tower-line system under strong winds. J. Wind Eng. Ind. Aerod. 2024, 255, 105954. [Google Scholar] [CrossRef]
  18. Hangan, H.; Romanic, D.; Jubayer, C. Three-dimensional, non-stationary and non-Gaussian (3D-NS-NG) wind fields and their implications to wind–structure interaction problems. J. Fluids Struct. 2019, 91, 102583. [Google Scholar] [CrossRef]
  19. Kareem, A.; Wu, T. Wind-induced effects on bluff bodies in turbulent flows: Nonstationary, non-Gaussian and nonlinear features. J. Wind Eng. Ind. Aerod. 2013, 122, 21–37. [Google Scholar] [CrossRef]
  20. Kareem, A.A.; Tognarelli, M.A.; Gurley, K.R. Modeling and analysis of quadratic term in the wind effects on structures. J. Wind Eng. Ind. Aerod. 1998, 74, 1101–1110. [Google Scholar] [CrossRef]
  21. Li, Y.; Xu, J. Neural network-aided simulation of non-Gaussian stochastic processes. Reliab. Eng. Syst. Saf. 2024, 242, 109786. [Google Scholar] [CrossRef]
  22. Chiodo, E.; De Angelis, F.; Diban, B.; Mazzanti, G. Bayes Inference of Structural Safety under Extreme Wind Loads Based upon a Peak-Over-Threshold Process of Exceedances. Math. Comput. Appl. 2023, 28, 111. [Google Scholar] [CrossRef]
  23. Kareem, A.; Zhao, J. Analysis of non-Gaussian surge response of tension leg platforms under wind loads. J. Offshore Mech. Arct. Eng. 1994, 116, 137–144. [Google Scholar] [CrossRef]
  24. Chen, X.Z.; Huang, G. Evaluation of peak resultant response for wind-excited tall buildings. Eng. Struct. 2009, 31, 858–868. [Google Scholar] [CrossRef]
  25. Gong, K.; Chen, X.Z. Estimating extremes of combined two Gaussian and non-Gaussian response processes. Int. J. Struct. Stab. Dyn. 2014, 14, 1350076. [Google Scholar] [CrossRef]
  26. Zhao, S.; Yan, Z.; Savory, E.; Zhang, B. Wind-induced mechanical energy analyses for a super high-rise and long-span transmission tower-line system. Wind Struct. 2022, 34, 185–197. [Google Scholar] [CrossRef]
  27. Liu, W.; Shan, M.; Zhang, S.; Zhao, X.; Zhai, Z. Resilience in infrastructure systems: A comprehensive review. Buildings 2022, 12, 759. [Google Scholar] [CrossRef]
  28. Forcellini, D.; Mitoulis, S.A. Effect of deterioration on critical infrastructure resilience–framework and application on bridges. Results Eng. 2025, 25, 103834. [Google Scholar] [CrossRef]
  29. Torrielli, A.; Repetto, M.P.; Solari, G. The annual rate of independent events–A key interpretation for traditional extreme value distributions of wind velocity. Wind Energy 2022, 25, 1188–1202. [Google Scholar] [CrossRef]
  30. Melchers, R.E.; Beck, A.T. Structural Reliability Analysis and Prediction; John Wiley & Sons: Hoboken, NJ, USA, 2018. [Google Scholar]
  31. Grigoriu, M. Applied Non-Gaussian Processes; Prentice Hall: Hoboken, NJ, USA, 1995. [Google Scholar]
  32. Winterstein, S.R. Nonlinear vibration models for extremes and fatigue. J. Eng. Mech. 1988, 114, 1772–1790. [Google Scholar] [CrossRef]
  33. Winterstein, S.R. Non-normal responses and fatigue damage. J. Eng. Mech. 1985, 111, 1291–1295. [Google Scholar] [CrossRef]
  34. Ding, J.; Chen, X. Assessment of methods for extreme value analysis of non-Gaussian wind effects with short-term time history samples. Eng Struct. 2014, 80, 75–88. [Google Scholar] [CrossRef]
  35. Ditlevsen, O.; Mohr, G.; Hoffmeyer, P. Integration of non-Gaussian fields. Probabilistic Eng. Mech. 1996, 11, 15–23. [Google Scholar] [CrossRef]
  36. Winterstein, S.R.; MacKenzie, C.A. Extremes of nonlinear vibration: Comparing models based on moments, L-moments, and maximum entropy. J. Offshore Mech. Arct. Eng. 2013, 135, 021602. [Google Scholar] [CrossRef]
  37. Davenport, A.G. Note on the distribution of the largest value of a random function with application to gust loading. Proc. Inst. Civ. Eng. 1964, 28, 187–196. [Google Scholar] [CrossRef]
  38. Huang, D.; Zhu, Z.; He, H. Peak Factor Deviation Ratio Method for Division of Gaussian and Non-Gaussian Wind Pressures on High-Rise Buildings. Math. Probl. Eng. 2022, 2022, 9712998. [Google Scholar] [CrossRef]
  39. Kwon, D.K.; Kareem, A. Peak factors for non-Gaussian load effects revisited. J. Struct. Eng. 2011, 137, 1611–1619. [Google Scholar] [CrossRef]
  40. Huang, M.; Lou, W.; Chan, C.M.; Bao, S. Peak factors of non-Gaussian wind forces on a complex-shaped tall building. Struct. Des. Tall Spec. 2013, 22, 1105–1118. [Google Scholar] [CrossRef]
  41. Gusella, V.; Materazzi, A.L. Non-Gaussian along-wind response analysis in time and frequency domains. Eng. Struct. 2000, 22, 49–57. [Google Scholar] [CrossRef]
  42. Dua, A.; Clobes, M.; Höbbel, T.; Matsagar, V. Dynamic analysis of overhead transmission lines under turbulent wind loading. Open J. Civ. Eng. 2015, 5, 359–371. [Google Scholar] [CrossRef]
  43. Metropolis, N.; Ulam, S. The Monte Carlo method. J. Am. Stat. Assoc. 1949, 44, 335–341. [Google Scholar] [CrossRef]
  44. Carassale, L.; Solari, G. Monte Carlo simulation of wind velocity fields on complex structures. J. Wind Eng. Ind. Aerod. 2006, 94, 323–339. [Google Scholar] [CrossRef]
  45. Song, C.; Kawai, R. Monte Carlo and variance reduction methods for structural reliability analysis: A comprehensive review. Probabilistic Eng. Mech. 2023, 73, 103479. [Google Scholar] [CrossRef]
  46. Zhao, S.; Zhang, C.; Yue, J.; Yan, Z.; Liu, J.; Zhang, B.; Liu, B. Wind-induced vibration coefficient of landscape tower with curved and twisted columns and spiral beams based on wind tunnel test data. Buildings 2022, 12, 1635. [Google Scholar] [CrossRef]
Figure 1. The direct and indirect methods to determine the total response of extreme value.
Figure 1. The direct and indirect methods to determine the total response of extreme value.
Buildings 15 01871 g001
Figure 2. Distribution of displacement measuring points of tower–line systems.
Figure 2. Distribution of displacement measuring points of tower–line systems.
Buildings 15 01871 g002
Figure 3. Probability distribution histogram of component response and total response. (a) Probability distribution histogram of X 1 ( t ) . (b) Probability distribution histogram of X 2 ( t ) . (c) Probability distribution histogram of P ( t ) .
Figure 3. Probability distribution histogram of component response and total response. (a) Probability distribution histogram of X 1 ( t ) . (b) Probability distribution histogram of X 2 ( t ) . (c) Probability distribution histogram of P ( t ) .
Buildings 15 01871 g003
Figure 4. Comparison of key statistical parameters and target parameters. (a) Mean value. (b) Standard deviation. (c) Skewness. (d) Kurtosis.
Figure 4. Comparison of key statistical parameters and target parameters. (a) Mean value. (b) Standard deviation. (c) Skewness. (d) Kurtosis.
Buildings 15 01871 g004
Figure 5. Validation of sample ρ x 1 x 2 and target ρ x 1 x 2 . (a) X 1 ( t ) and X 2 ( t ) scatter plot. (b) Relative error between ρ x 1 x 2 and target ρ x 1 x 2 .
Figure 5. Validation of sample ρ x 1 x 2 and target ρ x 1 x 2 . (a) X 1 ( t ) and X 2 ( t ) scatter plot. (b) Relative error between ρ x 1 x 2 and target ρ x 1 x 2 .
Buildings 15 01871 g005
Figure 6. Variation curves at different standard deviations of g x 1 .
Figure 6. Variation curves at different standard deviations of g x 1 .
Buildings 15 01871 g006
Figure 7. Variation curves at different skewness and kurtosis of g x 1 . (a) The variation curves of g x 1 under different skewness. (b) The variation curves of g x 1 under different kurtosis.
Figure 7. Variation curves at different skewness and kurtosis of g x 1 . (a) The variation curves of g x 1 under different skewness. (b) The variation curves of g x 1 under different kurtosis.
Buildings 15 01871 g007
Figure 8. Variation in g p for different parameters. (a) The variation in g p under different σ x 1 and ρ x 1 x 2 . (b) The variation in g p with g x 1 .
Figure 8. Variation in g p for different parameters. (a) The variation in g p under different σ x 1 and ρ x 1 x 2 . (b) The variation in g p with g x 1 .
Buildings 15 01871 g008
Figure 9. Comparison of the extreme values obtained from the various combination rules with the true values. (a) Relative error between the SRSS combination rule and the true value. (b) Relative error between the CQC rule and true value. (c) Relative error between the 40% combination rule and the true value. (d) Relative error between the 75% combination rule and the true value. (e) Relative error between the TR combination rule and the true value. (f) Relative error between the MCQC rule and true value.
Figure 9. Comparison of the extreme values obtained from the various combination rules with the true values. (a) Relative error between the SRSS combination rule and the true value. (b) Relative error between the CQC rule and true value. (c) Relative error between the 40% combination rule and the true value. (d) Relative error between the 75% combination rule and the true value. (e) Relative error between the TR combination rule and the true value. (f) Relative error between the MCQC rule and true value.
Buildings 15 01871 g009
Figure 10. Aeroelastic models for wind tunnel test. (a) Case 1: aeroelastic model of tower without lines. (b) Case 2: aeroelastic model of tower–line system with a sheltered tower. (c) Case 3: aeroelastic model of tower–line system.
Figure 10. Aeroelastic models for wind tunnel test. (a) Case 1: aeroelastic model of tower without lines. (b) Case 2: aeroelastic model of tower–line system with a sheltered tower. (c) Case 3: aeroelastic model of tower–line system.
Buildings 15 01871 g010
Figure 11. Probability distribution of wind–vibration displacement response. (a) Measuring point T1 under Case 1. (b) Measuring point T2 under Case 1. (c) Measuring point T1 under Case 2. (d) Measuring point T1 under Case 2. (e) Measuring point T1 under Case 3. (f) Measuring point T2 under Case 3.
Figure 11. Probability distribution of wind–vibration displacement response. (a) Measuring point T1 under Case 1. (b) Measuring point T2 under Case 1. (c) Measuring point T1 under Case 2. (d) Measuring point T1 under Case 2. (e) Measuring point T1 under Case 3. (f) Measuring point T2 under Case 3.
Buildings 15 01871 g011
Figure 12. ρ x 1 x 2 and STD of measurement point T1 for Case 1 and Case 2. (a) Correlation coefficient. (b) Standard deviation.
Figure 12. ρ x 1 x 2 and STD of measurement point T1 for Case 1 and Case 2. (a) Correlation coefficient. (b) Standard deviation.
Buildings 15 01871 g012
Figure 13. Equation (22) relative error between calculated value and test value.
Figure 13. Equation (22) relative error between calculated value and test value.
Buildings 15 01871 g013
Table 1. Comparison of peak factors calculated by classical formulas and experimental peak factors.
Table 1. Comparison of peak factors calculated by classical formulas and experimental peak factors.
Measuring Point PositionMeasuring Point NumberStatistical MomentPeak Factor
α3α4 g D g K g s k e w Experimental ValueStandard
Deviation
TowerT10.042.933.053.053.133.090.11
T20.022.833.032.913.093.040.10
LineL10.353.582.963.763.303.340.12
L20.283.123.103.593.433.450.12
Table 2. Parameter values for Equation (25).
Table 2. Parameter values for Equation (25).
λσ
a 1
a 2
a 3
a 4
a 5
a 6
0 < λ σ < 1 0.547352.069041.744212.232854.743881.68578
λ σ 1 0.82519−0.585841.135000.152760.83804−0.15382
Table 3. Statistical error of different extreme-value combination rules.
Table 3. Statistical error of different extreme-value combination rules.
ρ x 1 x 2 RMSE (%)MRE (%)
SRSSCQC40%75%TRMCQCSRSSCQC40%75%TRMCQC
−0.830.4948.1377.4275.2057.1911.72−7.00−45.8764.2057.79−26.970.29
−0.432.0642.9530.6926.8740.453.74−29.26−41.6025.5519.78−20.330.56
−0.237.0942.0219.1015.1625.542.62−35.58−40.8714.418.93−13.510.21
−0.139.4141.7415.2011.3725.302.53−38.21−40.699.944.61−14.110.05
041.4041.4012.008.2721.632.12−40.51−40.515.720.56−8.740.11
0.143.2641.1410.317.3223.492.33−42.51−40.312.12−2.89−15.130.26
0.245.1541.119.858.3421.022.42−44.52−40.36−1.28−6.18−13.700.09
0.448.4741.0911.9512.6010.003.43−48.00−40.49−7.34−12.06−5.55−0.03
0.853.7341.1919.4921.297.326.94−53.47−40.84−16.79−21.27−4.350.33
Table 4. Skewness, kurtosis, and peak factor of data.
Table 4. Skewness, kurtosis, and peak factor of data.
Measuring PointSkewnessKurtosisPeak FactorGaussian Combination Rule Failure Threshold
Case 1T10.042.933.09SkewnessKurtosis
T20.022.833.04
Case 2T1−0.223.413.570.183.2
T20.313.213.42
Case 3T1−0.253.683.31
T20.333.293.29
Table 5. Applicability of different combination methods to calculate the extreme value of wind-induced vibration displacement response of T-type tower–line system.
Table 5. Applicability of different combination methods to calculate the extreme value of wind-induced vibration displacement response of T-type tower–line system.
Combination RulesWind-Induced Displacement Extreme Response of Tower–Line System (×10−5 m)Relative Error (%)
Experimental ValueCalculated Value
SRSS7.8569.12916.203
CQC9.60622.282
40%8.4067.000
75%8.95513.994
TR8.4968.144
MCQC8.2705.270
Disclaimer/Publisher’s Note: The statements, opinions and data contained in all publications are solely those of the individual author(s) and contributor(s) and not of MDPI and/or the editor(s). MDPI and/or the editor(s) disclaim responsibility for any injury to people or property resulting from any ideas, methods, instructions or products referred to in the content.

Share and Cite

MDPI and ACS Style

Zhao, S.; Zhang, X.; Zhang, C.; Yan, Z.; Zhang, X.; Zhang, B.; Dai, X. Extreme-Value Combination Rules for Tower–Line Systems Under Non-Gaussian Wind-Induced Vibration Response. Buildings 2025, 15, 1871. https://doi.org/10.3390/buildings15111871

AMA Style

Zhao S, Zhang X, Zhang C, Yan Z, Zhang X, Zhang B, Dai X. Extreme-Value Combination Rules for Tower–Line Systems Under Non-Gaussian Wind-Induced Vibration Response. Buildings. 2025; 15(11):1871. https://doi.org/10.3390/buildings15111871

Chicago/Turabian Style

Zhao, Shuang, Xianhong Zhang, Chentao Zhang, Zhitao Yan, Xueqin Zhang, Bin Zhang, and Xianxing Dai. 2025. "Extreme-Value Combination Rules for Tower–Line Systems Under Non-Gaussian Wind-Induced Vibration Response" Buildings 15, no. 11: 1871. https://doi.org/10.3390/buildings15111871

APA Style

Zhao, S., Zhang, X., Zhang, C., Yan, Z., Zhang, X., Zhang, B., & Dai, X. (2025). Extreme-Value Combination Rules for Tower–Line Systems Under Non-Gaussian Wind-Induced Vibration Response. Buildings, 15(11), 1871. https://doi.org/10.3390/buildings15111871

Note that from the first issue of 2016, this journal uses article numbers instead of page numbers. See further details here.

Article Metrics

Back to TopTop