Numerical Analysis of the Dynamic Response of Concrete Bridge Piers under the Impact of Rock Debris Flow
Abstract
1. Introduction
2. Debris Flow Model
2.1. Contact Model
2.1.1. Linear Parallel Bond Model
2.1.2. Linear Model
2.2. Model Parameter Selection
2.3. Model Establishment
2.3.1. Rock Debris Clumps
2.3.2. Concrete Bridge Piers
2.3.3. Experimental Conditions
2.3.4. Model of Rock Debris Impact on Bridge Piers
3. Results Analysis
3.1. Cross-Section Shape of Piers
3.1.1. Accumulation Form of Rock Debris
3.1.2. Impact Force on Piers
- (1)
- Horizontal distribution of impact force
- (2)
- Vertical distribution of impact force
3.1.3. Pier Internal Force Response
- (1)
- Method for calculating internal forces
- (2)
- Internal forces at the pier’s bottom
3.1.4. Movement Response of the Piers
3.2. Impact Distance
3.2.1. Accumulation Form of Rock Debris
3.2.2. Impact Force on Piers
3.2.3. Internal Forces of Piers
3.2.4. Movement Response of Piers
3.3. Slope Angle of the Chute
3.3.1. Accumulation Form of Rock Debris
3.3.2. Impact Force on Piers
3.3.3. Internal Forces of Piers
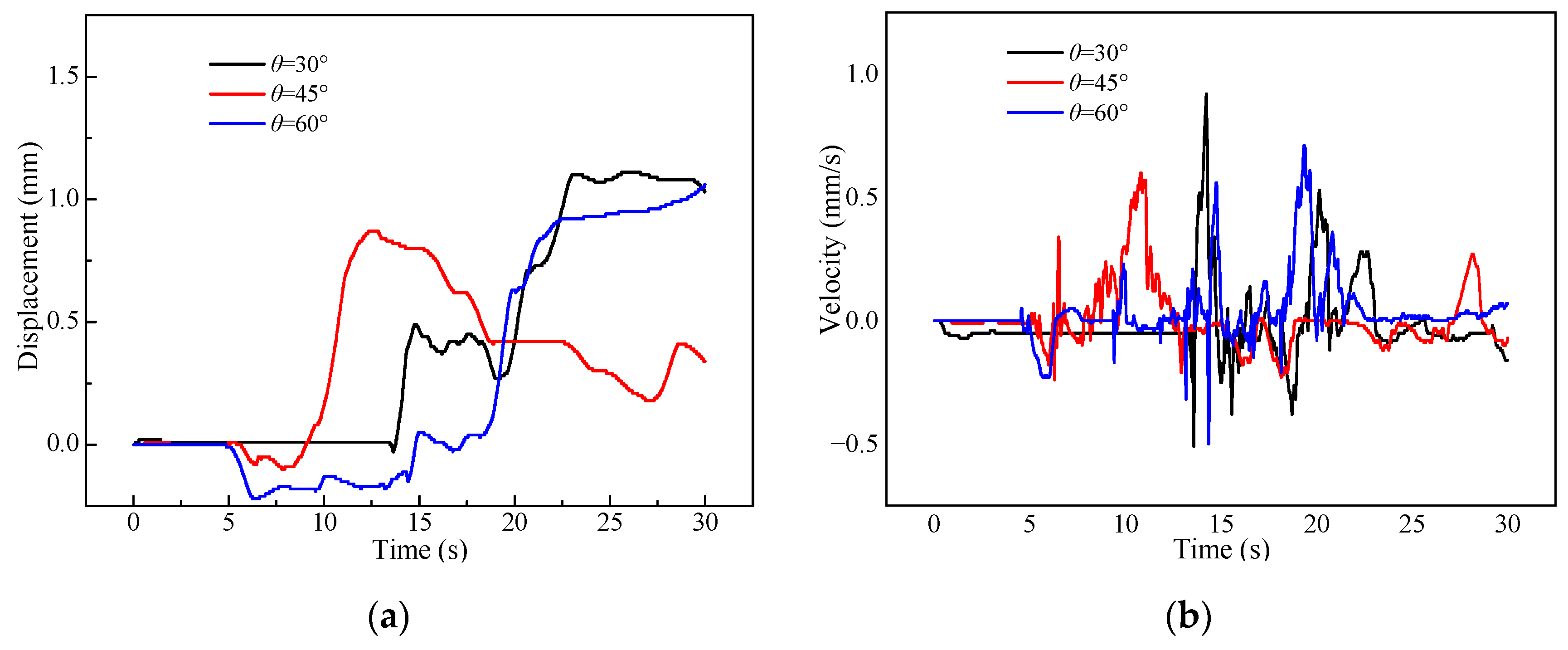
3.3.4. Movement Response of Piers
4. Discussion
5. Conclusions
- (1)
- The influence of the pier’s cross-sectional shape on the transportation and accumulation patterns of debris is significant, with different impact forces operating on piers with arch-shaped and rectangular impact surfaces. Rectangular piers obstruct debris movement and exert a greater accumulation height on rock debris than arch-shaped face piers. Nonetheless, arch-shaped face piers exhibit short-duration, high-peak internal force responses, which will be crucial in the internal force design of piers.
- (2)
- The impact distance is a sensitive factor in the impact of rock debris on piers. Increasing the impact distance can significantly reduce the internal forces and motion response of the piers. Increasing the impact distance can reduce the obstruction of debris movement by the piers, lower the accumulation height of debris, dissipate debris energy through the impact distance segment, and reduce the risk of impact disasters to pier structures.
- (3)
- The influence of the slope angle of the chute on the impact of rock debris on piers exhibits a transition angle, and reasonably controlling the slope angle can mitigate the impact effect. The accumulation height of debris in front of the piers follows a pattern of decreasing first and then increasing with the increase in the slope angle. The impact force on the piers, the internal forces at the pier’s bottom, and the movement response at the pier’s top are relatively small under the condition of θ = 45°. Therefore, when designing piers in rugged mountainous areas, optimizing the slope angle of the terrain could be considered to improve the impact of rock debris on the piers.
- (4)
- The shape of the pier’s cross-section, the impact distance of rock debris, and the slope angle of the mountainous terrain all have a certain influence on the impact force on the pier. When conducting anti-impact design for concrete bridge piers in mountainous areas, it is necessary to comprehensively consider the effects of different design factors on the impact on the pier. Prioritizing economically efficient and environmentally friendly anti-collision design methods is recommended while ensuring safety and reliability.
Funding
Data Availability Statement
Conflicts of Interest
References
- Jiang, Y.J.; Fan, X.Y.; Su, L.J.; Xiao, S.Y.; Sui, J.; Zhang, R.X.; Song, Y.; Shen, Z.W. Experimental validation of a new semi-empirical impact force model of the dry granular flow impact against a rigid barrier. Landslides 2021, 18, 1387–1402. [Google Scholar] [CrossRef]
- Sui, J.; Jiang, Y.J.; Fan, X.Y.; Song, Y.; Huang, C. An impact model of granular flows on a rigid wall. Chin. J. Rock Mech. Eng. 2019, 38, 121–132. (In Chinese) [Google Scholar] [CrossRef]
- Yin, Y.P.; Wang, W.P.; Zhang, N.; Yan, J.K.; Wei, Y.J. The June 2017 Maoxian landslide: Geological disaster in an earthquake area after the Wenchuan Ms 8.0 earthquake. Sci. China Technol. Sci. 2017, 60, 1762–1766. [Google Scholar] [CrossRef]
- Albaba, A.; Lambert, S.; Faug, T. Dry granular avalanche impact force on a rigid wall:analytic shock solution versus discrete element simulations. Phys. Rev. E 2018, 97, 052903. [Google Scholar] [CrossRef] [PubMed]
- Ashwood, W.; Hungr, O. Estimating the total resisting force in a flexible barrier impacted by a granular avalanche using physical and numerical modeling. Can. Geotech. J. 2016, 53, 1700–1717. [Google Scholar] [CrossRef]
- Jiang, Y.J.; Fan, X.Y.; Li, T.H.; Xiao, S.Y. Influence of particle-size segregation on the impact of dry granular flow. Powder Technol. 2018, 340, 39–51. [Google Scholar] [CrossRef]
- Zhang, R.X.; Su, D.; Fan, X.Y.; Jiang, Y.J.; Wu, Z.X. Influence of site conditions on the motion and impact effect of rock avalanches. J. Vib. Shock 2022, 41, 229–239. [Google Scholar] [CrossRef]
- Luo, G.; Chen, W.; Shen, W.G.; Zhang, H.A. Influence of submerged sill on the deposition and energy dissipation of granular flow. Bull. Eng. Geol. Environ. 2023, 82, 242. [Google Scholar] [CrossRef]
- Kim, B.J.; Kim, D.; Yune, C.Y. Experimental study on the impact dynamics of cylindrical baffles with a rigid barrier against debris flows. Appl. Sci. 2022, 12, 8632. [Google Scholar] [CrossRef]
- Liu, C.; Yu, Z.X.; Zhao, S.C. Quantifying the impact of a debris avalanche against a flexible barrier by coupled DEM-FEM analyses. Landslides 2020, 17, 33–47. [Google Scholar] [CrossRef]
- Yan, S.X.; He, S.M.; Deng, Y.; Liu, W.; Wang, D.; Shen, F. A reliability-based approach for the impact vulnerability assessment of bridge piers subjected to debris flows. Eng. Geol. 2020, 269, 105567. [Google Scholar] [CrossRef]
- Luo, H.Y.; Zhang, L.L.; Zhang, L.M. Progressive failure of buildings under landslide impact. Landslides 2019, 16, 1327–1340. [Google Scholar] [CrossRef]
- Cheng, M.L.; Gao, W.W. Study on the impact law of V-shaped gully debris avalancheson double-column piers. Buildings 2024, 14, 577. [Google Scholar] [CrossRef]
- Chen, Y.; Yao, C.R.; Zhu, Y.F.; Zhou, X.; An, H.R. Experimental study on influencing factors of maximum impact force of debris flow impacting bridge pier. Railway Eng. 2023, 63, 76–81. (In Chinese) [Google Scholar]
- Zhao, W.C.; Feng, H.D.; Ye, J.H.; Qian, J. Dynamic responses and damage behavior of hollow RC piers against rockfall impact. Thin Wall. Struct. 2023, 187, 110771. [Google Scholar] [CrossRef]
- Xie, R.H.; Fan, W.; Liu, B.; Shen, D.J. Dynamic behavior and vulnerability analysis of bridge columns with different cross-sectional shapes under rockfall impacts. Structures 2020, 26, 471–486. [Google Scholar] [CrossRef]
- Zhang, J.F.; Wang, R.; Han, W.S.; Bao, H. A comprehensive approach for bridge performance evaluation under rockfall impact integrated with geological hazard analysis. Eng. Fail. Anal. 2022, 141, 106668. [Google Scholar] [CrossRef]
- Li, F.; Liu, Y.K.; Yang, J. Durability assessment method of hollow thin-walled bridge piers under rockfall impact based on damage response surface. Sustainability 2022, 14, 12196. [Google Scholar] [CrossRef]
- He, S.M.; Yan, S.X.; Deng, Y.; Liu, W. Impact protection of bridge piers against rockfall. Bull. Eng. Geol. Environ. 2019, 78, 2671–2680. [Google Scholar] [CrossRef]
- Zhong, H.Q.; Hao, C.R.; Yu, Z.X.; Lyu, L.; Wu, A.J. Damage assessment of RC bridge piers under rockfall impact and evaluation of a steel-sand protective structure. Structures 2023, 47, 607–624. [Google Scholar] [CrossRef]
- Zhong, H.Q.; Yu, Z.X.; Zhang, C.; Lyu, L.; Zhao, L. Dynamic mechanical responses of reinforced concrete pier to debris avalanche impact based on the DEM-FEM coupled method. Int. J. Impact Eng. 2022, 167, 104282. [Google Scholar] [CrossRef]
- Yan, S.X.; He, S.M.; Wang, D.P.; Wu, Y. Design and optimisation of a protective device for bridge piersagainst debris flow impact. Bull. Eng. Geol. Environ. 2020, 79, 3321–3335. [Google Scholar] [CrossRef]
- Yu, Z.X.; Zhang, L.Y.; Zhao, Y.N.; Wei, T. Effectiveness analysis on the protection measures for the mountain bridge piers against rockfall. Appl. Mech. Mater. 2012, 226–228, 1683–1688. [Google Scholar] [CrossRef]
- Gu, X.; Yu, Z.X.; Zhao, L.; Xu, H. Influence of rockfall impact energy on mountain bridge damage. J. Southwest Jiaotong Univ. 2016, 51, 1131–1137. (In Chinese) [Google Scholar] [CrossRef]
- Liu, X.; Zheng, Y.Z.; Fang, Q.; Zhou, C.; Yang, Y.; Xiang, H.B.; Yan, H.C. Anti-collision performance of RC columns strengthened with a composite of FRP grid and UHPC. Structures 2022, 43, 1682–1689. [Google Scholar] [CrossRef]
- Itasca Consulting Group Inc. PFC 6.0 Particle Flow Code in 3 Dimensions: User’s Guide; Itasca Consulting Group Inc.: Minneapolis, MN, USA, 2019. [Google Scholar]
- GB 50010-2010; Code for the Design of Concrete Structures. China State Construction Engineering and Construction Industry Press: Beijing, China, 2015. (In Chinese)
- Geng, J.Y.; Bu, J.Q.; Gao, Y. Numerical analysis of concrete triaxial compression test based on discrete element method. J. Shijiazhuang Tiedao Univ. (Nat. Sci.) 2015, 28, 88–91. (In Chinese) [Google Scholar] [CrossRef]
- Ji, Y.D.; Lin, Q.W.; Wang, Y.F.; Cheng, Q.G.; Ren, Z.Q.; Yao, Z.Y.; Sun, X.F. Study on rock similar material characteristics of rock avalanche. J. Eng. Geol. 2023, 31, 924–931. (In Chinese) [Google Scholar] [CrossRef]
- Bi, Y.Z.; Li, M.J.; Wang, D.P.; Zheng, L.; Yan, S.X.; He, S.M. A numerical study of viscous granular flow in artificial step-pool systems: Flow characteristics and structure optimization. Acta Geotech. 2023, 18, 6275–6295. [Google Scholar] [CrossRef]
- Albaba, A.; Lambert, S.; Nicot, F.; Chareyre, B. Relation between microstructure and loading applied by a granular flow to a rigid wall using DEM modeling. Granul. Matter 2015, 17, 603–616. [Google Scholar] [CrossRef]
- Fan, X.Y.; Yang, H.L.; Tian, S.J.; Zhang, Y.Y.; Sun, X.P.; Wang, H.G. Susceptibility degree of factors influence on the movement parameters of landslide—Debris avalanches. Mt. Res. 2016, 34, 724–731. (In Chinese) [Google Scholar] [CrossRef]
- Jiang, Y.J.; Zhao, Y.; Towhata, I. Influence of particle characteristics on impact event of dry granular flow. Powder Technol. 2015, 270, 53–67. [Google Scholar] [CrossRef]
- Qin, X.; Xu, Q.J. Research on meso parameters of concrete direct shear test based on discrete element simulation. Water Resour. Power 2023, 41, 156–160. (In Chinese) [Google Scholar] [CrossRef]























| Material | Element Type | Contact Model | Contact Type | Parameters | Value |
|---|---|---|---|---|---|
| Concrete | ball | Linear parallel bond model | Ball-ball | Normal stiffness kn (MPa/m) | 60 |
| Shear stiffness ks (MPa/m) | 40 | ||||
| Frictional coefficient μ | 1.0 | ||||
| (MPa) | 60 | ||||
| (MPa) | 60 | ||||
| (°) | 50 | ||||
| / | / | Damping ratio β | 0.20 | ||
| Debris | clump | Linear model | Pebble-ball | Normal stiffness kn (MPa/m) | 100 |
| Shear stiffness ks (MPa/m) | 75 | ||||
| Frictional coefficient μ | 0.25 | ||||
| Pebble-pebble | Normal stiffness kn (MPa/m) | 100 | |||
| Shear stiffness ks (MPa/m) | 50 | ||||
| Frictional coefficient μ | 0.30 | ||||
| Pebble-facet | Normal stiffness kn (MPa/m) | 100 | |||
| Shear stiffness ks (MPa/m) | 20 | ||||
| Frictional coefficient μ | 0.20 (0.00) | ||||
| / | / | Damping ratio β | 0.20 |
| Parameter Name | Unit | Value |
|---|---|---|
| Cross-sectional shape | / | round-ended, circular, rectangular, square |
| Impact distance/l0 | m | 0.6, 0.8, 1.0 |
| Slope angle/θ | Degree (°) | 30, 45, 60 |
Disclaimer/Publisher’s Note: The statements, opinions and data contained in all publications are solely those of the individual author(s) and contributor(s) and not of MDPI and/or the editor(s). MDPI and/or the editor(s) disclaim responsibility for any injury to people or property resulting from any ideas, methods, instructions or products referred to in the content. |
© 2024 by the author. Licensee MDPI, Basel, Switzerland. This article is an open access article distributed under the terms and conditions of the Creative Commons Attribution (CC BY) license (https://creativecommons.org/licenses/by/4.0/).
Share and Cite
Cheng, M.-L. Numerical Analysis of the Dynamic Response of Concrete Bridge Piers under the Impact of Rock Debris Flow. Buildings 2024, 14, 1504. https://doi.org/10.3390/buildings14061504
Cheng M-L. Numerical Analysis of the Dynamic Response of Concrete Bridge Piers under the Impact of Rock Debris Flow. Buildings. 2024; 14(6):1504. https://doi.org/10.3390/buildings14061504
Chicago/Turabian StyleCheng, Mai-Li. 2024. "Numerical Analysis of the Dynamic Response of Concrete Bridge Piers under the Impact of Rock Debris Flow" Buildings 14, no. 6: 1504. https://doi.org/10.3390/buildings14061504
APA StyleCheng, M.-L. (2024). Numerical Analysis of the Dynamic Response of Concrete Bridge Piers under the Impact of Rock Debris Flow. Buildings, 14(6), 1504. https://doi.org/10.3390/buildings14061504
