Exploring the Impact of Urban Morphology on Building Energy Consumption and Outdoor Comfort: A Comparative Study in Hot-Humid Climates
Abstract
1. Introduction
- (1)
- To establish six fundamental morphological models, including three individual unit layouts and three group layouts, and explore their control and descriptive parameters through extensive simulation data.
- (2)
- To visualize the impact of various design parameters on energy consumption and UTCI using scatter plots, facilitating a comprehensive analysis of trends and quantitative relationships.
- (3)
- To conduct sensitivity analysis on design parameters under different layout conditions, highlighting their influence on target performance indicators.
2. Methodology
2.1. Research Framework
2.2. Research Model on the Block Scale
2.2.1. Selection of Typical Block Morphologies in Hot-Humid Regions
2.2.2. Urban Morphology Design Parameters
Control Parameters
Descriptive Parameters
2.2.3. Establishment of Six Typical Research Models
Type 1–3: Individual Building-Models
- Type 1 Single point (strip) building model
- 2.
- Type 2 Enclosed building model
- 3.
- Type 3 Semi-enclosed building model
Type 4–6: Collective building models
- Type 4—Blocks composed of two to four strip buildings arranged in rows.
- 2.
- Type 5—Blocks composed of four buildings arranged at the corners.
- 3.
- Type 6—Blocks composed of nine buildings arranged in a matrix.
2.3. Scenario Settings and Sampling Method
2.4. Sensitivity Analysis Method
3. Results
3.1. Correlation between Design Parameters and Performance Indicators
3.1.1. Correlation between Control Parameters and Performance Indicators
Type 1 Model
- The dimensions of buildings in the X and Y directions show no significant statistical correlation with outdoor comfort UTCI values but are negatively correlated with building energy consumption. This means that larger building dimensions correspond to lower air conditioning loads per unit area. As building sizes increase from side lengths of 20 m to 30 × 80 m, the air conditioning load per unit area can decrease from 200 kWh/m2 to 160 kWh/m2, which is about a 20% reduction.
- There is a clear negative correlation between the number of building floors and the UTCI, indicating that higher buildings result in lower average felt temperatures outdoors during the hottest week and thus higher thermal comfort. Increasing the building height from 3 to 22 floors can reduce the UTCI average by nearly 3 °C. This negative correlation can be interpreted as higher buildings producing stronger shading effects between them, reducing direct solar radiation and correspondingly lowering the felt temperature in pedestrian areas. The correlation between the number of floors and energy consumption is significant for buildings between three and seven floors, showing a positive relationship, but it is almost negligible above seven floors.
- Building spacing has a weak correlation with both UTCI and energy consumption, suggesting that larger spaces between buildings may lead to a slight increase in energy consumption and outdoor UTCI values. However, the scattered distribution of data points indicates a high variance, implying that building spacing is not a reliable predictor of performance indicators when evaluating different design options.
- The building orientation angle shows no statistical correlation with either UTCI or energy performance.
Type 2 and Type 3 Models
- There is no significant statistical correlation between building width and UTCI values; however, there is a strong inverse relationship between the building width and energy consumption. That is, larger building widths correspond to lower air conditioning loads per unit area. This strong correlation can serve as an empirical basis for preliminary architectural design decisions.
- Compared to building width, the size of the inner courtyard formed within the building has no significant impact on either energy consumption or UTCI values.
- Like point-style buildings, there is a clear negative correlation between the number of building floors and the UTCI, meaning that higher buildings result in lower average felt temperatures outdoors during the hottest week and thus higher thermal comfort. Increasing the building height from 3 to 22 floors can potentially reduce the UTCI average by up to 2 °C. The correlation between the number of floors and energy consumption is present only in low-rise situations.
- In this scenario, the weak correlation between building spacing and both energy consumption and UTCI is similar to that observed in point-style buildings.
- The building orientation angle shows no statistical correlation with either UTCI or energy performance.
- Compared to point-style buildings, the relationship between UTCI and energy consumption is weaker.
Type 4 Model
- The number of buildings shows no correlation with per-unit-area energy consumption or UTCI.
- Both the building width (Width) and length (X) dimensions are negatively correlated with the energy consumption distribution, indicating that larger building plan dimensions correspond to lower air conditioning loads per unit area. This effect is more pronounced with the building length; as length increases from 10 m to 50 m, per-unit-area air conditioning load can decrease from 220 kWh/m2 to 140 kWh/m2, a reduction of about 36%.
- The north-south building spacing shows a weaker correlation with energy consumption but a gradual increase in outdoor UTCI values with larger north-south spacing.
- There is a certain negative correlation between the number of building floors and energy consumption, particularly significant within 13 floors, with almost no effect from 13 to 22 floors.
- The distance between the plot boundary and buildings shows a certain positive correlation with UTCI, while the building orientation angle shows a certain negative correlation with UTCI, with the UTCI range concentrated between 35 °C to 34.5 °C when the distance changes from 20 m to 5 m or when the angle changes from 0° to 90°; however, neither shows a statistical correlation with energy consumption.
- Scatter plots of UTCI and energy consumption reveal a clear positive correlation—higher building energy consumption corresponds to higher UTCI values.
Type 5 and Type 6 Models
- There is no significant correlation between building length (X0) and width (Y0) with UTCI values. However, it is notable that the width (Y0) parameter demonstrates a significant inverse relationship with energy consumption. Specifically, larger building widths are associated with lower air conditioning loads per unit area.
- The spacing in the east-west (X1) and north-south (Y1) directions between buildings has no significant impact on energy consumption or UTCI values.
- The distance (d) between the plot boundary and buildings shows little correlation with energy consumption but is positively correlated with UTCI values.
- Building height shows a clear negative correlation with both energy consumption and UTCI. As the building height increases from 3 to 13 floors, per-unit-area energy consumption can decrease by 50 kWh/m2, and the average UTCI value can reduce by up to 1 °C. The trend becomes less apparent when the number of floors exceeds 10.
- The building orientation angle shows no statistical correlation with either UTCI or energy performance.
- Outdoor environmental UTCI values continue to show a clear positive correlation with building energy consumption.
- Under the same control parameter settings, the average UTCI of Type 5 buildings is relatively higher than that of Type 6 buildings, but there is no difference in the EUI values of the blocks.
3.1.2. Correlation between Descriptive Parameters and Performance Indicators
Type 1–3 Individual Building Models
- A higher FAR is associated with better outdoor thermal comfort (lower UTCI values). However, there is no strong statistical correlation between the FAR and building energy consumption.
- There is an inverse relationship between building density and energy consumption, meaning that higher density leads to lower energy consumption, with a deviation of about 20%. Contrary to common belief, there is no strong statistical correlation between building density and outdoor comfort UTCI values. High-density urban areas do not necessarily offer better outdoor comfort, which could be attributed to building density not reflecting building height characteristics and thus not accurately depicting the shading effect between buildings.
- The S/V is positively correlated with UTCI, meaning that a larger S/V results in higher UTCI and lower outdoor comfort. However, in hot-humid regions, the S/V does not show a strict positive or negative correlation with building energy consumption—a distortion that has been confirmed by scholars [66]. This finding should be considered in future design practices.
- The Street Height-to-Width Ratio (HWx/HWy) is strongly negatively correlated with UTCI values, meaning a larger ratio, indicative of more canyon-like streets, results in lower UTCI values and higher outdoor thermal comfort. However, the street height-to-width ratio does not effectively reflect the energy consumption indicators of buildings on either side of the street.
- SVF can effectively characterize changes in UTCI values, aiding designers in assessing potential outdoor thermal comfort levels. With an SVF below 0.6, it can to some extent reflect building energy consumption levels—the higher the SVF, the higher the building energy consumption. This correlation fails when SVF is greater than 0.6—analyzing scatter plots of building energy consumption alongside the FAR and HWx/HWy indicates that SVF becomes ineffective in scenarios with a FAR below 2 and street height-to-width ratio less than 1, where designers cannot rely on SVF for energy consumption estimates.
Type 4–6 Group Building Models
- For all three groups of collective layout verification models, across the entire range of FARs from 0.5 to 4, the following phenomenon is observed: a higher FAR correlates with better outdoor thermal comfort (lower UTCI values) and lower building energy consumption. The correlation between the FAR and UTCI values is more pronounced under the grid-style layout; the inverse relationship between the FAR and energy consumption is unaffected by the collective layout mode, meaning a specific FAR corresponds to a specific range of energy consumption values across different collective layouts.
- Building density has an inverse relationship with energy consumption, meaning higher density leads to lower energy use. Like the conclusions drawn from individual building verification models, aside from a weak correlation within the linear group layout (Type 1), there is no strong statistical relationship between building density and outdoor comfort UTCI values, indicating that higher density does not necessarily improve outdoor comfort in urban areas.
- The S/V has a weak positive correlation with UTCI; in contrast to individual building models, in all three collective layout scenarios, the S/V shows a strict positive correlation with building energy consumption.
- The Street Height-to-Width Ratio does not effectively reflect the energy consumption indicators of buildings on either side of the street; its negative correlation with UTCI values is not as strong as in individual building models, and thus, the building energy consumption and UTCI values cannot be directly inferred from the Street Height-to-Width ratio.
- Unlike single building models, the SVF in collective layout study models does not reflect changes in building energy consumption and UTCI performance indicators.
- There exists a strong correlation between UTCI and building energy consumption.
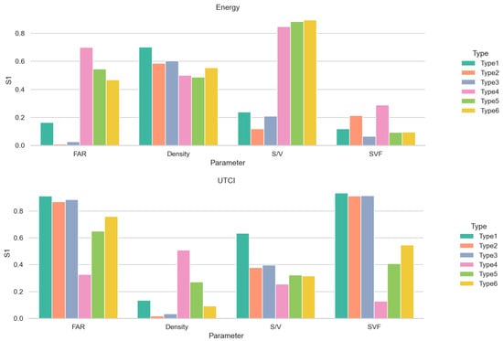
3.2. Sensitivity Analysis Results
- (1)
- For both collective and individual building layout prototypes, controlling building density significantly affects energy consumption.
- (2)
- For collective layouts, controlling the FAR and S/V effectively adjusts building energy consumption, but this experience is not applicable to the more homogeneous single-building prototypes. This conclusion is also corroborated by the matrix scatter plots in Section 3.1.2, indirectly reflecting that conclusions based on homogeneous building study prototypes do not accurately reflect real urban layout experiences.
- (3)
- For collective layout modes, the experience of controlling building energy consumption by controlling descriptive parameters can apply to both bar-type layouts (Type 4) and checkerboard layouts (Type 5, Type 6).
- (4)
- For homogeneous individual building layouts, adjusting the other three types of descriptive indicators is not as effective as adjusting the building density.
- (1)
- Due to the homogeneity of individual building layouts, FAR and SVF indicators show a strong correlation with UTCI, and controlling the S/V also significantly impacts UTCI. This correlation is notably strong across three different individual building layouts.
- (2)
- Due to the spatial heterogeneity of collective layout modes, the control strength of FAR and SVF indicators and the S/V values based on UTCI are relatively weaker, especially in bar-type building layouts (Type 4).
- (3)
- There is no strong correlation between the building density and UTCI (as building height more directly affects the outdoor thermal environment than building density does). However, for collective layout modes, the building density also impacts UTCI to some extent, especially in bar-type building combinations (Type 4).
4. Discussion
4.1. Common Trends across Six Urban Block Prototypes
4.2. Differential Rules across Urban Block Prototypes
4.3. The Social Significance of Urban Morphology Research
4.4. Implications for Public Policy and Recommendations
5. Conclusions
- (1)
- Plan dimensions directly impact the energy consumption per unit area of buildings.
- (2)
- Building orientation shows no significant statistical correlation with energy consumption or outdoor comfort (UTCI).
- (3)
- Building spacing exerts a relatively weak influence on energy consumption and UTCI.
- (4)
- The Floor Area Ratio (FAR) and Surface-to-Volume Ratio (S/V) exhibit strong correlations with outdoor thermal comfort (UTCI).
- (5)
- Building density demonstrates an inverse relationship with energy consumption across all six building typologies, emphasizing its importance in urban planning.
- (6)
- There exists a positive correlation between outdoor thermal comfort (UTCI) and building energy consumption.
- (7)
- The assessment of the applicability of the S/V parameter in building energy consumption evaluations across different scenarios is crucial.
Author Contributions
Funding
Data Availability Statement
Conflicts of Interest
Abbreviations
Appendix A
| Material | Thickness mm | Thermal Conductivity W/(m·K) | Density Kg/m3 | Specific Heat Capacity J/(kg·K) | |
|---|---|---|---|---|---|
| Flooring | Anti-slip floor tile | 10 | 1.16 | 2000 | 935 |
| Polymer mortar | 5 | 0.93 | 1800 | 1050 | |
| Mortar | 20 | 0.93 | 1800 | 1050 | |
| C20 concrete | 80 | 1.74 | 2500 | 920 | |
| Roof | C30 fine aggregate concrete | 50 | 1.74 | 2500 | 920 |
| LC10 lightweight aggregate concrete | 30 | 0.95 | 1700 | 1050 | |
| Reinforced concrete | 120 | 1.74 | 2500 | 920 | |
| Wall | Stone cladding | 30 | 3.49 | 2800 | 920 |
| Waterproof mortar | 20 | 0.93 | 1800 | 1050 | |
| Polymer mortar | 10 | 0.93 | 1800 | 1050 | |
| Concrete hollow block wall | 190 | 0.22 | 700 | 1050 | |
| Lime plaster | 2 | 0.81 | 1600 | 1050 | |
| Material | Thickness (mm) | Heat Transfer Coefficient W/(m2·K) | Radiation Transmittance Ratio | Visible Light Transmittance Ratio | |
| External windows | Translucent glass | 6 | 5.7 | 0.85 | 0.9 |
| Medium light transmittance heat-reflective glass | 6 | 5.5 | 0.51 | 0.47 | |
| Low light transmittance heat-reflective glass | 6 | 4.8 | 0.42 | 0.32 | |
| High light transmission low-E glass | 6 | 4.0 | 0.69 | 0.80 | |
| 6 Transparent glass + 12 Air layer + 6 Transparent glass | 3.4 | 0.75 | 0.81 | ||
| 6 Low light transmittance heat-reflective + 12 Air layer + 6 Transparent glass | 3.1 | 0.35 | 0.29 | ||
| 6 High light transmission low-E + 12 Air layer + 6 Transparent glass | 2.7 | 0.46 | 0.68 | ||
| 6 High light transmission low-E + 12 Argon gas layer + 6 Transparent glass | 2.7 | 0.45 | 0.68 | ||
References
- Heilig, G.K. World Urbanization Prospects: The 2011 Revision; United Nations, Department of Economic and Social Affairs (DESA), Population Division, Population Estimates and Projections Section: New York, NY, USA, 2012; Volume 14, p. 555. [Google Scholar]
- Seto, K.C.; Güneralp, B.; Hutyra, L.R. Global forecasts of urban expansion to 2030 and direct impacts on biodiversity and carbon pools. Proc. Natl. Acad. Sci. USA 2012, 109, 16083–16088. [Google Scholar] [CrossRef] [PubMed]
- Zhang, X.; Wang, X.; Du, S.; Tian, S.; Jia, A.; Ye, Y.; Gao, N.; Kuang, X.; Shi, X. A systematic review of urban form generation and optimization for performance-driven urban design. Build. Environ. 2024, 253, 111269. [Google Scholar] [CrossRef]
- Liu, X.; He, J.; Xiong, K.; Liu, S.; He, B.-J. Identification of factors affecting public willingness to pay for heat mitigation and adaptation: Evidence from Guangzhou, China. Urban Clim. 2023, 48, 101405. [Google Scholar] [CrossRef]
- Karimimoshaver, E.; Khalvandi, R.; Khalvandi, M. The effect of urban morphology on heat accumulation in urban street canyons and mitigation approach. Sustain. Cities Soc. 2021, 73, 103127. [Google Scholar] [CrossRef]
- Liu, K.; Xu, X.; Zhang, R.; Kong, L.; Wang, W.; Deng, W. Impact of urban form on building energy consumption and solar energy potential: A case study of residential blocks in Jianhu, China. Energy Build. 2023, 280, 112727. [Google Scholar] [CrossRef]
- Yang, J.; Zhao, Y.; Zou, Y.; Xia, D.; Lou, S.; Liu, W.; Ji, K. Effects of Tree Species and Layout on the Outdoor Thermal Environment of Squares in Hot-Humid Areas of China. Buildings 2022, 12, 1867. [Google Scholar] [CrossRef]
- Du, R.; Liu, C.-H.; Li, X.-X. A new method for detecting urban morphology effects on urban-scale air temperature and building energy consumption under mesoscale meteorological conditions. Urban Clim. 2024, 53, 101775. [Google Scholar] [CrossRef]
- Zou, Y.; Deng, Y.; Xia, D.; Lou, S.; Yang, X.; Huang, Y.; Guo, J.; Zhong, Z. Comprehensive analysis on the energy resilience performance of urban residential sector in hot-humid area of China under climate change. Sustain. Cities Soc. 2023, 88, 104233. [Google Scholar] [CrossRef]
- Nieuwenhuijsen, M.; de Nazelle, A.; Pradas, M.C.; Daher, C.; Dzhambov, A.M.; Echave, C.; Gössling, S.; Iungman, T.; Khreis, H.; Kirby, N.; et al. The Superblock model: A review of an innovative urban model for sustainability, liveability, health and well-being. Environ. Res. 2024, 251, 118550. [Google Scholar] [CrossRef]
- Zhu, W.; Wang, J.; Qin, B. The relationship between urban greenness and mental health: A national-level study of China. Landsc. Urban Plan. 2023, 238, 104830. [Google Scholar] [CrossRef]
- Askarizad, R.; He, J. Post-pandemic urban design: The equilibrium between social distancing and social interactions within the built environment. Cities 2022, 124, 103618. [Google Scholar] [CrossRef] [PubMed]
- Liu, S.; Wang, Y.; Liu, X.; Yang, L.; Zhang, Y.; He, J. How does future climatic uncertainty affect multi-objective building energy retrofit decisions? Evidence from residential buildings in subtropical Hong Kong. Sustain. Cities Soc. 2023, 92, 104482. [Google Scholar] [CrossRef]
- Sonta, A.; Jiang, X. Rethinking walkability: Exploring the relationship between urban form and neighborhood social cohesion. Sustain. Cities Soc. 2023, 99, 104903. [Google Scholar] [CrossRef]
- Jiuwen, S.; Xiaoxu, X.; Qiangmin, X.; Weihao, S. Impact of urban form on housing affordability stress in Chinese cities: Does public service efficiency matter? Cities 2024, 145, 104682. [Google Scholar] [CrossRef]
- Sun, C.; Lian, W.; Liu, L.; Dong, Q.; Han, Y. The impact of street geometry on outdoor thermal comfort within three different urban forms in severe cold region of China. Build. Environ. 2022, 222, 109342. [Google Scholar] [CrossRef]
- Li, J.; Liu, N. The perception, optimization strategies and prospects of outdoor thermal comfort in China: A review. Build. Environ. 2020, 170, 106614. [Google Scholar] [CrossRef]
- Potchter, O.; Cohen, P.; Lin, T.-P.; Matzarakis, A. Outdoor human thermal perception in various climates: A comprehensive review of approaches, methods and quantification. Sci. Total Environ. 2018, 631–632, 390–406. [Google Scholar] [CrossRef] [PubMed]
- Rodríguez-Algeciras, J.; Tablada, A.; Nouri, A.S.; Matzarakis, A. Assessing the influence of street configurations on human thermal conditions in open balconies in the Mediterranean climate. Urban Clim. 2021, 40, 100975. [Google Scholar] [CrossRef]
- Conzález Couret, D.; Collado Baldoquin, N.; de La Paz Pérez, G.A.; Rueda Guzmán, L.A. Urban variables for adaptation to global warming in a hot-humid climate. Cuban cities as a case study. Urban Clim. 2023, 51, 101633. [Google Scholar] [CrossRef]
- Paramita, B.; Kusuma, H.E.; Matzarakis, A. Urban performance based on biometeorology index in high-density, hot, and humid cities. Sustain. Cities Soc. 2022, 80, 103767. [Google Scholar] [CrossRef]
- Xu, Y.; Yang, J.; Zheng, Y.; Li, W. Impacts of two-dimensional and three-dimensional urban morphology on urban thermal environments in high-density cities: A case study of Hong Kong. Build. Environ. 2024, 252, 111249. [Google Scholar] [CrossRef]
- Yin, S.; Hua, J.; Ren, C.; Liu, S.; Lin, H.; Huang, S.; Wang, K.; Ma, J.; Xiao, Y. Impact of synoptic condition on urban microclimate variation: A measurement study in a humid subtropical city during summer season. Urban Clim. 2023, 47, 101350. [Google Scholar] [CrossRef]
- Ahmadian, E.; Sodagar, B.; Bingham, C.; Elnokaly, A.; Mills, G. Effect of urban built form and density on building energy performance in temperate climates. Energy Build. 2021, 236, 110762. [Google Scholar] [CrossRef]
- Rostami, E.; Nasrollahi, N.; Khodakarami, J. A comprehensive study of how urban morphological parameters impact the solar potential, energy consumption and daylight autonomy in canyons and buildings. Energy Build. 2024, 305, 113904. [Google Scholar] [CrossRef]
- Oh, M.; Jang, K.M.; Kim, Y. Empirical analysis of building energy consumption and urban form in a large city: A case of Seoul, South Korea. Energy Build. 2021, 245, 111046. [Google Scholar] [CrossRef]
- Gu, X.; Wu, Z.; Liu, X.; Qiao, R.; Jiang, Q. Exploring the Nonlinear Interplay between Urban Morphology and Nighttime Thermal Environment. Sustain. Cities Soc. 2024, 101, 105176. [Google Scholar] [CrossRef]
- Wu, Z.; Qiao, R.; Zhao, S.; Liu, X.; Gao, S.; Liu, Z.; Ao, X.; Zhou, S.; Wang, Z.; Jiang, Q. Nonlinear forces in urban thermal environment using Bayesian optimization-based ensemble learning. Sci. Total Environ. 2022, 838, 156348. [Google Scholar] [CrossRef]
- Chen, Y.; Yang, J.; Yang, R.; Xiao, X.; Xia, J. Contribution of urban functional zones to the spatial distribution of urban thermal environment. Build. Environ. 2022, 216, 109000. [Google Scholar] [CrossRef]
- Kamal, A.; Kadam, S.T.; Hou, D.; Hassan, I.G.; Wang, L.; Sezer, N.; Rahman, M.A. Detailed profiling of high-rise building energy consumption in extremely hot and humid climate. Clean. Energy Syst. 2023, 4, 100060. [Google Scholar] [CrossRef]
- Zhang, M.; Gao, Z. Effect of urban form on microclimate and energy loads: Case study of generic residential district prototypes in Nanjing, China. Sustain. Cities Soc. 2021, 70, 102930. [Google Scholar] [CrossRef]
- Zhang, J.; Le, X.; Shabunko, V.; Tay, S.E.R.; Sun, H.; Lau, S.S.Y.; Reindl, T. Impact of urban block typology on building solar potential and energy use efficiency in tropical high-density city. Appl. Energy 2019, 240, 513–533. [Google Scholar] [CrossRef]
- Natanian, J.; Aleksandrowicz, O.; Auer, T. A parametric approach to optimizing urban form, energy balance and environmental quality: The case of Mediterranean districts. Appl. Energy 2019, 254, 113637. [Google Scholar] [CrossRef]
- Natanian, J.; Wortmann, T. Simplified evaluation metrics for generative energy-driven urban design: A morphological study of residential blocks in Tel Aviv. Energy Build. 2021, 240, 110916. [Google Scholar] [CrossRef]
- Acero, J.A.; Koh, E.J.Y.; Ruefenacht, L.A.; Norford, L.K. Modelling the influence of high-rise urban geometry on outdoor thermal comfort in Singapore. Urban Clim. 2021, 36, 100775. [Google Scholar] [CrossRef]
- Deevi, B.; Chundeli, F.A. Quantitative outdoor thermal comfort assessment of street: A case in a warm and humid climate of India. Urban Clim. 2020, 34, 100718. [Google Scholar] [CrossRef]
- Yang, J.; Shi, Q.; Menenti, M.; Wong, M.S.; Wu, Z.; Zhao, Q.; Abbas, S.; Xu, Y. Observing the impact of urban morphology and building geometry on thermal environment by high spatial resolution thermal images. Urban Clim. 2021, 39, 100937. [Google Scholar] [CrossRef]
- Mirzabeigi, S.; Razkenari, M. Design optimization of urban typologies: A framework for evaluating building energy performance and outdoor thermal comfort. Sustain. Cities Soc. 2022, 76, 103515. [Google Scholar] [CrossRef]
- Mangan, S.D.; Koclar Oral, G.; Sozen, I.; Erdemir Kocagil, I. Evaluation of settlement textures in terms of building energy, economic performance, and outdoor thermal comfort. Sustain. Cities Soc. 2020, 56, 102110. [Google Scholar] [CrossRef]
- Su, Y.; Li, Z.; Meng, Q.; Zhao, Q.; Wu, X.; Liu, Q.; Wu, Z.; Wang, C. Simulation and optimization of thermal comfort in residential areas based on outdoor morphological parameters. Build. Environ. 2023, 245, 110837. [Google Scholar] [CrossRef]
- Ferreira, L.S.; Duarte, D.H.S. Exploring the relationship between urban form, land surface temperature and vegetation indices in a subtropical megacity. Urban Clim. 2019, 27, 105–123. [Google Scholar] [CrossRef]
- Yang, J.; Yang, Y.; Sun, D.; Jin, C.; Xiao, X. Influence of urban morphological characteristics on thermal environment. Sustain. Cities Soc. 2021, 72, 103045. [Google Scholar] [CrossRef]
- Maharoof, N.; Emmanuel, R.; Thomson, C. Compatibility of local climate zone parameters for climate sensitive street design: Influence of openness and surface properties on local climate. Urban Clim. 2020, 33, 100642. [Google Scholar] [CrossRef]
- Banerjee, S.; Pek, R.X.Y.; Yik, S.K.; Ching, G.N.; Ho, X.T.; Dzyuban, Y.; Crank, P.J.; Acero, J.A.; Chow, W.T.L. Assessing impact of urban densification on outdoor microclimate and thermal comfort using ENVI-met simulations for Combined Spatial-Climatic Design (CSCD) approach. Sustain. Cities Soc. 2024, 105, 105302. [Google Scholar] [CrossRef]
- Li, K.; Liu, X.; Zhang, H.; Ma, J.; He, B.-J. Evaluating and improving the adaptability of commonly used indices for predicting outdoor thermal sensation in hot and humid residential areas of China. Dev. Built Environ. 2023, 16, 100278. [Google Scholar] [CrossRef]
- Zheng, X.; Chen, L.; Yang, J. Simulation framework for early design guidance of urban streets to improve outdoor thermal comfort and building energy efficiency in summer. Build. Environ. 2023, 228, 109815. [Google Scholar] [CrossRef]
- He, P.; Xue, J.; Shen, G.Q.; Ni, M.; Wang, S.; Wang, H.; Huang, L. The impact of neighborhood layout heterogeneity on carbon emissions in high-density urban areas: A case study of new development areas in Hong Kong. Energy 2023, 287, 113002. [Google Scholar] [CrossRef]
- Chatzidimitriou, A.; Yannas, S. Street canyon design and improvement potential for urban open spaces; the influence of canyon aspect ratio and orientation on microclimate and outdoor comfort. Sustain. Cities Soc. 2017, 33, 85–101. [Google Scholar] [CrossRef]
- Banihashemi, F.; Weber, M.; Lang, W. Model order reduction of building energy simulation models using a convolutional neural network autoencoder. Build. Environ. 2022, 207, 108498. [Google Scholar] [CrossRef]
- Ge, J.; Wang, Y.; Zhou, D.; Gu, Z.; Meng, X. Building energy demand of urban blocks in Xi’an, China: Impacts of high-rises and vertical meteorological pattern. Build. Environ. 2023, 244, 110749. [Google Scholar] [CrossRef]
- Huang, K.-T.; Li, Y.-J. Impact of street canyon typology on building‘s peak cooling energy demand: A parametric analysis using orthogonal experiment. Build. Environ. 2017, 154, 448–464. [Google Scholar] [CrossRef]
- Rhinoceros3D. Available online: https://www.rhino3d.com/en/ (accessed on 26 March 2024).
- Design Space Exploration. Available online: https://www.food4rhino.com/en/app/design-space-exploration (accessed on 26 March 2024).
- Zhu, S.; Ma, C.; Zhang, Y.; Xiang, K. A hybrid metamodel-based method for quick energy prediction in the early design stage. J. Clean. Prod. 2021, 320, 128825. [Google Scholar] [CrossRef]
- EnergyPlus. Available online: https://energyplus.net/ (accessed on 26 March 2024).
- Ladybug Tools. Available online: https://www.food4rhino.com/en/app/ladybug-tools (accessed on 26 March 2024).
- Matlab. Available online: https://www.mathworks.com/products/matlab.html (accessed on 26 March 2024).
- SALib. Available online: https://github.com/SALib/SALib (accessed on 26 March 2024).
- GH_CPYTHON. Available online: https://www.food4rhino.com/en/app/ghcpython (accessed on 26 March 2024).
- GB55015-2021; General Code for Energy Efficiency and Renewable Energy Application in Buildings. Standardization Administration of China: Beijing, China, 2021.
- Hopfe, C.J.; Hensen, J.L.M. Uncertainty analysis in building performance simulation for design support. Energy Build. 2011, 43, 2798–2805. [Google Scholar] [CrossRef]
- Ouanes, S.; Sriti, L. Regression-based sensitivity analysis and multi-objective optimisation of energy performance and thermal comfort: Building envelope design in hot arid urban context. Build. Environ. 2024, 248, 111099. [Google Scholar] [CrossRef]
- Mottahedi, M.; Mohammadpour, A.; Amiri, S.S.; Riley, D.; Asadi, S. Multi-linear Regression Models to Predict the Annual Energy Consumption of an Office Building with Different Shapes. Procedia Eng. 2015, 118, 622–629. [Google Scholar] [CrossRef]
- Manache, G., Melching, C.S., Eds.; Sensitivity of Latin hypercube sampling to sample size and distributional assumptions. In Proceedings of the 32nd Congress of the International Association of Hydraulic Engineering and Research, Venice, Italy, 1–6 July 2007. [Google Scholar]
- Gagnon, R.; Gosselin, L.; Decker, S. Sensitivity analysis of energy performance and thermal comfort throughout building design process. Energy Build. 2018, 164, 278–294. [Google Scholar] [CrossRef]
- Bernardino D’Amico, F.P. A compactness measure of sustainable building forms. R. Soc. Open Sci. 2019, 6, 181265. [Google Scholar] [CrossRef]

















| Satellite Map Extraction | Model Diagram | |
|---|---|---|
| Single Point Style: A single square-shaped building volume is arranged centrally. | ![]() | ![]() |
| Enclosed Style: Buildings are arranged along the perimeter of the street, forming an enclosed layout. | ![]() | ![]() |
| Semi-Enclosed Style: In a U-shape, buildings are primarily arranged along the north, east, and west sides of the site, while the south side remains open. | ![]() | ![]() |
| Row Style: Buildings are arranged in a long, rectangular shape, with their long edges parallel to each other. | ![]() | ![]() |
| Four-Point Style: Four square-shaped building volumes are arranged along the four corners of the site. | ![]() | ![]() |
| Nine-Point Style: Nine building volumes are arranged in a grid pattern. | ![]() | ![]() |
Disclaimer/Publisher’s Note: The statements, opinions and data contained in all publications are solely those of the individual author(s) and contributor(s) and not of MDPI and/or the editor(s). MDPI and/or the editor(s) disclaim responsibility for any injury to people or property resulting from any ideas, methods, instructions or products referred to in the content. |
© 2024 by the authors. Licensee MDPI, Basel, Switzerland. This article is an open access article distributed under the terms and conditions of the Creative Commons Attribution (CC BY) license (https://creativecommons.org/licenses/by/4.0/).
Share and Cite
Zhu, S.; Ma, C.; Wu, Z.; Huang, Y.; Liu, X. Exploring the Impact of Urban Morphology on Building Energy Consumption and Outdoor Comfort: A Comparative Study in Hot-Humid Climates. Buildings 2024, 14, 1381. https://doi.org/10.3390/buildings14051381
Zhu S, Ma C, Wu Z, Huang Y, Liu X. Exploring the Impact of Urban Morphology on Building Energy Consumption and Outdoor Comfort: A Comparative Study in Hot-Humid Climates. Buildings. 2024; 14(5):1381. https://doi.org/10.3390/buildings14051381
Chicago/Turabian StyleZhu, Shuyan, Chenlong Ma, Zhongping Wu, Yuqing Huang, and Xiao Liu. 2024. "Exploring the Impact of Urban Morphology on Building Energy Consumption and Outdoor Comfort: A Comparative Study in Hot-Humid Climates" Buildings 14, no. 5: 1381. https://doi.org/10.3390/buildings14051381
APA StyleZhu, S., Ma, C., Wu, Z., Huang, Y., & Liu, X. (2024). Exploring the Impact of Urban Morphology on Building Energy Consumption and Outdoor Comfort: A Comparative Study in Hot-Humid Climates. Buildings, 14(5), 1381. https://doi.org/10.3390/buildings14051381













