Abstract
The dynamic behavior of a pile-supported structure with a base isolator was investigated by using 1 g shaking table model tests considering soil–structure interaction (SSI). The emphasis was placed on evaluating the effect of the with/without developed base isolator on the dynamic behavior of end-bearing piles and structures. The experiment was performed through sweep tests and sinusoidal wave tests. As a result of the tests, the developed base isolator was found to effectively reduce the structure’s resonant frequencies and damped the response acceleration under resonance frequencies. According to sweep tests, the base shear force of the pile-supported structure system tends to decrease as the relative density of the soil increases during resonance. It showed that the base isolator tends to reduce significantly the response acceleration of not only the rigid-based structure but also the pile-supported structure. It was shown that although the isolated superstructure recorded large horizontal displacements, piles experienced reduced horizontal displacement and bending moments, regardless of soil conditions.
1. Introduction
Pile foundations are widely used in large-scale construction projects to support the massive weight of superstructures in soft soil layers. They have unique structural interactions between soil, piles, and structure systems, and their behaviors can be changed under dynamic loads such as earthquakes. Conventional structural design processes typically consider only the behavior of the superstructure without accounting for soil–foundation interaction, highlighting the need for further study on soil–pile–structure interaction. Additionally, the base isolation system is widely used to reduce the vibration of structures, mainly to minimize damage from earthquakes affecting large structures such as buildings, bridges, and nuclear power plants [1]. The principle base isolation is to modify the resonant period of the superstructure so that the soil moves without transmitting these motions to the building when the earthquake occurs. However, there is a necessity for research on their impact on soil–structure interaction (SSI) since base isolators have mainly been studied in the context of rigid-base-supported superstructures. It has been known that SSI effects can prolong the natural period of structures compared to rigid-based cases. Still, additional research is required to understand the impact of base isolators on rigid-base-supported and pile-supported structures [2,3,4,5,6,7,8,9,10].
Previous studies analyzed the behavior of base-isolated SSI systems. Novak and Henderson [11] investigated the rotational effect of isolation systems through modal behavior analysis. Pender [12] modeled nonlinear soil layers to analyze the behavior of non-isolated structures considering SSI and found that soil foundations can behave similarly to natural base-isolation systems. Zhuang et al. [13] estimated that the damping ratios of the interaction systems with the SSI effects are larger than those of isolated structures on rigid foundations. They also found that the rotation response of foundations can be amplified by isolators, which may reduce the effectiveness of isolation. Zhuang et al. [14] also observed that the response behavior of pile rafts is significantly reduced in dense soil conditions compared to loose soil.
However, existing studies [13,14] studied the dynamic behavior of base-isolated structure systems by analyzing the amplification factor (AMF) of the superstructure of structures with base isolators, but there are limitations in studying pile behavior. In general, pile foundations have characteristics in which their behavior depends on the superstructure due to superstructure–pile foundation interaction. Therefore, interaction studies on the behavior of structures with base isolators considering SSI are necessary. Also, these studies primarily focused on floating pile conditions, making it difficult to apply their findings to widely used end-bearing pile foundations. In the case of floating pile conditions, horizontal movements are generated at the pile tips, resulting in different behavior compared to end-bearing conditions. Therefore, analyzing the behavior of base-isolated soil–pile–structure systems under end-bearing conditions is essential. In other words, pile structures are influenced by the base isolators installed in the superstructure due to their interaction with the superstructure, so research on pile foundations in these conditions is important. Therefore, this study analyzed the member forces of pile foundations caused by the behavior of the superstructure during earthquakes. The response accelerations and base shear forces in the superstructure and the member forces in the pile were analyzed by 1 g shaking table model tests.
2. Experimental Approaches
2.1. Shaking Table Model Tests
In this study, a series of 1 g shaking table model tests were performed to investigate the dynamic behavior of the base-isolated structure systems under different foundations. The 1-degree-of-freedom horizontal shaking table used in the experiment has dimensions of 1.5 m width and 1.5 m height, and it resists weights up to a maximum of 2 tons of test samples. The maximum input acceleration and frequency are 1.1 g and 30 Hz, respectively (Figure 1a).
Figure 1.
Test apparatus: (a) shaking table devices; (b) soil box and absorbing sponges.
The soil box used in this test has 1.2 m width, 0.6 m height, and 0.8 m depth (Figure 1b). The lateral sides and the bottom of the model container are constructed with steel plates, while the front and rear sides of the model container are made of transparent polycarbonate (PC) with a thickness of 2 cm for observation during the tests. In addition, 10 cm thick sponges were attached on both sides of the container wall to minimize the re-flection wave effect caused by soil container walls during shaking tests. The effects on attached sponges were studied by Kim et al. [15]; they found that there are almost similar results in input seismic waves between a sponge installed in a rigid soil tank and a laminar soil box.
2.2. Test Models and Measurements
The test soil used in this study was Jumunjin sand. A unit weight of Jumunjin sand with relative densities of 40 and 80% was used as 14.5 and 15.82 kN/m3, respectively. Figure 2 and Table 1 show the particle size distribution curve and basic physical properties of the test soils.
Figure 2.
Particle size distribution and liquefaction potential curve.
Table 1.
Properties of test soil (Jumunjin sand).
Figure 3 shows the sectional view of model tests with base isolation. Piles and buildings used in the base isolation model are identical to the non-base-isolation model in this test.. The total height of the base plate, base isolation, and first floor is 4 cm, which is 1 cm smaller than the 5 cm raft of a non-base-isolated structure. The testing model piles and structures were uniformly modeled with a scale factor of 25 according to Iai [16]. The prototype pile is a PHC pile with a diameter of 0.5 m, thickness of 0.08 m, and length of 0.5 m. Table 2 presents the specifications of the model piles used in this experiment. The model piles were made of aluminum (6061-T6). The pile length was selected as 0.5 m to satisfy the long pile condition based on Broms [17]. The model group piles consisted of four piles placed in a 2 × 2 configuration with spacing as 5 times the pile diameter (D). In addition, piles were inserted into the bottom plate of the soil box at a depth of around 1 D to simulate end-bearing pile conditions. To measure the strain of the pile along the depths, strain gauges were attached to the surface along the pile lengths.

Figure 3.
Schematic views of test models: (a) without base isolator in SSI; (b) with base isolator in SSI; (c) with base isolator in rigid base; (d) fixed base in rigid base.
Table 2.
Properties of base isolation model (Hanenite, GP 35LE).
A raft, pillars, and slabs in the building structures were made of aluminum. It was designed for the case of group piles not directly attached to the ground surface. The superstructure was designed as a six-story building model, consisting of column structures with the same dimensions as the raft (0.16 m × 0.16 m). The height of each column was 0.11 m for the first floor and 0.10 m for the remaining floors, with a slab height of 0.02 m for each floor. Then, 1.9 kg of mass plates were attached to all floors except the roof to simulate dead loads. The raft under the buildings was determined to have dimensions of 0.16 m in width, 0.16 m in length, and 0.05 m in height.
The building with a rigid base was modeled in this study to simulate the superstructure design. The superstructure, the building, was identical to pile-supported systems, but the bottom of the building was perfectly held at the bottom plate of the soil box.
Horizontal accelerometers were installed to measure the acceleration response of the superstructure, and LVDTs were installed to measure the horizontal displacement of the superstructure (Figure 3).
The measurement devices used in this experiment were LVDTs, accelerometers, and strain gauges, each with the following errors. At the operating temperature, LVDTs and accelerometers were confirmed to have error rates of 0.01% and 1%, respectively.
2.3. Base Isolator Model
Figure 4 shows the base isolator model used in this test. This test had limitations in that the weight of the superstructure was too light to use the commercial base isolator due to using a scale factor of 25. Therefore, this study made a base isolator with high-damping rubber (Hanenite(Naigai Gomu Corporation, Akashi-shi, Japan), GP35LE) which has excellent performance in absorbing shocks and vibrations. In addition, the base isolators used in this study did not have reinforcements i.e., steel sheets or fibers. This is because the model testing scale in this study is 25, so small scaled structures are too light to consider reinforcements.
Figure 4.
Detail of base isolator model: (a) tailored base isolator model; (b) installed on the structure.
The high-damped rubber used in the tests has a different behavior depending on the temperature. It was confirmed that the strength of the rubber changes by about −0.0018 MPa/°C, so the average temperature in the laboratory was maintained at around 22.0 °C during the experiments.
2.4. Test Soils
The soil condition used in this study was uniform loose and dense sand with relative densities (Dr) of 40 and 80%, respectively. The procedure for producing tested soil layers is as follows. Initially, the piles were socketed into the bottom plate while maintaining their vertical alignment. Subsequently, the soil was prepared with loose and dense soil corresponding to relative densities of 40 and 80%, respectively, taking into consideration the dimensions of the soil box. The soil was layered according to the total height of the soil divided into four layers, and each layer’s weight was poured into the test box. In the 80% condition, additional shaking compactions were used to make the target unit-weight density of the soil 15.8 kN/m3. Accelerometers were then installed at targeted depths within each layer. After the soil and piles were installed, the superstructure was connected to the piles, and various sensors were positioned accordingly.
2.5. Testing Programs
The experiments were performed by two tests: one was a sweep test, and the other was a sinusoidal wave test (Figure 5). The sweep tests were conducted to analyze the natural frequency and the dynamic behavior of the rigid-base and SPS systems. The input acceleration for the sweep test had an amplitude of 0.05–0.3 g, and the frequency ranged from 1 Hz to 30 Hz during 60 s. Also, sinusoidal wave tests were performed under the typical input frequencies and large amplitudes to investigate the dynamic behavior of the superstructure and pile foundations by considering the base-isolation systems. The test cases are summarized in Table 3 and Table 4.
Figure 5.
Typical input accelerations: (a) sweep tests (0.05 g); (b) sinusoidal wave (0.2 g).
Table 3.
Test programs—sweep tests (1–25 Hz).
Table 4.
Test programs—sinusoidal wave tests.
3. Test Results and Discussions
3.1. Resonant Frequencies of Buildings with Base Isolation
The effect of the performance of base isolation (B.I.) on resonant frequency was analyzed through sweep test results (Figure 6). Figure 6a shows the response acceleration of the rigid-based structure with and without base isolation. Figure 6b,d show the Fourier fast transform (FFT) results based on Figure 6a,c, respectively. The base isolation effectively changed the peak points of accelerations to low frequency compared to without the base-isolator structure. FFT results showed that the case with base isolation recorded the most constant Fourier amplitude in all frequency ranges, and the case with base isolation recorded quite a lower resonant frequency than the case without base isolation. These results mean that the base-isolation system shows fit for the purpose, as expected, of changing the resonant frequency of a pile-supported structure.

Figure 6.
Typical results of sweep tests: (a) time-history acceleration (rigid base); (b) FFT results (rigid-base); (c) time-history acceleration (Dr = 80%); (d) FFT results (Dr = 80%).
Figure 7 shows the variation of the resonant frequencies of structures with varying input accelerations. The base isolator effectively reduced the resonant frequency of the structures regardless of foundation conditions. The case without base isolation showed a clear difference in resonant frequency depending on the relative density of the soil, but the case with base isolation showed it rarely. It was shown that the reduced resonant frequencies of pile-supported buildings with base isolation were closer to the input frequency of 4.09 Hz than cases without base isolation.
Figure 7.
The resonant frequencies with varying input accelerations.
Comparing rigid-base and pile-supported conditions, non-isolated structures had different resonant frequencies under an input acceleration of 0.05 g, but isolated structures had almost identical resonant frequencies. In the non-base-isolated structure conditions, the resonant frequencies of the structures were reduced due to the SSI effect compared to rigid-based structures. However, when both SSI and base isolator were applied simultaneously, it appeared that SSI had a more significant impact than the isolator.
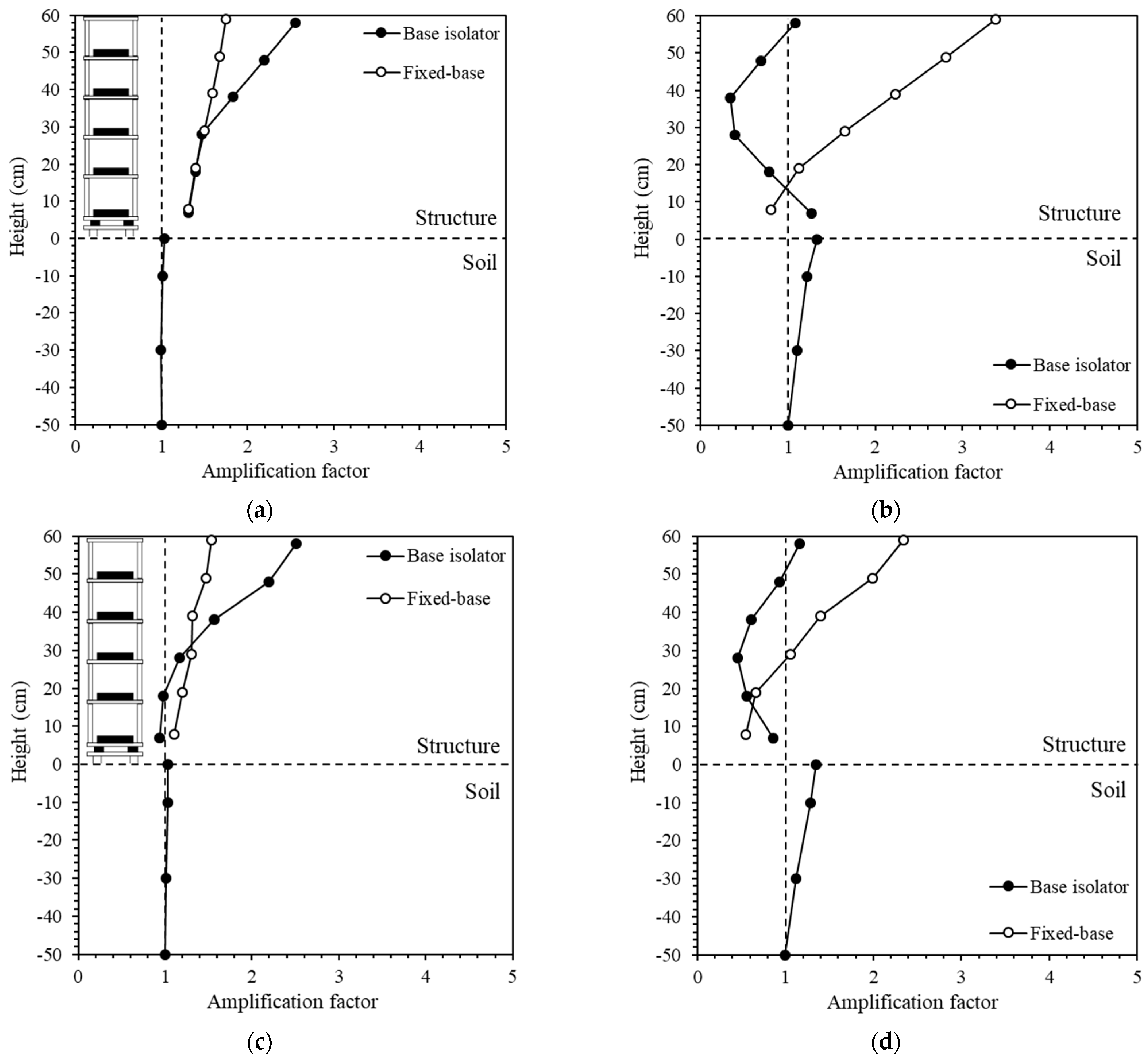
3.2. Amplification Factor of Building with Base Isolation
To analyze the response acceleration at the superstructures and soil layers, the maximum response acceleration along the height was normalized to the input acceleration (Figure 8 and Figure 9). According to the following equation, the amplification factor (AMF) can be calculated in Equation (1):
where is the input acceleration of each test condition and is the response acceleration of superstructures [18,19].
Figure 8.
Amplification factor of the rigid-based structures (0.3 g): (a) 4.09 Hz; (b) 18.45 Hz.
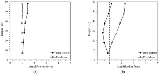
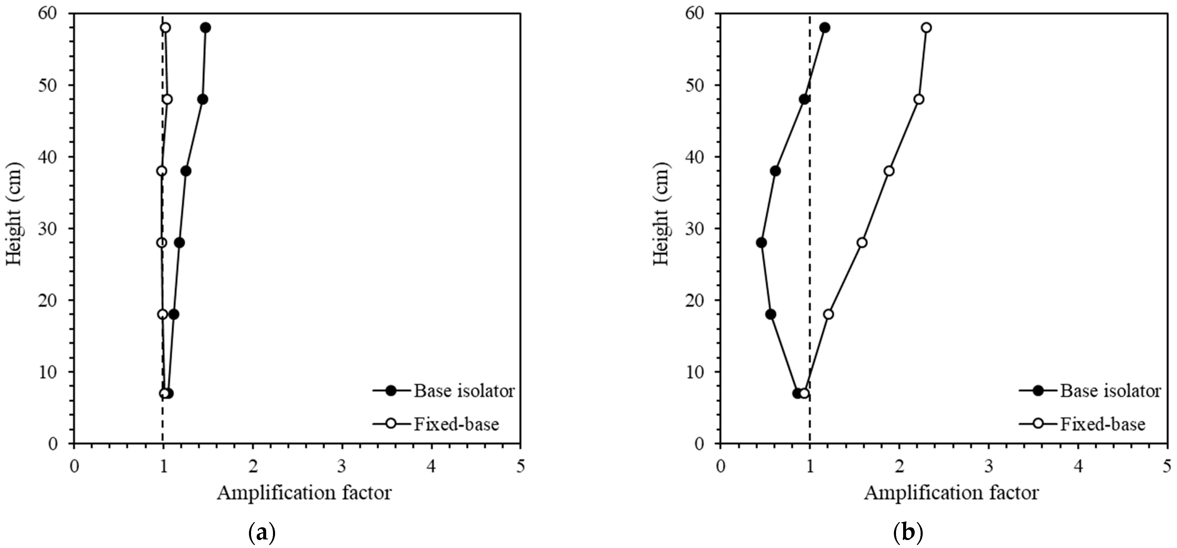
Figure 9.
Amplification factor of sweep test results (0.05 g): (a) fixed base; (b) base isolator.
Figure 8 shows the comparison results of the amplification factor of rigid-based structures with and without base isolators under sinusoidal wave tests. In the lower input frequency range, the base-isolated structure recorded a higher amplification factor than without the base-isolated one. This is because the resonant frequencies of the base-isolated structure were close to the input frequency of 4.09 Hz in Figure 7. However, the base-isolated structure had dramatic changes in amplification factor under higher input frequencies, 18.45 Hz, than the non-isolated structure. This result was caused by the characteristics of the base isolator’s materials, which are special damping in high-frequency ranges. The structure had the lowest amplification factor at the middle height but the highest value at the top and bottom ends. This trend was found in Zhuang et al. [13,14], which showed similar trends of acceleration amplification of structures with base isolators.
Regardless of soil conditions, the amplification factor was found to follow the same trend as the rigid base at the low-frequency range (Figure 8).
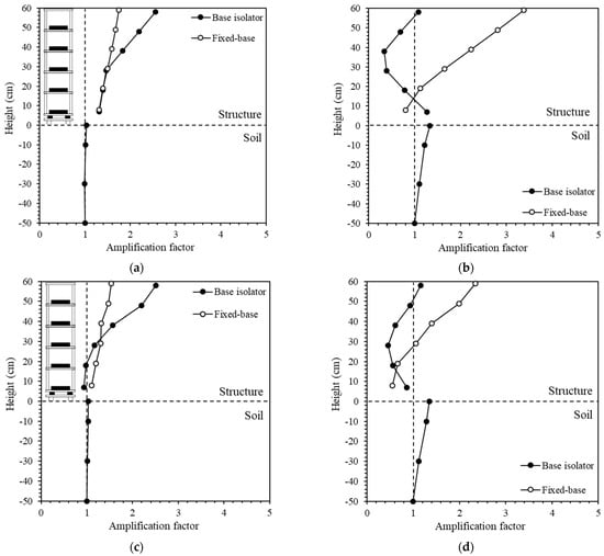
Figure 9 presents the analysis of AMF in the sweep tests. Since the sweep test generates a sine wave with frequencies ranging from 1 to 30 Hz, the AMF is a result of the resonance phenomenon in the soil–structure system (Figure 9). In both test results, (a) and (b), it was confirmed that lower AMFs were observed under pile foundation conditions. The pile-supported structure system exhibited lower response accelerations compared to the rigid-base condition when resonance occurred. Generally, the damping ratio of soil is higher than that of the structure. The experimental results suggest that the lower response acceleration during resonance was influenced by the damping ratio of the soil, since the pile foundations are surrounded by soil.
In Figure 10, it was shown that the amplification factor occurring on the first floor of the structure without a base isolator was greatly reduced compared to the rigid-base condition, thanks to the SSI effects. Generally, the first floor of a structure is called a ‘raft’, which has a higher thickness and higher mass than the slabs of other floors. So, the decrease in response acceleration of the first floor by SSI effects means a decreased base shear force, the inertial force of the structure, and eventually, the decrease in the horizontal load of the structure is caused during an earthquake. In addition, the amplification factor of the soil layers had a similar trend regardless of the effect on base isolations under high frequency. It seems that the amplification factor of the soil layer was not amplified in low-frequency accelerations because it was an out-range of the resonant frequency of the soil layer.
Figure 10.
Amplification factors of pile-supported structures: (a) Dr = 40%, 4.09 Hz; (b) Dr = 40%, 18.45 Hz; (c) Dr = 80%, 4.09 Hz; (d) Dr = 80%, 18.45 Hz.
3.3. Base Shear Forces of Building
In Section 3.2., the calculated response accelerations were analyzed to compute the base shear force of the superstructure during earthquakes. The base shear force () can be calculated as shown in Equation (2).
where n is the total number of stories in the building, F is the shear force generated at each story, m is the mass of each story, and a is the response acceleration at each story.
Figure 11 illustrates the time history of the base shear force in typical test conditions calculated using Equation (2). It was observed that the base-isolated structure exhibited a lower base shear force compared to the fixed-base structure. During the earthquake, the base shear forces were continuously shaken without differences.
Figure 11.
Typical results of base shear force (Dr = 80%, 4.09 Hz): (a) fixed-base structure; (b) base-isolated structure.
Figure 12 shows the base shear forces under different input frequencies. It was shown that when high-frequency earthquakes occur in the base-isolated structure, the phase of the response acceleration at each story is different, resulting in opposite signs of the inertial forces generated at each story. Consequently, the base shear force of the structure effectively decreased compared to that of the fixed-base structure (Figure 12). Moreover, it is noteworthy to observe the variation in the trend of shear forces at each story due to the presence of the base isolator, as depicted in Figure 12. In Figure 12a, the largest difference in shear forces between stories is observed on floors 5 and 6, while in Figure 12b, the greatest difference occurs between floors 3 and 4. Since the shear forces generated at each story must be borne by the columns of the superstructure, careful attention is accordingly required in the design. This is estimated to be due to the influence of the base isolator increasing the natural frequencies of the structures. Additionally, to compare the reduction rate of the bottom shear force, the ratio of the bottom shear force (Vratio) for each support condition was analyzed using Equation (3).
where is the base shear force of a base-isolated structure, and is the base shear force of a fixed-base structure. For relatively low-frequency earthquakes at 4.09 Hz, the base shear force decreased; however, it was less effective compared to earthquakes at 18.45 Hz (Figure 13).
Figure 12.
Base shear forces of base-isolated structures under typical time (Dr = 80%): (a) 4.09 Hz; (b) 18.45 Hz.
Figure 13.
Comparison of base shear force ratio (Vratio) in sinusoidal wave tests.
Figure 14 presents graphs analyzing the base shear forces of pile-supported structures obtained through sweep tests with various input accelerations. Across all input acceleration cases, the fixed base exhibited higher base shear forces compared to the base isolator. Additionally, at the same input acceleration level, the base shear force was higher at a relative density of 40% compared to 80% (Figure 14a). These differences between the results in Figure 14 and those in Figure 13 can be attributed to the effects of resonance behavior. It was shown that the base shear force of the pile-supported structure system tends to decrease as the relative density of the soil increases under resonance. In the case of a sinusoidal wave test with a specific frequency, if resonance does not occur with the resonant frequency of the soil–structure system, it denotes that the behavior of the soil–structure system may appear differently depending on the ground conditions. Figure 14b presents the base shear force ratio of sweep tests with varying input accelerations. The base shear force ratio (Vratio) showed a trend independent of the relative density of soil. Except for the case of an input acceleration of 0.05 g, a reduction in base shear force was recorded between 0.54 and 0.65 during resonance. For the input acceleration of 0.05 g, the base isolator exhibited significantly smaller response amplification contrasted to the fixed-base condition for most response accelerations.
Figure 14.
Analysis on base shear forces of sweep test with varying input accelerations: (a) maximum base shear forces; (b) base shear force ratio (Vratio).
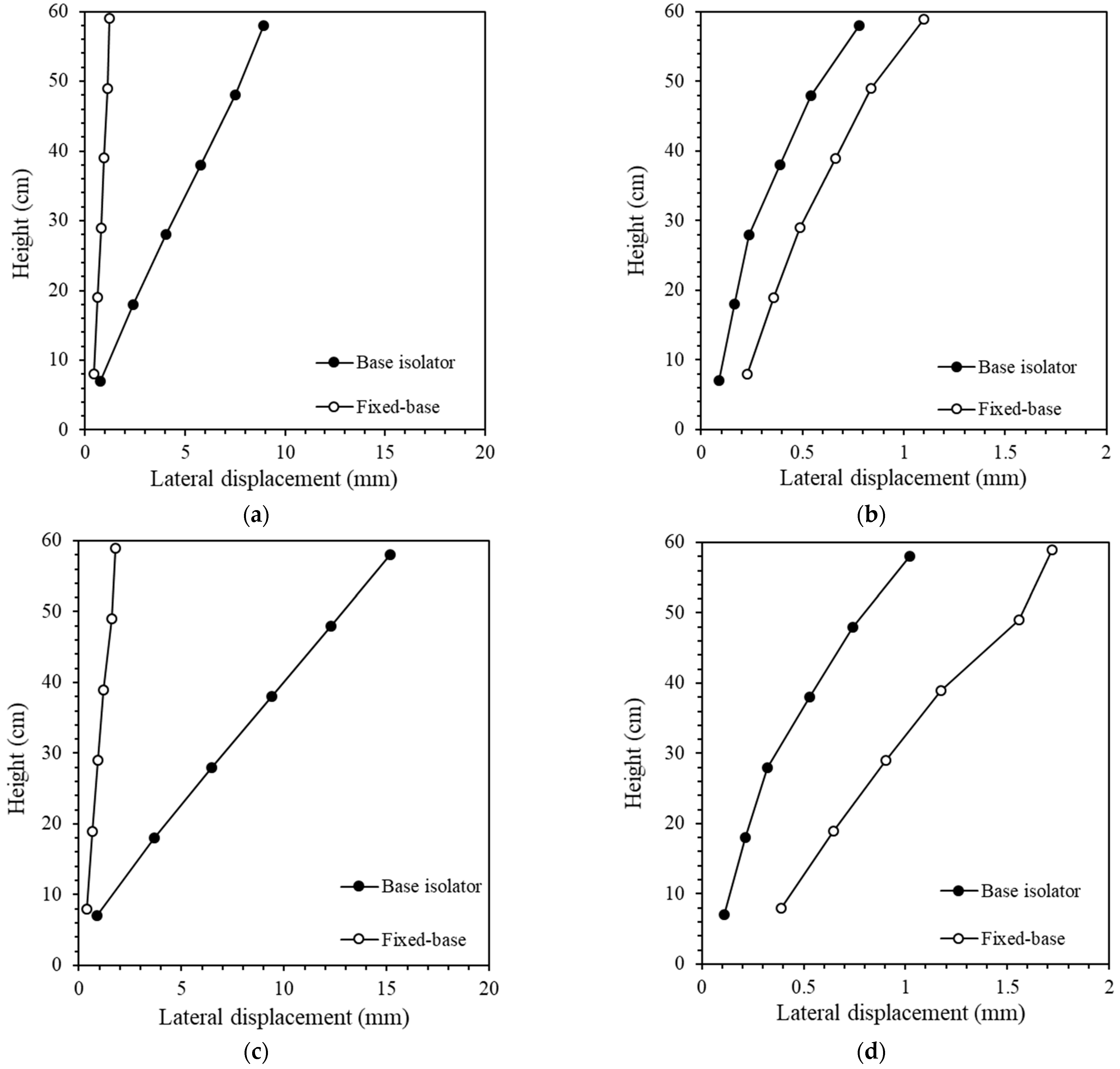
3.4. Lateral Displacements
Figure 15 shows the maximum horizontal displacement of the structure according to height. Regardless of the input acceleration and ground relative density, it was confirmed that the horizontal displacement of the structure with a base isolator was larger at low frequencies, 4.09 Hz, while smaller horizontal displacements were recorded at high frequencies, 18.45 Hz. These trends were caused by the difference in resonance frequency summarized in Figure 7.
Figure 15.
Lateral displacement of the pile-supported structures: (a) Dr = 40%, 4.09 Hz; (b) Dr = 40%, 18.45 Hz; (c) Dr = 80%, 4.09 Hz; (d) Dr = 80%, 18.45 Hz.
It was confirmed that the system with the base isolator had a resonant frequency equal to the input frequency of 4.09 Hz regardless of the relative density of the soil, so a resonance occurred during the dynamic loadings and a larger horizontal displacement occurred. On the other hand, in the case of high frequencies, it was confirmed that the system without the base isolator showed a larger horizontal displacement as it was close to the input frequency of 18.45 Hz.
3.5. Pile Behaviors under Base Isolations
In this study, the bending moments of the pile were analyzed to examine the member force of the pile during input accelerations. The pile bending moments (M(z)) of typical pile depths were calculated as follows in Equation (4):
where σ is the stress of the pile at each depth, I is the inertial moment of the pile section, r is the centroid of the pile section, and ε is the strain measured by the strain gauge attached to the pile. The measured strain (ε) was measured from the tests including the p-delta effect.
Lateral displacements of pile (y) can be calculated as follows in Equation (5):
where M(z) is the bending moment at depth, EI is the flexural rigidity of the pile, and z is the distance along the depth. This study used the Euler–Bernoulli beam theory in Equation (5). This equation ignores the shear deformations and rotational inertia. According to Gupta and Basu [20], the Euler–Bernoulli beam theory can show similar results in the long pile condition [8] under a homogeneous soil layer, so this study calculated them by using the Euler–Bernoulli beam theory. Note that the piles used in this experiment are set in the soil layer; there are limitations in measuring the lateral displacements (y) at different pile depths by the measurement devices. Therefore, this study used the strain gauges attached along the pile shaft to calculate the pile bending moments by Equation (4). Then, Equation (5) was used to calculate the pile lateral displacement along the depths [19].
Figure 16 summarizes the bending moment of the pile generated during the sinusoidal wave tests. It was found that the bending moment of the pile with a base isolator was lower than those without base-isolator conditions. Additionally, a larger pile-bending moment occurred at the low-input-frequency range, 4.09 Hz, than at the high-input-frequency range, 18.45 Hz. As mentioned above, in the interaction between the superstructure and the foundation system, the pile foundations are followed by the base shear force of the superstructure under the earthquake loadings. The base shear forces of the superstructure in the high-frequency range (18.45 Hz) were lower than those in the low-frequency range, so it was shown that the bending moments of the pile also followed their trends (Figure 17).
Figure 16.
Typical pile bending moments: (a) Dr = 40%, 4.09 Hz; (b) Dr = 40%, 18.45 Hz.
Figure 17.
Typical lateral displacements of pile: (a) Dr = 40%, 4.09 Hz; (b) Dr = 40%, 18.45 Hz.
Figure 18 shows the analysis results on the maximum pile-bending moments according to the presence of base isolation. In all cases, it was found that the pile-bending moment was reduced compared to those without base-isolated systems. It was especially shown that the bending moments of pile under the high-frequency acceleration recorded a significant reduction in the fixed-base condition.
Figure 18.
Comparison of maximum pile-bending moments according to base isolation.
Figure 19 summarizes the horizontal behavior of the pile-supported structure, extending from the superstructure to the pile foundation. The horizontal displacement of the pile structure was found to be significantly smaller compared to that of the superstructure. An important point to note is that while the horizontal displacement of the superstructure varied depending on the frequency of the input acceleration and the support conditions, the pile foundation of the base-isolated structure exhibited less horizontal displacement compared to the fixed-base structure. This trend aligns with the analysis of the reduction in bottom shear forces discussed in Section 3.3. In other words, base isolators seem to be able to reduce the structural resistance of the pile foundation, which could contribute to more economical seismic designs.
Figure 19.
Lateral displacements of whole structure (Dr = 80%): (a) 4.09 Hz; (b) 18.45 Hz.
Based on test results and analyses, it has been demonstrated that the base isolator can effectively reduce both the response acceleration of superstructures and the bending movements of the piles. These findings hold significance for the design process, especially in considering the base-isolation system within the soil–structure interaction (SSI) system. Contrary to concerns that the increased horizontal displacement of the superstructure by the base isolator would enhance the bearing capacity of the piles, it was observed that the actual bearing capacity of the piles decreased regardless of the input frequencies of the accelerations. Therefore, in the case of a pile-supported structure with base isolators, it is anticipated that there will be not only a reduction in the inertial force acting on the superstructures but also a decrease in the member forces within the pile foundations.
Currently, the importance of deep learning (DL), artificial neural networks (ANNs), and artificial intelligence (AI) is highlighted based on the various benefits. For this purpose, a huge amount of test data is required to achieve significant results. The measured data in this study can guide the development of an algorithm like in the following references [21,22,23,24,25]. It can be utilized directly or indirectly for the training purposes of the crucial dynamical response of the soil–structure interaction system via effective DL algorithms.
4. Conclusions
The main objective of this study was to investigate the dynamic behavior of pile foundations with base-isolated structure systems in dry sandy soil. A series of 1 g shaking table model tests were carried out on the soil–pile–structure with base-isolation systems under various conditions. Based on the test results and these analyses, the results of the investigations are summarized below:
- (1)
- This study successfully developed a base isolator using high-damping rubber (Hanenite). This base isolator, functional at a relatively high scale factor of 25, effectively modulated dynamic behavior.
- (2)
- The base-isolated structure exhibited different amplification factors based on input acceleration frequencies. At lower frequencies, the base-isolated structure showed a higher amplification factor than the fixed-base structure. However, at higher frequencies, the amplification factor was lowest at the middle height of the structure and highest at the top and bottom ends, forming a C-shape regardless of pile foundations.
- (3)
- The pile-supported structure system demonstrated a lower amplification factor compared to the rigid-base condition, even during resonance. Additionally, the base shear force of the pile-supported structure system tended to decrease as the relative density of the soil increased.
- (4)
- By the effect on resonance between the input accelerations and structure systems, horizontal displacement was greater in structures with base isolators at lower frequencies, whereas those without base isolators showed a reversed trend at higher frequencies.
- (5)
- The reduction in base shear force by the base isolator led to decreased pile-bending moments and lateral pile displacements, irrespective of lateral superstructure displacements.
Author Contributions
Conceptualization, S.S. and S.J.; methodology, S.J.; investigation, S.S.; data curation, S.S.; writing—original draft preparation, S.S.; writing—review and editing, S.J.; visualization, S.S.; supervision, S.J.; funding acquisition, S.J. All authors have read and agreed to the published version of the manuscript.
Funding
This work was supported by the Basic Science Research Program through the National Research Fund of Korea (NRF) funded by the Ministry of Education (No. 2018R1A6A1A08025348).
Data Availability Statement
The original contributions presented in the study are included in the article, further inquiries can be directed to the corresponding authors.
Conflicts of Interest
The authors declare no conflicts of interest.
References
- Kelly, J.M. A seismic base Iisolation: Review and bibliography. Soil Dyn. and Earthq. Eng. 1986, 5, 202–216. [Google Scholar] [CrossRef]
- Song, S. Soil-Structure Interaction Analysis of Pile Supported Structures by 1 g Shaking Table Tests. Ph.D. Thesis, Yonsei University, Seoul, Republic of Korea, 2023. [Google Scholar]
- Guoxing, G.; Su, C.; Xi, Z.; Xiuli, D.; Chengzhi, Q.; Zhihua, W. Shaking-table tests and numerical simulations on a subway structure in soft soil. Soil Dyn. Earthq. Eng. 2015, 76, 13–28. [Google Scholar] [CrossRef]
- Yang, J.; Li, P.; Lu, Z. Large-scale shaking table test on pile-soil-structure interaction on soft soils. Struc. Des. Tall Spec. Build. 2019, 28, 1679. [Google Scholar] [CrossRef]
- Faith, G.; Erkan, C.; Ahmad, J.O. Numerical and experimental study on scaled soil-structure model for small shaking table tests. Soil Dyn. Earthq. Eng. 2019, 119, 308–319. [Google Scholar]
- Pitilakis, D.; Dietz, M.; Wood, D.M.; Clouteau, D.; Modaressia, A. Numerical simulation of dynamic soil–structure interaction in shaking table testing. Soil Dyn. Earthq. Eng. 2008, 28, 453–467. [Google Scholar] [CrossRef]
- Zhang, Z.; Wei, H.; Qin, X. Experimental study on damping characteristics of soil-structure interaction system based on shaking table test. Soil Dyn. Earthq. Eng. 2017, 98, 183–190. [Google Scholar] [CrossRef]
- Wang, X.; Ye, A.; Shang, Y.; Zhou, L. Shake-table investigation of scoured RC pile-group-supported bridges in liquefiable and nonliquefiable soils. Earthq. Eng. Struct. Dyn. 2019, 48, 1217–1237. [Google Scholar] [CrossRef]
- Xu, C.; Dou, P.; Du, X.; El Naggar, M.; Miyajima, M.; Chen, S. Seismic performance of pile group-structure system in liquefiable and non-liquefiable soil from large-scale shake table tests. Soil Dyn. Earthq. Eng. 2020, 138, 106299. [Google Scholar] [CrossRef]
- Xu, C.; Dou, P.; Du, X.; El Naggar, M.; Miyajima, M.; Chen, S. Large shaking table tests of pile-supported structures in different ground conditions. Soil Dyn. Earthq. Eng. 2020, 139, 106307. [Google Scholar] [CrossRef]
- Novak, M.; Hendreson, P. Base-isolated building with soil–structure interaction. Earthq. Eng. Struct. Dyn. 1989, 18, 751–765. [Google Scholar] [CrossRef]
- Pender, M.J. Nonlinear cyclic soil-structure interaction. In Proceedings of the Pacific Conference on Earthquake Engineering, Wairakei, New Zealand, 5–8 August 1987. [Google Scholar]
- Zhuang, H.; Yu, X.; Zhu, C.; Jin, D. Shaking table tests for the seismic response of a base-isolated structure with the SSI effect. Soil Dyn. Earthq. Eng. 2014, 67, 208–218. [Google Scholar]
- Zhuang, H.; Fu, J.; Yu, X.; Chen, S.; Cai, X. Earthquake response of a base-isolated structure on a multi-layered soft soil foundation by using shaking table tests. Eng. Str. 2019, 179, 79–91. [Google Scholar] [CrossRef]
- Kim, H.; Kim, D.; Lee, Y.; Kim, H. Effect of soil box boundary conditions on dynamic behavior of model soil in 1g shaking table test. App. Sci. 2020, 10, 4642. [Google Scholar] [CrossRef]
- Iai, S. Similitude for shaking table tests on soil-structure-fluid model in 1g gravitational field. Soils Found 1989, 29, 105–118. [Google Scholar] [CrossRef]
- Broms, B. Lateral resistance of piles in cohesive soils. J. Soil Mech. Found. Div. 1964, 90, 27–63. [Google Scholar] [CrossRef]
- Ko, Y.; Li, Y. Response of a scale-model pile group for a jacket foundation of an offshore wind turbine in liquefiable ground during shaking table tests. Earthq. Eng. Struct. Dyn. 2020, 49, 1682–1701. [Google Scholar] [CrossRef]
- Song, S.; Jeong, S. Dynamic analysis of a single pile embedded in SM soil using 1-g shaking table tests. Ocean Eng. 2023, 285, 115416. [Google Scholar] [CrossRef]
- Gupta, B.K.; Basu, D. Applicability of Timoshenko, Euler–Bernoulli and rigid beam theories in analysis of laterally loaded monopiles and piles. Géotechnique 2018, 68, 772–785. [Google Scholar] [CrossRef]
- Du, H.; Du, S.; Li, W. Probabilistic time series forecasting with deep non-linear state space models. CAAI Trans. Intell. Technol. 2023, 8, 3–13. [Google Scholar] [CrossRef]
- Du, Q.; Luo, G.; Wang, X.; Wang, T.; Fu, G.; Lu, C. Fast optimization method of flexible support structure based on mathematical model. Arch. Adv. Eng. Sci. 2023, 0(0), 1–11. [Google Scholar] [CrossRef]
- Gudaparthi, H.; Niu, N.; Yang, Y. Deep learning’s fitness for purpose: A transformation problem frame’s perspective. CAAI Trans. Intell. Technol. 2023, 8, 343–354. [Google Scholar] [CrossRef]
- Purohit, J.; Dave, R. Leveraging deep learning techniques to obtain efficacious segmentation results. Arch. Adv. Eng. Sci. 2023, 1, 11–26. [Google Scholar] [CrossRef]
- Khan, J.; Lee, E.; Kim, K. A higher prediction accuracy–based alpha–beta filter algorithm using the feedforward artificial neural network. CAAI Trans. Intell. Technol. 2023, 8, 1124–1139. [Google Scholar] [CrossRef]
Disclaimer/Publisher’s Note: The statements, opinions and data contained in all publications are solely those of the individual author(s) and contributor(s) and not of MDPI and/or the editor(s). MDPI and/or the editor(s) disclaim responsibility for any injury to people or property resulting from any ideas, methods, instructions or products referred to in the content. |
© 2024 by the authors. Licensee MDPI, Basel, Switzerland. This article is an open access article distributed under the terms and conditions of the Creative Commons Attribution (CC BY) license (https://creativecommons.org/licenses/by/4.0/).