Extreme Wind Loading on Flat-Roof-Mounted Solar Arrays with Consideration of Wind Directionality
Abstract
1. Introduction
2. Probabilistic Modelling of Extreme Wind Loading on Solar Arrays with Consideration of Wind Directionality
2.1. Probabilistic Modelling Methodology
2.2. Directional Extreme Wind Speed Model
2.3. Extreme Wind Loading Coefficients of Solar Arrays
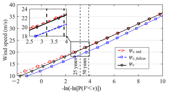
3. Results and Discussions
3.1. Effect of Uncertainty of Extreme Wind Loading Coefficients
3.2. Effect of Building Orientation
3.3. Effect of Wind Speeds with Different Directionality Characteristics
3.4. Discussions on Methods for Considering Directionality Effect
4. Conclusions
- (1)
- The extreme wind loading of solar arrays, as determined by considering the characteristics of wind directionality, could differ when deterministic extreme wind loading coefficients are used, i.e., 57% and 78% percentiles, as well as a random variable. The extreme wind loading coefficients corresponding to the 78% percentile are recommended for the estimation of extreme wind load applied to solar arrays for a greater safety of design.
- (2)
- The distribution of extreme wind loading and directionality factor of solar arrays varies by building orientations and the characteristics of wind directionality. If the critical angle of attack for large extreme loading coefficient is consistent with the direction of high wind speed, there would be a sharp rise in the extreme wind loading of solar arrays.
- (3)
- The extreme wind loading under the real correlation of directional wind speed is found to be comparable to the values based on the independent assumption, but larger than the corresponding results of the full-correlation assumption.
- (4)
- In most cases, the directionality factor of solar arrays is smaller than the value of 0.85, as recommended for the generic components and claddings specified in ASCE/SEI 7-16.
Author Contributions
Funding
Data Availability Statement
Acknowledgments
Conflicts of Interest
Appendix A
References
- Al-Quraan, A.; Al-Mahmodi, M.; Al-Asemi, T.; Bafleh, A.; Bdour, M.; Muhsen, H.; Malkawi, A. A new configuration of roof photovoltaic system for limited area applications-A case study in KSA. Buildings 2022, 12, 92. [Google Scholar] [CrossRef]
- Zhang, W.; Huang, F.; Mao, K.; Lin, C.; Pan, Z. Evaluation of photovoltaic energy saving potential and investment value of urban buildings in China based on GIS technology. Buildings 2021, 11, 649. [Google Scholar] [CrossRef]
- Alrawashdeh, H.; Stathopoulos, T. Wind loads on solar panels mounted on flat roofs: Effect of geometric scale. J. Wind Eng. Ind. Aerod. 2020, 206, 104339. [Google Scholar] [CrossRef]
- Somekawa, D.; Taniguchi, T.; Taniike, Y. Wind loads acting on PV panels and support structures with various layouts. In Proceedings of the Eighth Asia-Pacific Conference on Wind Engineering, Chennai, India, 10–14 December 2013. [Google Scholar]
- Stathopoulos, T.; Zisis, I.; Xypnitou, E. Local and overall wind pressure and force coefficients for solar panels. J. Wind Eng. Ind. Aerod. 2014, 125, 195–206. [Google Scholar] [CrossRef]
- Kopp, G.A.; Farquhar, S.; Morrison, M.J. Aerodynamic mechanisms for wind loads on tilted, roof-mounted, solar arrays. J. Wind Eng. Ind. Aerodyn. 2012, 111, 40–52. [Google Scholar] [CrossRef]
- Wang, J.X.; Yang, Q.S.; Tamura, Y. Effects of building parameters on wind loads on flat-roof-mounted solar arrays. J. Wind Eng. Ind. Aerodyn. 2018, 174, 210–224. [Google Scholar] [CrossRef]
- Simiu, E.; Filliben, J.J. Wind direction effects on cladding and structural loads. Eng. Struct. 1981, 3, 181–186. [Google Scholar] [CrossRef]
- Habte, F.; Chowdhury, A.G.; Yeo, D.; Simiu, E. Wind directionality factors for nonhurricane and hurricane-prone regions. J. Struct. Eng. 2014, 141, 04014208. [Google Scholar] [CrossRef]
- ASCE/SEI 7-16. Minimum Design Loads and Associated Criteria for Buildings and Other Structures; American Society of Civil Engineers: Reston, VA, USA, 2016. [Google Scholar]
- Zhang, X.; Chen, X. Influence of dependence of directional extreme wind speeds on wind load effects with various mean recurrence intervals. J. Wind Eng. Ind. Aerodyn. 2016, 148, 45–56. [Google Scholar] [CrossRef]
- Wang, C.; Holmes, D. Exceedance rate, exceedance probability, and the duality of GEV and GPD for extreme hazard analysis. Nat. Hazards 2020, 102, 1305–1321. [Google Scholar] [CrossRef]
- Liu, M.; Chen, X.Z.; Yang, Q.S. Estimation of multiple limit state responses with various mean recurrence intervals considering directionality effects. J. Wind Eng. Ind. Aerodyn. 2019, 193, 103959. [Google Scholar] [CrossRef]
- Zhang, X.; Chen, X. Assessing probabilistic wind load effects via a multivariate extreme wind speed model: A unified framework to consider directionality and uncertainty. J. Wind Eng. Ind. Aerodyn. 2015, 147, 30–42. [Google Scholar] [CrossRef]
- Chen, X. Estimation of wind load effects with various mean recurrence intervals with a closed-form formulation. Int. J. Struct. Stab. Dy. 2016, 16, 1550060. [Google Scholar] [CrossRef]
- Payer, T.; Küchenhoff, H. Modelling extreme wind speeds at a Germanweather station as basic input for a subsequent risk analysis for high-speedtrains. J. Wind Eng. Ind. Aerodyn. 2004, 92, 241–261. [Google Scholar] [CrossRef]
- Holmes, J.D. Wind Loading of Structures, 3rd ed.; CRC Press: Boca Raton, FL, USA, 2015; p. 40. [Google Scholar]
- GB 50797-2012. Code for Design of Photovoltaic Power Station; Ministry of Housing and Urban-Rural Development of the People’s Republic of China: Beijing, China; General Administration of Quality Supervision, Inspection and Quarantine of the People’s Republic of China: Beijing, China, 2012. [Google Scholar]
- Lieblein, J. Efficient Methods of Extreme-Value Methodology; Report no. NEA-CSNI-R--1976-10; Nuclear Energy Agency of the OECD (NEA): Paris, France, 1976. [Google Scholar]
- Liu, M.; Chen, X.; Yang, Q. Estimation of Peak Factor of Non-Gaussian Wind Pressures by Improved Moment-Based Hermite Model. J. Eng. Mech. 2017, 143, 06017006. [Google Scholar] [CrossRef]
- Yang, Q.; Chen, X.; Liu, M. Bias and Sampling Errors in Estimation of Extremes of Non-Gaussian Wind Pressures by Moment-based Translation Process Models. J. Wind Eng. Ind. Aerodyn. 2019, 186, 214–233. [Google Scholar] [CrossRef]
- Chen, X.; Huang, G. Estimation of probabilistic extreme wind load effects: Combination of aerodynamic and wind climate data. J. Eng. Mech. 2010, 136, 747–760. [Google Scholar] [CrossRef]
- AS/NZS 1170.2. Structural Design Actions—Part 2: Wind Actions; Standards Australia and Standards New Zealand: Sydney, Australia, 2011. [Google Scholar]
- AIJ-RLB. AIJ Recommendations for Loads on Buildings; Architectural Institute of Japan: Tokyo, Japan, 2004. [Google Scholar]
- Grigoriu, M. Applied Non-Gaussian Processes: EXAMPLES, Theory, Simulation, Linear Random Vibration, and MATLAB Solutions; Prentice-Hall: Englewood Cliffs, NJ, USA, 1995. [Google Scholar]
- Liu, P.L.; Der Kiureghian, A. Multivariate distribution models with prescribed marginals and covariances. Probab. Eng. Mech. 1986, 1, 105–112. [Google Scholar] [CrossRef]
- Peng, L.; Liu, M.; Yang, Q.; Huang, G.; Chen, B. An analytical formula for Gaussian to non-Gaussian correlation relationship by moment-based piecewise Hermite polynomial model with application in wind engineering. J. Wind Eng. Ind. Aerodyn. 2020, 198, 104094. [Google Scholar] [CrossRef]














| Direction | N | NE | E | SE | S | SW | W | NW |
| N | 1 | |||||||
| NE | 0.19 | 1 | ||||||
| E | 0.43 | 0.21 | 1 | |||||
| SE | −0.10 | −0.05 | 0.13 | 1 | Sym. | |||
| S | 0.23 | 0.11 | 0.36 | 0.44 | 1 | |||
| SW | 0.39 | 0.26 | 0.63 | 0.26 | 0.27 | 1 | ||
| W | 0.18 | 0.09 | 0.31 | −0.17 | −0.03 | 0.11 | 1 | |
| NW | 0.37 | 0.27 | 0.54 | 0.17 | 0.27 | 0.51 | 0.34 | 1 |
| Orientation α | Worst Case Ww | Multivariate Extreme Model Wm | Independent Wi | Full-Correlated Wf | Directionality Factor kd = Wm/Ww |
|---|---|---|---|---|---|
| α = 0° | −0.91 | −0.65 | −0.66 | −0.60 | 0.72 |
| α = 45° | −0.70 | −0.66 | −0.60 | 0.72 | |
| α =- 45° | −0.61 | −0.62 | −0.56 | 0.67 |
Disclaimer/Publisher’s Note: The statements, opinions and data contained in all publications are solely those of the individual author(s) and contributor(s) and not of MDPI and/or the editor(s). MDPI and/or the editor(s) disclaim responsibility for any injury to people or property resulting from any ideas, methods, instructions or products referred to in the content. |
© 2023 by the authors. Licensee MDPI, Basel, Switzerland. This article is an open access article distributed under the terms and conditions of the Creative Commons Attribution (CC BY) license (https://creativecommons.org/licenses/by/4.0/).
Share and Cite
Wang, J.; Liu, M.; Yang, Q.; Hui, Y.; Nie, S. Extreme Wind Loading on Flat-Roof-Mounted Solar Arrays with Consideration of Wind Directionality. Buildings 2023, 13, 221. https://doi.org/10.3390/buildings13010221
Wang J, Liu M, Yang Q, Hui Y, Nie S. Extreme Wind Loading on Flat-Roof-Mounted Solar Arrays with Consideration of Wind Directionality. Buildings. 2023; 13(1):221. https://doi.org/10.3390/buildings13010221
Chicago/Turabian StyleWang, Jingxue, Min Liu, Qingshan Yang, Yi Hui, and Shidong Nie. 2023. "Extreme Wind Loading on Flat-Roof-Mounted Solar Arrays with Consideration of Wind Directionality" Buildings 13, no. 1: 221. https://doi.org/10.3390/buildings13010221
APA StyleWang, J., Liu, M., Yang, Q., Hui, Y., & Nie, S. (2023). Extreme Wind Loading on Flat-Roof-Mounted Solar Arrays with Consideration of Wind Directionality. Buildings, 13(1), 221. https://doi.org/10.3390/buildings13010221

