Abstract
Freeze–thaw resistance is a significant issue in the durability of concrete; however, it is not widely discussed in the context of limestone addition to concrete. The present study aims to compare the effect of the addition of different types of limestone powder on the frost resistance of ordinary and self-compacting concrete. Three types of limestone powder were added to concrete in an amount of 15% and 30% cement weight. Compositions with and without the air-entraining admixture were prepared in each instance. Research included tests of consistency, air content, air void distribution, compressive strength and freeze–thaw resistance after 100 and 200 freeze–thaw cycles. The obtained results indicate that in the case of both aerated and non-aerated concrete mixtures, weight loss and the decrease in strength after 100 freeze–thaw cycles did not exceed the allowable range. Concretes with limestone powder did not significantly differ in frost resistance from reference concretes. The type of limestone had an effect on the effectiveness of admixtures, as well as the compressive strength and freeze–thaw resistance of concretes without an air-entraining admixture.
1. Introduction
Limestone powder is widely used in concrete technology, both as a cement component and as a type I concrete additive. Its popularity is connected to both economic and technological factors, as limestone is readily available in large quantities wherever cement production can be conducted and it acts as a microfiller in concrete and mortar, thus having beneficial effects on their properties.
The effect of limestone powder on concrete properties is mainly related to its physical effect [1,2]. Limestone is relatively soft and thus easier to grind to a specific surface area than cement clinker. This means that limestone powder particles can easily fill the voids between the cement particles, improving the particle size distribution through the filler effect [3]. As a result of the tighter packing of the particles in the paste, increased compressive strength and durability of concrete can be obtained [4,5]. Moreover, the limestone grains can act as additional nuclei of crystallization, accelerating the initial setting of the cement and increasing the hydration rate of the cement [6,7,8,9,10].
Although limestone is mostly considered inert, much research has proven that it also affects the hydration of Portland clinker to a limited degree [11,12,13]. Research by Matschei [7] has found that only up to 5% of limestone in the cement paste takes part in the reaction. Calcite CaCO3 reacts with monosulfate and calcium aluminate hydrate to form calcium monocarboaluminate, which leads to the stabilization of ettringite by inhibiting its transition to monosulfate [14,15,16]. This usually results in the decreased porosity of the cement paste and, in turn, in the increased compressive strength of mortars and concrete.
The addition of limestone as a concrete additive can therefore have several beneficial effects on the properties of concrete. Even if used as a replacement for part of the cement, the addition of up to 10% limestone has been found to increase the compressive strength of concrete [17]. Similarly, the use of limestone in concrete in an amount of less than 10% can result in a decrease in porosity [18,19] and chloride permeability [20]. Studies carried out by Schmidt [21] and Tikkanen et al. [22] show that concretes with Portland lime cement can have similar frost resistance to concretes with Portland CEM I cement. However, to obtain this effect, several conditions should be met: low w/c ratio < 0.45, or limestone content lower than 20% [21,22,23]. Research by Grzeszczyk and Podkowa [24], as well as Panesar and Zhang [17], has also shown the negative effects of adding more than 15% of limestone to concrete due to the increased porosity of the concrete. Additionally, tests conducted by Aqel [25] show that limestone addition may not have any significant effect on the freeze–thaw resistance if limestone is introduced as a replacement for 15% of cement. Research by Palm et al. [26] showed, however, that with the proper aeration of concrete, freeze–thaw resistance can be acceptable with an amount of limestone of 45% of the cement mass. It should be noted, however, that although the effect of limestone powder has been the subject of numerous studies, the influence of different types of limestone on durability in general, and frost resistance in particular, has not been widely discussed.
Research into the effect of limestone on freeze–thaw durability is usually connected with the amounts of limestone that can be used, rather than the possible differences between the limestones and their effects on the properties of the concrete. This translates into the use of a singular type of limestone for the tests, and investigation into either vibrated concrete or self-compacting concrete. There is no systematic research aimed at the effect of the type of limestone on the freeze–thaw resistance, and it has been shown by numerus studies—for example, [27,28]—that the exact effect of limestone on the properties of cement and concrete depends heavily on the type of limestone powder and, more specifically, its grain size and distribution. The present research, therefore, aims to test the possible differences between the effects of different types of limestone.
The aim of this study was to investigate the effect of different types of limestone powder on the frost resistance of regular and self-compacting concretes, as no such systematic research can be found. The findings can contribute to the understanding of the role of limestone powder as an additive in concrete in the context of choosing the appropriate limestone for concrete. Three types of limestone powder were added to concrete in the amounts of 15% and 30% by weight of cement. Additionally, a comparison between vibrated and self-compacting concrete was conducted, to ascertain whether there are any differences in the effect of limestone in both of these types of concrete. A comparative study of the effect of limestone type on the consistency, air content, compressive strength after 2, 7, 28 and 90 days and frost resistance was carried out. The frost resistance tests were started 28 days after forming by studying the decrease in compressive strength and weight loss after 100 and 200 cycles of freezing and thawing.
2. Materials and Methods
2.1. Materials
Portland cement CEM I 42.5R and three types of limestone were used in this study. The chemical compositions of all of the materials are shown in Table 1, while the particle size distribution is shown in Figure 1. All limestones used in the testing conformed to the requirements of the standard for the use of additives in cement and concrete [29]. The aggregate that was used for the tested concretes consisted of sand of fraction 0–2 mm and natural aggregate gravel of fractions 2–8 mm and 8–16 mm. In the case of vibrated concrete, an aggregate of up to 16 mm was used, while, for self-compacting concrete, fractions of up to 8 mm were used. The aggregates were chosen to comply with the requirements of PN-EN 206 + A1:2016-12 [29].
Table 1.
Composition of materials used in the research.
Figure 1.
Particle size distribution of the cement, limestone and fly ash used in the research.
The tests were performed on both concrete compacted by vibrations and self-compacting concrete, with and without an aerating admixture. The composition of the concretes without an aerating admixture was set to comply with the requirements for exposure class XF1 of standard PN-EN 206 + A1:2016-12 [29], while aerated concrete mixes were designed to comply with the requirements for exposure class XF2-4. This meant that the amount of aerating admixture (AEA) was selected to achieve aeration of 6% ± 1%, and the water–cement ratio was kept constant. With the addition of limestone, and therefore a decrease in cement content, the water content was also decreased to maintain a constant w/c ratio. In terms of workability, the mixtures were experimentally designed to have similar compaction ability. Therefore, for vibrated concrete (V) mixes, a consistency of 8–10 s was assumed according to the VeBe method, in line with EN 12350-3:2019 [30]; for self-compacting (SC) mixes, a spread of 65 ± 5 cm was used, according to standard EN 12350-8:2019 [31]. Both methods are popular and widely used means of measuring the consistency of, respectively, vibrated and self-compacting concrete. The exact concrete compositions, with the concrete symbols used in the figures, are shown in Table 2, Table 3, Table 4 and Table 5.
Table 2.
Composition of 1 m3 of vibrated concrete with no air-entraining admixture.
Table 3.
Composition of 1 m3 of vibrated concrete with air-entraining admixture.
Table 4.
Composition of 1 m3 of self-compacting concrete without air-entraining admixture.
Table 5.
Composition of 1 m3 of self-compacting concrete with air-entraining admixture.
2.2. Methods
Testing consisted of checking the basic properties of the fresh concrete mix (consistency, air content) and tests concerning the freeze–thaw resistance (compressive strength, strength decrease, mass loss).
The consistency of the concrete mix was measured by the VeBe method [31] for vibrated concrete, while the flow of self-compacting concrete was tested in accordance with EN 12350-8 [31]. Air content in the concrete mix was checked using the pressure method, as described in PN-EN 12350-7 [32].
The compressive strength tests of concrete were carried out in accordance with PN-EN 12390-3:2019 [33], on 10 × 10 × 10 cm3 samples. Samples were kept in the mold for the first 24 h at a temperature of 20 °C and humidity of 60%; then, the molds were removed, and samples were placed in water at a stable temperature of 20 °C. After 28 days, compressive strength tests were conducted, and the freeze–thaw testing started. The frost resistance test of concretes was measured as weight loss and strength loss. The test was conducted according to PN-B-06265:2018-10 [34]. The concretes were subjected to 100 freeze–thaw cycles after 28 days of curing, and in the case of concretes with an air-entraining admixture, their performance after 200 freeze–thaw cycles was also tested. Before the testing, samples were kept in water at a temperature of 20 °C. After 28 days, samples chosen for testing were weighed and placed into the freeze–thaw cabinet, where the temperature changed cyclically from −18 ± 2 °C to +18 ± 2 °C to simulate the freeze–thaw process. Each temperature was maintained for 4 h in one cycle. After a set amount of cycles, samples were removed from the freeze–thaw cabinet, weighed to check the mass loss, and, finally, the compressive strength test was conducted to calculate the strength loss.
The average weight loss ΔG was calculated from the following formula:
G1—average weight of the specimens before their first freezing, in a water-saturated state (kg); G2—average weight of the specimens after their last defrosting, in a water-saturated state (kg). Mass loss should not exceed 5%.
The average strength loss ΔR was calculated according to the following formula:
R1—average strength of reference samples, unfrozen and water-saturated; R2—average strength of test samples after the last cycle of freezing and thawing, water-saturated. The strength loss ΔR should not exceed 20%.
To analyze the pore structure of the air-entrained concrete, automatic tests of air void distribution were conducted using the RapidAir 457 system. This allowed us to obtain data about air voids according to standard PN-EN 480-11:2008 [35], namely the total air content A, specific surface of the air void system α, spacing factor L and air void size distribution A300.
ANOVA analysis was conducted using Statistica software, to determine the effects of the limestone on the compressive strength of concretes. The significance level was assumed to be the commonly accepted 5%, meaning that it was assumed that if the p-value was lower than 0.05, the effect was significant.
3. Results
3.1. Air Content
Air content in the concrete mix for aerated concrete was set as 6% ± 1%, and the amount of air-entraining admixture (AEA) necessary to obtain it is shown in Figure 2.
Figure 2.
Amount of air-entraining admixture for (a) vibrated and (b) self-compacting concrete to obtain 6% ± 1% of air content in the concrete mix.
As can be seen, the amount of admixture needed to obtain adequate aeration was different for different limestones. For L2 and L3 limestones, the amount of aerating admixture needed to obtain the set aeration amount was significantly higher than that of the reference concrete and concretes with L1 limestone. The necessity of using more air-entraining admixture in the case of using a limestone filler was previously noted by Tikkaken et al. [22].
The results of Glinicki and Dabrowski [36] showed that the fineness and particle size distribution of the concrete additive have a clear effect on the effectiveness of aerating admixtures, so it can be concluded that the differences in admixture effectiveness in the presence of different types of limestone may be related to their specific surface area and particle size distribution. Both limestone L2 and limestone L3 had higher fine content than cement or L1 limestone, so the admixture’s effectiveness may have been lower in their case. It must be also noted that the increase in the amount of air-entraining admixture in concretes with limestone can be also partially attributed to the lower water content in comparison to reference samples. The lower the amount of water, the higher is the amount of air-entraining admixture necessary to obtain the set aeration level. However, as can be noticed, in the case of limestone L1, this effect was not as visible as in the case of limestones L2 and L3, leading to the conclusion that the particle size distribution of limestone may be the deciding factor.
Table 6.
Air void distribution parameters for vibrated air-entrained concrete.
Table 7.
Air void distribution parameters for self-compacting air-entrained concrete.
All of the tested concretes had air content over 4% in their hardened state, complying with the requirements of the XF2-XF4 exposure class.
The specific surface area of the air voids a was higher than 20 mm−1 in the case of all of the tested concretes, which can be considered to be beneficial from the freeze–thaw resistance perspective. It should be noted that the concretes with limestone addition, in all cases, exhibited a higher specific surface area of the air voids, with comparable air content, than in the case of the reference concrete. This means that the air voids had larger diameters in the case of concretes with limestone. This is further shown by the amount of micropores under 0.3 mm (A300). It was higher in the case of reference concretes than in the case of concretes with limestone. For freeze–thaw-resistant concretes, the A300 parameter should exceed 1.5%. In the case of the tested concretes, it should be noted that both reference concretes met this criterion, while not every concrete with limestone addition did. In the case of vibrated concrete, only concrete with 15% of L2 addition met this criterion, while, for the self-compacting concretes, only 15% of L2 and L3 reached this threshold. This effect may be connected to the lower effectiveness of the air-entraining admixture in the presence of limestone—as could be seen in Figure 2, the amount of admixture had to be adjusted in order to obtain comparable results regarding the air content in the concrete mix. For concretes with limestone L2 and L3, the dosage was significantly higher, and thus they were closer to the spacing of the air voids in the reference sample.
The spacing factor L for the concretes with limestone was higher than in the case of the reference concrete, which is consistent with the implication of the larger-sized voids in the concrete compared to the reference concrete. It should be also noted that the research by Valcuende et al. [37] showed that with the increase in limestone content, the amount of larger air voids increases with the increase in limestone filler content, making this result compatible with the existing literature.
3.2. Consistency
Due to the fact that consistency was set as 8–10 s according to the VeBe method for vibrated concretes, and, for self-compacting concrete, a spread of 65 ± 5 cm was applied, different amounts of superplasticizer had to be used for the tested concretes. The amount of superplasticizer necessary to obtain comparable consistency in the mixture is shown in Figure 3.
Figure 3.
Superplasticizer amount for (a) vibrated concrete, (b) self-compacting concrete.
It can be observed that the air-entrained concretes required higher amounts of superplasticizer than corresponding concretes with no air-entraining admixture, which can be attributed to the lower amount of water in the concrete with the admixture. With the increase in limestone content, and thus a decrease in water content, the amount of superplasticizer increases. With a lower amount of water, more superplasticizer is needed to obtain the set consistency. It should be, however, noted that the addition of 15% of limestone for the vibrated concrete did not affect the amount of superplasticizer needed, which can be attributed to the fact that, for the vibrated concretes, the water content reduction was only ~3%, while, for self-compacting concretes, it was over twice as high.
It should be also noted that the presence of limestone may worsen the consistency [38]. The use of limestone introduces a higher amount of fine fractions to concrete than in the case of only using cement, which may result in an increased water demand and thus a need for a higher amount of superplasticizer to obtain the set consistency. No difference in their effect on the consistency of concrete could be found between the different types of limestone used in the research.
3.3. Mass Loss
The results of tests of mass loss after 100 freeze–thaw cycles of the concrete are presented in Figure 4 and Figure 5.
Figure 4.
Mass loss of (a) vibrated and (b) self-compacting concrete without air-entraining admixture, after 100 freeze–thaw cycles.
Figure 5.
Mass loss of (a) vibrated and (b) self-compacting concrete with air-entraining admixture after 100 freeze–thaw cycles.
The mass loss after 100 freeze–thaw cycles of concrete with and without air-entraining admixture was low and did not exceed 0.5%. Given that, according to the standard, the limit for mass loss is 5%, all of the concretes did comply with this requirement. For the majority of the samples, the mass loss was, as expected, lower for air-entrained concrete than for concrete with no admixture. It can be noticed, however, that there were instances in which the vibrated concrete showed an increase in mass (V-L2-15), and thus had lower mass loss than the corresponding air-entrained concrete. This may be connected to the notion of water penetration into the cracks that appeared in the structure of the frozen–thawed specimens. The water was absorbed by the sample from the humidity in the freeze–thaw cabinet during the ‘thaw’ phase, and, during the freezing, additional water can further propagate the cracks and microcracks in the structure, thus increasing the possibility of further water absorption. This, in turn, may have led to the increase in mass for the samples. A similar effect was described by Al-Kheetan et al. [39].
In the case of the tested concretes, the type of limestone had no clear effect on the amount of weight loss. In the case of all limestones, it can be observed that with the increase in the amount of limestone in concretes with AEA, the mass loss usually decreased. This may be due to the filler effect of the fine-sized particles of both additives increasing tightness of the structure [37]. There was also no significant difference in the mass loss of self-compacting concrete and vibrated concrete. Research by Presson [40] showed that greater mass loss was expected in vibrated concretes in comparison to self-compacting concretes; however, it should be noted that in the vibrated concrete, no limestone was used, as it was added to increase the mortar volume in self-compacting concretes only. It can be therefore ascertained that if limestone is used for both vibrated and self-compacting concrete, no significant difference in mass loss can be observed, due to the more similar structure of the cement matrix.
Similarly, after 200 cycles of freezing and thawing (Figure 6), all of the aerated vibrated and self-compacting concretes complied with the requirements of the PN-B-06265 [34] standard, and no clear effect of the limestone type was observed.
Figure 6.
Mass loss of (a) vibrated and (b) self-compacting concrete with air-entraining admixture after 200 freeze–thaw cycles.
3.4. Compressive Strength and Strength Loss
3.4.1. Compressive Strength and Strength Loss after 100 Freeze–Thaw Cycles
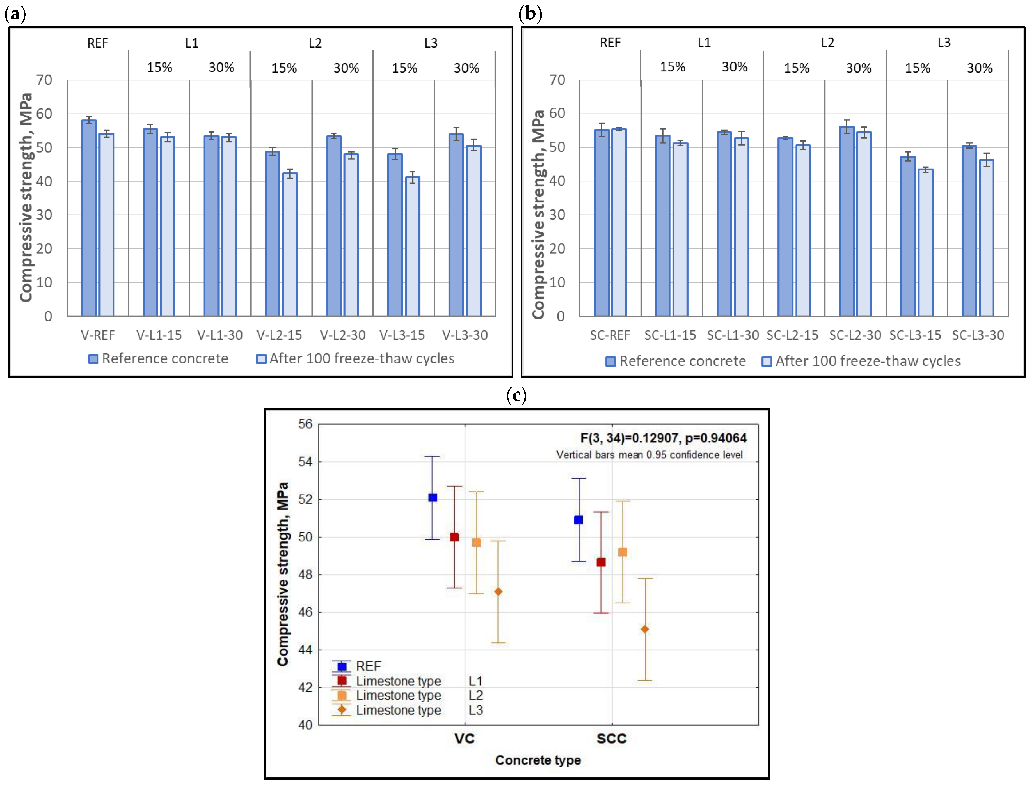
Figure 7.
Compressive strength of (a) vibrated concrete and (b) self-compacting concrete, both without air-entraining admixture, with (c) ANOVA analysis of the effect of using limestone.

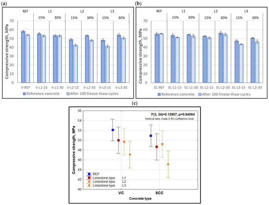
Figure 8.
Compressive strength of (a) vibrated concrete and (b) self-compacting concrete, both with air-entraining admixture, with (c) ANOVA analysis of the effect of using limestone.
The resulting concretes meet the requirements of at least class C30/37, passing the strength requirement for exposure class XF, for which the concretes were designed.
In the case of concretes without an air-entraining admixture, it can be noticed that while the limestone addition increases, the compressive strength of the concretes decreases slightly, by 10–18% in the case of vibrated concretes and 2–15% in the case of self-compacting concretes. This effect is expected due to the decrease in the cement content in concretes with limestone; however, it should be noted that in the case of limestones L1 and L2, the decrease was low. In the case of vibrated and self-compacting concretes with the air-entraining admixture, there was also a decrease in strength observed in several concretes, up to 15%; however, an increase in the compressive strength was also observed, up to 15%. These effects can be connected to the fact that while limestone powder was introduced as a replacement for a part of the cement, a constant w/c ratio was maintained. With a relatively large amount of cement and a constant w/c ratio, the negative effect of reducing the amount of cement may be compensated by the filler effect and thus a possible decrease in porosity may occur [40,41]. This in turn may lead to a smaller decrease in compressive strength, or even an increase, leading to a ±15% difference in the compressive strength of concretes in relation to the reference sample. This indicates that with a properly designed composition, significant amounts (up to 30%) of limestone powder could be successfully introduced without a significant deterioration in concrete strength. A similar effect was observed by Kadri et al. [42].
The type of limestone had a significant effect on the compressive strength results, as could be ascertained from the ANOVA analysis (Figure 7c and Figure 8c). The lowest strengths in all cases were obtained by concretes with limestone L3, for which the decrease in strength in relation to the reference sample reached up to 15%. The use of limestones L1 and L2 led to a lower reduction in strength, or even, in the case of aerated concretes with limestone L1, to an increase in strength. This significant difference between limestones may be due to the discontinuous particle size of limestone L3, which has been proven to negatively affect the strength of mortars and concrete [38]. A discontinuous particle distribution affects the filler effect of the limestone, leading to a smaller decrease in cement paste porosity than in the case of limestones with a continuous particle size distribution. Similarly, limestone L3 had the biggest impact on the strength loss, what can be seen in Figure 9. While the type of limestone was a significant factor in its effect on the compressive strength, there was no clear relationship between the amount of limestone and its effect on the strength.
Figure 9.
Strength loss for (a) vibrated concrete and (b) self-compacting concrete, both without air-entraining admixture.
In the case of the air-entrained vibrated and self-compacting concretes with limestone, there was no significant decrease in strength after 100 freeze–thaw cycles, what can be seen in Figure 10. In all tested concretes, the compressive strength loss did not exceed 20%, which is a standard requirement for freeze–thaw-resistant concretes. Similar effects have been noted by Panesar et al. [43], who also obtained good freeze–thaw resistance parameters for concretes with limestone filler, albeit only at 15% of the cement mass.
Figure 10.
Strength loss for (a) vibrated concrete and (b) self-compacting concrete, both with air-entraining admixture.
At the same time, no clear effect of the limestone type on strength loss after 100 cycles of freeze–thaw was observed for air-entrained concretes, as no unequivocal effect of either an increase or decrease in strength loss was observed between different limestones, as can be observed from the ANOVA analysis results shown in Figure 11. On the other hand, for the concretes without the air-entraining admixture, the effect of limestone was much more pronounced, with limestone L3 having the lowest compressive strength and highest compressive strength loss. The difference may lie in the fact that, in the case of concretes with no air-entraining admixture, the effect of limestone on the porosity of the matrix is much more vital for the freeze–thaw resistance. In the case of limestone L3, which had a discontinuous particle size distribution, the porosity and therefore water penetration during freeze–thaw tests was higher than in the case of concretes without limestone or limestones L1 and L2. For aerated concretes, the effect of the limestone on porosity is secondary, as the air-entraining admixture creates a structure of pores in the cement matrix, and thus the effect of limestone is not visible.
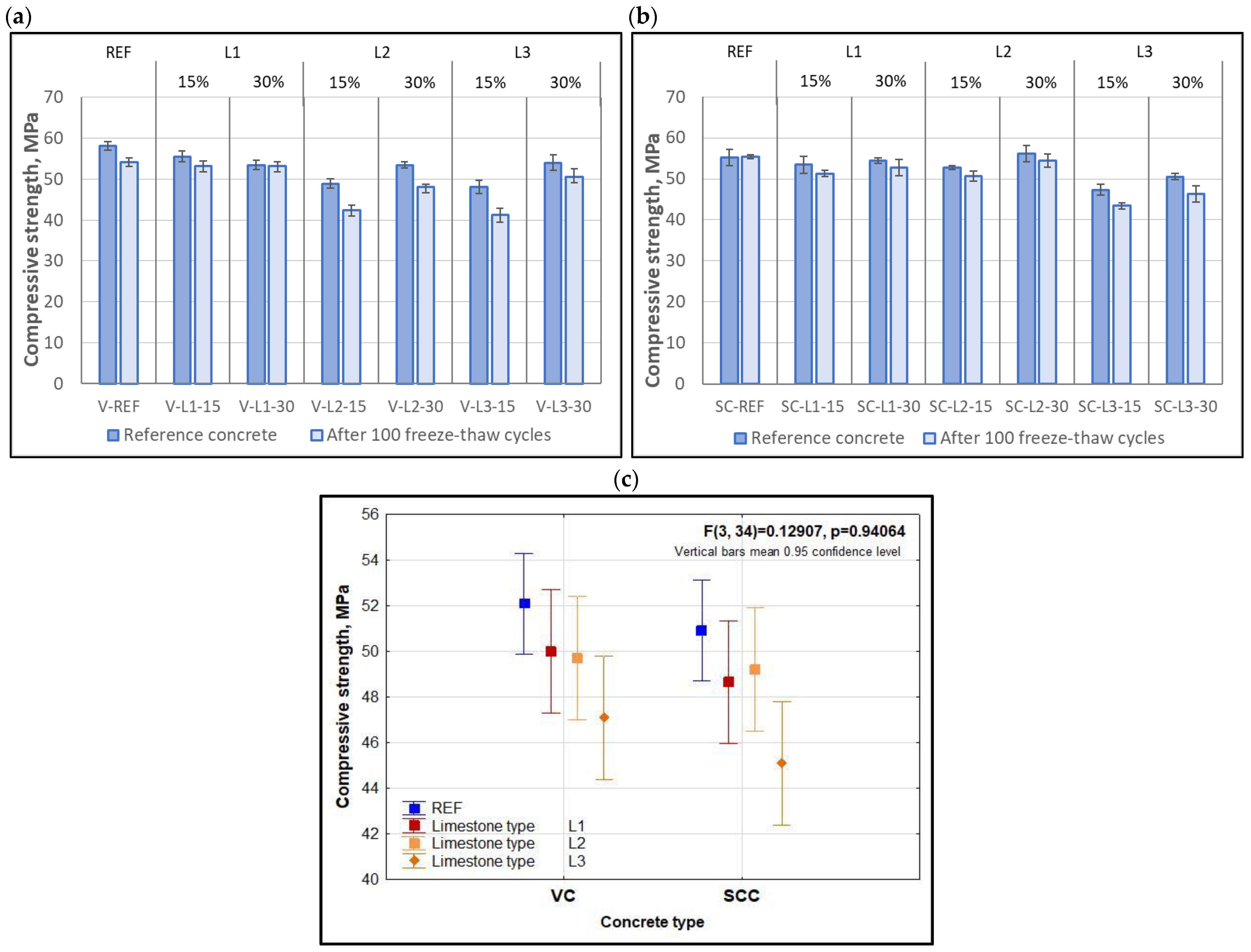
Figure 11.
ANOVA analysis of the effect of limestone type on the compressive strength for reference samples (REF) and samples after 100 cycles of freeze–thaw (FT) for (a) vibrated concretes without AEA, (b) SCC without AEA, (c) vibrated concretes with AEA, (d) SCC with AEA.
Unexpectedly, the addition of 15% of limestone to non-aerated concretes had a more negative effect on the compressive strength of the concrete than adding 30% of limestone (Figure 12). This effect could be connected to the fact that, in the case of the addition of 30% of limestone to the concrete mix, the structure was less porous due to the filler effect of the limestone. As previously stated, small particles of limestone can act as a filler, increasing the tightness of the matrix [5,41].
Figure 12.
ANOVA analysis of the amount of limestone on the compressive strength for reference samples (REF) and samples after 100 cycles of freeze–thaw (FT) for (a) vibrated concretes without AEA, (b) SCC without AEA, (c) vibrated concretes with AEA, (d) SCC with AEA.
The concrete type did not affect the freeze–thaw resistance after 100 cycles—for both self-compacting and vibrated concrete, the compressive strength loss was comparable, which can be seen in Figure 13, showing the ANOVA analysis of the effect of concrete type on strength. It should be noted that the compressive strength of SCC was consistently slightly lower than in the case of the corresponding vibrated concretes, which may be connected with the higher air content. SCC mixes were characterized by 1% higher air content, which means higher porosity and thus lower compressive strength.
Figure 13.
ANOVA analysis of the effect of concrete type on the compressive strength for reference samples and samples after 100 cycles of freeze–thaw for (a) concretes without AEA and (b) concretes with AEA.
3.4.2. Compressive Strength and Strength Loss after 200 Freeze–Thaw Cycles
The results of tests of the compressive strength after 200 freeze–thaw cycles are presented in Figure 14, and in Figure 15, the compressive strength loss results are presented. Only air-entrained mixes were used for the testing.
Figure 14.
Compressive strength of (a) vibrated concrete and (b) self-compacting concrete, both with air-entraining admixture.
Figure 15.
Strength loss for (a) vibrated concrete and (b) self-compacting concrete, both with air-entraining admixture.
It should be noted that similar effects of limestone addition have been observed in the compressive strength tests after 200 cycles of freeze–thaw as after 100 cycles of freeze–thaw.
The decrease in strength for all types of concrete is pronounced, but does not exceed the standard requirement of 20%. Therefore, it is possible to obtain freeze–thaw-resistant concrete with the addition of 30% of limestone.
The type of limestone does not affect the freeze–thaw resistance; however, it must be noted that it does affect the strength, as concretes with limestone L1 are characterized by the highest compressive strength, which is confirmed by the ANOVA analysis shown in Figure 16. This effect may be due to the regular particle size distribution of the L1 limestone, which is consistent with the results obtained for concretes after 100 cycles of freeze–thaw.
Figure 16.
ANOVA analysis of the effect of limestone type on the compressive strength of reference concrete (REF) and concrete after 200 cycles of freeze–thaw (FT) for (a) vibrated concretes, (b) SCC.
Differently than in the case of testing after 100 cycles of freeze–thaw, it could be observed that for 15% of limestone, the compressive strength loss for the majority of concretes is closer to the reference concrete’s mass loss than in the case of concretes with 30% of limestone addition. However, the differences are not significant, which is shown by the ANOVA analysis in Figure 17. It should be concluded that the amount of limestone does not affect, in a significant way, the freeze–thaw resistance of the concrete, especially in light of the fact that none of the tested concretes with limestone addition exhibited higher compressive strength loss than the limit of 20%.
Figure 17.
ANOVA analysis of the effect of limestone content on the compressive strength of reference concrete (REF) and concrete after 200 cycles of freeze–thaw (FT) for (a) vibrated concretes, (b) SCC.
4. Conclusions
The investigations carried out on the properties of ordinary and self-compacting concretes with the addition of limestone lead to the following conclusions:
- The addition of limestone to concrete has a pronounced effect on both the consistency and aeration of the concrete. In order to maintain comparable aeration and consistency of concretes with limestone powder and reference concrete, formulation adjustments had to be made by increasing the amount of the aerating admixture. The differences in admixture effectiveness in the presence of different types of limestone may be related to their specific surface area and grain size, as well as the different amounts of water in the mixture.
- The addition of limestone to air-entrained concrete led to an increase in the size of voids in concrete. The type of limestone affected the air void distribution, possibly due to a difference in admixture effectiveness with different types of limestone.
- The mass loss of vibrated and self-compacting concretes with limestone, both with and without the air-entraining admixture, did not exceed 5%, and thus was within the requirements for frost-resistant concretes after 100 and 200 freeze–thaw cycles.
- In the case of the tested normal and self-compacting concretes with limestone and aerating admixture, after 100 freeze–thaw cycles, the decrease was within 20%, which is the limit allowed for frost-resistant concretes.
- Plain and self-compacting concretes with limestone without an aerating admixture, subjected to 100 freeze–thaw cycles after 28 days of maturation, met the strength loss requirements, with one exception (15% addition of limestone B to non-aerated plain concrete).
- The limestone type played an important role in the compressive strength and strength loss of concretes, especially for concretes without an aerating admixture. This may be due to the difference in particle distribution—limestones with finer particles led to lower porosity and thus higher strength.
Author Contributions
Conceptualization, J.G.; methodology, J.G. and G.C.; investigation, M.G. and G.C.; writing—original draft preparation, M.G.; writing—review and editing, M.G.; visualization, M.G.; supervision, J.G. All authors have read and agreed to the published version of the manuscript.
Funding
This research received no external funding.
Data Availability Statement
Not applicable.
Conflicts of Interest
The authors declare no conflict of interest.
References
- Wang, D.; Shi, C.; Farzadnia, N.; Shi, Z.; Jia, H. A review on effects of limestone powder on the properties of concrete. Constr. Build. Mater. 2018, 192, 153–166. [Google Scholar] [CrossRef]
- Soroka, I.; Setter, N. The effect of fillers on strength of cement mortars. Cem. Concr. Res. 1977, 7, 449–456. [Google Scholar] [CrossRef]
- Wang, D.; Shi, C.; Farzadnia, N.; Shi, Z.; Jia, H.; Ou, Z. A review on use of limestone powder in cement-based materials: Mechanism, hydration and microstructures. Constr. Build. Mater. 2018, 181, 659–672. [Google Scholar] [CrossRef]
- Kumar, A.; Oey, T.; Falzone, G.; Huang, J.; Bauchy, M.; Balonis, M.; Neithalath, N.; Bullard, J.; Sant, G. The filler effect: The influence of filler content and type on the hydration rate of tricalcium silicate. J. Am. Ceram. Soc. 2017, 100, 3316–3328. [Google Scholar] [CrossRef]
- Moosberg-Bustnes, H.; Lagerblad, B.; Forssberg, E. The function of fillers in concrete. Mater. Struct. 2004, 37, 74–81. [Google Scholar] [CrossRef]
- Cyr, M.; Lawrence, P.; Ringot, E. Efficiency of mineral admixtures in mortars: Quantification of the physical and chemical effects of fine admixtures in relation with compressive strength. Cem. Concr. Res. 2006, 36, 264–277. [Google Scholar] [CrossRef]
- Matschei, T.; Lothenbach, B.; Glasser, F.P.P. The role of calcium carbonate in cement hydration. Cem. Concr. Res. 2007, 37, 551–558. [Google Scholar] [CrossRef]
- Adu-Amankwah, S.; Black, L.; Zajac, M. Effect of Limestone Addition on the Early Age Hydration and Microstructure Evolution of Composite Slag Cements. 2015. Available online: http://eprints.whiterose.ac.uk/94482/ (accessed on 12 November 2018).
- Péra, J.; Husson, S.; Guilhot, B. Influence of finely ground limestone on cement hydration. Cem. Concr. Compos. 1999, 21, 99–105. [Google Scholar] [CrossRef]
- Ramachandran, V.; Zhang, C.-M. Dependence of the fineness of carbonate on the hydration behaviour of tricalcium silicate. Durab. Build. Mater. 1986, 4, 45–66. [Google Scholar]
- Adu-Amankwah, S.; Zajac, M.; Stabler, C.; Lothenbach, B.; Black, L. Influence of limestone on the hydration of ternary slag cements. Cem. Concr. Res. 2017, 100, 96–109. [Google Scholar] [CrossRef]
- Lothenbach, B.; Le Saout, G.; Gallucci, E.; Scrivener, K. Influence of limestone on the hydration of Portland cements. Cem. Concr. Res. 2008, 38, 848–860. [Google Scholar] [CrossRef]
- Martin, L.H.J.; Winnefeld, F.; Müller, C.J.; Lothenbach, B. Contribution of limestone to the hydration of calcium sulfoaluminate cement. Cem. Concr. Compos. 2015, 62, 204–211. [Google Scholar] [CrossRef]
- Kuzel, H.-J.; Baier, H. Hydration of calcium aluminate cements in the presence of calcium carbonate. Eur. J. Mineral. 1996, 8, 129–142. [Google Scholar] [CrossRef]
- Kakali, G.; Tsivilis, S.; Aggeli, E.; Bati, M. Hydration products of C3A, C3S and Portland cement in the presence of CaCO3. Cem. Concr. Res. 2000, 30, 1073–1077. [Google Scholar] [CrossRef]
- Aqel, M.; Panesar, D.K.; Aqel, M.; Panesar, D.K. Physical and chemical effects of limestone filler on the hydration of steam cured cement paste and mortar. Rev. ALCONPAT. 2020, 10, 191–205. [Google Scholar] [CrossRef]
- Panesar, D.K.; Zhang, R. Performance comparison of cement replacing materials in concrete: Limestone fillers and supplementary cementing materials—A review. Constr. Build. Mater. 2020, 251, 118866. [Google Scholar] [CrossRef]
- Tsivilis, S.; Tsantilas, J.; Kakali, G.; Chaniotakis, E.; Sakellariou, A. The permeability of Portland limestone cement concrete. Cem. Concr. Res. 2003, 33, 1465–1471. [Google Scholar] [CrossRef]
- Moon, G.D.; Oh, S.; Jung, S.H.; Choi, Y.C. Effects of the fineness of limestone powder and cement on the hydration and strength development of PLC concrete. Constr. Build. Mater. 2017, 135, 129–136. [Google Scholar] [CrossRef]
- Ramezanianpour, A.A.; Ghiasvand, E.; Nickseresht, I.; Mahdikhani, M.; Moodi, F. Influence of various amounts of limestone powder on performance of {Portland} limestone cement concretes. Cem. Concr. Compos. 2009, 31, 715–720. [Google Scholar] [CrossRef]
- Schmidt, M. Cement with interground additives—Capabilities and environmental relief: I. ZKG Int. Ed. 1992, 45, 64–69. [Google Scholar]
- Tikkanen, J.; Cwirzen, A.; Penttala, V. Freeze–thaw resistance of normal strength powder concretes. Mag. Concr. Res. 2015, 67, 71–81. [Google Scholar] [CrossRef]
- Manns, W.; Thielen, G.; Laskowski, C. Evaluation of the Results of Tests for Building Inspectorate Approval of Portland Limestone Cements. 2001. Available online: https://www.vdz-online.de/fileadmin/gruppen/vdz/3LiteraturRecherche/Betontechnische_Berichte/015-024_Polakazem.pdf (accessed on 16 November 2018).
- Grzeszczyk, S.; Podkowa, P. The Effect of Limestone Filler on the Properties of Self Compacting Concrete. Annu. Trans. Nord. Rheol. Soc. 2009, 17, 2009. [Google Scholar]
- Aqel, M.A. Steam Cured Self-Consolidating Concrete and the Effects of Limestone Filler. Doctoral Dissertation, University of Toronto, Toronto, ON, Canada, 2016. [Google Scholar]
- Palm, S.; Proske, T.; Rezvani, M.; Hainer, S.; Müller, C.; Graubner, C.-A. Cements with a high limestone content—Mechanical properties, durability and ecological characteristics of the concrete. Constr. Build. Mater. 2016, 119, 308–318. [Google Scholar] [CrossRef]
- Gołaszewski, J.; Cygan, G.; Gołaszewska, M. Analysis of the Effect of Various Types of Limestone as a Main Constituent of Cement on the Chosen Properties of Cemenet Pastes and Mortars. Arch. Civ. Eng. 2019, 65, 75–86. [Google Scholar] [CrossRef]
- Ghafoori, N.; Spitek, R.; Najimi, M. Influence of limestone size and content on transport properties of self-consolidating concrete. Constr. Build. Mater. 2016, 127, 588–595. [Google Scholar] [CrossRef]
- EN 206+A1 Concrete; Part 1: Specification, Performance, Production and Conformity. Available online: https://infostore.saiglobal.com/preview/98701310834.pdf?sku=869760_SAIG_NSAI_NSAI_2068246 (accessed on 31 May 2022).
- EN 12350-3:2019; Testing Fresh Concrete—Part 3: Vebe Test. Available online: https://standards.iteh.ai/catalog/standards/cen/7eb738ef-44af-436c-ab8e-e6561571302c/en-12390-3-2019 (accessed on 31 May 2022).
- EN 12350-8:2019; Testing Fresh Concrete—Part 8: Self-Compacting Concrete—Slump-Flow Test. Available online: https://standards.iteh.ai/catalog/standards/cen/fd5551c2-3e70-4390-a194-137234d73d1c/en-12350-8-2019 (accessed on 31 May 2022).
- EN 12350-7:2019; Testing Fresh Concrete—Part 7: Air Content—Pressure Methods. Available online: https://standards.iteh.ai/catalog/standards/cen/444b4a93-2e0f-41e7-96e9-7d25505d78bd/en-12350-7-2019 (accessed on 31 May 2022).
- EN 12390-3:2019; Testing Hardened Concrete—Part 3: Compressive Strength of Test Specimens. Available online: https://standards.iteh.ai/catalog/standards/cen/7eb738ef-44af-436c-ab8e-e6561571302c/en-12390-3-2019 (accessed on 31 May 2022).
- PN-B-06265:2018-10; Beton—Wymagania, Właściwości, Produkcja i Zgodność—Krajowe Uzupełnienie PN-EN 206+A1:2016-12, (Concrete—Requirements, Properties, Production and Compliance—National Addition to PN-EN 206+A1:2016-12). Available online: https://sklep.pkn.pl/pn-b-06265-2018-10p.html (accessed on 31 May 2022). (In Polish)
- EN 480-11:2005; Admixtures for Concrete, Mortar and Grout—Test Methods—Part 11: Determination of Air Void Characteristics in Hardened Concrete. Available online: https://standards.iteh.ai/catalog/standards/cen/8ad28fa8-b2a9-4217-a9b9-a6585b3ba66e/en-480-11-2005 (accessed on 31 May 2022).
- Glinicki, M.A.; Dąbrowski, M. Wpływ dodatku popiołu lotnego wapiennego na napowietrzenie mieszanki betonowej i charakterystykę porów w betonie (Effect of additon of calcerous fly ash on the air content of concrete mix and the pore characteristics of concrete). In XVII International Conference Ashes from Power Generation; Polska Unia UPS: Warsaw, Poland, 2019. [Google Scholar]
- Valcuende, M.; Parra, C.; Marco, E.; Garrido, A.; Martínez, E.; Cánoves, J. Influence of limestone filler and viscosity-modifying admixture on the porous structure of self-compacting concrete. Constr. Build. Mater. 2012, 28, 122–128. [Google Scholar] [CrossRef]
- Gołaszewska, M.; Giergiczny, Z. Influence of limestone addition to cement on rheological properties of mortars. In Proceedings of the 12th fib International PhD Symposium in Civil Engineering, Prague, Czech Republic, 29–31 August 2018. [Google Scholar]
- Al-Kheetan, M.J.; Rahman, M.M.; Ghaffar, S.H.; Al-Tarawneh, M.; Jweihan, Y.S. Comprehensive investigation of the long-term performance of internally integrated concrete pavement with sodium acetate. Results Eng. 2020, 6, 100110. [Google Scholar] [CrossRef]
- Persson, B. Assessment of Chloride Migration Coefficient, Salt Frost Resistance, Internal Frost Resistance and Sulphate Resistance; TVBM-3100; Lund Institute of Technology: Lund, Sweden, 2001; Volume 86. [Google Scholar]
- El-Hawary, M.; Nouh, K. Properties and sustainability of concrete containing fillers. Aust. J. Civ. Eng. 2018, 16, 96–105. [Google Scholar] [CrossRef]
- Kadri, E.H.; Aggoun, S.; De Schutter, G.; Ezziane, K. Combined effect of chemical nature and fineness of mineral powders on Portland cement hydration. Mater. Struct. 2010, 43, 665–673. [Google Scholar] [CrossRef]
- Panesar, D.K.; Aqel, M.; Rhead, D.; Schell, H. Effect of cement type and limestone particle size on the durability of steam cured self-consolidating concrete. Cem. Concr. Compos. 2017, 80, 175–189. [Google Scholar] [CrossRef]
Publisher’s Note: MDPI stays neutral with regard to jurisdictional claims in published maps and institutional affiliations. |
© 2022 by the authors. Licensee MDPI, Basel, Switzerland. This article is an open access article distributed under the terms and conditions of the Creative Commons Attribution (CC BY) license (https://creativecommons.org/licenses/by/4.0/).

















