Abstract
This study employed density functional theory (DFT) to investigate the structural, mechanical, thermodynamic, and electronic properties of monoclinic CuP2 and hexagonal Cu3P. The analysis confirmed the mechanical stability of both compounds, with distinct anisotropic behaviors arising from crystallographic symmetries. Cu3P exhibits a higher bulk modulus (130.1 GPa), indicating superior resistance to volumetric compression, while CuP2 demonstrates greater shear (52.9 GPa) and Young’s moduli (133.3 GPa), reflecting enhanced stiffness and tensile resistance. The K/G ratio (1.749 for CuP2 vs. 3.120 for Cu3P) and Cauchy pressure analyses revealed the brittle nature of CuP2, with covalent bonding, and the ductility of Cu3P, with metallic bonding. The thermodynamic evaluations highlighted the higher Debye temperature of CuP2 (453.1 K) and its lattice thermal conductivity (8.37 W/mK), suggesting superior heat dissipation, whereas Cu3P shows greater thermal expansion (38.4 × 10−6/K) and a higher volumetric heat capacity (3.29 × 106 J/m3K). The electronic structure calculations identified CuP2 as a semiconductor with a 0.824 eV bandgap and Cu3P as a conductor with metallic states at the Fermi level. These insights are critical for optimizing Cu-P compounds in microelectronic packaging, where thermal management and mechanical reliability are paramount.
1. Introduction
Phosphorus (P) in solder compositions can improve their performance of advanced packaging. As a deoxidizing agent, it reduces tin oxidation and dross formation, which can hinder solder flow and weaken joint reliability [1,2,3]. Phosphorus also strengthens solder joints by refining the microstructure, reducing the grain size, and enhancing the wetting properties. These improvements mitigate the effects of defects and increase durability under thermal and mechanical stress. In Sn-9Zn solder, phosphorus refines Zn-rich phases, leading to a more uniform zinc distribution that enhances mechanical strength, thermal fatigue resistance, and corrosion resistance [2]. Phosphorus also improves thermal stability by reducing crack initiation and propagation at grain boundaries, increasing fatigue resistance in applications exposed to temperature fluctuations, such as automotive and aerospace electronics [2]. Its corrosion resistance is valuable in humid or corrosive environments, supporting long-term reliability [2]. However, excessive phosphorus promotes the formation of brittle phosphide compounds, especially copper phosphides, which reduce ductility and increase the risk of cracking under stress [4,5]. These brittle phases create stress concentrations that may lead to premature joint failure in high-reliability applications [4]. Cheng et al. [5] reported that increased phosphide thickness correlates with reduced fatigue life in 3D chip-on-chip packaging, highlighting its negative impact on joint reliability.
According to the Cu-P binary phase diagram by Yu et al. [6], CuP2 and Cu3P are the main copper phosphide compounds in copper-based brazing materials, as shown in Figure 1. Their formation affects the microstructural evolution, mechanical properties, and brazing joint performance, particularly under high stress. The presence of CuP2 and Cu3P in copper-based solders influences reliability and service life. Kanatzidis et al. [7] synthesized CuP2 by placing a Cu-P sample in a Sn flux with an atomic ratio of Sn, Cu, and P of 1:2:10. The reaction occurred at 1150 °C for one day, followed by cooling at a rate of 5 °C per hour to 550 °C, forming CuP2. Jang et al. [8] studied electromigration in Cu/Sn/Electroless Ni-P solder interconnects and found that phosphorus migrated toward the anode, leading to CuP2 formation after 50 h at 200 °C. Liu et al. [9] examined interfacial reactions in Sn-Cu-based solder alloys by melting a Sn-5P intermediate alloy at 800 °C for three hours, producing needle-like CuP2, as shown in Figure 2. This demonstrates the role of phosphorus in compound formation and its impact on the mechanical and thermodynamic properties of solder materials.
Figure 1.
Binary phase diagram of the Cu-P system [6].
Figure 2.
SEM micrograph and associated EDS elemental mapping for dross of Sn-0.7 Cu doped with 0.02 wt% P [9].
The formation of Cu3P has been studied due to its relevance in brazing and soldering applications. Pfeiffer et al. [10] synthesized Cu3P by applying a red phosphorus suspension in ethanol onto copper foil, followed by heating at 70 °C in air. This low-temperature solid-state reaction provides a simple and cost-effective method for producing Cu3P on copper substrates. Aitken et al. [11] synthesized polycrystalline Cu3P under solvothermal conditions by reacting red phosphorus with copper sources at 150–200 °C for one to two days in water, demonstrating the adaptability of the process. Zhang et al. [12] investigated Cu3P formation on pure copper, observing that a red phosphorus film formed on the surface after ethanol evaporation. For brazing, 25 mm × 25 mm × 2 mm workpieces were prepared. A Cu-Ni-Sn-P filler containing 15.7% Ni, 9.3% Sn, 6.5% P, and 68.5% Cu was melt-spun into 30 μm thick, 20 mm wide amorphous foils. Brazing was performed in a vacuum furnace at 1 × 10−2 Pa with a heating rate of 15 °C per minute and a dwelling time of 5 to 30 min. After cooling, a thick Cu3P film was observed, confirming its formation, as shown in Figure 3. Ma et al. [13] synthesized CuP2 and Cu3P using wet-chemical methods with red phosphorus as the precursor. X-ray diffraction, SEM, TEM, and XPS analyses showed that CuP2 is thermodynamically more stable, whereas Cu3P forms more readily under various conditions, particularly in solvothermal and low-temperature reactions. The phase balance depends on the synthesis conditions such as the temperature, reaction time, and precursor.
Figure 3.
SEM image of Cu3P [12].
Although extensive research has examined the formation mechanisms and properties of CuP2 and Cu3P compounds [7,8,9,10,11,12,13,14,15,16,17], their physical and mechanical characteristics remain insufficiently understood. This knowledge is crucial for optimizing phosphorus-enhanced solder alloys, particularly in microelectronic packaging, where thermal fatigue resistance is a key design consideration. Despite advancements in the field, critical knowledge gaps persist, limiting the practical application of these compounds. For instance, Jong et al. [14] employed first-principles simulations to investigate the thermoelectric properties of CuP2, yet their study did not extend to its broader mechanical behavior. Similarly, Ma et al. [15] predicted select mechanical properties of Cu3P, but many fundamental aspects of its structural and thermodynamic characteristics remain unexplored. Given that the reliability of phosphorus-containing compounds in advanced interconnect technology strongly depends on a comprehensive understanding of their material properties, further investigation is essential. This need becomes even more pronounced as the dimensions of micro-bumps in next-generation ultra-fine-pitch applications shrink to just a few microns, increasing the demand for precise mechanical and thermodynamic characterization. However, current research on this subject remains extremely limited [14,15].
To address this gap, this study systematically investigated the mechanical, thermodynamic, and electronic properties of monoclinic CuP2 and hexagonal Cu3P using first-principles density functional calculations [18] within the framework of the pseudopotential method and generalized gradient approximation (GGA) [19]. The mechanical properties were analyzed using the Voigt–Reuss–Hill approximation [20] to determine the effective polycrystalline elastic behavior, providing a comprehensive assessment of the mechanical stability and anisotropy of these intermetallic compounds. The validity of the theoretical models was established through comparisons with prior theoretical studies [14,15] and the available experimental data [21,22]. The investigated mechanical properties included elastic moduli, anisotropy, brittleness, ductility, fracture toughness, and microhardness, all of which are essential for evaluating the structural integrity and potential applications of these materials in solder interconnects. The thermodynamic analyses focused on the Debye temperature, heat capacity, coefficients of thermal expansion (CTEs), and thermal conductivities, encompassing both lattice thermal conductivity and minimum thermal conductivity. Additionally, this study examined the directional dependence of elastic properties, offering insights into the anisotropic mechanical behavior of CuP2 and Cu3P. The electronic properties were characterized through band structure and density of states calculations, providing fundamental insights into the electronic behavior of these intermetallic compounds. The electron localization function was employed to analyze the chemical bonding characteristics and charge distribution, facilitating a deeper understanding of the bonding interactions within the crystal structure.
2. Computational Method and Details
In this study, an extensive ab initio investigation based on density functional theory (DFT) [18,19] was conducted using the Cambridge Serial Total Energy Package (CASTEP) [23] to evaluate the physical properties and behavior of CuP2 and Cu3P. CASTEP has long been widely recognized and used by researchers for analyzing the properties, behaviors, and fundamental mechanisms of various critical materials, including metals and compounds, as documented in Refs. [24,25,26,27]. An ultrasoft pseudopotential [28] was used to describe the interactions between ions and electrons, while the exchange-correlation energy was approximated using the Perdew–Burke–Ernzerhof (PBE) GGA [19], which has proven effective in similar investigations. Moreover, the ground state configuration of the crystals was obtained through energy minimization using the Broyden–Fletcher–Goldfarb–Shanno (BFGS) quasi-Newton algorithm [29].
For pseudo atomic operations, the valence electron configurations employed were [3d10 4s1] for Cu and [3s2 3p3] for P. The plane wave basis set cut-off was fixed at 440 eV for both CuP2 and Cu3P. Brillouin-zone sampling [30] used 10 × 10 × 8 and 14 × 14 × 8 k-point meshes for CuP2 and Cu3P, respectively, which were generated by the Monkhorst–Pack algorithm [31]. During geometry optimization, stringent convergence thresholds were applied to ensure high accuracy; the maximum energy change, force, stress, and ionic displacement were set to 5 × 10−6 eV per atom, 0.01 eV/Å, 0.02 GPa, and 5 × 10−4 Å, respectively, providing a robust framework for reliable results.
3. Results and Discussion
3.1. Structural Properties
Classified within the P21/c space group, the monoclinic CuP2 crystal exhibits symmetry elements essential to its material properties. In contrast, the hexagonal Cu3P crystal belongs to the P63cm space group, reflecting distinct crystallographic symmetry. These classifications are crucial for understanding the symmetry operations and atomic arrangements that define their properties. The atomic positions of copper and phosphorus in CuP2 and Cu3P are listed in Table 1 and Table 2 [21,22], providing detailed insights into their configurations. Figure 4 illustrates their crystal structures, further clarifying the atomic distributions within the unit cells.
Table 1.
Atomic coordinates for CuP2.
Table 2.
Atomic coordinates for Cu3P.
Figure 4.
Crystal structure of (a) monoclinic CuP2 unit cell and (b) hexagonal Cu3P unit cell.
Through structural optimization based on experimentally derived X-ray diffraction (XRD) data [21,22], the equilibrium lattice parameters and relaxed atomic configurations of CuP2 and Cu3P were determined at their lowest energy states. This process ensures that the theoretical models closely align with experimental observations. The relaxed atomic coordinates, also presented in Table 1 and Table 2, provide key insights into the atomic stability. The lattice constants for CuP2 were found to be 5.789 Å, 4.799 Å, and 7.510 Å, while those for Cu3P were 6.966 Å, 6.966 Å, and 7.190 Å, as summarized in Table 3.
Table 3.
Calculated lattice constants a, b, and c (Å), equilibrium volume V (Å3), Cauchy pressures (GPa), Kleinman parameter, bulk modulus K (GPa), shear modulus G (GPa), Young’s modulus E (GPa), Poisson’s ratio ν, and ratio of bulk modulus to shear modulus K/G of CuP2 and Cu3P.
Furthermore, the equilibrium unit cell volumes for CuP2 and Cu3P were meticulously calculated to be 192.51 Å3 and 302.13 Å3, respectively. These calculated values exhibit a remarkable degree of consistency with those in the existing literature, demonstrating deviations in the lattice constants and unit cell volumes ranging from approximately 0.15 to 0.65% and 0.47 to 1.61% for CuP2, and from 0.10 to 0.65% and 0.36 to 0.85% for Cu3P. Such minimal discrepancies indicate the precision of the structural optimization procedures applied in this study. The strong concordance between the calculated lattice parameters and experimental data attests to the robustness of the theoretical approach, further affirming the reliability of the computational models employed in this study.
3.2. Mechanical Properties of Single-Crystalline and Polycrystalline CuP2 and Cu3P Crystals
Elastic coefficients connect microscopic and macroscopic physical properties, describing structural stability and stiffness. These coefficients characterize mechanical behavior by quantifying the resistance to an applied stress. Elastic constants can be determined using the generalized formulation of Hooke’s law, allowing for an evaluation of mechanical stability and deformation. This method provides a basis for analyzing material responses to stress, ensuring an accurate assessment of behavior under a load. The generalized formulation of Hooke’s law, outlined below, serves as a fundamental tool for predicting and quantifying elastic responses to external forces.
The Cauchy stress tensor, denoted as σij, and the infinitesimal strain tensor, represented as εkl, correspond to the stress and strain tensors, respectively. The elastic stiffness tensor is denoted as Cijkl. It is often beneficial to use matrix notation, known as Voigt notation, to express Hooke’s law. By leveraging the symmetry in the stress and strain tensors, they can be represented as six-dimensional vectors in an orthonormal coordinate system (e1, e2, e3):
Then, the stiffness tensor can be expressed as
Hooke’s law is written as
For the monoclinic CuP2 crystal, the stiffness matrix consists of thirteen independent elastic constants, as shown below [32]:
On the other hand, the stiffness matrix for the hexagonal Cu3P crystal includes five independent elastic constants [33]:
Once the stiffness matrix is determined, the compliance matrix [Sij], which is the inverse of the stiffness matrix [Cij], can be calculated. In this study, the elastic constants were obtained by performing linear fitting with strain values of ±0.001 and ±0.003. It should be noted that the calculated elastic constants for the crystal must be positive, and should satisfy the following mechanical stability criteria [34].
For a monoclinic CuP2 crystal,
where
For a hexagonal Cu3P crystal,
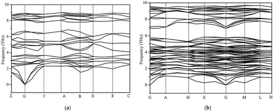
The elastic constants of CuP2 and Cu3P, presented in Table 4, satisfy all the mechanical stability criteria when substituted into the corresponding equations (i.e., Equations (7) to (23)). This confirmed that both CuP2 and Cu3P single crystals are mechanically stable, supporting the validity of the present theoretical calculations. To further verify their stability, phonon dispersion calculations were performed, as shown in Figure 5. For CuP2, the phonon dispersion shows clear separation between acoustic and optical branches, with a lower phonon density in the mid-frequency range. The acoustic modes smoothly evolve from the Γ-point, and the absence of imaginary frequencies across the Brillouin zone confirmed its dynamical stability. A notable dip in the lowest acoustic branch along certain high-symmetry directions suggests anisotropic lattice vibrations. The relatively fewer optical branches resulted from a smaller number of atoms per unit cell, leading to simpler vibrational interactions.
Table 4.
The calculated elastic constants of CuP2 and Cu3P (GPa).
Figure 5.
The phonon dispersion curves of (a) CuP2 and (b) Cu3P single crystals.
Cu3P exhibits a denser phonon dispersion spectrum, particularly in the mid-frequency region, where closely spaced phonon branches indicate stronger vibrational coupling between atoms. This higher phonon density arises due to the larger unit cell, introducing more optical modes. Despite this complexity, the absence of imaginary frequencies confirmed the dynamical stability of Cu3P. However, the overlapping and intricate dispersion of optical phonons suggest stronger Cu–P interactions, which may enhance phonon–phonon scattering and affect thermal transport. A comparison of CuP2 and Cu3P highlighted the differences in vibrational behavior. The lower phonon density and clear separation between acoustic and optical modes in CuP2 suggest simpler vibrational interactions, while the denser phonon branches in Cu3P indicate stronger coupling due to its more complex atomic arrangement. These variations in phonon dispersion suggest differences in thermal conductivity, mechanical stiffness, and anharmonic effects, influencing their potential applications in electronic and thermoelectric materials.
The elastic constants C11, C22, and C33 describe the resistance of the material to linear compression along the [100], [010], and [001] crystallographic directions, respectively. These values determine how the material responds to unidirectional stress. In monoclinic CuP2, C11 > C33 > C22, indicating that the bonding strength and compressibility are highest along [100], followed by [001] and [010]. The stronger bonding in the [100] direction suggests greater atomic interactions and resistance to compression, highlighting the anisotropic nature of CuP2. In contrast, for hexagonal Cu3P, C33 is slightly higher than C₁₁, suggesting that compressibility along [001] marginally exceeds that along [100]. Although Cu3P exhibits lower anisotropy, its mechanical response remains direction-dependent. Shear elastic constants C44, C55, and C66 describe the resistance to shear deformation in different crystallographic planes. C44 corresponds to shear on the (100) plane along [010], C55 represents shear on the (010) plane along [001], and C66 measures shear on the (001) plane along [100]. These constants characterize how CuP2 and Cu3P respond to shear stress in different orientations.
In both CuP2 and Cu3P, the shear elastic constants are lower than their corresponding axial constants, indicating that both materials are more susceptible to shear than to compressive stress. This suggests that deformation occurs more readily under shear forces, making shear properties a critical factor in assessing structural performance. The lower shear resistance implies that internal bonding provides less constraint against shear stress, making these materials more prone to deformation under forces parallel to the crystallographic planes. For CuP2, C44 > C55 > C66, indicating that the material has the greatest shear resistance along [010] on the (100) plane and the weakest resistance along [100] on the (001) plane. This variation emphasizes the anisotropic nature of CuP2, where its atomic arrangement strongly influences its mechanical behavior. In Cu3P, C66 > C44, suggesting that the shear resistance is higher along [100] on the (001) plane than along [010] on the (100) plane. These differences highlight how crystallographic orientation governs the mechanical response in both compounds.
The concept of Cauchy pressure [35] helps differentiate between ductile and brittle materials. A positive Cauchy pressure generally indicates ductility, while a negative value suggests brittleness. It also reflects the bonding nature, with positive values typically associated with ionic bonding and negative values with covalent bonding, which influence mechanical behavior. For monoclinic CuP2, the Cauchy pressure is given by C23 − C44 for the (100) plane, C13 − C55 for the (010) plane, and C12 − C66 for the (001) plane [35]. For hexagonal Cu3P, C13 − C44 applies to the (100) and (010) planes, while C12 − C66 applies to the (001) plane [35]. As shown in Table 3, CuP2 exhibits a negative Cauchy pressure in the (100) and (010) planes, indicating a brittle nature. This suggests strong covalent bonding, which restricts plastic deformation and increases the likelihood of fracture under stress. In contrast, Cu3P has positive Cauchy pressure in all three planes, indicating greater ductility. The positive values point to metallic bonding, which allows for atomic flexibility and facilitates plastic deformation without fracturing. The combination of metallic and ionic bonding in Cu3P results in a more adaptable atomic arrangement, improving its mechanical resilience. Compared to CuP2, Cu3P exhibits greater structural flexibility and is therefore less susceptible to brittle failure.
The bulk modulus (K) represents the resistance of a material to volume changes under pressure, while the shear modulus (G) describes the resistance to shear deformation [36]. In Cu2P and Cu3P, the lower value of G relative to K (see Table 3) suggests that shear deformation is the primary limiting factor in their mechanical strength. Young’s modulus (E) is the ratio of tensile stress to tensile strain, reflecting elasticity and resistance to length changes [37], and is also relevant for thermal shock resistance. Higher E values indicate greater stiffness. Poisson’s ratio (ν), which ranges from −0.5 to 0.5, describes the ratio of transverse to axial strain under loading; higher values suggest greater plasticity, which is important for materials requiring deformability. These mechanical properties for polycrystalline materials can be derived from independent elastic coefficients using the Voigt–Reuss method [38]:
where KV and KR stand for the upper (Voigt) and lower (Reuss) bounds of the bulk modulus (K) of the polycrystalline aggregate, respectively, and GV and GR represent those of G. Furthermore, the effective K and G can be assessed using the Voigt–Reuss–Hill approximation [20], which is written as a geometric mean:
Additionally, through the calculated polycrystalline K and G, the effective E and ν of Cu2P and Cu3P can be calculated as follows:
The calculated K, G, E, and ν for polycrystalline CuP2 and Cu3P are presented in Table 3. However, at present, only the mechanical properties of Cu3P (K, G, E, and ν) are available for comparison. The results obtained in this study agree closely with those reported in the theoretical literature [15], affirming the accuracy of the present study. The data reveal that CuP2 has higher G and E values than Cu3P, indicating a greater resistance to shear and tensile deformation, whereas the lower K of CuP2 compared to Cu3P suggests less resistance to uniform compression. This contrast highlights the distinctive mechanical behaviors of these compounds under different stress conditions.
Pugh [39] introduced an empirical relationship using the K/G ratio to differentiate between ductile and brittle behaviors. A K/G value above approximately 1.75 indicates ductility, while a value below this threshold suggests brittleness. The calculated K/G ratio for polycrystalline CuP2 is 1.749, slightly below the threshold, indicating that CuP2 tends to behave as a brittle material, though its proximity to the threshold suggests it may exhibit limited ductility under certain conditions. In contrast, Cu3P, with a K/G ratio of 3.120, demonstrates a significantly more ductile nature. These observations offer essential insights into the mechanical characteristics of CuP2 and Cu3P, which is critical for evaluating their suitability in applications where mechanical properties are paramount.
In abrasive wear-resistance applications, material hardness plays a critical role. Teter et al. [40] proposed a linear relationship between Vickers hardness (Hv) and the shear modulus, especially for brittle materials, indicating that an increase in the shear modulus directly enhances hardness. However, hardness is not solely dependent on the shear modulus; it is also closely related to the bulk modulus, a dual dependency that has attracted significant research.
Building on earlier work, Chen et al. [41] introduced a more sophisticated nonlinear correlation model that incorporates both the bulk and shear moduli to more accurately represent the relationship between elastic moduli and hardness. Despite these improvements, it was later found that under certain conditions, this nonlinear model could yield unrealistic outcomes, notably negative Vickers hardness values. This issue primarily arose from the inclusion of the final correlation term expressed as “−3”. Such results raised concerns about the applicability of the model across all material types and prompted further revisions. To address and mitigate this issue, Tian et al. [42] later introduced a modified correlation model, which was specifically designed to alleviate and reduce the likelihood of such problematic outcomes. The revised model is represented by the following equation:
This formula provides a more accurate and reliable prediction of Vickers hardness across a wider range of materials. Tian’s modification not only resolves the concern about negative hardness values but also ensures that the model remains valid for a broader spectrum of materials, thus improving its applicability in practical scenarios where hardness estimation is crucial for design and material selection. Materials with a Vickers hardness exceeding 40 GPa are typically classified as superhard materials [43].
The computed Vickers hardness values for the two polycrystalline compounds, CuP2 and Cu3P, are shown in Table 5. These values fall well below the superhard classification threshold, indicating that both compounds have relatively low densification. Furthermore, CuP2 exhibits a higher Vickers hardness than Cu3P, suggesting that it is inherently harder. This finding is consistent with the Cauchy pressure analysis, which showed that CuP2 has a negative Cauchy pressure indicative of non-metallic directional bonding that is typically associated with increased hardness. Moreover, the linear correlation between hardness and abrasive wear resistance [44] implies that the superior hardness of CuP2 will lead to better abrasive wear resistance compared to Cu3P.
Table 5.
Calculated Vickers hardness Hv (GPa), fracture toughness KIC (MPa·m1/2), plasticity index δ, universal anisotropy index AU, equivalent Zener anisotropy index Aeq, universal log-Euclidean anisotropy index AL, percentage of elastic anisotropy in both compressibility AK (%) and shear resistance AG (%), and shear anisotropic factors A1, A2, and A3 of CuP2 and Cu3P.
Niu et al. [45] developed a precise and comprehensive fracture toughness model applicable to covalent and ionic crystals, metals, and compounds. This model accounts for fundamental differences among these materials by introducing enhancement factors (α), which are composed of two key components: the relative density of states at the Fermi level and the atomic electronegativity. By incorporating these parameters, the model effectively captures the distinctive bonding characteristics and electronic structures of various materials. In particular, the compound model is formulated to address the unique bonding nature that involves contributions from both metallic and non-metallic elements. The calculation framework for determining the fracture toughness of compounds is as follows:
where V represents the volume of each unit cell, while K and G denote the shear modulus and bulk modulus, respectively. The enhancement factor α is employed to differentiate between covalent crystals, ionic crystals, and metals, accounting for the distinct bonding characteristics in these materials. The term g(EF)R refers to the relative density of the states of the alloy, with g(EF) representing the density of states at the Fermi level for the alloy and g(EF)FES corresponding to the density of states for the hydrogen atom. Additionally, the factor fEN addresses the role of electronegativity in influencing the properties of the material. For instance, in the case of Cu and P, the electronegativity values are xₐ = 1.90 for Cu and xᵦ = 2.19 for P. These values reflect the tendency of atoms to attract electrons, influencing the bonding strength. The parameters β and γ, which are determined through data fitting, were found to be 0.3 and 8, respectively. For a compound AmBn, , , and refer to the number of possible combinations, providing a framework for calculating the interactions between the constituent elements.
Table 5 shows the calculated fracture toughness values for the CuP2 and Cu3P, which are 1.111 and 1.124 MPa·m1/2, respectively. The closeness of these values indicates that both compounds exhibit comparable fracture toughness characteristics. These values are consistent with the typically low toughness associated with compounds, as reported by Niu et al. [45]. The marginal difference in fracture toughness between CuP2 and Cu3P implies that although their mechanical properties are quite similar, Cu3P demonstrates a slightly higher resistance to crack propagation. This subtle advantage may render Cu3P more favorable for applications where improved fracture toughness, even by a small margin, is beneficial.
The index δ serves as a valuable tool for assessing the plasticity of a material [46], as well as evaluating its dry lubricating properties. The formulation of this index is
This formulation shows that a high bulk strength combined with a low shear resistance improves dry lubricity. A material with a larger δ value exhibits better dry lubricating properties, lower friction, and a greater plastic strain capacity. These properties are important in dry conditions where reducing friction and allowing plastic deformation enhance durability. Optimizing both bulk and shear properties improves performance in such environments, making the δ ratio a useful measure of deformation behavior and lubrication efficiency. The δ values for CuP2 and Cu3P, presented in Table 5, are 1.2 and 3.6, respectively. This indicates that Cu3P is significantly more ductile than CuP2. This result aligns with the Cauchy pressure and K/G ratio analyses, which also showed that Cu3P has greater ductility, while CuP2 is brittle. These findings highlight the distinct mechanical responses of CuP2 and Cu3P under stress and deformation.
3.3. Characterization of Elastic Anisotropic Properties
Elastic anisotropy in crystalline materials affects their physical properties such as plastic deformation, crack propagation, and elastic stability. It influences how materials respond to mechanical stress, impacting their durability and performance under different loading conditions. This behavior arises from variations in bonding strength and atomic arrangements across crystallographic planes, which play a key role in mechanical performance, particularly in engineering applications where directional properties affect structural stability.
Shear anisotropy factors provide a way to quantify this behavior by measuring the differences in bonding strength across crystal planes. These factors indicate how a material responds to shear forces along different directions, reflecting variations in deformation and fracture tendencies under mechanical loading. Their values help describe the directional dependence of the mechanical properties, offering a clearer understanding of anisotropic effects in structural applications.
In this study, the universal anisotropy index (AU), equivalent Zener anisotropy index (Aeq), universal log-Euclidean anisotropy index (AL), shear anisotropic indexes, and percentage of anisotropy in compressibility and shear were investigated. The universal anisotropy index, which provides a measure of anisotropy independent of the crystal symmetry, can be determined using the following equation [47]:
GV, GR, KV, and KR are calculated using Voigt bounds and Reuss bounds. According to Equation (38), a larger fractional difference between the Voigt and Reuss estimates for the bulk or shear modulus signifies a greater degree of anisotropy within the crystal structure. Based on the values of GV/GR and KV/KR, it is evident that GV/GR exerts a more significant influence on the universal anisotropy index compared to KV/KR. The universal anisotropy index can only assume values that are zero or positive. A value of zero indicates that the crystal is isotropic, while any deviation from zero reflects the presence of anisotropy.
The calculated results, shown in Table 5, indicate that the universal anisotropy index for both CuP2 and Cu3P is non-zero, confirming that these two compounds exhibit anisotropic behavior. Furthermore, the AU value for CuP2 is 0.65, while that for Cu3P is 0.13. Since the AU value of CuP2 deviates further from zero, it indicates a higher degree of anisotropy compared to Cu3P. This suggests that CuP2 demonstrates a more pronounced anisotropic nature in its mechanical properties than Cu3P.
The equivalent Zener anisotropy index can be expressed as the following equation [48]:
It can be observed that the equivalent Zener anisotropy index is calculated based on the value of the universal anisotropy index. For an isotropic crystalline material, the equivalent Zener anisotropy index is exactly equal to one. However, the Aeq values for both CuP2 and Cu3P, presented in Table 5, deviate from one, indicating that both compounds inherently exhibit anisotropic behavior. Moreover, the Aeq value for CuP2 is further from one compared to that of Cu3P, suggesting that CuP2 exhibits a significantly higher degree of anisotropy. This disparity further emphasizes the distinct mechanical behavior of CuP2 and Cu3P, reinforcing the conclusion that CuP2 is more anisotropic than Cu3P in terms of its structural and elastic properties.
The universal log-Euclidean anisotropy index, applicable to all crystal symmetries, can be expressed as follows [49]:
A crystal is perfectly isotropic when the log-Euclidean anisotropy index equals zero. The calculated AL values for CuP2 and Cu3P are 0.26 and 0.06, respectively, as shown in Table 5. Since neither value is zero, both materials exhibit anisotropic behavior. Moreover, the AL value for CuP2 deviates more from zero than that of Cu3P, indicating a higher degree of anisotropy. In general, AL values range from 0 to 10.26, with nearly 90% of solids having AL values above one, demonstrating varied anisotropy among materials. Additionally, the AL index may indicate the presence of a layered or lamellar structure in a crystal [49]. Materials with pronounced layered structures typically have higher AL values, while those without such features show lower values. The low AL values for CuP2 and Cu3P suggest that these compounds do not possess a significant layered structure.
The percentage of elastic anisotropy in both a material’s compressibility and shear resistance can be quantified using the following two dimensionless parameters [48]:
A zero value for AK and AG indicates isotropic behavior, whereas a value of 100% represents the maximum possible degree of anisotropy. The calculated results for both CuP2 and Cu3P are provided in Table 5. From these results, it is evident that Cu3P exhibits a lower degree of anisotropy under both compression and shear stress compared to CuP2. This is attributed to the fact that the AK and AG values for the Cu3P phase are significantly smaller than those of CuP2.
To provide a more detailed elucidation of the characteristics of shear anisotropy, the shear anisotropic factor is introduced, as it offers a quantitative metric to assess the degree of anisotropy in atomic bonding along various crystallographic directions in crystal planes. This factor serves as a precise indicator of the anisotropy present in the bonding between atoms in different crystal planes [50]. Specifically, the shear anisotropic factor for the {100} shear plane between the <011> and <010> crystallographic directions is
For the {010} shear planes between the <101> and <001> directions, it is
And for the {001} shear planes between the <110> and <010 > directions, it is
In the case of isotropic crystals, A1, A2, and A3, are all equal to unity, while any deviation from unity represents the amplitude of anisotropy of the crystal. The calculated shear anisotropy factors for CuP2 and Cu3P are presented in Table 5, revealing that the values for the {010} shear plane of CuP2 and the {001} shear plane of Cu3P are both approximately equal to 1. This suggests that these specific shear planes in CuP2 and Cu3P exhibit isotropic behavior. On the other hand, the remaining shear planes display notable elastic anisotropy, indicating variations in their mechanical response depending on the crystallographic direction. This analysis provides deeper insights into the anisotropic mechanical properties of CuP2 and Cu3P, particularly in terms of their shear behavior across different crystallographic planes.
Crystal orientation plays a crucial role in determining crystal anisotropy, making it essential to consider elastic anisotropy in each direction. In this study, changes in the three-dimensional (3D) surface construction illustrate the directional dependence of elastic anisotropy. The calculated directional elastic anisotropy clearly visualizes how mechanical properties vary with crystallographic orientation, offering a comprehensive understanding of anisotropic behaviors. The directional relationships of Young’s modulus, the shear modulus, and Poisson’s ratio were explored using the equations in [51]:
where Sijkl stands for the compliance coefficients, and a and b are the unit vectors. The unit vector a needs two angles θ and φ to describe it. In addition, the shear modulus requires another unit vector b, which is characterized by the angle χ. Moreover, unit vector b is perpendicular to unit vector a. The θ is in the range of 0 ~ π, and φ and χ are in range of 0 ~ 2π. The coordinates of the two vectors a and b are shown below:
Figure 6 presents the directional dependence of Young’s modulus for both CuP2 and Cu3P crystals, revealing the elastic anisotropy inherent in their crystallographic structures. Figure 7 and Figure 8 illustrate the maximum and minimum values of the directional shear modulus for CuP2 and Cu3P, respectively, while Figure 9 and Figure 10 depict the corresponding variations in Poisson’s ratio as a function of crystallographic direction. These figures collectively highlight the significant deviations from isotropic behavior, providing quantitative insights into the mechanical anisotropy of both intermetallic compounds. In addition, Figure 11 offers a comprehensive vectorial representation of the elastic directions, including their angular relationships and two-dimensional projections onto the xy, xz, and yz planes. This graphical interpretation serves to elucidate the orientation-dependent mechanical responses of the CuP2 and Cu3P crystals. The observed anisotropy contrasts markedly with the idealized isotropic case, which is typically represented by a perfect sphere, thereby underscoring the crystallographic influence on elastic behavior in these intermetallic systems. The variations in Young’s modulus, the shear modulus, and Poisson’s ratio indicate a higher degree of anisotropy in CuP2 compared to Cu3P. For the shear modulus and Poisson’s ratio, the blue curve shows the maximum values while the green curve shows the minimum. Figure 6 and Figure 11a illustrate the directional dependence of Young’s modulus for CuP2, with distinct patterns across various crystallographic planes, whereas Cu3P exhibits minimal variation, indicating lower anisotropy. Similarly, the two-dimensional projections of the shear modulus in Figure 11c,d for CuP2 reveal unique morphologies across different planes, while those for Cu3P display consistent values. Based on Poisson’s ratio, Figure 11e,f show that CuP2 has substantially greater anisotropy than Cu3P.
Figure 6.
Three-dimensional surface representation of the Young’s modulus of (a) CuP2 and (b) Cu3P.
Figure 7.
Three-dimensional surface representation of the maximum shear modulus of (a) CuP2 and (b) Cu3P.
Figure 8.
Three-dimensional surface representation of the minimum shear modulus of (a) CuP2 and (b) Cu3P.
Figure 9.
Three-dimensional surface representation of the maximum Poisson’s ratio of (a) CuP2 and (b) Cu3P.
Figure 10.
Three-dimensional surface representation of the minimum Poisson’s ratio of (a) CuP2 and (b) Cu3P.


Figure 11.
Two-dimensional projections of Young’s modulus, shear modulus, and Poisson’s ratio of CuP2 and Cu3P in xy, xz, and yz planes: (a) Directional Young’s modulus of CuP2, (b) Directional Young’s modulus of Cu3P, (c) Directional shear modulus of CuP2, (d) Directional shear modulus of Cu3P, (e) Poisson’s ratio of CuP2, and (f) Poisson’s ratio of Cu3P.
To gain a more comprehensive understanding of the elastic anisotropy of CuP2 and Cu3P, the maximum and minimum values of Emax, Emin, Gmax, Gmin, vmax, and vmin, along with the corresponding ratios Eₘₐₓ/Eₘᵢₙ, Gₘₐₓ/Gₘᵢₙ, and vₘₐₓ/vₘᵢₙ were systematically analyzed. The results are summarized in Table 6. For isotropic materials, the ratios of the maximum to minimum elastic modulus are equal to unity. On the other hand, for anisotropic materials, these ratios deviate from unity, with larger values indicating a higher degree of anisotropy. The results indicate that the ratios Emax/Emin, Gmax/Gmin, and vmax/vmin for CuP2 are 2.30, 2.20, and ∞, respectively, all of which are significantly greater than the corresponding values for Cu3P. This further demonstrates the considerably higher degree of anisotropy exhibited by CuP2 in comparison to Cu3P.
Table 6.
The values of Emax, Emin, Gmax, Gmin, vmax, and vmin, and the ratios of Emax/Emin, Gmax/Gmin, and vmax/vmin for CuP2 and Cu3P.
3.4. Thermodynamic Properties
The Debye temperature (ΘD) is a key parameter influencing many thermodynamic properties of solids, including thermal conductivity, lattice vibrations, interatomic bonding strength, melting temperature, thermal expansion, phonon-specific heat capacity, and elastic constants. Materials with stronger bonds, higher melting points, greater hardness, a faster mechanical wave velocity, and a lower average atomic mass typically exhibit higher Debye temperatures.
At temperatures above ΘD, all vibrational modes have energies roughly equal to kB T, while below ΘD, the higher frequency modes freeze, revealing the quantum nature of vibrations [52]. Notably, the Debye temperature calculated from the elastic constants closely matches that determined from low-temperature specific heat measurements, as acoustic modes govern vibrational excitations at low temperatures. These observations underscore the significance of ΘD in understanding the thermal behavior of materials and provide insight into their response to temperature fluctuations and the quantum basis of their vibrations. The Debye temperature, which is directly proportional to the average sound velocity, can be derived from the following relationship [53]:
where is Planck’s constant, kB is the Boltzmann constant, n is the number of atoms within the unit cell, NA is the Avogadro constant, ρ is the density, and the molecular weight is represented by M. The transverse sound velocity Vt and longitudinal sound velocity Vl can be used to calculate the average sound velocity Vm [54]:
As indicated in Table 7, the Debye temperature of CuP2 is notably higher, reaching 453.1 K, compared to Cu3P, which has a lower Debye temperature of 343.3 K. Moreover, there is a positive correlation between Debye temperature and thermal conductivity, meaning that materials with a higher Debye temperature generally exhibit superior thermal conductivity. Consequently, CuP2 shows greater thermal conductivity than Cu3P, reflecting the stronger bonding and more effective heat conduction properties of CuP2.
Table 7.
Calculated density ρ (g/m3), sound velocities Vl, Vt, and Vm (m/s), Debye temperature ΘD (K), thermal expansion coefficient α (1/K), volumetric heat capacity ρCₚ (J/m3K), wavelength of the dominant phonon at 300 K λdom (m), minimum thermal conductivity Kmin (W/mK), and lattice thermal conductivity Kph (W/mK) of CuP2 and Cu3P.
Thermal-induced stress in electronic packaging originates from differences in the coefficients of thermal expansion (CTE) among the materials, a factor that critically affects device longevity. Under thermal cycling, these mismatches generate stress that may eventually cause cracks at solder joints and other components, thereby reducing system reliability. At the solder–compound interface, thermal-induced stress is characterized by the following equation:
where σ is the thermal stress, αcompound is the CTE of the compound, αsolder is the CTE of the solder, ΔT is the difference in temperature, and v is Poisson’s ratio. The equation demonstrates that thermal stress is closely tied to the coefficient of thermal expansion. Therefore, ensuring reliability in electronic packaging requires a comprehensive understanding of the CTE of the materials involved. Accordingly, this study investigated the thermal expansion coefficients of CuP2 and Cu3P to provide valuable insights into their behavior under thermal stress and improve packaging reliability. The CTE (α) of a material can be calculated as follows [44]:
The results for the coefficients of thermal expansion for CuP2 and Cu3P are presented in Table 7. It can be observed from the table that the CTE of Cu3P is significantly higher than that of CuP2, indicating that Cu3P undergoes a greater degree of expansion when subjected to thermal exposure. This suggests that Cu3P exhibits a higher thermal expansion response compared to CuP2, which is indicative of the differing thermal behaviors of both compounds.
The heat capacity is a fundamental thermodynamic property of a material. Systems with a higher heat capacity generally exhibit enhanced thermal conductivity and lower thermal diffusivity. The volumetric heat capacity (ρCₚ) is defined as the thermal energy change per unit volume for a given temperature change, measured in Kelvin. At high temperatures, it can be calculated using Equation (56) [52]. This parameter is crucial in determining how efficiently a material stores and transfers thermal energy, thereby influencing its overall thermal performance in various applications.
Ω represents the volume occupied by an atom. Table 7 presents the calculated volumetric heat capacity, which shows that Cu3P has a higher value than CuP2. This indicates that Cu3P can store more thermal energy per unit volume, reflecting differences in their thermodynamic properties. The greater volumetric heat capacity of Cu3P suggests it may exhibit superior thermal performance under conditions where efficient thermal management is critical.
Phonons, quantized lattice vibrations, affect physical properties such as electrical conductivity, thermoelectric power, thermal conductivity, and heat capacity. The dominant phonon wavelength, λdom, is the wavelength at which the phonon distribution is maximal. For CuP2 and Cu3P at 300 K, λdom can be estimated using the following equation [44]:
T is the temperature in Kelvin. Materials characterized by a higher average sound velocity and shear modulus, and lower density generally exhibit longer dominant phonon wavelengths [44]. The values of the dominant phonon wavelength calculated for CuP2 and Cu3P are presented in Table 7. The results show that λdom for CuP2 is 162.7 × 10−12 m, while for Cu3P, it is 112.4 × 10−12 m. This significant difference indicates that CuP2 possesses a notably longer dominant phonon wavelength compared to Cu3P, reflecting the distinct differences in their underlying lattice dynamics and mechanical properties.
Lattice thermal conductivity (kph) measures the ability of a material to conduct heat via phonons in its crystal structure. It reflects the efficiency of heat transport through phonon propagation. Materials with high thermal conductivity are preferred for heat dissipation in electronic devices, while those with low conductivity serve as thermal barriers. In this study, the kph of CuP2 and Cu3P at room temperature (300 K) was calculated using the empirical formula proposed by Slack [55]:
where Mav stands for the average atomic mass, η refers to the cubic root of the average atomic volume, n denotes the total number of atoms in the unit cell, γ is the Grüneisen parameter, and T stands for the absolute temperature. The following relationships [55,56] can be employed to obtain the parameter γ and the factor A (γ):
where υ stands for the Poisson’s ratio. The calculated lattice thermal conductivities in Table 7 show a significant difference between the two compounds. Specifically, the lattice thermal conductivity of CuP2 is substantially higher than that of Cu3P, indicating a greater capacity for efficient heat transfer in its crystal structure. This difference can be attributed to variations in atomic bonding, crystal arrangement, and phonon-scattering mechanisms between the compounds. The superior lattice thermal conductivity of CuP2 suggests that it may be more advantageous for applications requiring effective thermal management, highlighting its potential utility in high-performance environments where optimized thermal dissipation is essential. These results underscore the critical role of thermal properties in material performance.
For high-temperature applications, understanding how a material behaves above the Debye temperature is important. The minimum thermal conductivity (kmin) refers to the lowest possible phonon thermal conductivity at high temperatures, where phonon modes become fully decoupled and heat transfer occurs only between neighboring atoms. Unlike other thermal properties, kmin is not influenced by defects such as dislocations, vacancies, or strain fields from impurities, as these affect phonon transport over distances much larger than those in interatomic spacing. This limit helps describe the thermal behavior in environments where phonon scattering plays a dominant role. Materials with higher sound velocities and Debye temperatures tend to exhibit higher kmin. In this study, Clark’s model [57] and Cahill’s model [58] were used to investigate the minimum thermal conductivities of CuP2 and Cu3P.
In Clarke’s model,
where Ma, M, and m represent the average atomic mass, molar mass, and total number of atoms in the unit cell, respectively.
In Cahill’s model,
where n is the number of atoms per unit volume. Table 7 shows the kmin values calculated using Clarke’s model and Cahill’s model. The data indicate that the kmin values from Clarke’s model are slightly lower than those from Cahill’s, likely because Clarke’s model neglects contributions from photons and phonons. Nonetheless, the ranking of thermal conductivity for each phase is consistent between the two methods. Notably, Cu2P exhibits higher kmin values, with 1.048 W·m−1·K−1 from Clarke’s model and 1.148 W·m−1·K−1 from Cahill’s, while Cu3P shows lower values of 0.873 W·m−1·K−1 and 1.009 W·m−1·K−1, respectively. This suggests that Cu2P possesses superior thermal conductivity, which facilitates rapid dissipation of thermal stress during temperature variations and helps mitigate the formation of thermal microcracks.
Thermal conductivity is strongly correlated with the Debye temperature, as lattice thermal conductivity reflects the thermal behavior of the crystal [59]. Total thermal conductivity depends on both lattice and electronic contributions; at low temperatures, with reduced electron–phonon scattering, the lattice component dominates despite its relatively low value. According to the Callaway–Debye model [60], lattice thermal conductivity is directly proportional to the Debye temperature. This is evident in Cu2P, which has a higher Debye temperature (453.1 K) and thermal conductivity compared to Cu3P (Debye temperature of 343.3 K and lower conductivity).
3.5. Electronic Properties
The electronic band structures of CuP2 and Cu3P, shown in Figure 12, describe the distribution of electronic states across high-symmetry points in the Brillouin zone, with the Fermi level set at 0 eV. The distinction between occupied and unoccupied states allows for a direct comparison of conduction behavior. CuP2 has a band gap of 0.824 eV separating the valence band maximum and conduction band minimum, confirming its semiconducting nature. The indirect band gap, identified by the misalignment of the valence and conduction band edges at different k-points, indicates that electronic transitions involve phonon interactions, influencing optical absorption and charge transport. The curvature of the bands reflects the charge carrier mobility, where dispersive bands correspond to a lower effective mass and higher mobility, while flatter bands indicate localized electronic states with reduced transport efficiency. The small band gap suggests that CuP2 can generate charge carriers at room temperature, though its conductivity differs from that of metals.
Figure 12.
Calculated band structure for (a) CuP2 and (b) Cu3P.
In contrast, the electronic structure of Cu3P exhibits multiple bands crossing the Fermi level, leaving no energy gap between the occupied and unoccupied states. This confirms Cu3P as a conductor, with a high density of states at the Fermi level, facilitating efficient charge transport. The band dispersion indicates variations in effective mass across the different crystallographic directions, with highly dispersive bands suggesting a low effective mass and high mobility, while flatter bands indicate localized states contributing to anisotropic conductivity. The absence of a band gap ensures that Cu3P conducts electricity under normal conditions without thermal excitation, distinguishing it from semiconductors and insulators.
To analyze the orbital contributions to the band structure and bonding characteristics, the total density of states (TDOS) and partial density of states (PDOS) of CuP2 and Cu3P were calculated, as shown in Figure 13, to provide insight into their electronic structures. The TDOS of CuP2 displays a band gap of 0.824 eV, confirming its semiconducting nature. The occupied states are concentrated below the Fermi level, with a peak just before the gap, while the conduction band remains unoccupied. In contrast, Cu3P exhibits a continuous TDOS across the Fermi level, confirming its metallic nature without an energy gap. The PDOS analysis revealed the contributions of atomic orbitals. In CuP2, the Cu d-orbital dominates the valence band, with a peak near −5 eV, while the Cu p-orbital shows a broader distribution. The Cu s-orbital has minimal contribution, appearing mainly in the deep valence region. The phosphorus orbitals also play a role, with the P d-orbital extending across the valence band and the P s-orbital localized at lower energy levels. The conduction band consists of hybridized Cu and P states, indicating orbital interactions.
Figure 13.
Calculated total and partial density of states (TDOS and PDOS) for (a) CuP2 and (b) Cu3P single crystals (Fermi level set to zero).
In Cu3P, the TDOS at the Fermi level is higher, reflecting a greater density of electronic states and an increased carrier concentration. The Cu d-orbital remains the primary contributor to the valence band, as it does in CuP2, but with a greater intensity, suggesting stronger electron localization. The Cu p-orbital contributes to both valence and conduction bands over a wider range, while the Cu s-orbital has a more prominent role than in CuP2. The P d-orbital extends broadly, and the P s-orbital appears as distinct peaks at lower energies. The substantial TDOS at the Fermi level suggests that Cu3P contains a high density of conduction electrons, facilitating charge transport.
The differences in TDOS and PDOS between CuP2 and Cu3P highlight their distinct electronic properties. The presence of a band gap in CuP2 classifies it as a semiconductor with limited intrinsic carrier excitation at room temperature, while the localized Cu d-states suggest moderate charge carrier mobility. In contrast, Cu3P, with no band gap and a continuous distribution of states at the Fermi level, exhibits metallic behavior with a high density of free carriers, ensuring strong electrical conductivity. The broader distribution of states in Cu3P indicates a more delocalized electronic structure, enhancing charge transport. Additionally, the localization of Cu d-states in CuP2 compared to Cu3P suggests differences in bonding. The stronger hybridization between Cu and P states in CuP2 near the valence band contributes to its structural rigidity and covalent character. In contrast, the delocalized electronic states in Cu3P indicate metallic bonding, where electrons move more freely within the crystal lattice.
Finally, to obtain important bonding information for the nanocrystals, their electron localization function distribution was analyzed, which is presented in Figure 14. The electron localization function visualization of CuP2 revealed a structure where the electron density is strongly concentrated around phosphorus atoms, shown in pink, forming well-defined regions of localization. The yellow and red areas indicate areas with high electron localization function values, suggesting that phosphorus retains a significant charge density, likely due to covalent bonding. Copper atoms, represented in red, are surrounded by regions with lower electron localization function values, where electron delocalization is more apparent. The contrast between localized electrons near phosphorus and the more dispersed regions around copper supports the semiconducting nature of CuP2. The electron localization function distribution suggests that charge transport in CuP2 is likely anisotropic, with electrons confined in certain crystallographic directions, affecting the material’s carrier mobility and conductivity properties.
Figure 14.
Electron localization function visualization of (a) CuP2 and (b) Cu3P single crystals.
In Cu3P, the electron localization function distribution exhibits a more diffuse electron localization pattern. The presence of a greater number of copper atoms significantly alters the electronic environment, leading to a less localized charge density distribution. Phosphorus atoms still exhibit relatively high electron localization function values, indicating some degree of localized bonding, but the surrounding regions suggest a more delocalized electronic structure. The lower degree of localization compared to CuP2 aligns with the metallic nature of Cu3P, as its band structure shows continuous electronic states at the Fermi level. The electron localization function visualization confirmed that charge carriers in Cu3P are not confined but instead have greater mobility, consistent with its metallic conduction ability. The differences in electron localization function between these two materials illustrate their distinct electronic behaviors. CuP2 displays strong electron localization, reinforcing its semiconducting properties, while Cu3P shows a more delocalized distribution, indicative of metallic conductivity. The visualizations provide direct evidence of how electron interactions shape the bonding nature and transport characteristics of these Cu-P compounds.
4. Conclusions
This comprehensive DFT-based study elucidated the contrasting structural, mechanical, thermodynamic, and electronic characteristics of CuP2 and Cu3P, offering actionable insights for their application in advanced electronics. CuP2, with a monoclinic structure, exhibits a high stiffness (Young’s modulus: 133.3 GPa), superior hardness (8.1 GPa), and exceptional thermal properties. In contrast, the hexagonal symmetry of Cu3P grants enhanced ductility (K/G = 3.120, plasticity index δ = 3.60) and fracture toughness (1.124 MPa·m1/2), suitable for applications requiring deformation tolerance. The contrasting elastic behaviors, evident from the higher anisotropy in CuP2 (Emax/Emin = 3.14) compared to the moderate anisotropy of Cu3P (Emax/Emin = 1.44), emphasize their divergent responses to mechanical loads. Thermally, CuP2 demonstrates efficient phonon-mediated heat dissipation, as indicated by its high Debye temperature (453.1 K), while Cu3P exhibits a notably elevated thermal expansion coefficient (38 × 10−6 K−1). Additionally, the enhanced ductility and fracture toughness of Cu3P reveal its suitability for use in flexible interconnections. The electronic analyses further delineated distinct electronic structures, with CuP2 displaying efficient phonon transport associated with its higher Debye temperature, and Cu3P was shown to have characteristics beneficial for accommodating thermal strains. These findings facilitate the strategic tailoring of Cu-P compounds in solder alloys, balancing thermal performance with mechanical durability for next-generation microelectronic applications. Subsequent research should focus on synthesis optimization, phase stability enhancement, and interfacial compatibility for practical implementation.
Author Contributions
Conceptualization, H.-C.C. and C.-F.Y.; data curation, C.-F.Y.; formal analysis, C.-F.Y.; investigation, C.-F.Y.; software, C.-F.Y.; validation, H.-C.C. and C.-F.Y.; visualization, C.-F.Y.; writing—original draft, C.-F.Y.; writing—review and editing, H.-C.C. and C.-F.Y.; funding acquisition, H.-C.C.; project administration, H.-C.C. All authors have read and agreed to the published version of the manuscript.
Funding
The work was partially supported by the National Science and Technology Council, Taiwan, ROC, under grant NSTC 113-2221-E-035-031-MY3.
Data Availability Statement
The data presented in this study are available on request from the corresponding author. The data are not publicly available at the moment because of further ongoing research.
Acknowledgments
The authors also thank the National Center for High-Performance Computing (NCHC) for computational resource support.
Conflicts of Interest
The authors declare no conflicts of interest.
References
- Liu, C.; Guo, L.; Lu, H.; Wang, Q.; Cai, S.; Zhang, R.; Zeng, Z. High-temperature Ga–P-modified Sn–0.7Cu-based solder: Oxidation resistance and solderability. J. Mater. Sci. Mater. Electron. 2025, 36, 248. [Google Scholar]
- Huang, H.Z.; Wei, X.Q.; Tan, D.Q.; Zhou, L. Effects of phosphorus addition on the properties of Sn-9Zn lead-free solder alloy. Int. J. Miner. Metall. Mater. 2013, 20, 563–567. [Google Scholar]
- Li, G.D.; Shi, Y.W.; Hao, H.; Xia, Z.D.; Lei, Y.P.; Gu, F. Effect of phosphorus element on the comprehensive properties of Sn–Cu. J. Alloys Compd. 2010, 491, 382–385. [Google Scholar] [CrossRef]
- Le, W.K.; Zhou, M.B.; Zhang, X.P. The effects of the decreasing joint size on interfacial microstructure and shear behavior of micro-scale BGA structure Cu/Sn–3.0Ag–0.5Cu/Cu joints under coupled electromechanical loads. J. Mater. Sci. Mater. Electron. 2022, 33, 1464–1479. [Google Scholar] [CrossRef]
- Wang, B.; Li, W.; Pan, K.; Huang, W.; Gong, Y. Size dependence on shear fatigue and fracture behavior of ball grid array structure Cu/Sn–3.0Ag–0.5Cu/Cu solder joints under current stressing. Front. Mater. 2024, 11, 1452773. [Google Scholar]
- Yu, J.Q. Practical Brazing Alloy Phase Diagram Manual; China Machinery Industry Publishing: Beijing, China, 2015; Volume 1, p. 745. [Google Scholar]
- Kanatzidis, M.G.; Pöttgen, R.; Jeitschko, W. The metal flux: A preparative tool for the exploration of intermetallic compounds. Angew. Chem. Int. Ed. 2005, 44, 6996–7021. [Google Scholar]
- Jang, J.W.; Ramanathan, L.N.; Frear, D.R. Electromigration behavior of lead-free solder flip chip bumps on NiP/Cu metallization. J. Appl. Phys. 2008, 103, 123506. [Google Scholar]
- Liu, C.; Peng, J.; Hu, J.; Cai, S.; Wang, X.J. Effects of phosphorus and germanium on oxidation microstructure of Sn–0.7Cu lead-free solders. J. Mater. Sci. Mater. Electron. 2023, 34, 20. [Google Scholar]
- Pfeiffer, H.; Tancret, F.; Brousse, T. Synthesis, characterization and electrochemical properties of copper phosphide (Cu3P) thick films prepared by solid-state reaction at low temperature: A probable anode for lithium-ion batteries. Electrochim. Acta 2005, 50, 4763–4770. [Google Scholar]
- Aitken, J.A.; Ganzha-Hazen, V.; Brock, S.L. Solvothermal syntheses of Cu3P via reactions of amorphous red phosphorus with a variety of copper sources. J. Solid State Chem. 2005, 178, 970–975. [Google Scholar]
- Zhang, J.; Yu, W.; Lu, W. Mechanical properties and microstructure of pure copper joints brazed with amorphous Cu68.5Ni15.7Sn9.3P6.5 filler metal. Int. J. Simul. Syst. Sci. Technol. 2016, 17, 24. [Google Scholar]
- Ma, X.; Huang, X.; Lachgar, A. Direct synthesis of CuP2 and Cu3P and their performance as electrocatalysts for hydrogen evolution, oxygen evolution, and oxygen reduction reactions. Solids 2024, 5, 140–150. [Google Scholar] [CrossRef]
- Jong, U.G.; Ri, C.H.; Pak, C.J.; Kim, C.H.; Cottenier, S.; Yu, C.J. Metal phosphide CuP2 as a promising thermoelectric material: An insight from a first-principles study. New J. Chem. 2021, 45, 21569. [Google Scholar] [CrossRef]
- Ma, X.; Cheng, F.; Huang, W.; He, L.; Ye, Z.; Yu, S.; Hu, L.; Yu, D.; Shen, H. First-principles calculations of the mechanical properties of doped Cu3P alloys. Materials 2024, 17, 1677. [Google Scholar] [CrossRef]
- Meena, P.; Kaur, M.; Kabra, K.; Rérat, M.; Sharma, G. First-principles calculations to investigate structural, electronic, optical and elastic properties of α-Ca3N2. J. Alloys Compd. 2023, 968, 172037. [Google Scholar] [CrossRef]
- Tong, Y.; Peng, X.; Liang, X.; Hu, Y.; Wang, J.; Fang, J.; Li, Y.; Yang, L.; Zhang, Z. First-principles and experiment perspectives of Hf alloying significantly strengthened TaW alloys. J. Alloys Compd. 2024, 997, 174955. [Google Scholar]
- Li, H.; Wang, Z.; Zou, N.; Ye, M.; Xu, R.; Gong, X.; Duan, W.; Xu, Y. Deep-learning density functional theory Hamiltonian for efficient ab initio electronic-structure calculation. Nat. Comput. Sci. 2022, 2, 367–377. [Google Scholar] [CrossRef] [PubMed]
- Raïâ, M.Y.; Masrour, R.; Hamedoun, M.; Kharbach, J.; Rezzouk, A.; Hourmatallah, A.; Benzakour, N.; Bouslykhane, K. Stability, magnetic, electronic, elastic, thermodynamic, optical, and thermoelectric properties of Co2TiSn, Co2ZrSn, and Co2HfSn Heusler alloys from calculations using generalized gradient approximation techniques. J. Mater. Sci. Mater. Electron. 2022, 33, 20229–20256. [Google Scholar] [CrossRef]
- Hill, R. The elastic behaviour of a crystalline aggregate. Proc. Phys. Soc. 1952, 65, 349–350. [Google Scholar]
- Moeller, M.H.; Jeitschko, W. Darstellung, Eigenschaften und Kristallstruktur von Cu2P7 und Strukturverfeinerungen von CuP2 und AgP2. Z. Anorg. Allg. Chem. 1982, 491, 225–236. [Google Scholar] [CrossRef]
- Olofsson, O. The crystal structure of Cu3P. Acta Chem. Scand. 1972, 26, 2777–2787. [Google Scholar]
- Segall, M.D.; Lindan, P.J.D.; Probert, M.J.; Pickard, C.J.; Hasnip, P.J.; Clark, S.J.; Payne, M.C. First-principles simulation: Ideas, illustrations and the CASTEP code. J. Phys. Condens. Matter 2002, 14, 2717–2744. [Google Scholar]
- Cheng, H.-C.; Yu, C.-F. A DFT Characterization of Structural, Mechanical, and Thermodynamic Properties of Ag9In4 Binary Intermetallic Compound. Metals 2022, 12, 1852. [Google Scholar] [CrossRef]
- Peng, J.; Qian, Y.; Cereceda, D. A First-Principles Study of the Structural and Thermo-Mechanical Properties of Tungsten-Based Plasma-Facing Materials. Metals 2024, 14, 1197. [Google Scholar] [CrossRef]
- Benmakhlouf, A.; Faid, F.; Ghermoul, N.; Özdoğan, K.; Helaimia, T.; Bouhemadou, A.; Galanakis, I. DFT Insights into the Physical Properties of Layered LiMnSe2 and LiMnTe2 Compounds. Metals 2024, 14, 1036. [Google Scholar] [CrossRef]
- Chen, X.; Luo, G.; Cao, Y.; Liang, C. Effect of Atomic Ordering on Phase Stability and Elastic Properties of Pd-Ag Alloys. Metals 2024, 14, 1017. [Google Scholar] [CrossRef]
- Vanderbilt, D. Soft self-consistent pseudopotentials in a generalized eigenvalue formalism. Phys. Rev. B 1990, 41, 7892–7895. [Google Scholar]
- Lu, X.; Yang, C.; Wu, Q.; Wang, J.; Wei, Y.; Zhang, L.; Li, D.; Zhao, L. Improved Reconstruction Algorithm of Wireless Sensor Network Based on BFGS Quasi-Newton Method. Electronics 2023, 12, 1267. [Google Scholar] [CrossRef]
- Brillouin, L. Les électrons dans les métaux et le classement des ondes de de Broglie correspondantes. Comptes Rendus Hebdomadaires des Séances de l’Académie des Sci. 1930, 191, 292–294. [Google Scholar]
- Monkhorst, H.J.; Pack, J.D. Special points for Brillouin-zone integrations. Phys. Rev. B 1976, 13, 5188–5192. [Google Scholar]
- Cheng, H.C.; Yu, C.F.; Chen, W.H. Physical, mechanical, thermodynamic and electronic characterization of Cu₁₁In₉ crystal using first-principles density functional theory calculation. Comput. Mater. Sci. 2014, 81, 146–157. [Google Scholar] [CrossRef]
- Cheng, H.C.; Yu, C.F.; Chen, W.H. First-principles density functional calculation of mechanical, thermodynamic and electronic properties of CuIn and Cu2In crystals. J. Alloys Compd. 2013, 546, 286–295. [Google Scholar] [CrossRef]
- Bhatia, K.G.; Gajjar, P.N. Study of lattice dynamics and mechanical properties of Pd and Pt using pseudopotential formalism. Phys. Scr. 2022, 97, 105701. [Google Scholar] [CrossRef]
- Feng, W.; Cui, S. Mechanical and electronic properties of Ti2AlN and Ti₄AlN3: A first-principles study. Can. J. Phys. 2014, 92, 1652. [Google Scholar] [CrossRef]
- Majewski, A.J.; Vogl, P. Simple model for structural properties and crystal stability of sp-bonded solids. Phys. Rev. B 1987, 35, 9666. [Google Scholar] [CrossRef]
- Yildirim, A.; Koc, H.; Deligoz, E. First-principles study of the structural, elastic, electronic, optical, and vibrational properties of intermetallic Pd2Ga. Chin. Phys. B 2012, 21, 037101. [Google Scholar] [CrossRef]
- Verma, J.K.D.; Nag, B.D. On the elastic moduli of a crystal and Voigt and Reuss relations. J. Phys. Soc. Jpn. 1965, 20, 635–636. [Google Scholar] [CrossRef]
- Pugh, S.F. XCII. Relations between the elastic moduli and the plastic properties of polycrystalline pure metals. Philos. Mag. 1954, 45, 823–843. [Google Scholar] [CrossRef]
- Teter, D.M. Computational alchemy: The search for new superhard materials. MRS Bull. 1998, 23, 22–27. [Google Scholar] [CrossRef]
- Chen, X.Q.; Niu, H.; Li, D.; Li, Y. Modeling hardness of polycrystalline materials and bulk metallic glasses. Intermetallics 2011, 19, 1275–1281. [Google Scholar] [CrossRef]
- Tian, Y.J.; Xu, B.; Zhao, Z.S. Microscopic theory of hardness and design of novel superhard crystals. Int. J. Refract. Met. Hard Mater. 2012, 33, 93–106. [Google Scholar]
- Liu, Z.T.Y.; Gall, D.; Khare, S.V. Electronic and bonding analysis of hardness in pyrite-type transition-metal pernitrides. Phys. Rev. B 2014, 90, 134102. [Google Scholar] [CrossRef]
- Naher, M.I.; Naqib, S.H. An ab-initio study on structural, elastic, electronic, bonding, thermal, and optical properties of topological Weyl semimetal TaX11. Sci. Rep. 2021, 11, 5592. [Google Scholar]
- Niu, H.; Niu, S.; Oganov, A.R. Simple and accurate model of fracture toughness of solids. J. Appl. Phys. 2019, 125, 065105. [Google Scholar] [CrossRef]
- Sun, Z.; Music, D.; Ahuja, R.; Schneider, J.M. Theoretical investigation of the bonding and elastic properties of nanolayered ternary nitrides. Phys. Rev. B 2005, 71, 193402. [Google Scholar] [CrossRef]
- Ranganathan, S.I.; Ostoja-Starzewski, M. Universal elastic anisotropy index. Phys. Rev. Lett. 2008, 101, 055504. [Google Scholar]
- Sundareswari, M.; Ramasubramanian, S.; Rajagopalan, M. Elastic and thermodynamical properties of A15 Nb3X (X = Al, Ga, In, Sn and Sb) compounds—First principles DFT study. Solid State Commun. 2010, 150, 2057–2060. [Google Scholar]
- Kube, C.M.; Jong, M.D. Elastic constants of polycrystals with generally anisotropic crystals. J. Appl. Phys. 2016, 120, 165105. [Google Scholar]
- Gao, X.P.; Jiang, Y.H.; Zhou, R.; Feng, J. Stability and elastic properties of Y–C binary compounds investigated by first-principles calculations. J. Alloys Compd. 2014, 587, 819–826. [Google Scholar]
- Marmier, A.; Lethbridge, Z.A.D.; Walton, R.I.; Smith, C.W.; Parker, S.C.; Evans, K.E. ElAM: A computer program for the analysis and representation of anisotropic elastic properties. Comput. Phys. Commun. 2010, 181, 2102–2115. [Google Scholar]
- Ashby, M.F.; Ferreira, P.J.; Schodek, D.L. Chapter 4—Material classes, structure, and properties. Nanomater. Nanotechnol. Des. 2009, 87, 146. [Google Scholar]
- Music, D.; Houben, A.; Dronskowski, R.; Schneider, J.M. An ab initio study of ductility in M2AlC (M = Ti, V, Cr). Phys. Rev. B 2007, 75, 174102. [Google Scholar] [CrossRef]
- Anderson, O.L. A simplified method for calculating the Debye temperature from elastic constants. J. Phys. Chem. Solids 1963, 24, 9–17. [Google Scholar] [CrossRef]
- Slack, G.A. The thermal conductivity of nonmetallic crystals. Solid State Phys. 1979, 34, 1–71. [Google Scholar]
- Julian, C.L. Theory of heat conduction in rare-gas crystals. Phys. Rev. 1965, 137, A128. [Google Scholar]
- Clarke, D.R. Selection Guidelines for Low Thermal Conductivity Thermal Barrier Coatings. Surf. Coat. Technol. 2003, 163, 67–74. [Google Scholar]
- Cahill, D.G.; Watson, S.K.; Pohl, R.O. Lower limit to the thermal conductivity of disordered crystals. Phys. Rev. B 1992, 46, 6131. [Google Scholar]
- Feng, J.; Xiao, B.; Wan, C.L.; Qu, Z.X.; Huang, Z.C.; Chen, J.C.; Zhou, R.; Pan, W. Electronic structure, mechanical properties and thermal conductivity of Ln2Zr2O7 (Ln = La, Pr, Nd, Sm, Eu and Gd) pyrochlore. Acta Mater. 2011, 59, 1742–1760. [Google Scholar]
- Masut, R.A. Low-temperature heat transport in crystalline bismuth telluride. AIP Adv. 2024, 14, 125221. [Google Scholar] [CrossRef]
Disclaimer/Publisher’s Note: The statements, opinions and data contained in all publications are solely those of the individual author(s) and contributor(s) and not of MDPI and/or the editor(s). MDPI and/or the editor(s) disclaim responsibility for any injury to people or property resulting from any ideas, methods, instructions or products referred to in the content. |
© 2025 by the authors. Licensee MDPI, Basel, Switzerland. This article is an open access article distributed under the terms and conditions of the Creative Commons Attribution (CC BY) license (https://creativecommons.org/licenses/by/4.0/).