Superelasticity of Geometrically Graded NiTi Shape Memory Alloys
Abstract
:1. Introduction
2. Materials and Methods
3. Results and Discussion
3.1. Microstructure
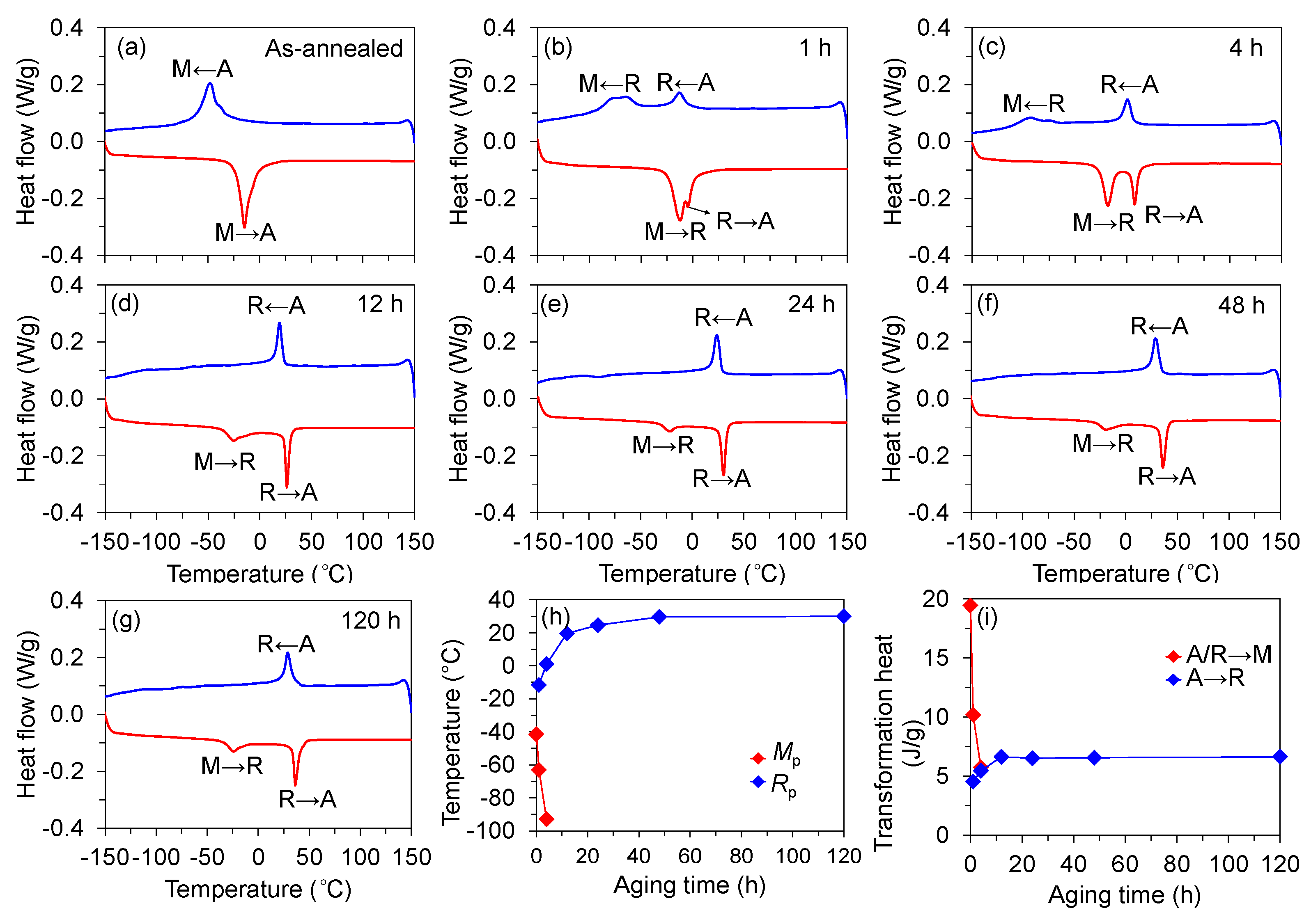
3.2. Transformation Behavior
3.3. Superelasticity
4. Conclusions
- (1)
- Altering the width and the number of steps of the geometrically graded samples can adjust their stress–strain response, resulting in multiple force plateaus over a large strain of 8%.
- (2)
- Geometrically graded samples are more susceptible to functional degradation than homogeneous specimens due to the locally concentrated deformation at the narrower region that induces more plastic deformation.
- (3)
- Incomplete recrystallization treatment at 600 °C for 30 min leads to a high density of dislocations and grain and sub-grain boundaries in the specimen, which are energetically favorable for the nucleation of Ni4Ti3 precipitates during the subsequent low-temperature aging process. This significantly improves the functional stability of the geometrically graded samples. All the geometrically graded samples aged at 250 °C for 120 h show good superelasticity, with a total residual strain of <1.0% after 20 loading–unloading cycles.
- (4)
- The stepwise shape of the stress–strain curve (i.e., stress–strain response) of the geometric gradient samples can be maintained after long-term low-temperature aging treatment (i.e., 120 h) due to the suppression of plastic activities.
Author Contributions
Funding
Data Availability Statement
Acknowledgments
Conflicts of Interest
References
- Miyazaki, S.; Otsuka, K. Deformation and transition behavior associated with the R-phase in Ti-Ni alloys. Metall. Trans. A 1986, 17, 53–63. [Google Scholar] [CrossRef]
- Van Humbeeck, J. Shape Memory Alloys: A Material and a Technology. Adv. Eng. Mater. 2001, 3, 837–850. [Google Scholar] [CrossRef]
- Otsuka, K.; Ren, X. Physical metallurgy of Ti–Ni-based shape memory alloys. Prog. Mater. Sci. 2005, 50, 511–678. [Google Scholar] [CrossRef]
- Kuranova, N.N.; Makarov, V.V.; Pushin, V.G.; Ustyugov, Y.M. Influence of Heat Treatment and Deformation on the Structure, Phase Transformation, and Mechanical Behavior of Bulk TiNi-Based Alloys. Metals 2022, 12, 2188. [Google Scholar] [CrossRef]
- Concilio, A.; Antonucci, V.; Auricchio, F.; Lecce, L.; Sacco, E. Shape Memory Alloy Engineering for Aerospace, Structural, and Biomedical Applications; Elsevier: Amsterdam, The Netherlands, 2021; pp. 526–623. [Google Scholar]
- Gupta, A.; Talha, M. Recent development in modeling and analysis of functionally graded materials and structures. Prog. Aerosp. Sci. 2015, 79, 1–14. [Google Scholar] [CrossRef]
- Oehler, S.D.; Hartl, D.J.; Lopez, R.; Malak, R.J.; Lagoudas, D.C. Design optimization and uncertainty analysis of SMA morphing structures. Smart Mater. Struct. 2012, 21, 094016. [Google Scholar] [CrossRef]
- Chen, W.; Gu, D.; Yang, J.; Yang, Q.; Chen, J.; Shen, X. Compressive mechanical properties and shape memory effect of NiTi gradient lattice structures fabricated by laser powder bed fusion. Int. J. Extreme Manuf. 2022, 4, 045002. [Google Scholar] [CrossRef]
- Costa, M.M.; Miranda, A.; Bartolomeu, F.; Carvalho, O.; Matos, S.; Miranda, G.; Silva, F.S. NiTi laser textured implants with improved in vivo osseointegration: An experimental study in rats. J. Mater. Sci. Technol. 2022, 114, 120–130. [Google Scholar] [CrossRef]
- Asgarinia, F.; Parvizi, S. Biomedical applications of NiTi alloys. In Nickel-Titanium Smart Hybrid Materials; Elsevier: Amsterdam, The Netherlands, 2022; pp. 297–325. [Google Scholar]
- Gangwar, K.; Gupta, D.; Anand, P.I. Parametric Investigation on laser annealing of polyimide on improving the characteristics of NiTi SMA-based bimorph towards the development of microactuators. Sens. Actuators A Phys. 2023, 360, 114536. [Google Scholar] [CrossRef]
- Bolocan, V.; Vâlsan, D.; Chilnicean, G.; Novac, A. Optimization of thermal deflection in NiTi-based bimorph microactuators. Mater. Today Proc. 2021, 45, 4216–4220. [Google Scholar] [CrossRef]
- Sedmák, P.; Pilch, J.; Heller, L.; Kopeček, J.; Wright, J.; Sedlák, P.; Frost, M.; Šittner, P. Grain-resolved analysis of localized deformation in nickel-titanium wire under tensile load. Science 2016, 353, 559–562. [Google Scholar] [CrossRef]
- Shariat, B.S.; Liu, Y.N.; Rio, G. Pseudoelastic behaviour of perforated NiTi shape memory plates under tension. Intermetallics 2014, 50, 59–64. [Google Scholar] [CrossRef]
- Sutou, Y.; Omori, T.; Furukawa, A.; Takahashi, Y.; Kainuma, R.; Yamauchi, K.; Yamashita, S.; Ishida, K. Development of medical guide wire of Cu-Al-Mn-base superelastic alloy with functionally graded characteristics. J. Biomed. Mater. Res. B Appl. Biomater. 2004, 69, 64–69. [Google Scholar] [CrossRef] [PubMed]
- Williams, E.A.; Shaw, G.; Elahinia, M. Control of an automotive shape memory alloy mirror actuator. Mechatronics 2010, 20, 527–534. [Google Scholar] [CrossRef]
- Rodrigues, P.F.; Fernandes, F.M.B.; Magalhaes, R.; Camacho, E.; Lopes, A.; Paula, A.S.; Basu, R.; Schell, N. Thermo-mechanical characterization of NiTi orthodontic archwires with graded actuating forces. J. Mech. Behav. Biomed. Mater. 2020, 107, 103747. [Google Scholar] [CrossRef] [PubMed]
- Meng, Q.L.; Liu, Y.N.; Yang, H.; Shariat, B.S.; Nam, T.-H. Functionally graded NiTi strips prepared by laser surface anneal. Acta Mater. 2012, 60, 1658–1668. [Google Scholar] [CrossRef]
- Nematollahi, M.; Safaei, K.; Bayati, P.; Elahinia, M. Functionally graded NiTi shape memory alloy: Selective laser melting fabrication and multi-scale characterization. Mater. Lett. 2021, 292, 129648. [Google Scholar] [CrossRef]
- Meng, Q.; Yang, H.; Liu, Y.; Nam, T.-H. Compositionally graded NiTi plate prepared by diffusion annealing. Scr. Mater. 2012, 67, 305–308. [Google Scholar] [CrossRef]
- Meng, Q.; Wu, Z.; Bakhtiari, R.; Shariat, B.S.; Yang, H.; Liu, Y.; Nam, T.-h. A unique “fishtail-like” four-way shape memory effect of compositionally graded NiTi. Scr. Mater. 2017, 127, 84–87. [Google Scholar] [CrossRef]
- Xu, B.; Kang, G.Z. Phase field simulation on the super-elasticity, elastocaloric and shape memory effect of geometrically graded nano-polycrystalline NiTi shape memory alloys. Int. J. Mech. Sci. 2021, 201, 106462. [Google Scholar] [CrossRef]
- Shariat, B.S.; Yang, H.; Liu, Y. Lüders band evolution in geometrically graded NiTi plates. J. Alloys Compd. 2023, 936, 168221. [Google Scholar] [CrossRef]
- Razali, M.F.; Mahmud, A.S. Gradient deformation behavior of NiTi alloy by ageing treatment. J. Alloys Compd. 2015, 618, 182–186. [Google Scholar] [CrossRef]
- Mahmud, A.S.; Liu, Y.N.; Nam, T.H. Design of functionally graded NiTi by heat treatment. Phys. Scr. 2007, T129, 222–226. [Google Scholar] [CrossRef]
- Huang, K.; Sun, Q.P.; Yu, C.; Yin, H. Deformation behaviors of gradient nanostructured superelastic NiTi shape memory alloy. Mater. Sci. Eng. A 2020, 786, 139389. [Google Scholar] [CrossRef]
- Chen, J.Y.; Wu, Y.P.; Yin, H. In situ multi-field investigation of grain size effects on the rate-dependent thermomechanical responses of polycrystalline superelastic NiTi. Mater. Lett. 2020, 259, 126845. [Google Scholar] [CrossRef]
- Shariat, B.S.; Liu, Y.; Meng, Q.; Rio, G. Analytical modelling of functionally graded NiTi shape memory alloy plates under tensile loading and recovery of deformation upon heating. Acta Mater. 2013, 61, 3411–3421. [Google Scholar] [CrossRef]
- Wang, X.B.; Speirs, M.; Kustov, S.; Vrancken, B.; Li, X.P.; Kruth, J.-P.; Van Humbeeck, J. Selective laser melting produced layer-structured NiTi shape memory alloys with high damping properties and Elinvar effect. Scr. Mater. 2018, 146, 246–250. [Google Scholar] [CrossRef]
- Jovanova, J.; Nastevska, A.; Frecker, M. Tailoring energy absorption with functional grading of a contact-aided compliant mechanism. Smart Mater. Struct. 2019, 28, 084003. [Google Scholar] [CrossRef]
- Michael, A.; Zhou, Y.N.; Khan, M.I. Experimental validation of a one-dimensional model for monolithic shape memory alloys with multiple pseudoelastic plateaus. J. Intell. Mater. Syst. Struct. 2016, 27, 2102–2111. [Google Scholar] [CrossRef]
- Sevilla, P.; Martorell, F.; Libenson, C.; Planell, J.A.; Gil, F.J. Laser welding of NiTi orthodontic archwires for selective force application. J. Mater. Sci. Mater. Med. 2008, 19, 525–529. [Google Scholar] [CrossRef]
- Bakhtiari, R.; Shariat, B.S.; Motazedian, F.; Wu, Z.G.; Zhang, J.S.; Yang, H.; Liu, Y.N. Complex transformation field created by geometrical gradient design of NiTi shape memory alloy. Funct. Mater. Lett. 2017, 10, 1740011. [Google Scholar] [CrossRef]
- Shariat, B.S.; Liu, Y.N.; Rio, G. Hystoelastic deformation behaviour of geometrically graded NiTi shape memory alloys. Mater. Des. 2013, 50, 879–885. [Google Scholar] [CrossRef]
- Shariat, B.S.; Meng, Q.L.; Mahmud, A.S.; Wu, Z.G.; Bakhtiari, R.; Zhang, J.S.; Motazedian, F.; Yang, H.; Rio, G.; Nam, T.-H.; et al. Functionally graded shape memory alloys: Design, fabrication and experimental evaluation. Mater. Des. 2017, 124, 225–237. [Google Scholar] [CrossRef]
- Shariat, B.S.; Liu, Y.N.; Bakhtiari, S. Modelling and experimental investigation of geometrically graded shape memory alloys with parallel design configuration. J. Alloys Compd. 2019, 791, 711–721. [Google Scholar] [CrossRef]
- Shariat, B.S.; Bakhtiari, S.; Yang, H.; Liu, Y.N. Controlled initiation and propagation of stress-induced martensitic transformation in functionally graded NiTi. J. Alloys Compd. 2021, 851, 156103. [Google Scholar] [CrossRef]
- Shariat, B.S.; Bakhtiari, R.; Liu, Y.N. Nonuniform transformation behaviour of NiTi in a discrete geometrical gradient design. J. Alloys Compd. 2019, 774, 1260–1266. [Google Scholar] [CrossRef]
- Tian, X.; Zhao, Y.; Gu, T.; Guo, Y.; Xu, F.; Hou, H. Cooperative effect of strength and ductility processed by thermomechanical treatment for Cu–Al–Ni alloy. Mater. Sci. Eng. A 2022, 849, 143485. [Google Scholar] [CrossRef]
- Chen, Y.; Sun, S.; Zhang, T.; Zhou, X.; Li, S. Effects of post-weld heat treatment on the microstructure and mechanical properties of laser-welded NiTi/304SS joint with Ni filler. Mater. Sci. Eng. A 2020, 771, 138545. [Google Scholar] [CrossRef]
- Wang, J.; Pan, Z.; Wang, Y.; Wang, L.; Su, L.; Cuiuri, D.; Zhao, Y.; Li, H. Evolution of crystallographic orientation, precipitation, phase transformation and mechanical properties realized by enhancing deposition current for dual-wire arc additive manufactured Ni-rich NiTi alloy. Addit. Manuf. 2020, 34, 101240. [Google Scholar] [CrossRef]
- Wang, X.B.; Kustov, S.; Li, K.; Schryvers, D.; Verlinden, B.; Van Humbeeck, J. Effect of nanoprecipitates on the transformation behavior and functional properties of a Ti–50.8 at.% Ni alloy with micron-sized grains. Acta Mater. 2015, 82, 224–233. [Google Scholar] [CrossRef]
- Zhou, Y.; Zhang, J.; Fan, G.; Ding, X.; Sun, J.; Ren, X.; Otsuka, K. Origin of 2-stage R-phase transformation in low-temperature aged Ni-rich Ti–Ni alloys. Acta Mater. 2005, 53, 5365–5377. [Google Scholar] [CrossRef]
- Yi, X.Y.; Sun, K.S.; Gao, W.H.; Wang, H.Z.; Sun, B.; Yao, W.; Meng, X.L.; Gao, Z.Y.; Cai, W. The precipitation behaviors, martensite transformation and superelasticity in the aged Ni-rich Ti Ni alloy with the assist of super-high stress. Intermetallics 2019, 104, 8–15. [Google Scholar] [CrossRef]
- Pu, Z.; Du, D.; Zhang, D.; Li, Z.; Xue, S.; Xi, R.; Wang, X.; Chang, B. Improvement of tensile superelasticity by aging treatment of NiTi shape memory alloys fabricated by electron beam wire-feed additive manufacturing. J. Mater. Sci. Technol. 2023, 145, 185–196. [Google Scholar] [CrossRef]
- Wang, X.B.; Li, C.; Verlinden, B.; Van Humbeeck, J. Effect of grain size on aging microstructure as reflected in the transformation behavior of a low-temperature aged Ti–50.8at.% Ni alloy. Scr. Mater. 2013, 69, 545–548. [Google Scholar] [CrossRef]
- Kolobova, A.Y.; Ryklina, E.P.; Prokoshkin, S.D.; Inaekyan, K.E.; Brailovskii, V. Study of the Evolution of the Structure and Kinetics of Martensitic Transformations in a Titanium Nickelide upon Isothermal Annealing after Hot Helical Rolling. Phys. Met. Metall. 2018, 119, 134–145. [Google Scholar] [CrossRef]
- Wang, X.B.; Verlinden, B.; Kustov, S. Multi-stage martensitic transformation in Ni-rich NiTi shape memory alloys. Funct. Mater. Lett. 2017, 10, 1740004. [Google Scholar] [CrossRef]
- Tong, Y.X.; Hu, K.P.; Chen, F.; Tian, B.; Li, L.; Zheng, Y.F. Multiple-stage transformation behavior of Ti 49.2 Ni 50.8 alloy with different initial microstructure processed by equal channel angular pressing. Intermetallics 2017, 85, 163–169. [Google Scholar] [CrossRef]
- Wang, X.B.; Li, K.; Schryvers, D.; Verlinden, B.; Van Humbeeck, J. R-phase transition and related mechanical properties controlled by low-temperature aging treatment in a Ti–50.8at.% Ni thin wire. Scr. Mater. 2014, 72–73, 21–24. [Google Scholar] [CrossRef]
- Wang, X.; Pu, Z.; Yang, Q.; Huang, S.; Wang, Z.; Kustov, S.; Van Humbeeck, J. Improved functional stability of a coarse-grained Ti-50.8 at.% Ni shape memory alloy achieved by precipitation on dislocation networks. Scr. Mater. 2019, 163, 57–61. [Google Scholar] [CrossRef]
- Li, X.Q.; Chen, H.; Guo, W.M.; Guan, Y.J.; Wang, Z.C.; Zeng, Q.K.; Wang, X.B. Improved superelastic stability of NiTi shape memory alloys through surface nano-crystallization followed by low temperature aging treatment. Intermetallics 2021, 131, 107114. [Google Scholar] [CrossRef]
- Sutou, Y.; Omori, T.; Yamauchi, K.; Ono, N.; Kainuma, R.; Ishida, K. Effect of grain size and texture on pseudoelasticity in Cu–Al–Mn-based shape memory wire. Acta Mater. 2005, 53, 4121–4133. [Google Scholar] [CrossRef]
- Poletika, T.M.; Girsova, S.L.; Lotkov, A.I. Ti3Ni4 precipitation features in heat-treated grain/subgrain nanostructure in Ni-rich TiNi alloy. Intermetallics 2020, 127, 106966. [Google Scholar] [CrossRef]
- Wang, X.B.; Verlinden, B.; Van Humbeeck, J. R-phase transformation in NiTi alloys. Mater. Sci. Technol. 2014, 30, 1517–1529. [Google Scholar] [CrossRef]
- Frenzel, J.; George, E.P.; Dlouhy, A.; Somsen, C.; Wagner, M.F.X.; Eggeler, G. Influence of Ni on martensitic phase transformations in NiTi shape memory alloys. Acta Mater. 2010, 58, 3444–3458. [Google Scholar] [CrossRef]









Disclaimer/Publisher’s Note: The statements, opinions and data contained in all publications are solely those of the individual author(s) and contributor(s) and not of MDPI and/or the editor(s). MDPI and/or the editor(s) disclaim responsibility for any injury to people or property resulting from any ideas, methods, instructions or products referred to in the content. |
© 2023 by the authors. Licensee MDPI, Basel, Switzerland. This article is an open access article distributed under the terms and conditions of the Creative Commons Attribution (CC BY) license (https://creativecommons.org/licenses/by/4.0/).
Share and Cite
Chen, W.; Xi, R.; Jiang, H.; Li, X.; Dong, G.; Wang, X. Superelasticity of Geometrically Graded NiTi Shape Memory Alloys. Metals 2023, 13, 1518. https://doi.org/10.3390/met13091518
Chen W, Xi R, Jiang H, Li X, Dong G, Wang X. Superelasticity of Geometrically Graded NiTi Shape Memory Alloys. Metals. 2023; 13(9):1518. https://doi.org/10.3390/met13091518
Chicago/Turabian StyleChen, Weimei, Rui Xi, Hao Jiang, Xiaoqiang Li, Guiwei Dong, and Xiebin Wang. 2023. "Superelasticity of Geometrically Graded NiTi Shape Memory Alloys" Metals 13, no. 9: 1518. https://doi.org/10.3390/met13091518
APA StyleChen, W., Xi, R., Jiang, H., Li, X., Dong, G., & Wang, X. (2023). Superelasticity of Geometrically Graded NiTi Shape Memory Alloys. Metals, 13(9), 1518. https://doi.org/10.3390/met13091518

