Mechanical Behavior of Fe- and Co-Based Amorphous Alloys after Thermal Action
Abstract
:1. Introduction
- -
- We selected simple “model” systems (Fe-Ni-B type) to study the general patterns of crystallization when two or three phases are formed (which simplifies the interpretation of the results obtained), and we selected complex multicomponent systems, during crystallization of which more complex structures are formed. The main metallic components of AA were iron, cobalt, nickel; as additional components (metals and metalloids), elements were used that differ in solubility in the crystal lattice of the main metal component of the alloy.
- -
- The compositions of the studied alloys were selected in such a way that they could be expected to exhibit different crystallization mechanisms: primary, eutectic.
- -
- There was a need to understand whether the observed phenomena are typical or characteristic of only one particular system.
2. Materials and Methods
3. Results and Discussion
3.1. The Phenomenon of AA Embrittlement
3.2. Strengthening Effects upon Crystallization of AAs
- (1)
- The difference between Young’s moduli of the precipitated crystalline phase and the amorphous matrix, i.e., the “modular” strengthening factor [10]:where EA and EC are Young’s moduli of the amorphous and crystalline phases, respectively; HVA is the microhardness of the amorphous matrix; and Vv is the volume fraction of crystalline phases.
- (2)
- The interaction of the nanocrystalline phase particles with deformation shear bands propagating in the amorphous matrix, i.e., the “structural” factor of strengthening [10]. An example of the implementation of the structural factor is given by the Fe50Ni33B17 AA. With the help of TEM examination results, it was found that, after annealing, the nanocrystalline γ-phase (FCC) particles in the Fe50Ni33B17 alloy are of near-equiaxed shape, and their size does not change (≈20 nm) at any temperature–time parameters of heat treatment (Tan = 523–723 K, t = 30 min–2 h) (Figure 7) [44]. The stabilization of the nanocrystal size can be explained within the framework of the “crystallization-and-stop” structural model [45]. According to this model, a barrier shell enriched with an alloying element (boron) is formed around γ-Fe-Ni particles, inhibits the growth of nanocrystals, and thus increases the thermal stability of the amorphous matrix [46].
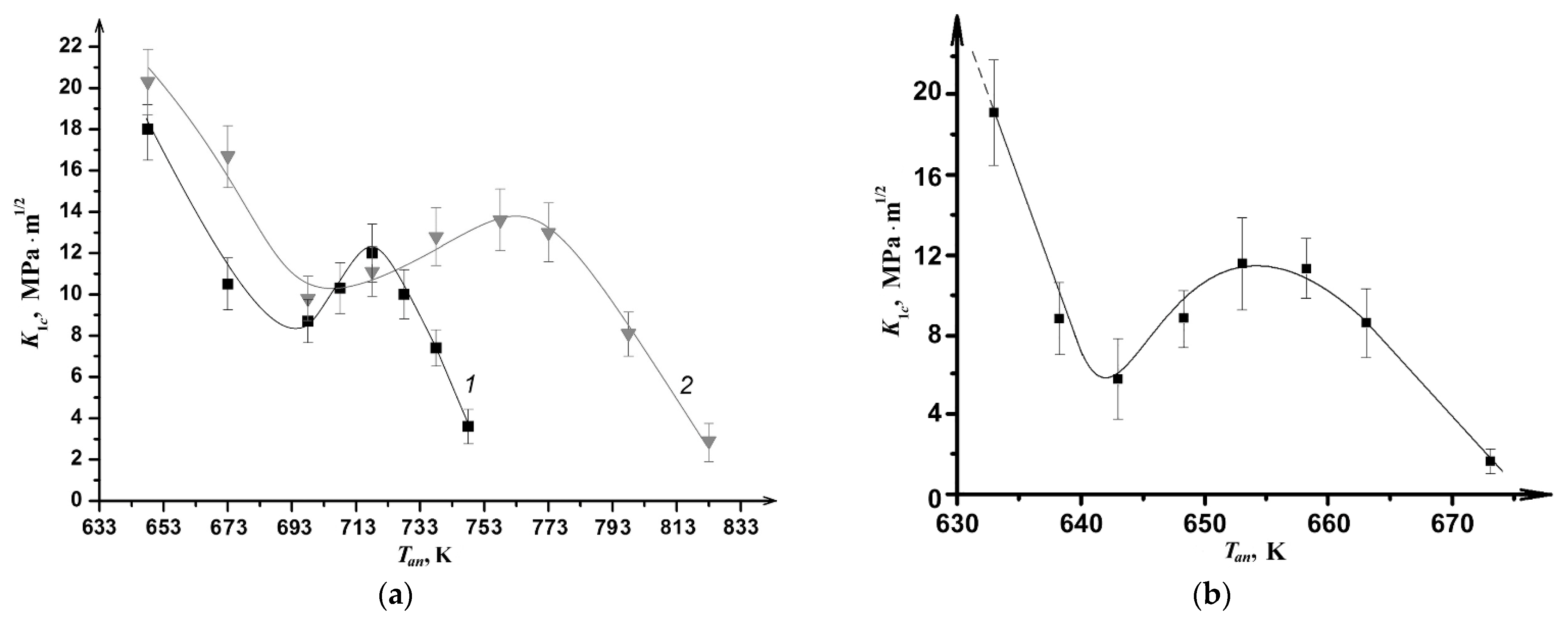
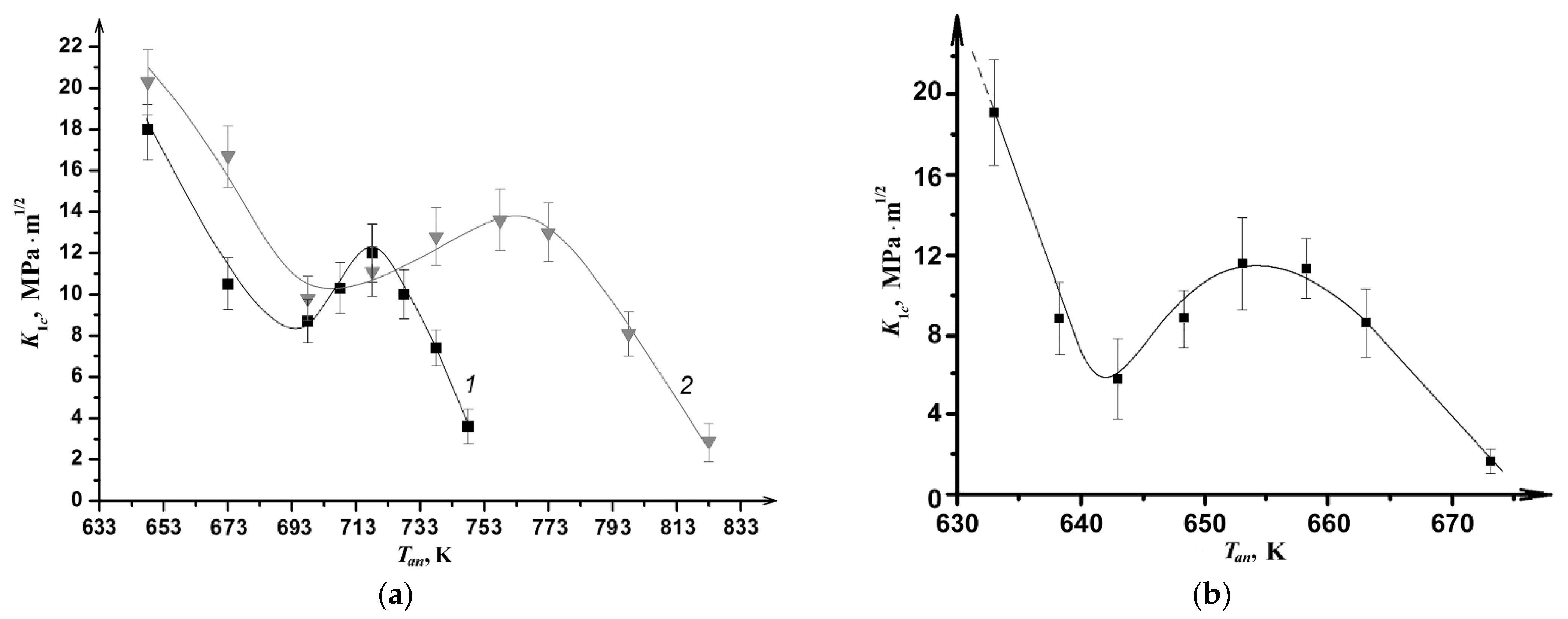
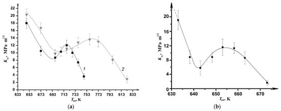
3.3. The Phenomenon of Plasticization in AAs
4. Conclusions
- (1)
- The ductile–brittle transition is inherent in all studied compositions of Co- and Fe-based AAs. It is carried out in a rather narrow temperature range: the AA is completely or partially embrittled at a certain annealing temperature Tf (Tf < Tcrys). A feature is that the sharp decrease in εf occurs in one stage for some AAs and in two stages for others, depending on the chemical composition, quenching rate, and annealing regime. The ductile–brittle transition is a measure of relaxation processes in AAs and an indicator of their temperature–time stability. Thus, it limits the temperature range of AA heat treatment, which, for example, in the case of soft magnetic materials, should cover the temperature range close to the crystallization temperature.
- (2)
- It has been established that the phenomenon of tempering embrittlement characteristic of the metal–metalloid-type AAs is due to a number of interrelated factors such as a decrease in the susceptibility to plastic flow in amorphous matrix and a sharp decrease in the resistance to the development of main quasibrittle cracks. In addition, stresses caused by the structural, compositional, or magnetic type of inhomogeneity can be an important stimulator of the embrittlement of amorphous ribbons after heat treatment.
- (3)
- The main factors of strengthening upon heat treatment of AAs at the transient stage of their crystallization in the amorphous–nanocrystalline state with the volume fraction of crystals Vv < 0.5 are established to be as follows: (a) the “module” factor, i.e., the difference between Young’s moduli of the amorphous and nanocrystalline phases, and (b) the “structural” factor, i.e., interaction of shear bands with particles of the nanocrystalline phase precipitating in the amorphous matrix.
- (4)
- The following classification of the mechanisms of the interaction between nanoparticles and shear bands in amorphous–nanocrystalline composites is proposed on the basis of a detailed analysis of electron microscopic images: “absorption”, “looping”, “cutting”, “braking”, and primary and secondary “accommodation”. It was revealed that the prime cause for the change in mechanisms is the nanoparticle size. However, among the factors that finally determine the nature of the interaction of shear bands and nanoparticles, several should be highlighted: the annealing time, the type of crystal lattice of nanocrystals with which shear bands meet, the speed of shear bands, their mutual orientation with nanoparticles, and the chemical composition of the precipitating phases.
- (5)
- It is shown that the optimal ratio between the amorphous and crystalline phases and their distribution can be achieved after annealing of AAs in the specified temperature–time ranges. In turn, this will provide a unique combination of mechanical properties, i.e., increased strength and, at the same time, a satisfactory ductility of such composite material.
- (6)
- A plasticizing effect (an increase in the crack resistance parameter) was discovered in the temperature range of transition to the amorphous–nanocrystalline state for a number of iron- and cobalt-based AAs. The structural parameters corresponding to this phenomenon have been analyzed. An original mechanism of the arrest of propagating quasibrittle cracks in the zones surrounding the nanoparticles and enriched with metalloid atoms is proposed.
- (7)
- The obtained experimental results contribute to the development of general ideas about the evolution of the structure and mechanical properties of both amorphous and amorphous–nanocrystalline alloys. It was established that AA crystallization has a number of features, and thermal action on a homogeneous amorphous structure can stimulate processes leading to the formation of materials with different structural parameters. Microstructure changes; phase composition; crystallization mechanism; and the size, volume fraction, and morphology of nanocrystals significantly affect the mechanical characteristics of AAs (strength, plasticity, hardness, and crack resistance).
Author Contributions
Funding
Institutional Review Board Statement
Informed Consent Statement
Data Availability Statement
Acknowledgments
Conflicts of Interest
References
- Greer, A.L. Metallic Glasses. In Physical Metallurgy, 5th ed.; Laughlin, D.E., Hono, K., Eds.; Elsevier: Amsterdam, The Netherlands, 2014; Volume 1, pp. 305–385. ISBN 978-0-444-53770-6. [Google Scholar]
- Ashby, M.F.; Greer, A.L. Metallic glasses as structural materials. Scr. Mater. 2006, 54, 321–326. [Google Scholar] [CrossRef]
- Khonik, V.; Kobelev, N. Metallic Glasses: A New Approach to the Understanding of the Defect Structure and Physical Properties. Metals 2019, 9, 605. [Google Scholar] [CrossRef] [Green Version]
- Egami, T.; Iwashita, T.; Dmowski, W. Mechanical properties of metallic glasses. Metals 2013, 3, 77–113. [Google Scholar] [CrossRef] [Green Version]
- Glezer, A.M.; Potekaev, A.I.; Cheretaeva, A.O. Thermal and Time Stability of Amorphous Alloys; CRC Press: Boca Raton, FL, USA, 2017; ISBN 978-1-1380-6827-8. [Google Scholar]
- Trexler, M.M.; Thadhani, N.N. Mechanical properties of bulk metallic glasses. Prog. Mater. Sci. 2010, 55, 759–839. [Google Scholar] [CrossRef]
- Schuh, C.A.; Hufnagel, T.C.; Ramamurty, U. Mechanical behavior of amorphous alloys. Acta Mater. 2007, 55, 4067–4109. [Google Scholar] [CrossRef]
- Inoue, A.; Hashimoto, K. (Eds.) Amorphous and Nanocrystalline Materials: Preparation, Properties, and Applications; Springer: Berlin/Heidelberg, Germany, 2001; ISBN 978-3-540-67271-5. [Google Scholar]
- Li, F.C.; Liu, T.; Zhang, J.Y.; Shuang, S.; Wang, Q.; Wang, A.D.; Wang, J.G.; Yang, Y. Amorphous-nanocrystalline alloys: Fabrication, properties, and applications. Mater. Today Adv. 2019, 4, 100027. [Google Scholar] [CrossRef]
- Glezer, A.M.; Permyakova, I.E. Melt-Quenched Nanocrystals; CRC Press: Boca Raton, FL, USA, 2013; ISBN 978-1-4665-9414-2. [Google Scholar]
- Permyakova, I.; Glezer, A. Amorphous-Nanocrystalline Composites Prepared by High-Pressure Torsion. Metals 2020, 10, 511. [Google Scholar] [CrossRef] [Green Version]
- Aronin, A.; Abrosimova, G. Specific Features of Structure Transformation and Properties of Amorphous-Nanocrystalline Alloys. Metals 2020, 10, 358. [Google Scholar] [CrossRef] [Green Version]
- Louzguine-Luzgin, D.V.; Louzguina-Luzgina, L.V.; Churyumov, A.Y. Mechanical properties and deformation behavior of bulk metallic glasses. Metals 2013, 3, 1. [Google Scholar] [CrossRef] [Green Version]
- Greer, A.L.; Cheng, Y.Q.; Ma, E. Shear bands in metallic glasses. Mater. Sci. Eng. R Rep. 2013, 74, 71–132. [Google Scholar] [CrossRef]
- Spaepen, F. A microscopic mechanism for steady state inhomogeneous flow in metallic glasses. Acta Metall. 1977, 25, 407–415. [Google Scholar] [CrossRef]
- Abrosimova, G.E.; Aronin, A.S.; Zver’kova, I.I.; Kir’yanov, Y.V. Phase Transformations upon Crystallization of Amorphous Al-Ni-Re Alloys. Phys. Met. Metallogr. 2002, 94, 102–107. [Google Scholar]
- Louzguine, D.V.; Inoue, A. Nanoparticles with icosahedral symmetry in Cu-based bulk glass former induced by Pd addition. Scr. Mater. 2003, 48, 325–1329. [Google Scholar] [CrossRef]
- Fan, C.; Inoue, A. Ductility of bulk nanocrystalline composites and metallic glasses at room temperature. Appl. Phys. Lett. 2000, 77, 46–48. [Google Scholar] [CrossRef]
- Qiao, J.; Jia, H.; Liaw, P.K. Metallic glass matrix composites. Mater. Sci. Eng. R Rep. 2016, 100, 1–69. [Google Scholar] [CrossRef] [Green Version]
- Shi, Y.F.; Falk, M.L. A computational analysis of the deformation mechanisms of a nanocrystal-metallic glass composite. Acta Mater. 2008, 56, 995–1000. [Google Scholar] [CrossRef]
- Hajlaoui, K.; Yavari, A.R.; Doisneau, B.; LeMoulec, A.; Botta, W.J.F.; Vaughan, G.; Greer, A.L.; Inoue, A.; Zhang, W.; Kvick, A. Shear delocalization and crack blunting of a metallic glass containing nanoparticles: In situ deformation in TEM analysis. Scr. Mater. 2006, 54, 1829–1834. [Google Scholar] [CrossRef]
- Luborsky, F.E.; Walter, J.L. Stability of amorphous metallic alloys. J. Appl. Phys. 1976, 47, 3648–3650. [Google Scholar] [CrossRef]
- Glezer, A.M.; Molotilov, B.V.; Utevskaya, O.L. Structural reasons of temper brittleness of amorphous metal-metalloid alloys. Phys. Met. Metallogr. 1984, 58, 991–1000. (In Russian) [Google Scholar]
- Kimura, H.; Ast, D.G. Structural relaxation and embrittlement of amorphous Fe40Ni40P14B6. In Proceedings of the 4th International Conference on Rapidly Quenched Metals, Sendai, Japan, 24–28 August 1981; Masumoto, T., Suzuki, K., Eds.; Japan Institute of Metals: Sendai, Japan, 1982; Volume 1, pp. 475–478. [Google Scholar]
- Glezer, A.M.; Permyakova, I.E. Modern ideas about methods for studying the mechanical properties of metallic glasses (review). Deform. Fract. Mater. 2006, 3, 2–11. (In Russian) [Google Scholar]
- Novikov, N.V.; Dub, S.N.; Bulychov, S.I. Methods of microtesting for crack resistance. Ind. Lab. Diagn. Mater. 1988, 54, 60–67. (In Russian) [Google Scholar]
- Feodorov, V.A.; Permyakova, I.E.; Kapustin, A.N. Microindentation as a perspective method for determination of mechanical properties of ribbon metallic glasses. J. Guangdong Non-Ferr. Met. 2005, 15, 185–187. [Google Scholar]
- Evans, A.G.; Charles, E.A. Fracture Toughness Determinations by Indentation. J. Am. Ceram. Soc. 1976, 59, 371–372. [Google Scholar] [CrossRef]
- Glezer, A.M.; Permyakova, I.E.; Fedorov, V.A. Crack resistance and plasticity of amorphous alloys under microindentation. Bull. Russ. Acad. Sci. Phys. 2006, 70, 1599–1603. [Google Scholar]
- Scott, M.G. Thermal stability and crystallization of metallic glasses. Met. Technol. 1980, 7, 133–141. [Google Scholar] [CrossRef]
- Latuskiewicz, J.; Zielinaki, P.; Matyja, M. Role of iron and silicon in embrittlement of metallic glasses. In Proceedings of the 4th International Conference on Rapidly Quenched Metals, Sendai, Japan, 24–28 August 1981; Masumoto, T., Suzuki, K., Eds.; Japan Institute of Metals: Sendai, Japan, 1982; Volume 2, pp. 1381–1384. [Google Scholar]
- Glezer, A.M.; Blinova, E.N.; Permyakova, I.E.; Cheretaeva, A.O. The ductile-to-brittle transition and the temperature and temporal stability of amorphous alloys. Bull. Russ. Acad. Sci. Phys. 2015, 79, 1141–1145. [Google Scholar] [CrossRef]
- Kimura, H.; Masumoto, T. Strength, ductility and toughness—A study in model mechanics. In Amorphous Metallic Alloys; Luborsky, F.E., Ed.; Butterworth & Co., Ltd.: London, UK, 1983; pp. 187–230. ISBN 978-0-408-11030-3. [Google Scholar]
- Zhang, H.-Y.; Zhang, Z.-Y.; Xu, Y.-F.; Xia, A.-L.; Li, W.-H.; Wang, F.-C.; Chen, S.-S.; Sisó, G. Microstructure and magnetocaloric properties of partially crystallized Gd60Co30Fe10 amorphous alloy prepared by different solidification cooling rates. Rare Met. 2021, 41, 246–253. [Google Scholar] [CrossRef]
- Yavari, A.R. Absence of Thermal Embrittlement in some Fe-B and Fe-Si-B Glassy Alloys. Mater. Sci. Eng. 1988, 98, 491–493. [Google Scholar] [CrossRef]
- Chi, G.C.; Chen, H.S.; Miller, C.E. The influence of quenching procedures on the kinetics of embrittlement in a Fe40Ni40B20 metallic glass. J. Appl. Phys. 1978, 49, 1715–1717. [Google Scholar] [CrossRef]
- Allia, P.; Tiberto, P.; Baricco, M.; Vinai, F. Improved ductility of nanocrystalline Fe73.5Nb3Cu1Si13.5B9 obtained by direct-current joule heating. Appl. Phys. Lett. 1993, 63, 2759–2761. [Google Scholar] [CrossRef]
- Hagiwara, M.; Inoue, A.; Masumoto, T. The critical thickness for the formation of Ni-Si-B amorphous alloys. Metall. Trans. A 1981, 12, 1027–1031. [Google Scholar] [CrossRef]
- Takahashi, M.; Koshimura, M.; Abuzuka, T. Phase Diagram of Amorphous and Crystallized Fe-B Alloy System. Jpn. J. Appl. Phys. 1981, 20, 1821–1832. [Google Scholar] [CrossRef]
- Ok, H.N.; Morrish, A.H. Mössbauer study of amorphous Fe82B12Si6. Phys. Rev. B 1980, 22, 4215–4222. [Google Scholar] [CrossRef]
- Ohkubo, T.; Kai, H.; Hirotsu, Y. Structural modeling of Pd-Si and Fe-Zr-B amorphous alloys based on the microphase separation model. Mater. Sci. Eng. A 2001, 304-306, 300–304. [Google Scholar] [CrossRef]
- Betekhtin, V.I.; Kadomtsev, A.G.; Kipyatkova, A.Y.; Glezer, A.M. Excess free volume and mechanical properties of amorphous alloys. Phys. Solid State 1998, 40, 74–78. [Google Scholar] [CrossRef]
- Glezer, A.M.; Permyakova, I.E.; Shurygina, N.A.; Rassadina, T.V. Structural features of crystallization and hardening of amorphous alloy in the Fe-Cr-B system. Inorg. Mater. Appl. Res. 2012, 3, 23–27. [Google Scholar] [CrossRef]
- Glezer, A.M.; Manaenkov, S.E.; Permyakova, I.E.; Shurygina, N.A. Effect of nanocrystallization on the mechanical behavior of Fe-Ni-based amorphous alloys. Russ. Metall. (Met.) 2011, 2011, 947–955. [Google Scholar] [CrossRef]
- Chin, T.-S.; Lin, C.Y.; Lee, M.C.; Huang, R.T.; Huang, S.M. Bulk nanocrystalline alloys. Mater. Today 2009, 12, 34–39. [Google Scholar] [CrossRef]
- Glezer, A.M.; Gorshenkov, M.V.; Zhukov, D.G.; Korchuganova, O.A.; Aleev, A.A.; Boll, T.; Shurygina, N.A.; Shchetinin, I.V. Pinning of nanocrystals growth at Fe-Ni-B amorphous alloy crystallization: Atom probe investigations. Mater. Lett. 2015, 160, 339–342. [Google Scholar] [CrossRef]
- Glezer, A.M.; Manaenkov, S.E.; Permyakova, I.E. Structural mechanisms of plastic deformation of amorphous alloys containing crystalline nanoparticles. Bull. Russ. Acad. Sci. Phys. 2007, 71, 1702–1707. [Google Scholar] [CrossRef]
- Glezer, A.M.; Permyakova, I.E.; Manaenkov, S.E. The mechanisms of interaction of slip bands with nanoparticles in amorphous-crystalline alloys. Bull. Russ. Acad. Sci. Phys. 2008, 72, 1265–1266. [Google Scholar] [CrossRef]
- Glezer, A.M.; Shurygina, N.A.; Zaichenko, S.G.; Permyakova, I.E. Interaction of deformation shear bands with nanoparticles in amorphous-nanocrystalline alloys. Russ. Metall. (Met.) 2013, 2013, 235–244. [Google Scholar] [CrossRef]
- Glezer, A.M.; Molotilov, B.V. Structure and Mechanical Properties of Amorphous Alloys; Metallurgy: Moscow, Russia, 1992; pp. 1–208. ISBN 5-299-00907-1. (In Russian) [Google Scholar]
- Shtremel, M.A. The Strength of Alloys; NUST MISiS: Moscow, Russia, 1997; Volume 2, pp. 1–526. ISBN 5-87623-015-4. (In Russian) [Google Scholar]
- Inoue, A. Stabilization of metallic supercooled liquid and bulk amorphous alloys. Acta Mater. 2000, 48, 279–306. [Google Scholar] [CrossRef]
- Glezer, A.M.; Permyakova, I.E.; Manaenkov, S.E. Plasticizing effect in the transition from an amorphous state to a nanocrystalline state. Dokl. Phys. 2008, 53, 8–10. [Google Scholar] [CrossRef]
- Hays, C.C.; Kim, C.P.; Johnson, W.L. Microstructure Controlled Shear Band Pattern Formation and Enhanced Plasticity of Bulk Metallic Glasses Containing in situ Formed Ductile Phase Dendrite Dispersions. Phys. Rev. Lett. 2000, 84, 2901–2904. [Google Scholar] [CrossRef] [Green Version]
- Qiao, J. In-situ Dendrite / Metallic Glass Matrix Composites: A Review. J. Mater. Sci. Technol. 2013, 29, 685–701. [Google Scholar] [CrossRef]
- Finkel, V.M. Physical Principles of Fracture Deceleration; Metallurgy: Moscow, Russia, 1977. (In Russian) [Google Scholar]












| Composition, at.% | Thickness h, μm | Width b, mm | Temperature Tan, K | Holding Time t, min–h |
|---|---|---|---|---|
| Co70.5Fe0.5Cr4Si7B18 | 30 | 20 | 323–898 | 10–30 min |
| Co28.2Fe38.9Cr15.4Si0.3B17.2 | 25 | 10 | 373–973 | 10–30 min |
| Fe60.8Co20.2B14Si5 | 20 | 10 | 323–923 | 10–30 min |
| Fe53.3Ni26.5B20.2 | 25 | 10 | 373–798 | 10–30 min |
| Fe50Ni33B17 | 20 | 10 | 523–723 | 30 min–2 h |
| Fe58Ni25B17 | 20 | 10 | 523–723 | 30 min–2 h |
| Fe70Cr15B15 | 35 | 5 | 713–793 | 30 min–2 h |
| Mechanism | Description | Typical TEM Image |
|---|---|---|
| Absorption | The shear band absorbs small nanoparticles without changing the motion trajectory in the amorphous matrix. | ![]() |
| Looping | The shear band bends around the oncoming nanoparticle on its path, changing the motion trajectory in the amorphous matrix. Its motion resembles the process of double transverse slip of a dislocation that overcomes a rigid barrier. | ![]() |
| Cutting | The shear band passes through the nanoparticle, “cutting” it. This case is realized if a shear band propagating in an amorphous matrix can stimulate a dislocation flow in a nanoparticle. | ![]() |
| Accommodation (primary) | A shear band resting on a nanoparticle causes its very large elastic distortions, which, in turn, initiate a shear band in the amorphous matrix on the other side of the nanoparticle. As a rule, the trajectory of movement of the secondary accommodation shear band coincides with the trajectory of the primary shear band. | ![]() |
| Accommodation (secondary) | An elastically stressed nanocrystal initiates several new secondary shear bands from its boundary into an amorphous matrix (indicated by arrows in the photo). | ![]() |
| Braking | The shear band decelerates and stops/becomes stuck at the interface or inside the nanoparticle. | ![]() |
Publisher’s Note: MDPI stays neutral with regard to jurisdictional claims in published maps and institutional affiliations. |
© 2022 by the authors. Licensee MDPI, Basel, Switzerland. This article is an open access article distributed under the terms and conditions of the Creative Commons Attribution (CC BY) license (https://creativecommons.org/licenses/by/4.0/).
Share and Cite
Permyakova, I.; Glezer, A. Mechanical Behavior of Fe- and Co-Based Amorphous Alloys after Thermal Action. Metals 2022, 12, 297. https://doi.org/10.3390/met12020297
Permyakova I, Glezer A. Mechanical Behavior of Fe- and Co-Based Amorphous Alloys after Thermal Action. Metals. 2022; 12(2):297. https://doi.org/10.3390/met12020297
Chicago/Turabian StylePermyakova, Inga, and Alex Glezer. 2022. "Mechanical Behavior of Fe- and Co-Based Amorphous Alloys after Thermal Action" Metals 12, no. 2: 297. https://doi.org/10.3390/met12020297
APA StylePermyakova, I., & Glezer, A. (2022). Mechanical Behavior of Fe- and Co-Based Amorphous Alloys after Thermal Action. Metals, 12(2), 297. https://doi.org/10.3390/met12020297







