Sign in to use this feature.

Years

Between: -

Subjects

remove_circle_outline
remove_circle_outline
remove_circle_outline
remove_circle_outline
remove_circle_outline
remove_circle_outline
remove_circle_outline
remove_circle_outline
remove_circle_outline

Journals

Article Types

Countries / Regions

remove_circle_outline
remove_circle_outline
remove_circle_outline
remove_circle_outline
remove_circle_outline

Search Results (762)

Search Parameters:
Keywords = amorphous alloy

Order results
Result details
Results per page
Select all
Export citation of selected articles as:
12 pages, 3955 KB  
Communication
Microstructural Refinement of Electroless Ni-P Amorphous Composite Coatings on Carbon Fibers Induced by Al2O3 Nanoparticles Dispersed with a PEG/NNO Additive
by Yongjie Zhao, Weixin Ge, Tiebao Wang, Pan Gong, Wei Yang, Lichen Zhao and Xin Wang
Inorganics 2026, 14(5), 119; https://doi.org/10.3390/inorganics14050119 - 22 Apr 2026
Viewed by 238
Abstract
Controlling the microstructure of electroless nickel coatings is crucial for optimizing the interfacial properties of carbon fibers. However, a systematic understanding of how dispersants can effectively leverage the refining effect of nanoparticles in composite plating systems remains lacking. This paper proposes the use [...] Read more.
Controlling the microstructure of electroless nickel coatings is crucial for optimizing the interfacial properties of carbon fibers. However, a systematic understanding of how dispersants can effectively leverage the refining effect of nanoparticles in composite plating systems remains lacking. This paper proposes the use of a composite dispersant, comprising polyethylene glycol (PEG) and sodium methylene bis-naphthalene sulfonate (NNO) at a 1:1 mass ratio, for nano-Al2O3 to achieve microstructure refinement of nickel coatings on carbon fiber surfaces. The results demonstrate that the composite dispersant modifies the surface state and dispersion stability of Al2O3 particles through synergistic adsorption, thereby regulating the nucleation and growth behavior of the Ni-P alloy. At an optimal composite dispersant concentration of 3 g/L, the coating exhibits the most compact structure, with Ni-P particle size refined to approximately 181 nm. The coating consists of two phases: crystalline Ni3P and amorphous Ni-P. The dual adsorption effect of the dispersant—inhibiting Al2O3 agglomeration while improving the surface wettability of carbon fibers—is key to enhancing the refinement efficiency. Conversely, excessive dispersant addition leads to deteriorated coating quality. This study provides experimental evidence for understanding the multiphase interfacial interaction mechanism involving organic additives, nanoparticles, and metal deposition, and offers a novel strategy for controlling the surface functionalization of carbon fibers. Full article
(This article belongs to the Special Issue Recent Research and Application of Amorphous Materials, 2nd Edition)
Show Figures

Figure 1

23 pages, 8843 KB  
Review
Development of Amorphous Metallic Surfaces for Energy Storage Applications
by Oscar Sotelo-Mazón, John Henao, Victor Zezatti, Hugo Rojas, Diego Espinosa-Arbeláez, Guillermo C. Mondragón-Rodríguez and Carlos A. Poblano-Salas
Appl. Sci. 2026, 16(8), 4039; https://doi.org/10.3390/app16084039 - 21 Apr 2026
Viewed by 260
Abstract
Amorphous metallic materials have emerged as a promising class of functional materials for energy storage and conversion owing to their disordered atomic structure and unique interfacial properties. This review focuses on amorphous metals and alloys, including metallic glasses and high-entropy amorphous systems, with [...] Read more.
Amorphous metallic materials have emerged as a promising class of functional materials for energy storage and conversion owing to their disordered atomic structure and unique interfacial properties. This review focuses on amorphous metals and alloys, including metallic glasses and high-entropy amorphous systems, with particular emphasis on their surface- and interface-driven behavior in electrochemical environments. This review analyzes how structural disorder influences key properties such as electronic structure, ion transport, catalytic activity, and mechanical compliance and how these factors govern performance in batteries, supercapacitors, electrolyzers, and fuel cells. Special attention is given to interfacial phenomena, including charge-transfer kinetics, corrosion and passivation processes, and structural evolution during long-term operation. In addition, recent advances in fabrication strategies such as rapid solidification, thin-film deposition, mechanical alloying, thermoplastic forming, and electrodeposition are discussed in relation to their ability to tailor amorphous structures and interfaces. This review also highlights critical failure mechanisms and discusses some strategies to mitigate these effects. Overall, this work provides a focused perspective on the role of amorphous metallic surfaces and interfaces in electrochemical systems, identifying current challenges in scalability, durability, and compositional control, and outlining future directions for their integration into next-generation energy technologies. Full article
(This article belongs to the Section Energy Science and Technology)
Show Figures

Figure 1

16 pages, 13304 KB  
Article
Atomic-Level Investigation of Ni-W Film Growth on Al(001) Surface: Molecular Dynamics Simulation
by Desen Cheng, Shuaijiang Ma, Yongchao Zhu, Mengya Li and Yajun Zhou
Coatings 2026, 16(4), 503; https://doi.org/10.3390/coatings16040503 - 21 Apr 2026
Viewed by 223
Abstract
Molecular dynamics (MD) simulations were performed to investigate the dynamic deposition behavior, growth mechanism, and mechanical properties of nickel–tungsten (Ni-W) alloy films on single-crystal Al(001) substrates. The results demonstrate that the incorporation of W atoms lowers the Ehrlich–Schwoebel (ES) barrier for Ni adatoms, [...] Read more.
Molecular dynamics (MD) simulations were performed to investigate the dynamic deposition behavior, growth mechanism, and mechanical properties of nickel–tungsten (Ni-W) alloy films on single-crystal Al(001) substrates. The results demonstrate that the incorporation of W atoms lowers the Ehrlich–Schwoebel (ES) barrier for Ni adatoms, facilitating downhill diffusion and effectively suppressing Volmer–Weber (VW) mode, thereby improving surface morphology and reducing film roughness. Additionally, W atoms exhibit a tendency to segregate at grain boundaries, inducing lattice distortion and structural disorder. With increasing W content (≥15 at%), the films undergo a transition from a nanocrystalline to an amorphous structure. Nanoindentation simulations reveal that film hardness increases with W content, with the strengthening mechanism being composition-dependent: dislocation pinning dominates at low W concentrations (≤5 at%), while the formation of an amorphous structure emerges as the primary strengthening mechanism at higher W contents (≥15 at%). This work elucidates the growth regulation and strengthening mechanisms of Ni-W films from an atomic-scale perspective, providing a theoretical foundation and simulation-driven guidance for the design and optimization of high-performance, environmentally benign Ni-W coatings. Full article
Show Figures

Figure 1

37 pages, 35549 KB  
Article
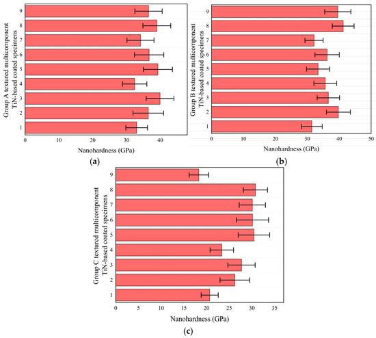
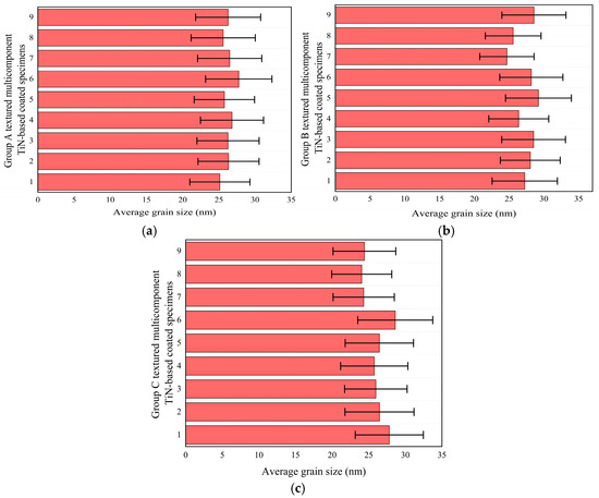
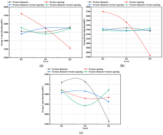
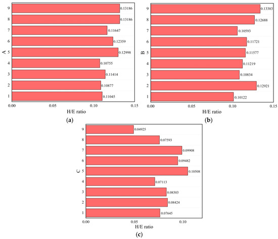
Surface Microstructural Characteristics of Textured Multicomponent TiN-Based Coated Cemented Carbides
by Xin Tong, Xiaolong Cao, Shucai Yang and Dongqi Yu
Coatings 2026, 16(4), 470; https://doi.org/10.3390/coatings16040470 - 14 Apr 2026
Viewed by 248
Abstract
To address the issues of high cutting temperatures and severe tool wear during titanium alloy machining, this study proposes a hybrid surface modification strategy combining micro-textures and multicomponent titanium nitride (TiN)-based coatings on cemented carbide tools. Using YG8 cemented carbide as the substrate, [...] Read more.
To address the issues of high cutting temperatures and severe tool wear during titanium alloy machining, this study proposes a hybrid surface modification strategy combining micro-textures and multicomponent titanium nitride (TiN)-based coatings on cemented carbide tools. Using YG8 cemented carbide as the substrate, micro-dimple textures were fabricated by fiber laser, and three coatings with different architectures (TiAlSiN, TiSiN/TiAlN, and TiSiN/TiAlSiN/TiAlN) were deposited via multi-arc ion plating technology. Based on a two-factor (texture diameter and texture spacing) and three-level orthogonal experiment, the evolution behaviors of surface morphology, phase composition, and mechanical properties of the textured multicomponent TiN-based coatings were systematically characterized and comparatively analyzed. The results reveal that: compared to the monolithic-structured TiAlSiN coating, the TiSiN/TiAlSiN/TiAlN and TiSiN/TiAlN composite coatings with multilayered composite structures can effectively relieve the residual stress inside the film–substrate system, and significantly suppress the phenomena of coating cracking and localized spallation caused by irregular protrusions of the recast layer at the micro-texture edges. X-ray diffraction (XRD) and crystallite size analyses indicate that the amorphous Si3N4 phase promoted by the Si element in the composite coatings effectively impedes the growth of TiN columnar crystals, achieving significant grain refinement. Mechanical property tests confirm that the existence of multicomponent composite interfaces effectively hinders dislocation movement. Among them, the textured TiSiN/TiAlSiN/TiAlN composite coating exhibits the optimal comprehensive performance; its microhardness, nanohardness, and H/E ratio (characterizing the resistance to plastic deformation) are increased by 17.94%, 8%, and approximately 45%, respectively, compared to those of the textured TiAlSiN coating. This study deeply elucidates the synergistic strengthening and toughening mechanisms between micro-texture parameters and the internal structures of the coatings, providing important theoretical guidance and experimental data support for the surface design of long-lifespan tools oriented towards the high-efficiency machining of titanium alloys. Full article
(This article belongs to the Special Issue Cutting Performance of Coated Tools)
Show Figures

Figure 1

19 pages, 4668 KB  
Article
Control of Microstructure, Trap Levels, and Trap Distribution in HfO2 Films Grown by Atomic Layer Deposition
by Seyedeh Mahsa Sharafi, Marco Flores, Himasha Appuhami and Farida A. Selim
Nanomaterials 2026, 16(8), 451; https://doi.org/10.3390/nano16080451 - 9 Apr 2026
Viewed by 510
Abstract
HfO2 films have become a critical component for advanced electronics and a wide range of applications. However, their implementation requires control of their microstructure and defects, which often act as charge carrier traps, leading to leakage current in devices and hindering their [...] Read more.
HfO2 films have become a critical component for advanced electronics and a wide range of applications. However, their implementation requires control of their microstructure and defects, which often act as charge carrier traps, leading to leakage current in devices and hindering their dielectric properties. Here, we deposit HfO2 thin films by atomic layer deposition (ALD) on sapphire, Ga2O3, and InGaO3 substrates at low temperature and investigate the dependence of their crystal structure on substrate type, annealing, and thickness. X-ray diffraction measurements showed that alloying Ga2O3 with a modest amount of Indium transferred HfO2 films from amorphous to polycrystalline, an important finding that may be applicable to the deposition of other material systems. The study also presents an interesting approach to measuring shallow and deep traps formed in the films and shows how to control their levels and distributions in the band gap. The measurements reveal that the difference in band gap between the substrate and film, as well as the presence of impurities, strongly influences trap densities and depths. Electron paramagnetic resonance (EPR) measurements were performed to probe the electronic structure of specific point defects detectable by EPR and to correlate these results with trap measurements. Full article
(This article belongs to the Section Synthesis, Interfaces and Nanostructures)
Show Figures

Figure 1

36 pages, 5138 KB  
Review
Coatings for Hydro Turbine Applications: A Materials Perspective
by Rodolpho Fernando Vaz, Marco León, Alessio Silvello and Irene Garcia Cano
Metals 2026, 16(4), 406; https://doi.org/10.3390/met16040406 - 7 Apr 2026
Viewed by 565
Abstract
Corrosion- and wear-resistant coatings are widely applied to hydro-turbine runners through thermal spray and cladding processes to enhance component efficiency and structural integrity by mitigating material loss during operation. This work provides a critical review of both mature and emerging coating materials, with [...] Read more.
Corrosion- and wear-resistant coatings are widely applied to hydro-turbine runners through thermal spray and cladding processes to enhance component efficiency and structural integrity by mitigating material loss during operation. This work provides a critical review of both mature and emerging coating materials, with particular emphasis on cermets, Fe-based amorphous alloys, high-entropy alloys, and functionally graded coatings. Their performance is analyzed in terms of wear, corrosion resistance, and applicability under hydro-turbine service conditions, highlighting the advantages and current limitations that hinder broader industrial adoption. The review identifies key challenges associated with materials chemistry, deposition processes, coating architecture, and cost-effectiveness, emphasizing the need for further advancements to improve coating reliability and competitiveness. In addition, a shift in coating design philosophy is proposed, moving toward a performance-driven and application-oriented approach in which coating properties are tailored to meet specific service demands through optimized material selection and process control. By integrating current knowledge and identifying critical gaps in the literature, this work provides a framework to guide future research efforts aimed at developing next-generation coatings for hydro-turbine applications. Full article
(This article belongs to the Special Issue Surface Treatments and Coating of Metallic Materials (2nd Edition))
Show Figures

Figure 1

19 pages, 6753 KB  
Article
Influence of a CaNa2(EDTA) Additive on Plasma Electrolytic Oxidation of Zirlo Alloy and the Properties of the Resulting Coatings
by Wei Li, Guohua Yan, Qianna Zhang and Yingliang Cheng
Coatings 2026, 16(4), 444; https://doi.org/10.3390/coatings16040444 - 7 Apr 2026
Viewed by 359
Abstract
The plasma electrolytic oxidation (PEO) of Zirlo alloy was carried out in a phosphate electrolyte with CaNa2(EDTA) as an additive (0–15 g/L) to improve its corrosion and wear resistance. The PEO behavior, microstructure, phase composition, and performance of coatings were characterized [...] Read more.
The plasma electrolytic oxidation (PEO) of Zirlo alloy was carried out in a phosphate electrolyte with CaNa2(EDTA) as an additive (0–15 g/L) to improve its corrosion and wear resistance. The PEO behavior, microstructure, phase composition, and performance of coatings were characterized as a function of the concentration of the additive. The results indicate that the addition of CaNa2(EDTA) promotes coating growth and improves the coating structure and phase composition. When the additive concentration is 5–10 g/L, the coating shows an improved thickness, and denser microstructure. The coatings consist of m-ZrO2 and t-ZrO2 as the main crystalline phases, as well as amorphous materials with Ca and P. The t-ZrO2 phase content rises sharply when CaNa2(EDTA) is added into the electrolyte (81.3% t-ZrO2 is obtained under the condition with 10 g/L CaNa2(EDTA)). Potentiodynamic polarization tests demonstrate that PEO treatment significantly enhances the corrosion resistance of Zirlo alloy. Under the condition of 5 g/L CaNa2(EDTA), the corrosion current density of the coating decreases by two orders of magnitude compared to the substrate, achieving the best corrosion resistance. Friction and wear tests also show that the coating obtained at 5 g/L CaNa2(EDTA) exhibits the shallowest wear scar and the lowest wear rate, demonstrating optimal wear resistance. This study shows the novelty of obtaining high-quality PEO coatings on Zirlo alloy based on Ca and P incorporation. Full article
(This article belongs to the Special Issue Plasma Electrolytic Oxidation (PEO) Coatings—3rd Edition)
Show Figures

Figure 1

17 pages, 6962 KB  
Article
Effect of Ta on Microstructure, Mechanical Properties, and Soft Magnetic Performance of Fe-Based Amorphous Coatings Prepared by High-Speed Laser Cladding
by Haibo Huang, Xiaoqiang Yao, Jiangtong Yu, Yong Huang, Jintao Li and Xiaoqiang Wang
Coatings 2026, 16(4), 442; https://doi.org/10.3390/coatings16040442 - 7 Apr 2026
Viewed by 381
Abstract
High-speed laser cladding (HLC) technology can provide high cooling rates and low dilution rates for the preparation of metastable Fe-based amorphous phases. In this work, the effects of Ta content on the microstructure, mechanical properties, and soft magnetic performance of Fe-based amorphous alloys [...] Read more.
High-speed laser cladding (HLC) technology can provide high cooling rates and low dilution rates for the preparation of metastable Fe-based amorphous phases. In this work, the effects of Ta content on the microstructure, mechanical properties, and soft magnetic performance of Fe-based amorphous alloys were systematically investigated. The results indicated that Ta remained uniformly dispersed within the FeSiB amorphous powder, and no new phases were formed after mechanical ball milling. The higher mixing enthalpy of Ta and its atomic radius difference from other elements (such as Fe, Si, B) were beneficial in improving glass-forming ability (GFA), and with an increase in Ta element content from 0% to 2%, 4% and 6%, the amorphous phase content was 48.6%, 51.5%, 60.4% and 54.8%, respectively. The average microhardness of the coating with a Ta content of 4% was 1310 HV0.2, which was 50HV0.2 higher than before; in addition, the wear rate reduced from 2.21 × 10−4 mg·N−1·m−1 to 2.06 × 10−4 mg·N−1·m−1. Also, corrosion tests showed that the coating with a Ta content of 4% displayed superior corrosion resistance compared to that before the Ta addition. However, because the element Ta could alter the local electronic environment and enhance the local magnetic anisotropy of FeSiB, the saturation magnetic flux density (Ms) decreased from 1.64 T to 1.56 T, and the coercivity (Hc) increased from 0.9 A/m to 1.3 A/m, which caused degradation of the soft magnetic properties. Full article
(This article belongs to the Special Issue Laser Coatings and Surface Engineering)
Show Figures

Figure 1

12 pages, 3683 KB  
Article
Sputtering Deposited CuCrO2 and CuCrO2-ZnSnN2 Heterojunctions
by Xing-Min Cai, Yu-Feng Mei, Jian-Lin Liang, Wan-Fang Xiong and Fan Ye
Nanomaterials 2026, 16(7), 416; https://doi.org/10.3390/nano16070416 - 30 Mar 2026
Viewed by 346
Abstract
There has been no experimental work on CuCrO2-ZnSnN2 heterojunctions (HJs), though theoretical work shows that their photoelectric conversion efficiency is around 20%. Here, CuCrO2 thin films and p CuCrO2-n ZnSnN2 HJs are prepared by varying the [...] Read more.
There has been no experimental work on CuCrO2-ZnSnN2 heterojunctions (HJs), though theoretical work shows that their photoelectric conversion efficiency is around 20%. Here, CuCrO2 thin films and p CuCrO2-n ZnSnN2 HJs are prepared by varying the sputtering power of the Cu-Cr alloy target while the other parameters are held constant. The as-deposited CuxCryOz thin films are amorphous, with CuCrO2 as the major phase. The CuCrO2 thin films are p-type conductive, with an optical band gap of about 3.64–3.84 eV. The ZnSnN2 thin films are wurtzite and n-type conductive. The dark current density J versus voltage V curve measurements show that all the HJs showed rectification, while only the samples deposited at 40 and 50 W had a photo-induced current. Further analysis shows the HJs deposited at 40 W have the lowest shunt conductance, saturation current density, and trap density, implying an effect of fabrication conditions on the properties of HJs. Full article
(This article belongs to the Special Issue Next-Generation Optoelectronic Nanomaterials and Devices)
Show Figures

Figure 1

12 pages, 4236 KB  
Article
In Situ Lorentz TEM Observation of Dynamic Domain Evolution in FeCoNi Thin Films for GHz Applications
by Xiufang Zhong, Yuze Ge, Zelei Feng, Ke Chen, Guohui Jin and Lianze Ji
Coatings 2026, 16(4), 400; https://doi.org/10.3390/coatings16040400 - 25 Mar 2026
Viewed by 406
Abstract
This study explores the effects of sputtering pressure and power on FeCoNi high-entropy alloy films prepared by DC magnetron sputtering, focusing on microstructure, surface morphology, and static/high-frequency magnetic properties. In situ Lorentz TEM (LZ-TEM) was used to directly observe magnetic domain evolution. Results [...] Read more.
This study explores the effects of sputtering pressure and power on FeCoNi high-entropy alloy films prepared by DC magnetron sputtering, focusing on microstructure, surface morphology, and static/high-frequency magnetic properties. In situ Lorentz TEM (LZ-TEM) was used to directly observe magnetic domain evolution. Results show that low sputtering pressure (1 mTorr) promotes strong FCC (111) crystallization, and smooth and dense surfaces. Increasing pressure leads to amorphization, higher roughness, and degraded magnetic performance. Under optimized pressure, 100 W sputtering power yields the best crystallinity, the smoothest surface, and optimal soft magnetic properties, including high remanence ratio, low coercivity, and clear ferromagnetic resonance in the 2–7.5 GHz range. The optimal parameters are confirmed as 1 mTorr and 100 W, producing uniform nanocrystalline FeCoNi films. In situ LZ-TEM reveals river-like domain walls, vortex–antivortex structures, and uniform magnetic moment precession, indicating weak domain pinning and excellent high-frequency magnetization consistency. This study provides experimental and theoretical support for the controllable fabrication of high-performance FeCoNi soft magnetic films for high-frequency devices. Full article
(This article belongs to the Special Issue Recent Progress in Magnetron Sputtering of Coatings and Thin Films)
Show Figures

Figure 1

13 pages, 47055 KB  
Article
Properties of Laser-Welded Zr-Al-Co-Nb Bulk Metallic Glass
by Huei-Sen Wang, Chih-Chun Hsieh, Hou-Guang Chen, Shao-Chi Wu, Jason Shian-Ching Jang and Kuo-Jung Lee
Materials 2026, 19(6), 1078; https://doi.org/10.3390/ma19061078 - 11 Mar 2026
Viewed by 343
Abstract
In this study, the Nd:YAG laser process was employed with preselected welding parameters and varying initial welding temperatures (including room temperature, 10 °C, and 0 °C) for spot welding of (Zr53Al17Co29)Nb1 bulk metallic glass. Following welding, [...] Read more.
In this study, the Nd:YAG laser process was employed with preselected welding parameters and varying initial welding temperatures (including room temperature, 10 °C, and 0 °C) for spot welding of (Zr53Al17Co29)Nb1 bulk metallic glass. Following welding, the microstructure—including the parent material, heat-affected zone (HAZ), and weld fusion zone (WFZ)—as well as the microhardness, thermal properties, and corrosion resistance of the welds, were systematically investigated. Owing to the low glass-forming ability of the alloy, a small amount of Zr6CoAl2 phase was observed within the amorphous matrix at the center of the bulk metallic glass cast plate. After the laser welding, sub-micron or nanoscale Zr(AlxCo1−x)2 phases have formed in the HAZ of all welded samples, which significantly influenced the microhardness, thermal properties, and corrosion resistance in this region. As the initial welding temperature decreased, both the volume fraction and the density of the Zr(AlxCo1−x)2 phase were reduced. Notably, for the weld performed at the lowest initial temperature of 0 °C, small crystalline phases were detected only at approximately 70 μm below the surface of the HAZ. To clarify the effect of IWTs on corrosion resistance, welded samples were immersed in 6 M HCl at 35 °C for 72–120 h. Surface morphologies after corrosion were examined by SEM in the PM, HAZ, and WFZ. No evident pitting was detected after 72 h of immersion. After 120 h, pitting corrosion was observed on the HAZ surfaces of welds subjected to RT and 10 °C IWTs, whereas no obvious pitting was found at an IWT of 0 °C. The pit size and density in the HAZ increased with increasing IWT. In contrast, no pitting was observed in the WFZ under any IWT condition. Full article
(This article belongs to the Special Issue Properties and Behaviors of Metallic Materials)
Show Figures

Graphical abstract

21 pages, 5577 KB  
Article
Electrochemical and Mechanical Performance of Magnetron-Sputtered AlCrFeVTi High-Entropy Alloy Coatings for Lead-Cooled Fast Reactors
by Shahid Ali, Zahid Hussain, Abdalelah H. Balal, Yuefei Jia, Naeem ul Haq Tariq, Aiman Mukhtar and Gang Wang
Materials 2026, 19(5), 1006; https://doi.org/10.3390/ma19051006 - 5 Mar 2026
Viewed by 471
Abstract
High-entropy amorphous materials are attracting increasing attention due to their excellent corrosion resistance and radiation tolerance in nuclear environments. In this study, novel Al2Cr16Fe50V20Ti12 high-entropy alloy (HEA) coatings with thicknesses of 900 nm and [...] Read more.
High-entropy amorphous materials are attracting increasing attention due to their excellent corrosion resistance and radiation tolerance in nuclear environments. In this study, novel Al2Cr16Fe50V20Ti12 high-entropy alloy (HEA) coatings with thicknesses of 900 nm and 1400 nm were synthesized via magnetron sputtering and systematically evaluated for their structural, electrochemical, and mechanical performance. X-ray diffraction confirmed the amorphous nature of the coatings, while scanning electron microscopy revealed a denser, defect-free, and more uniform morphology in the thicker coating. Electrochemical testing in a 3.5 wt.% NaCl solution demonstrated a tenfold reduction in corrosion current density and nearly a twofold increase in charge transfer resistance for the 1400 nm coating, attributed to its improved passive film stability. Finite element modeling validated the experimental load–displacement behavior and revealed well-confined and uniformly distributed stress and strain fields within the coating. These findings establish the 1400 nm Al2Cr16Fe50V20Ti12 coating as a promising candidate for protective applications in chloride-rich and radiation-intense nuclear systems. Full article
Show Figures

Graphical abstract

16 pages, 1498 KB  
Article
Alloy Glass-Derived Composites in the System of Zr-Pd-Pt-Ce for Catalytic Soot Oxidation
by Masakuni Ozawa, Maki Nakamura, Atsuhiko Masuda, Naoya Katsuragawa, Masatomo Hattori and Hidemi Kato
J. Compos. Sci. 2026, 10(3), 137; https://doi.org/10.3390/jcs10030137 - 5 Mar 2026
Viewed by 276
Abstract
This study investigates the formation and soot removal properties of four composite materials derived from alloy glasses in the system of Zr-Pd-Pt-Ce. Amorphous Zr65Pd35, Zr65Pd30Pt5, Zr60Pd35Ce5, and Zr [...] Read more.
This study investigates the formation and soot removal properties of four composite materials derived from alloy glasses in the system of Zr-Pd-Pt-Ce. Amorphous Zr65Pd35, Zr65Pd30Pt5, Zr60Pd35Ce5, and Zr60Pd30Pt5Ce5 were subjected to a heat treatment at 800 °C for 3 h in air, resulting in the formation of composites containing PdO, Pd and a mixture of tetragonal and monoclinic ZrO2 phases. Their microstructure was identified as composites in which PdO (Pd) precipitates are were dispersed in a ZrO2 matrix. The oxidation of soot over the composites was initiated at lower temperatures, reaching the completion of removal at approximately 600 °C, which was superior to that of non-catalytic soot combustion. The sequence in which the removal temperatures decreased was as follows: Zr65Pd35 > Zr60Pd35Ce5 > Zr60Pd25Pt5Ce5 > Zr65Pd30Pt5. The microstructure emerges as the predominant factor influencing soot oxidation activity, where the oxidation reaction rate was mainly governed by the interface length between PdO and ZrO2. The present results identified a novel bulk-type catalytic composite material, which was derived by a simple process from alloy glasses for the purpose of low-temperature soot oxidation. Full article
(This article belongs to the Section Composites Applications)
Show Figures

Figure 1

15 pages, 2705 KB  
Article
Systematically Identifying and Investigating Key Active Component and Its Transformation Mechanism in the Process of Purifying TiCl4 with Organic Reagents
by Jiazhen Qiu, Xin Tian, Kaihua Li, Jiangqi Zhao, Shiqing Tian, Jinsong Liu, Xin Yang, Jun Li and Ying Liu
Materials 2026, 19(5), 959; https://doi.org/10.3390/ma19050959 - 2 Mar 2026
Viewed by 353
Abstract
The purity of titanium sponge is crucial for determining the performance of final titanium alloys, underscoring the importance of impurity control in its precursor, TiCl4. Among these impurities, VOCl3 is particularly challenging to remove due to its similar boiling point [...] Read more.
The purity of titanium sponge is crucial for determining the performance of final titanium alloys, underscoring the importance of impurity control in its precursor, TiCl4. Among these impurities, VOCl3 is particularly challenging to remove due to its similar boiling point and complete miscibility with TiCl4. Although organic reagents are widely employed for vanadium removal, their complex compositions complicate the identification of key active components. This study systematically compares the vanadium removal efficiency of six organic compounds bearing different functional groups. Results demonstrate that 1-dodecene exhibits superior performance, achieving a VOCl3 removal efficiency of 93.35%. Mechanistic studies reveal that 1-dodecene initially undergoes cyclization to form cyclododecane, followed by aromatization and subsequent carbonization through stacking, dehydrogenation, and coking, ultimately yielding partially graphitized amorphous carbon. In this process, VOCl3 interacts not only with the incompletely carbonized organic precursor but also directly with the alkenes. These findings elucidate the reaction pathway and central role of linear α-alkenes in vanadium removal, providing a theoretical foundation for developing efficient and stable vanadium removal agents. Full article
Show Figures

Figure 1

18 pages, 4397 KB  
Article
Short-Term Annealing Effect on Hydrogen Evolution Activity of Amorphous Al87Y4Gd1Ni4Fe4
by Khrystyna Khrushchyk, Julian Kubisztal, Krzysztof Aniołek, Paweł Świec, Małgorzata Karolus, Lidiya Boichyshyn, Anton Nosenko and Veronika Pihel
Materials 2026, 19(5), 901; https://doi.org/10.3390/ma19050901 - 27 Feb 2026
Viewed by 361
Abstract
This work investigates the structural evolution and electrocatalytic activity of the amorphous metal alloy Al87Y4Gd1Ni4Fe4 during short-term annealing and its effect on the kinetics of the hydrogen evolution reaction (HER) in 1 M KOH. [...] Read more.
This work investigates the structural evolution and electrocatalytic activity of the amorphous metal alloy Al87Y4Gd1Ni4Fe4 during short-term annealing and its effect on the kinetics of the hydrogen evolution reaction (HER) in 1 M KOH. It is shown that a 5 min heat treatment at 647 ± 2 K initiates controlled nanocrystallisation with the formation of AlFe2Ni, GdFe2 and Al(X) (X = Gd, Ni, Y, Fe) phases, which are uniformly dispersed in the amorphous matrix. According to XRD, DSC and HRTEM data, it was established that the formation of intermetallic nanodomains leads to a decrease in charge transfer energy barriers and the appearance of additional active centres of H* adsorption. Electrochemical studies have shown an increase in cathode current density, an increase in i0 by 2–3 orders of magnitude, and a decrease in Rct after annealing, confirming the improvement in HER kinetics. Potentiostatic tests showed an increase in the volumetric hydrogen evolution rate from 35.1 to 106.0 mL/(g·min) during the first immersion and up to 217.9 mL/(g·min) during reuse. SEM/EDS analysis revealed surface reconstruction and Ni enrichment after HER, which contributes to the acceleration of the H* recombination stage. The synergy of the amorphous matrix and nanophases ensures high electrocatalytic activity and stability of the system, making annealed AMA a promising low-cost catalyst for alkaline hydrogen evolution. Full article
(This article belongs to the Section Advanced Materials Characterization)
Show Figures

Graphical abstract

Back to TopTop