Physical and Physiological Demands of Official Beach Soccer Match-Play in Relation to Environmental Temperature
Abstract
1. Introduction
2. Materials and Methods
2.1. Participants
2.2. Design
2.3. Data Collection
2.3.1. Environmental Conditions
2.3.2. Physical Demands
2.3.3. Physiological Outcomes
Heart Rate
Rate of Perceived Exertion
Fluid Loss
2.4. Statistical Analyses
3. Results
3.1. Environmental Conditions
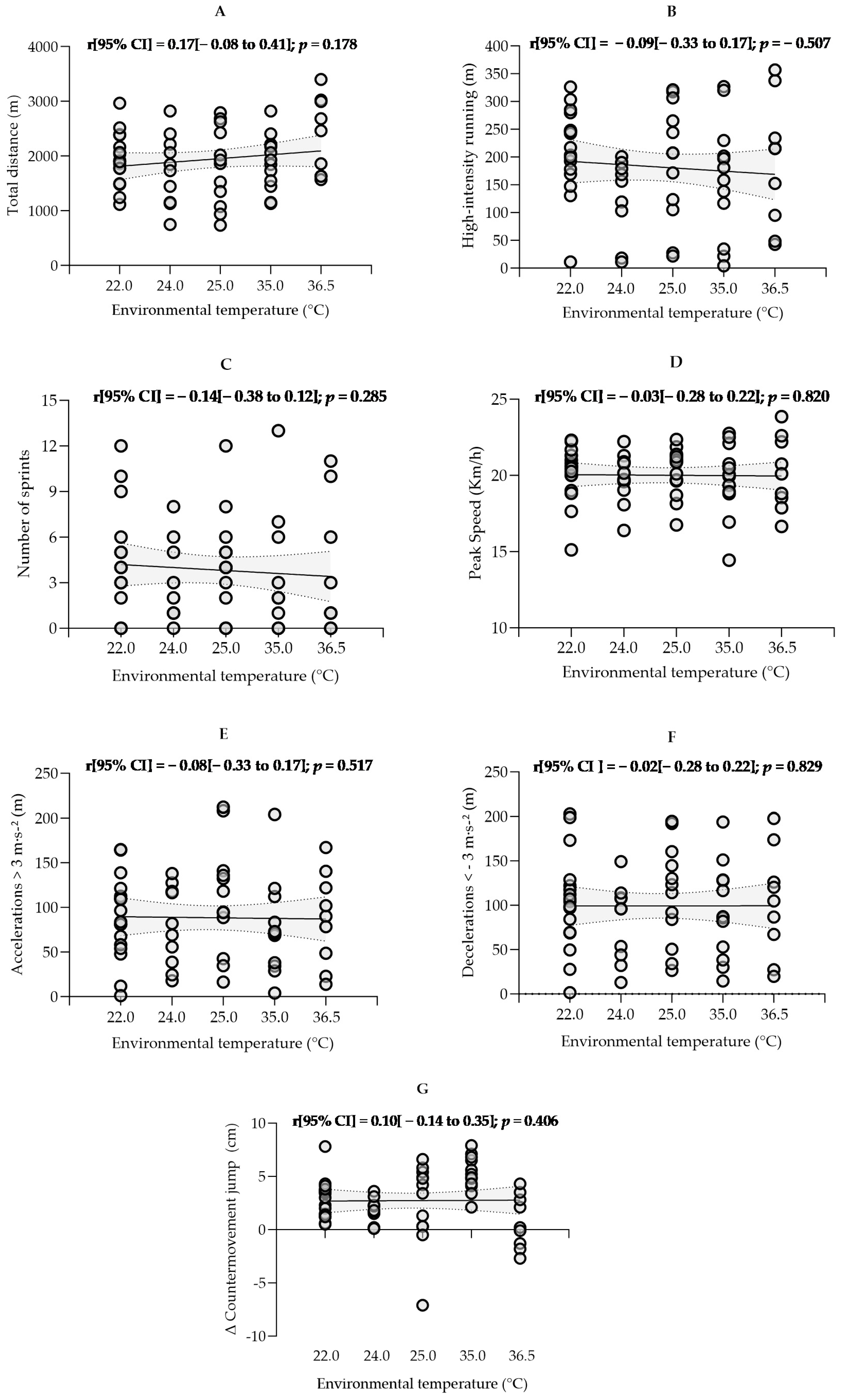
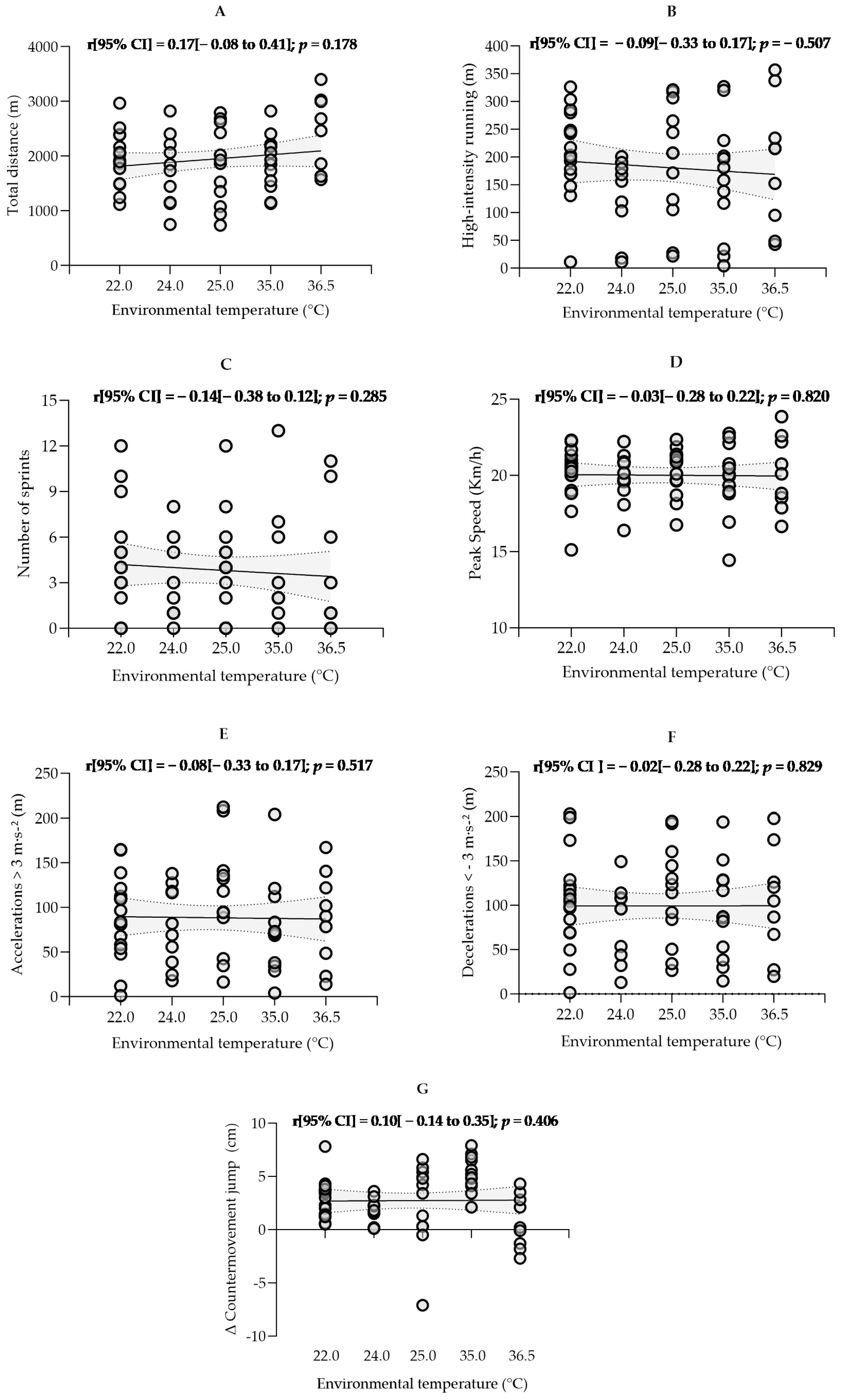
3.2. Physical Demands
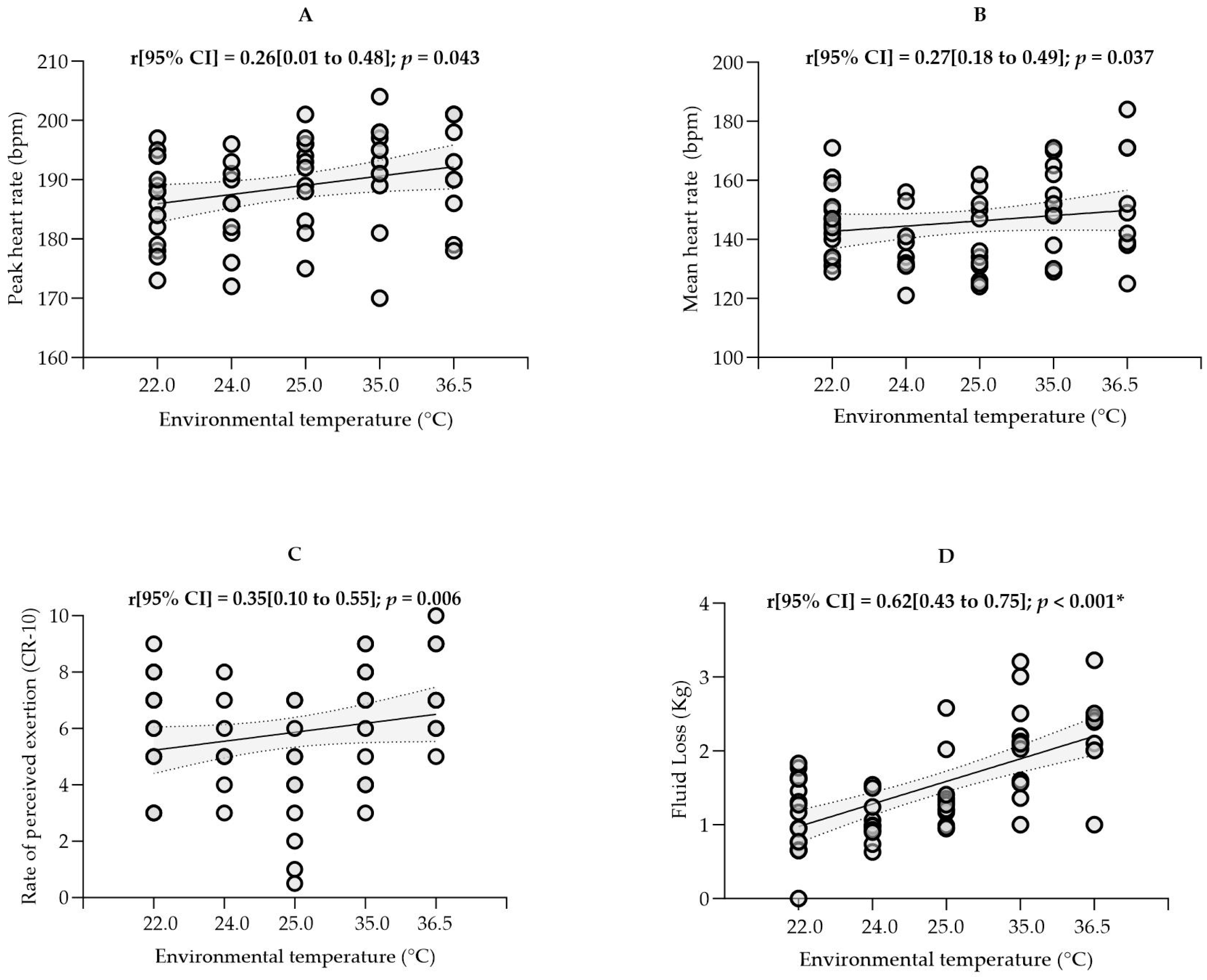
3.3. Physiological Outcomes
4. Discussion
4.1. Physical Demands
4.2. Physiological Outcomes
4.3. The Potential Influence of Statistical Analyses
4.4. Limitations
5. Conclusions
6. Practical Applications
Author Contributions
Funding
Institutional Review Board Statement
Informed Consent Statement
Data Availability Statement
Acknowledgments
Conflicts of Interest
Abbreviations
| Te | Environmental temperature |
| RPE | Rate of perceived exertion |
| HSR | High-intensity running |
| TD | Total distance |
| Vpeak | Peak speed |
| WBGT | Wet-bulb globe temperature |
| HR | Heart rate |
| HRpeak | Peak heart rate |
| HRmean | Mean heart rate |
| CMJ | Counter-movement jump |
| GPS | Global positioning system |
References
- McGregor, G.R.; Vanos, J.K. Heat: A primer for public health researchers. Public Health 2018, 161, 138–146. [Google Scholar] [CrossRef] [PubMed]
- Seiffert, R.; Szymski, D. Sports in Hot and Cold Environments. In Injury and Health Risk Management in Sports: A Guide to Decision Making; Springer: Berlin/Heidelberg, Germany, 2020; pp. 413–415. [Google Scholar]
- Lei, T.H.; Wang, F. Looking ahead of 2021 Tokyo Summer Olympic Games: How Does Humid Heat Affect Endurance Performance? Insight into physiological mechanism and heat-related illness prevention strategies. J. Therm. Biol. 2021, 99, 102975. [Google Scholar] [CrossRef] [PubMed]
- No, M.; Kwak, H.B. Effects of environmental temperature on physiological responses during submaximal and maximal exercises in soccer players. Integr. Med. Res. 2016, 5, 216–222. [Google Scholar] [CrossRef]
- Draper, G.; Wright, M.D.; Ishida, A.; Chesterton, P.; Portas, M.; Atkinson, G. Do environmental temperatures and altitudes affect physical outputs of elite football athletes in match conditions? A systematic review of the ‘real world’ studies. Sci. Med. Footb. 2023, 7, 81–92. [Google Scholar] [CrossRef]
- Périard, J.D.; Racinais, S.; Knez, W.L.; Herrera, C.P.; Christian, R.J.; Girard, O. Thermal, physiological and perceptual strain mediate alterations in match-play tennis under heat stress. Br. J. Sports Med. 2014, 48 (Suppl. 1), i32–i38. [Google Scholar] [CrossRef]
- Mohr, M.; Mujika, I.; Santisteban, J.; Randers, M.B.; Bischoff, R.; Solano, R.; Hewitt, A.; Zubillaga, A.; Peltola, E.; Krustrup, P. Examination of fatigue development in elite soccer in a hot environment: A multi-experimental approach. Scand. J. Med. Sci. Sports 2010, 20 (Suppl. 3), 125–132. [Google Scholar] [CrossRef]
- Liu, W.H.; Li, Z.Y.; Loh, Y.C. Evaluation of the impact of hot environmental conditions on physical activity among soccer players. Eur. Rev. Med. Pharmacol. Sci. 2022, 26, 8216–8223. [Google Scholar] [CrossRef]
- Mohr, M.; Nybo, L.; Grantham, J.; Racinais, S. Physiological responses and physical performance during football in the heat. PLoS ONE 2012, 7, e39202. [Google Scholar] [CrossRef]
- Chodor, W.; Chmura, P.; Chmura, J.; Andrzejewski, M.; Jówko, E.; Buraczewski, T.; Drożdżowski, A.; Rokita, A.; Konefał, M. Impact of climatic conditions projected at the World Cup in Qatar 2022 on repeated maximal efforts in soccer players. PeerJ 2021, 9, e12658. [Google Scholar] [CrossRef]
- Budd, G.M. Wet-bulb globe temperature (WBGT)–Its history and its limitations. J. Sci. Med. Sport 2008, 11, 20–32. [Google Scholar] [CrossRef]
- Nassis, G.P.; Brito, J.; Dvorak, J.; Chalabi, H.; Racinais, S. The association of environmental heat stress with performance: Analysis of the 2014 FIFA World Cup Brazil. Br. J. Sports Med. 2015, 49, 609–613. [Google Scholar] [CrossRef] [PubMed]
- Sawka, M.N.; Burke, L.M.; Eichner, E.R.; Maughan, R.J.; Montain, S.J.; Stachenfeld, N.S. American College of Sports Medicine position stand. Exercise and fluid replacement. Med. Sci. Sports Exerc. 2007, 39, 377–390. [Google Scholar] [CrossRef] [PubMed]
- Armstrong, L.E.; Casa, D.J.; Millard-Stafford, M.; Moran, D.S.; Pyne, S.W.; Roberts, W.O. American College of Sports Medicine position stand. Exertional heat illness during training and competition. Med. Sci. Sports Exerc. 2007, 39, 556–572. [Google Scholar] [CrossRef] [PubMed]
- Sugawara, M.; Manabe, Y.; Yamasawa, F.; Hosokawa, Y. Athlete Medical Services at the Marathon and Race Walking Events During Tokyo 2020 Olympics. Front. Sports Act. Living 2022, 4, 872475. [Google Scholar] [CrossRef]
- Weiss, K.; Valero, D.; Villiger, E.; Thuany, M.; Scheer, V.; Cuk, I.; Knechtle, B. Temperature and barometric pressure are related to running speed and pacing of the fastest runners in the ‘Berlin Marathon’. Eur. Rev. Med. Pharmacol. Sci. 2022, 26, 4177–4287. [Google Scholar] [CrossRef]
- Racinais, S.; Alhammoud, M.; Nasir, N.; Bahr, R. Epidemiology and risk factors for heat illness: 11 years of Heat Stress Monitoring Programme data from the FIVB Beach Volleyball World Tour. Br. J. Sports Med. 2021, 55, 831–835. [Google Scholar] [CrossRef]
- de Korte, J.Q.; Bongers, C.; Hopman, M.T.E.; Eijsvogels, T.M.H. Exercise Performance and Thermoregulatory Responses of Elite Athletes Exercising in the Heat: Outcomes of the Thermo Tokyo Study. Sports Med. 2021, 51, 2423–2436. [Google Scholar] [CrossRef]
- Périard, J.D.; Racinais, S.; Sawka, M.N. Adaptations and mechanisms of human heat acclimation: Applications for competitive athletes and sports. Scand. J. Med. Sci. Sports 2015, 25 (Suppl. 1), 20–38. [Google Scholar] [CrossRef]
- Nybo, L.; Flouris, A.D.; Racinais, S.; Mohr, M. Football facing a future with global warming: Perspectives for players health and performance. Br. J. Sports Med. 2021, 55, 297–298. [Google Scholar] [CrossRef]
- Scarfone, R.; Ammendolia, A. Match analysis of an elite beach soccer team. J. Sports Med. Phys. Fit. 2017, 57, 953–959. [Google Scholar] [CrossRef]
- Vaccaro Benet, P.; Ugalde-Ramírez, A.; Gómez-Carmona, C.D.; Pino-Ortega, J.; Becerra-Patiño, B.A. Identification of Game Periods and Playing Position Activity Profiles in Elite-Level Beach Soccer Players Through Principal Component Analysis. Sensors 2024, 24, 7708. [Google Scholar] [CrossRef] [PubMed]
- Vaccaro-Benet, P.; Gómez-Carmona, C.D.; Marzano-Felisatti, J.M.; Pino-Ortega, J. Internal and External Load Profile during Beach Invasion Sports Match-Play by Electronic Performance and Tracking Systems: A Systematic Review. Sensors 2024, 24, 3738. [Google Scholar] [CrossRef] [PubMed]
- Scarfone, R.; Tessitore, A.; Minganti, C.; Capranica, L.; Ammendolia, A. Match analysis heart-rate and CMJ of beach soccer players during amateur competition. Int. J. Perform. Anal. Sport 2015, 15, 241–253. [Google Scholar] [CrossRef]
- Castellano, J.; Casamichana, D. Heart Rate and Motion Analysis by GPS in Beach Soccer. J. Sports Sci. Med. 2010, 9, 98–103. [Google Scholar]
- Larsen, M.N.; Ermidis, G.; Brito, J.; Ørner, C.; Martins, C.; Lemos, L.F.; Krustrup, P.; Rago, V. Fitness and Performance Testing of Male and Female Beach Soccer Players-A Preliminary Investigation. Front. Sports Act. Living 2021, 3, 636308. [Google Scholar] [CrossRef]
- McKay, A.K.A.; Stellingwerff, T.; Smith, E.S.; Martin, D.T.; Mujika, I.; Goosey-Tolfrey, V.L.; Sheppard, J.; Burke, L.M. Defining Training and Performance Caliber: A Participant Classification Framework. Int. J. Sports Physiol. Perform. 2022, 17, 317–331. [Google Scholar] [CrossRef]
- Worldwide, B.S. World Ranking of Clubs 2023. Available online: https://beachsoccer.com/rankings (accessed on 6 July 2024).
- Wang, X.; Cheng, Z. Cross-Sectional Studies: Strengths, Weaknesses, and Recommendations. Chest 2020, 158, S65–S71. [Google Scholar] [CrossRef]
- Cooper, E.; Grundstein, A.; Rosen, A.; Miles, J.; Ko, J.; Curry, P. An Evaluation of Portable Wet Bulb Globe Temperature Monitor Accuracy. J. Athl. Train. 2017, 52, 1161–1167. [Google Scholar] [CrossRef]
- Hosokawa, Y.; Adams, W.M.; Casa, D.J.; Vanos, J.K.; Cooper, E.R.; Grundstein, A.J.; Jay, O.; McDermott, B.P.; Otani, H.; Raukar, N.P.; et al. Roundtable on Preseason Heat Safety in Secondary School Athletics: Environmental Monitoring During Activities in the Heat. J. Athl. Train. 2021, 56, 362–371. [Google Scholar] [CrossRef]
- Bastida Castillo, A.; Gómez Carmona, C.D.; De la Cruz Sánchez, E.; Pino Ortega, J. Accuracy, intra- and inter-unit reliability, and comparison between GPS and UWB-based position-tracking systems used for time-motion analyses in soccer. Eur. J. Sport Sci. 2018, 18, 450–457. [Google Scholar] [CrossRef]
- Gómez-Carmona, C.D.; Bastida-Castillo, A.; Ibáñez, S.J.; Pino-Ortega, J. Accelerometry as a method for external workload monitoring in invasion team sports. A systematic review. PLoS ONE 2020, 15, e0236643. [Google Scholar] [CrossRef] [PubMed]
- Pueo, B.; Jimenez-Olmedo, J.M.; Penichet-Tomas, A.; Ortega Becerra, M.; Espina Agullo, J.J. Analysis of Time-Motion and Heart Rate in Elite Male and Female Beach Handball. J. Sports Sci. Med. 2017, 16, 450–458. [Google Scholar] [PubMed]
- Rago, V.; Brito, J.; Figueiredo, P.; Carvalho, T.; Fernandes, T.; Fonseca, P.; Rebelo, A. Countermovement Jump Analysis Using Different Portable Devices: Implications for Field Testing. Sports 2018, 6, 91. [Google Scholar] [CrossRef] [PubMed]
- Molina-Carmona, I.; Gomez-Carmona, C.; Bastida-Castillo, A.; Pino-Ortega, J. Validity of WIMU PROtm inertial device to register heart rate variable in a field test. Sport Tk-Rev. Euroam. De Cienc. Del Deporte 2018, 7, 81–85. [Google Scholar]
- Foster, C.; A Florhaug, J.; Franklin, J.; Gottschall, L.; A Hrovatin, L.; Parker, S.; Doleshal, P.; Dodge, C. A new approach to monitoring exercise training. J. Strength Cond. Res. 2001, 15, 109–115. [Google Scholar]
- Borg, G. Borg’s Perceived Exertion and Pain Scales; Humankinetics: Champaign, IL, USA, 1998. [Google Scholar]
- Impellizzeri, F.M.; Rampinini, E.; Coutts, A.J.; Sassi, A.; Marcora, S.M. Use of RPE-based training load in soccer. Med. Sci. Sports Exerc. 2004, 36, 1042–1047. [Google Scholar] [CrossRef]
- Maughan, R.J.; Shirreffs, S.M. Development of individual hydration strategies for athletes. Int. J. Sport Nutr. Exerc. Metab. 2008, 18, 457–472. [Google Scholar] [CrossRef]
- Hopkins, W.G.; Marshall, S.W.; Batterham, A.M.; Hanin, J. Progressive statistics for studies in sports medicine and exercise science. Med. Sci. Sports Exerc. 2009, 41, 3–13. [Google Scholar] [CrossRef]
- Banerjee, A.; Chitnis, U.B.; Jadhav, S.L.; Bhawalkar, J.S.; Chaudhury, S. Hypothesis testing, type I and type II errors. Ind. Psychiatry J. 2009, 18, 127–131. [Google Scholar] [CrossRef]
- Link, D.; Weber, H. Effect of Ambient Temperature on Pacing in Soccer Depends on Skill Level. J. Strength Cond. Res. 2017, 31, 1766–1770. [Google Scholar] [CrossRef]
- James, C.A.; Willmott, A.G.B.; Dhawan, A.; Stewart, C.; Gibson, O.R. Increased air temperature decreases high-speed, but not total distance, in international field hockey. Temperature 2022, 9, 357–372. [Google Scholar] [CrossRef] [PubMed]
- Loxston, C.; Lawson, M.; Unnithan, V. Does environmental heat stress impact physical and technical match-play characteristics in football? Sci. Med. Footb. 2019, 3, 191–197. [Google Scholar] [CrossRef]
- Mohr, M.; Krustrup, P. Heat stress impairs repeated jump ability after competitive elite soccer games. J. Strength Cond. Res. 2013, 27, 683–689. [Google Scholar] [CrossRef] [PubMed]
- Nuccio, R.P.; Barnes, K.A.; Carter, J.M.; Baker, L.B. Fluid Balance in Team Sport Athletes and the Effect of Hypohydration on Cognitive, Technical, and Physical Performance. Sports Med. 2017, 47, 1951–1982. [Google Scholar] [CrossRef] [PubMed]
- Plakias, S.; Tsatalas, T.; Mina, M.A.; Kokkotis, C.; Flouris, A.D.; Giakas, G. The Impact of Heat Exposure on the Health and Performance of Soccer Players: A Narrative Review and Bibliometric Analysis. Sports 2024, 12, 249. [Google Scholar] [CrossRef]
- Racinais, S.; Mohr, M.; Buchheit, M.; Voss, S.C.; Gaoua, N.; Grantham, J.; Nybo, L. Individual responses to short-term heat acclimatisation as predictors of football performance in a hot, dry environment. Br. J. Sports Med. 2012, 46, 810–815. [Google Scholar] [CrossRef]
- Andrade, C. Multiple Testing and Protection Against a Type 1 (False Positive) Error Using the Bonferroni and Hochberg Corrections. Indian J. Psychol. Med. 2019, 41, 99–100. [Google Scholar] [CrossRef]
- Bishop, C.; Read, P.; Bromley, T.; Brazier, J.; Jarvis, P.; Chavda, S.; Turner, A. The Association Between Interlimb Asymmetry and Athletic Performance Tasks: A Season-Long Study in Elite Academy Soccer Players. J. Strength Cond. Res. 2022, 36, 787–795. [Google Scholar] [CrossRef]
- Gathercole, R.; Sporer, B.; Stellingwerff, T.; Sleivert, G. Alternative countermovement-jump analysis to quantify acute neuromuscular fatigue. Int. J. Sports Physiol. Perform. 2015, 10, 84–92. [Google Scholar] [CrossRef]


| Te (°C) | WBGT (°C) | RH (%) | ||||||||
|---|---|---|---|---|---|---|---|---|---|---|
| Match | Players (n) | Min | Max | Mean ± SD | Min | Max | Mean ± SD | Min | Max | Mean ± SD |
| 1 | 17 | 20.4 | 24.5 | 22.0 ± 1.1 | 22.1 | 24.6 | 23.7 ± 0.6 | 66.7 | 80.5 | 74.9 ± 3.7 |
| 2 | 12 | 23.0 | 29.9 | 25.0 ± 1.5 | 24.0 | 25.5 | 24.6 ± 0.4 | 61.6 | 74.7 | 70.1 ± 2.1 |
| 3 | 9 | 32.6 | 43.1 | 36.5 ± 2.8 | 29.7 | 32.9 | 31.0 ± 0.6 | 25.6 | 39.0 | 33.3 ± 3.1 |
| 4 | 12 | 31.5 | 38.3 | 35.0 ± 1.9 | 28.5 | 31.6 | 29.0 ± 0.7 | 28.0 | 35.0 | 31.2 ± 1.9 |
| 5 | 10 | 23.8 | 25.8 | 24.0 ± 0.5 | 25.7 | 27.7 | 26.4 ± 0.4 | 57.3 | 67.0 | 61.9 ± 3.0 |
| Overall | 60 | 20.4 | 43.1 | 28.5 ± 6.7 | 22.1 | 32.9 | 26.9 ± 2.7 | 25.6 | 80.5 | 54.3 ± 18.4 |
| Te | 22.0 °C | 24.0 °C | 25.0 °C | 35.0 °C | 36.5 °C | |
|---|---|---|---|---|---|---|
| Players (n) | 17 | 12 | 10 | 12 | 09 | |
| Physical demands | ||||||
| HSR (m) | 213 ± 73 | 134 ± 66 | 193 ± 101 | 161 ± 101 | 189 ± 108 | |
| Number of sprints | 4.5 ± 3.2 | 2.8 ± 2.5 | 4.5 ± 3.1 | 3.3 ± 3.5 | 3.5 ± 4.1 | |
| Peak speed (Km/h) | 20.1 ± 1.7 | 19.8 ± 1.6 | 20.1 ± 1.6 | 19.7 ± 2.2 | 20.1 ± 2.2 | |
| Total distance (m) | 1940 ± 453 | 1756 ± 611 | 1830 ± 681 | 1871 ± 483 | 2361 ± 665 | |
| Accelerations (m·s−2) | 89 ± 45 | 79± 42 | 110 ± 60 | 76 ± 50 | 87 ± 49 | |
| Decelerations (m·s−2) | 104 ± 52 | 81 ± 41 | 112 ± 54 | 92 ± 51 | 102 ± 57 | |
| CMJ (cm) | Before | 35.7 ± 5.2 | 38.9 ± 6.1 | 37.6 ± 4.5 | 35.1 ± 5.0 | 38.0 ± 4.3 |
| After | 38.2 ± 5.8 | 40.6 ± 6.1 | 40.0 ± 6.9 | 40.3 ± 5.9 | 38.2 ± 4.7 | |
| Physiological responses | ||||||
| HRpeak (bpm) | 186.2 ± 6.6 | 185.3 ± 7.2 | 190.4 ± 7.2 | 191.8 ± 8.5 | 190.7 ± 8.1 | |
| HRmean (bpm) | 147.2 ± 11.6 | 137.9 ± 10.0 | 139.7 ± 12.8 | 151.7 ± 13.5 | 152.3 ± 18.0 | |
| RPE (CR-10) | 5.9 ± 1.5 | 5.3 ± 1.3 | 4.1 ± 2.0 | 6.6 ± 2.0 | 7.3 ± 1.5 | |
| Fluid Loss (Kg) | 1.0 ± 0.5 | 1.0 ± 0.3 | 1.3 ± 0.4 | 2.0 ± 0.6 | 2.2 ± 0.8 | |
Disclaimer/Publisher’s Note: The statements, opinions and data contained in all publications are solely those of the individual author(s) and contributor(s) and not of MDPI and/or the editor(s). MDPI and/or the editor(s) disclaim responsibility for any injury to people or property resulting from any ideas, methods, instructions or products referred to in the content. |
© 2025 by the authors. Licensee MDPI, Basel, Switzerland. This article is an open access article distributed under the terms and conditions of the Creative Commons Attribution (CC BY) license (https://creativecommons.org/licenses/by/4.0/).
Share and Cite
Carvalho, T.; Rago, V.; Brito, J.; Praxedes, P.; Abreu, M.; Silva, D.; Pereira, S.; Mohr, M.; Baptista, I.; Afonso, J. Physical and Physiological Demands of Official Beach Soccer Match-Play in Relation to Environmental Temperature. Sports 2025, 13, 118. https://doi.org/10.3390/sports13040118
Carvalho T, Rago V, Brito J, Praxedes P, Abreu M, Silva D, Pereira S, Mohr M, Baptista I, Afonso J. Physical and Physiological Demands of Official Beach Soccer Match-Play in Relation to Environmental Temperature. Sports. 2025; 13(4):118. https://doi.org/10.3390/sports13040118
Chicago/Turabian StyleCarvalho, Thiago, Vincenzo Rago, João Brito, Priscyla Praxedes, Marco Abreu, Davi Silva, Sara Pereira, Magni Mohr, Ivan Baptista, and José Afonso. 2025. "Physical and Physiological Demands of Official Beach Soccer Match-Play in Relation to Environmental Temperature" Sports 13, no. 4: 118. https://doi.org/10.3390/sports13040118
APA StyleCarvalho, T., Rago, V., Brito, J., Praxedes, P., Abreu, M., Silva, D., Pereira, S., Mohr, M., Baptista, I., & Afonso, J. (2025). Physical and Physiological Demands of Official Beach Soccer Match-Play in Relation to Environmental Temperature. Sports, 13(4), 118. https://doi.org/10.3390/sports13040118

