Effects of Environmental Factors on the Diversity of Grasshopper Communities along Altitude Gradients in Xizang, China
Abstract
Simple Summary
Abstract
1. Introduction
2. Materials and Methods
2.1. Overview of the Study Area
2.2. Sample Point Setting and Sampling Method
2.3. Environmental Data
2.3.1. Data on Temperature and Precipitation
2.3.2. Vegetation Factor Data
2.3.3. Soil Factor Data
2.4. Community Diversity Index
2.4.1. Diversity Analysis of the Grasshopper Community
2.4.2. Jaccard Similarity Analysis of Grasshopper Community
2.5. Data Processing
3. Results
3.1. Composition of Grasshopper Community in Xizang
3.2. Diversity Characteristics of Grasshopper Families in Xizang
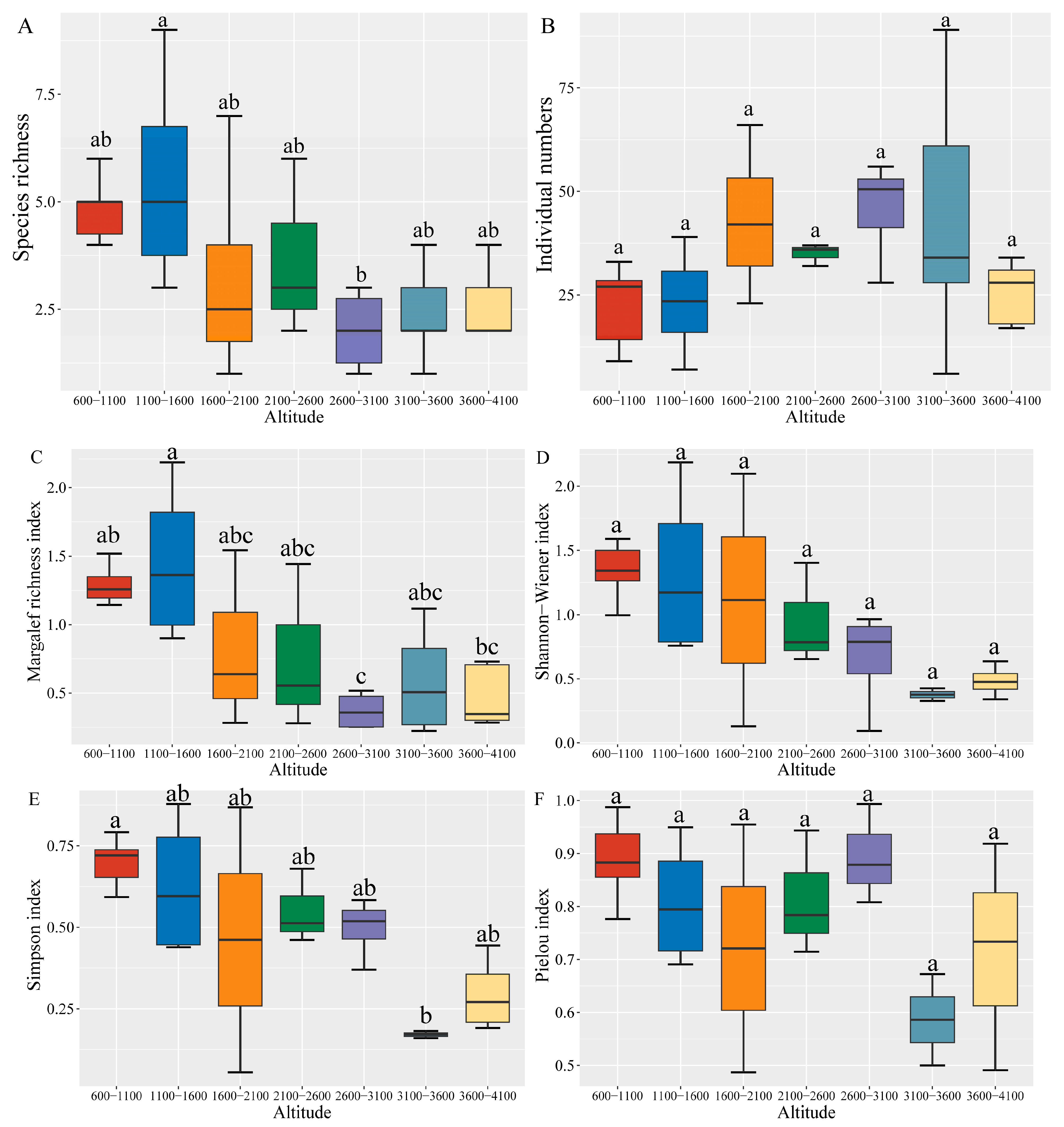
3.3. Altitude Distribution Pattern of Grasshopper Community Diversity in Xizang
3.4. Similarity Analysis of the Grasshopper Community at Different Altitudes in Xizang
3.5. Correlation between Grasshopper Community Diversity and Environmental Factors in Xizang
3.6. Analysis of the Driving Factors of the Grasshopper Community Diversity in Xizang
4. Discussion
5. Conclusions
Supplementary Materials
Author Contributions
Funding
Data Availability Statement
Conflicts of Interest
References
- Sonne, J.; Rahbek, C. Idiosyncratic patterns of local species richness and turnover define global biodiversity hotspots. Proc. Natl. Acad. Sci. USA 2024, 121, e2313106121. [Google Scholar] [CrossRef]
- van Klink, R.; Bowler, D.E.; Gongalsky, K.B.; Shen, M.; Swengel, S.R.; Chase, J.M. Disproportionate declines of formerly abundant species underlie insect loss. Nature 2024, 628, 359–364. [Google Scholar] [CrossRef]
- Maguire, D.Y.; James, P.M.A.; Buddle, C.M.; Bennett, E.M. Landscape connectivity and insect herbivory: A framework for understanding tradeoffs among ecosystem services. Glob. Ecol. Conserv. 2015, 4, 73–84. [Google Scholar] [CrossRef]
- Shao, X.; Zhang, Q.; Yang, X. Spatial patterns of insect herbivory within a forest landscape: The role of soil type and forest stratum. For. Ecosyst. 2021, 8, 69. [Google Scholar] [CrossRef]
- Kati, V.; Zografou, K.; Tzirkalli, E.; Chitos, T.; Willemse, L. Butterfly and grasshopper diversity patterns in humid Mediterranean grasslands: The roles of disturbance and environmental factors. J. Insect. Conserv. 2012, 16, 807–818. [Google Scholar] [CrossRef]
- Kang, L.; Wei, L. Progress of acridology in China over the last 60 years. J. Plant Prot. 2022, 49, 4–16. [Google Scholar]
- Fumy, F.; Kämpfer, S.; Fartmann, T. Land-use intensity determines grassland Orthoptera assemblage composition across a moisture gradient. Agric. Ecosyst. Environ. 2021, 315, 107424. [Google Scholar] [CrossRef]
- Måsviken, J.; Dalerum, F.; Cousins, S.A.O. Contrasting altitudinal variation of alpine plant communities along the Swedish mountains. Ecol. Evol. 2020, 10, 4838–4853. [Google Scholar] [CrossRef]
- Oldfather, M.F.; Britton, M.N.; Papper, P.D.; Koontz, M.J.; Halbur, M.M.; Dodge, C.; Flint, A.L.; Flint, L.E.; Ackerly, D.D. Effects of topoclimatic complexity on the composition of woody plant communities. AoB Plants 2016, 8, plw049. [Google Scholar] [CrossRef]
- Dokjan, T.; Bicha, W.J.; Suttiprapan, P.; Chuttong, B.; Chiu, C.; Aupalee, K.; Saeung, A.; Sulin, C.; Srisuka, W. Biodiversity and spatiotemporal variations of mecoptera in Thailand: Influences of elevation and climatic factors. Insects 2024, 15, 151. [Google Scholar] [CrossRef]
- Beirao, M.V.; Neves, F.S.; Fernandes, G.W. Climate and plant structure determine the spatiotemporal butterfly distribution on a tropical mountain. Biotropica 2020, 53, 191–200. [Google Scholar] [CrossRef]
- Finnie, S.; Sam, K.; Leponce, M.; Basset, Y.; Drew, D.; Schutze, M.K.; Dahl, C.; Damag, M.; Dilu, M.; Gewa, B.; et al. Assemblages of fruit flies (Diptera: Tephritidae) along an elevational gradient in the rainforests of Papua New Guinea. Insect Conserv. Diver. 2021, 14, 348–355. [Google Scholar] [CrossRef]
- Fontana, V.; Guariento, E.; Hilpold, A.; Niedrist, G.; Steinwandter, M.; Spitale, D.; Nascimbene, J.; Tappeiner, U.; Seeber, J. Species richness and beta diversity patterns of multiple taxa along an elevational gradient in pastured grasslands in the European Alps. Sci. Rep. 2020, 10, 12516. [Google Scholar] [CrossRef] [PubMed]
- Alexander, G.; Hilliard, J.R. Altitudinal and seasonal distribution of Orthoptera in the Rocky mountains of Northern Colorado. Ecol. Monogr. 1969, 39, 385–432. [Google Scholar] [CrossRef]
- McCabe, L.M.; Colella, E.; Chesshire, P.; Smith, D.; Cobb, N.S. The transition from bee-to-fly dominated communities with increasing elevation and greater forest canopy cover. PLoS ONE 2019, 14, e0217198. [Google Scholar] [CrossRef]
- Minachilis, K.; Kougioumoutzis, K.; Petanidou, T. Climate change effects on multi-taxa pollinator diversity and distribution along the elevation gradient of Mount Olympus, Greece. Ecol. Indic. 2021, 132, 108335. [Google Scholar] [CrossRef]
- Herzog, S.K.; Hamel-Leigue, A.C.; Larsen, T.H.; Mann, D.J.; Soria-Auza, R.W.; Gill, B.D.; Edmonds, W.D.; Spector, S. Elevational distribution and conservation biogeography of phanaeine dung beetles (Coleoptera: Scarabaeinae) in Bolivia. PLoS ONE 2013, 8, e64963. [Google Scholar] [CrossRef]
- Maicher, V.; Sáfián, S.; Murkwe, M.; Delabye, S.; Przybyłowicz, L.; Potocký, P.; Kobe, I.N.; Janeček, Š.; Mertens, J.E.J.; Fokam, E.B.; et al. Seasonal shifts of biodiversity patterns and species’ elevation ranges of butterflies and moths along a complete rainforest elevational gradient on Mount Cameroon. J. Biogeogr. 2020, 47, 342–354. [Google Scholar] [CrossRef]
- Ortego, J.; Aguirre, M.P.; Noguerales, V.; Cordero, P.J. Consequences of extensive habitat fragmentation in landscape-level patterns of genetic diversity and structure in the Mediterranean esparto grasshopper. Evol. Appl. 2015, 8, 621–632. [Google Scholar] [CrossRef]
- Zhang, H.; Cao, Z.; Wang, Y.; Shi, X.; Cheng, R.; Ban, L.; Zhang, R.; Wei, S. Beta diversity of grasshoppers and predatory beetles across steppes is closely associated with altitude and average annual precipitation in Ningxia, northwest China. Glob. Ecol. Conserv. 2024, 51, e02941. [Google Scholar] [CrossRef]
- Bhaskar, D.; Easa, P.S.; Sreejith, K.A.; Skejo, J.; Hochkirch, A. Large scale burning for a threatened ungulate in a biodiversity hotspot is detrimental for grasshoppers (Orthoptera: Caelifera). Biodivers. Conserv. 2019, 28, 3221–3237. [Google Scholar] [CrossRef]
- Walcher, R.; Karrer, J.; Sachslehner, L.; Bohner, A.; Pachinger, B.; Brandl, D.; Zaller, J.G.; Arnberger, A.; Frank, T. Diversity of bumblebees, heteropteran bugs and grasshoppers maintained by both: Abandonment and extensive management of mountain meadows in three regions across the Austrian and Swiss Alps. Landsc. Ecol. 2017, 32, 1937–1951. [Google Scholar] [CrossRef]
- Joubert, L.; Pryke, J.S.; Samways, M.J. Positive effects of burning and cattle grazing on grasshopper diversity. Insect Conserv. Divers. 2016, 9, 290–301. [Google Scholar] [CrossRef]
- Görn, S.; Dobner, B.; Suchanek, A.; Fischer, K. Assessing human impact on fen biodiversity: Effects of different management regimes on butterfly, grasshopper, and carabid beetle assemblages. Biodivers. Conserv. 2014, 23, 309–326. [Google Scholar] [CrossRef]
- Mariottini, Y.; De Wysiecki, M.L.; Lange, C.E. Diversity and distribution of grasshoppers (Orthoptera: Acridoidea) in grasslands of the Southern Pampas region, Argentina. Rev. Biol. Trop. 2013, 61, 111–124. [Google Scholar]
- Ngoute, C.O.; Kekeunou, S.; Bilong, C.F.B. Grasshopper (Orthoptera: Acridomorpha) diversity in response to fallow-land use in southern Cameroon with recommendations for land management. J. Insect Sci. 2023, 23, 5. [Google Scholar] [CrossRef]
- Bishop, T.R.; Robertson, M.P.; Rensburg, B.J.V.; Parr, C.L. Elevation–diversity patterns through space and time: Ant communities of the Maloti-Drakensberg Mountains of southern Africa. J. Biogeogr. 2014, 41, 2256–2268. [Google Scholar] [CrossRef]
- Tito, R.; Vasconcelos, H.L.; Feeley, K.J. Mountain ecosystems as natural laboratories for climate change experiments. Front. For. Glob. Chang. 2020, 3, 38. [Google Scholar] [CrossRef]
- Song, X.; Cao, M.; Li, J.; Kitching, R.L.; Nakamura, A.; Laidlaw, M.J.; Tang, Y.; Sun, Z.; Zhang, W.; Yang, J. Different environmental factors drive tree species diversity along elevation gradients in three climatic zones in Yunnan, southern China. Plant Divers. 2021, 43, 433–443. [Google Scholar] [CrossRef]
- Acharya, B.K.; Vijayan, L. Butterfly diversity along the elevation gradient of Eastern Himalaya, India. Ecol. Res. 2015, 30, 909–919. [Google Scholar] [CrossRef]
- Lou, Q.Z.; Xu, Y.C.; Ma, J.H.; Lü, Z.Z. Diversity of ground-dwelling beetles within the southern Gurbantunggut Desert and its relationship with environmental factors. Biodivers. Sci. 2011, 19, 441–452. [Google Scholar]
- Badenhausser, I.; Gross, N.; Cordeau, S.; Bruneteau, L.; Vandier, M. Enhancing grasshopper (Orthoptera: Acrididae) communities in sown margin strips: The role of plant diversity and identity. Arthropod-Plant Interact. 2015, 9, 333–346. [Google Scholar] [CrossRef]
- Hou, X.; Yang, J.; Xie, J.; Zhu, S.; Zhang, Z. Diversity and Antibiotic Resistance of Triticale Seed-Borne Bacteria on the Tibetan Plateau. Microorganisms 2024, 12, 650. [Google Scholar] [CrossRef]
- Xu, Z.H.; Yang, B.L.; Liu, X.; Zhou, X.Y.; Xiong, Z.P.; Li, Q.; Xu, G.L.; He, Q.J. Ant fauna and species diversity of Tibet. J. Southwest For. Univ. 2021, 41, 1–16. [Google Scholar]
- Cigliano, M.M.; Braun, H.; Eades, D.C.; Otte, M. Orthoptera Species File. Version 5.0/5.0. 2024. Available online: http://orthoptera.speciesfile.org (accessed on 12 April 2024).
- Fick, S.E.; Hijmans, R.J. WorldClim 2: New 1-km spatial resolution climate surfaces for global land areas. Int. J. Climatol. 2017, 37, 4302–4315. [Google Scholar] [CrossRef]
- Hijmans, R.J.; Cameron, S.E.; Parra, J.L.; Jones, P.G.; Jarvis, A. Very high resolution interpolated climate surfaces for global land areas. Int. J. Climatol. 2005, 25, 1965–1978. [Google Scholar] [CrossRef]
- Hengl, T.; Mendes de Jesus, J.; Heuvelink, G.B.; Ruiperez Gonzalez, M.; Kilibarda, M.; Blagotić, A.; Shangguan, W.; Wright, M.N.; Geng, X.; Bauer-Marschallinger, B.; et al. SoilGrids250m: Global gridded soil information based on machine learning. PLoS ONE 2017, 12, e0169748. [Google Scholar] [CrossRef]
- Pielou, E.C. Ecological Diversity; John Wiley & Sons: Hoboken, NJ, USA, 1975. [Google Scholar]
- Whittaker, R.H. Evolution and measurement of species diversity. Taxon 1972, 21, 213–251. [Google Scholar] [CrossRef]
- Margalef, R. Some concepts relative to the organization of plankton. Oceanogr. Mar. Biol. Annu. Rev. 1967, 5, 257–289. [Google Scholar]
- Kitahara, M.; Sei, K. A comparison of the diversity and structure of butterfly communities in semi-natural and human-modified grassland habitats at the foot of Mt. Fuji, central Japan. Biodivers. Conserv. 2001, 10, 331–351. [Google Scholar] [CrossRef]
- Dutilleul, P. Modifying the t test for assessing the correlation between two spatial processes. Biometrics 1993, 49, 305–314. [Google Scholar] [CrossRef]
- Dormann, C.F.; McPherson, J.M.; Araujo, M.B.; Bivand, R.; Bolliger, J.; Carl, G.; Davies, R.G.; Hirzel, A.; Jetz, W.; Kissling, W.D.; et al. Methods to account for spatial autocorrelation in the analysis of species distributional data: A review. Ecography 2007, 30, 609–628. [Google Scholar] [CrossRef]
- Lai, J.S.; Zou, Y.; Zhang, J.L.; Peres-Neto, P.R. Generalizing hierarchical and variations partitioning in multiple regression and canonical analyses using the rdacca. hp R package. Methods Ecol. Evol. 2022, 13, 782–788. [Google Scholar] [CrossRef]
- Lyu, Y.; Wang, X.; Luo, J. Geographic patterns of insect diversity across China’s nature reserves: The roles of niche conservatism and range overlapping. Ecol. Evol. 2020, 10, 3305–3317. [Google Scholar] [CrossRef]
- Ma, Y.X.; Xiang, D.; Zang, J.C.; Wang, W.J.; Lu, K.; Wang, Z.M.; Wang, S.S. Insect community diversity in orchard ecosystem at different elevations of Southeast Tibet. China Fruits 2021, 40–45+59. [Google Scholar]
- Song, X.; Ji, L.; Liu, G.; Zhang, X.; Hou, X.; Gao, S.; Wang, N. Patterns and Drivers of Aboveground Insect Diversity along Ecological Transect in Temperate Grazed Steppes of Eastern Eurasian. Insects 2023, 14, 191. [Google Scholar] [CrossRef]
- Hao, H.W.; Bao, M.; Ke, J.; Li, L.L.; Ma, C.X.; Dan, Z.C.; Chen, Z.N. Fauna elements and eco-geographical distribution of locus in Qinghai province. J. Biol. 2019, 36, 62–68. [Google Scholar]
- Rasmann, S.; Agrawal, A.A. Latitudinal patterns in plant defense: Evolution of cardenolides, their toxicity and induction following herbivory. Ecol. Lett. 2011, 14, 476–483. [Google Scholar] [CrossRef]
- Rasmann, S.; Pellissier, L.; Defossez, E.; Jactel, H.; Kunstler, G. Climate-driven change in plant-insect interactions along elevation gradients. Funct. Ecol. 2014, 28, 46–54. [Google Scholar] [CrossRef]
- Rowe, R.J.; Heaney, L.R.; Rickart, E.A. Scale effects on the pattern and predictors of small mammal diversity along a local elevational gradient in the Great Basin. J. Biogeogr. 2015, 42, 1964–1974. [Google Scholar] [CrossRef]
- Carvajal-Quintero, J.D.; Escobar, F.; Alvarado, F.; Villa-Navarro, F.A.; Jaramillo-Villa, U.; Maldonado-Ocampo, J.A. Variation in freshwater fish assemblages along a regional elevation gradient in the northern Andes, Colombia. Ecol. Evol. 2015, 5, 2608–2620. [Google Scholar] [CrossRef]
- Ortiz, O.O.; de Stapf, M.S.; Croat, T.B. Diversity and distributional patterns of aroids (Alismatales: Araceae) along an elevational gradient in Darién, Panama. Webbia 2019, 74, 339–352. [Google Scholar] [CrossRef]
- Thomas, J.; Segar, S.T.; Cherrill, A.J. Species richness of Orthoptera declines with elevation while elevational range of individual species peaks at mid elevation. Ecol. Evol. 2024, 14, e10985. [Google Scholar] [CrossRef]
- König, S.; Krauss, J.; Classen, A.; Hof, C.; Prietzel, M.; Wagner, C.; Steffan-Dewenter, I. Micro-and macroclimate interactively shape diversity, niches and traits of Orthoptera communities along elevational gradients. Divers. Distrib. 2024, 30, e13810. [Google Scholar] [CrossRef]
- Zang, J.C.; Song, M.C.; Huang, Z.; Zhang, P.P. Spatial and temporal distribution of soil animal community diversity at different altitudes in Sejila Mountain(sunnyslope), Tibet. J. China Agric. Univ. 2023, 28, 189–199. [Google Scholar]
- Jin, Y.; Liao, P. An elevational trend of body size variation in a cold-climate agamid lizard, Phrynocephalus theobaldi. Curr. Zool. 2015, 61, 444–453. [Google Scholar] [CrossRef][Green Version]
- Li, Y.F.; Wang, J.W.; Chen, Y.H.; He, B.M.; La, Q. Elevation distribution pattern and driving factors of soil bacterial diversity on Mount Gangbala, Xizang, China. Acta Ecol. Sin. 2024, 44, 712–722. [Google Scholar]
- Wang, Y.; Zong, N.; He, N.; Zhang, J.; Li, L. Soil microbial functional diversity patterns and drivers along an elevation gradient on Qinghai-Tibet, China. Acta Ecol. Sin. 2018, 38, 5837–5845. [Google Scholar]
- Zhang, G.; Song, Y.; Chen, N.; Wei, J.; Zhang, J.; He, C. Chromosome-level genome assembly of Hippophae tibetana provides insights into high-altitude adaptation and flavonoid biosynthesis. BMC Biol. 2024, 22, 82. [Google Scholar] [CrossRef]
- Altermatt, F.; Seymour, M.; Martinez, N. River network properties shape α-diversity and community similarity patterns of aquatic insect communities across major drainage basins. J. Biogeogr. 2013, 40, 2249–2260. [Google Scholar] [CrossRef]
- Dianzinga, N.T.; Moutoussamy, M.L.; Sadeyen, J.; Ravaomanarivo, L.H.R.; Frago, E. The interacting effect of habitat amount, habitat diversity and fragmentation on insect diversity along elevational gradients. J. Biogeogr. 2020, 47, 2377–2391. [Google Scholar] [CrossRef]
- Aranda, R.; Graciolli, G. Spatial-temporal distribution of the Hymenoptera in the Brazilian Savanna and the effects of habitat heterogeneity on these patterns. J. Insect Conserv. 2015, 19, 1173–1187. [Google Scholar] [CrossRef]
- Jaworski, T.; Hilszczański, J. The effect of temperature and humidity changes on insects development their impact on forest ecosystems in the expected climate change. J. For. Res. 2013, 74, 345–355. [Google Scholar] [CrossRef]
- Guo, Q.; Fei, S.; Potter, K.M.; Liebholdd, A.M.; Wen, J. Tree diversity regulates forest pest invasion. Proc. Natl. Acad. Sci. USA 2019, 116, 7382–7386. [Google Scholar] [CrossRef] [PubMed]
- Kühsel, S.; Blüthgen, N. High diversity stabilizes the thermal resilience of pollinator communities in intensively managed grasslands. Nat. Commun. 2015, 6, 7989. [Google Scholar] [CrossRef] [PubMed]
- Loboda, S.; Savage, J.; Buddle, C.M.; Schmidt, N.M.; Høye, T.T. Declining diversity and abundance of High Arctic fly assemblages over two decades of rapid climate warming. Ecography 2018, 41, 265–277. [Google Scholar] [CrossRef]
- Han, Y.R.; Xue, Q.Q.; Song, H.J.; Qi, J.Y.; Gao, R.H.; Cui, S.P.; Men, L.N.; Zhang, Z.W. Diversity and influencing factors of flower-visiting insects in the Yanshan area. Biodivers. Sci. 2022, 30, 221448. [Google Scholar] [CrossRef]
- Zhao, L.; Gao, R.; Liu, J.; Liu, L.; Li, R.; Men, L.; Zhang, Z. Effects of environmental factors on the spatial distribution pattern and diversity of insect communities along altitude gradients in Guandi Mountain, China. Insects 2023, 14, 224. [Google Scholar] [CrossRef]
- Pérez-Toledo, G.R.; Valenzuela-González, J.E.; Moreno, C.E.; Villalobos, F.; Silva, R.R. Patterns and drivers of leaf-litter ant diversity along a tropical elevational gradient in Mexico. J. Biogeogr. 2021, 48, 2512–2523. [Google Scholar] [CrossRef]
- Laiolo, P.; Pato, J.; Obeso, J.R. Ecological and evolutionary drivers of the elevational gradient of diversity. Ecol. Lett. 2018, 21, 1022–1032. [Google Scholar] [CrossRef]
- Stiegel, S.; Entling, M.H.; Mantilla-Contreras, J. Reading the leaves’ palm: Leaf traits and herbivory along the microclimatic gradient of forest layers. PLoS ONE 2017, 12, e0169741. [Google Scholar] [CrossRef] [PubMed]
- Ma, Z.N.; Yu, H.Q.; Wang, Y.; Zhu, M.M.; Zhang, R.; Jia, Y.X.; Wei, S.H. Diversity of grassland grasshoppers and responses to environmental factors in Ningxia. Chin. J. Biol. Control. 2022, 38, 1459–1472. [Google Scholar]
- Gaston, K.J. Global patterns in biodiversity. Nature 2000, 405, 220–227. [Google Scholar] [CrossRef] [PubMed]
- Uhl, B.; Wölfling, M.; Fiedler, K. Understanding small-scale insect diversity patterns inside two nature reserves: The role of local and landscape factors. Biodivers. Conserv. 2020, 29, 2399–2418. [Google Scholar] [CrossRef]
- Schnitzer, S.A.; Michel, N.L.; Powers, J.S.; Robinson, W.D. Lianas maintain insectivorous bird abundance and diversity in a neotropical forest. Ecology 2020, 101, e03176. [Google Scholar] [CrossRef]









| Family | Number of Genera and % of Total Genera Collected | Number of Species and % of Total Species Collected | Ratio Coefficient Genera/Species | Number of Genera with One Species | Number of Genera with > One Species (# of Species) |
|---|---|---|---|---|---|
| Gomphocerinae | 2 (7.14%) | 10 (22.73%) | 0.20 | 0 | 2 (10 spp.) |
| Oedipodinae | 10 (35.71%) | 14 (31.82%) | 0.71 | 6 | 4 (8 spp.) |
| Pyrgomorphinae | 2 (7.14%) | 3 (6.82%) | 0.67 | 1 | 1 (2 spp.) |
| Melanoplinae | 2 (7.14%) | 2 (4.55%) | 1.00 | 2 | 0 (0 spp.) |
| Cyrtacanthacridinae | 2 (7.14%) | 2 (4.55%) | 1.00 | 2 | 0 (0 spp.) |
| Catantopinae | 3 (10.71%) | 4 (9.09%) | 0.75 | 2 | 1 (2 spp.) |
| Oxyinae | 1 (3.57%) | 2 (4.55%) | 0.50 | 0 | 1 (2 spp.) |
| Coptacrinae | 1 (3.57%) | 1 (2.27%) | 1.00 | 1 | 0 (0 spp.) |
| Eyprepocnemidinae | 1 (3.57%) | 1 (2.27%) | 1.00 | 1 | 0 (0 spp.) |
| Spathosterninae | 1 (3.57%) | 1 (2.27%) | 1.00 | 1 | 0 (0 spp.) |
| Acridinae | 3 (10.71%) | 4 (9.09%) | 0.75 | 2 | 1 (2 spp.) |
| Total | 28 (100%) | 44 (100%) | 0.64 | 18 | 10 (26 spp.) |
| Family | Individual Numbers | Margalef Richness Index | Species Richness | Shannon– Wiener Index | Simpson Dominance Index | Pielou Index |
|---|---|---|---|---|---|---|
| Gomphocerinae | 534 | 1.4330 | 10 | 0.6002 | 0.5146 | 0.2606 |
| Oedipodinae | 148 | 2.6015 | 14 | 1.1685 | 0.8546 | 0.4428 |
| Melanoplinae | 142 | 0.2018 | 2 | 0.4741 | 0.2318 | 0.6840 |
| Pyrgomorphinae | 125 | 0.4142 | 3 | 0.6555 | 0.5791 | 0.5966 |
| Catantopinae | 82 | 0.6808 | 4 | 0.7595 | 0.5827 | 0.5479 |
| Oxyinae | 31 | 0.2912 | 2 | 0.5860 | 0.4370 | 0.8454 |
| Acridinae | 30 | 0.8820 | 4 | 0.9165 | 0.6778 | 0.6611 |
| Coptacrinae | 26 | - | 1 | - | - | - |
| Cyrtacanthacridinae | 18 | 0.3460 | 2 | 0.3046 | 0.1049 | 0.4395 |
| Spathosterninae | 12 | - | 1 | - | - | - |
| Eyprepocnemidinae | 11 | - | 1 | - | - | - |
| Altitude (m) | 600–1100 | 1100–1600 | 1600–2100 | 2100–2600 | 2600–3100 | 3100–3600 |
|---|---|---|---|---|---|---|
| 1100–1600 | 0.24 | |||||
| 1600–2100 | 0.06 | 0.06 | ||||
| 2100–2600 | 0.14 | 0.19 | 0.10 | |||
| 2600–3100 | 0.00 | 0.00 | 0.00 | 0.08 | ||
| 3100–3600 | 0.00 | 0.00 | 0.00 | 0.10 | 0.40 | |
| 3600–4100 | 0.00 | 0.04 | 0.00 | 0.05 | 0.14 | 0.08 |
| Factor | Description | Factor | Description |
|---|---|---|---|
| Diversity Indices | Precipitation Factors | ||
| H | Shannon–Wiener index | Bio12 | annual precipitation |
| S | species richness | Bio13 | precipitation of wettest month |
| D | Simpson dominance index | Bio14 | precipitation of driest month |
| E | Pielou index | Bio15 | precipitation seasonality |
| R | Margalef richness index | Bio16 | precipitation of wettest quarter |
| N | number of individuals | Bio17 | precipitation of driest quarter |
| Temperature factors | Bio18 | precipitation of warmest quarter | |
| Bio1 | annual mean temperature | Bio19 | precipitation of coldest quarter |
| Bio2 | mean diurnal range | Soil factors | |
| Bio3 | isothermality | Soc | soil organic carbon |
| Bio4 | temperature seasonality | Phh2o | soil pH |
| Bio5 | max. temperature of warmest month | Nit | soil total nitrogen |
| Bio6 | min. temperature of coldest month | Ocd | organic carbon density |
| Bio7 | temperature annual range | Sand | sand ratio |
| Bio8 | mean temperature of wettest quarter | Pdu | slope |
| Bio9 | mean temperature of driest quarter | Gdu | vegetation coverage |
| Bio10 | mean temperature of warmest quarter | Hsh | soil moisture content |
| Bio11 | mean temperature of coldest quarter | ||
| Vegetation factors | |||
| Zheve | vegetation evenness index | ||
| Zhsim | vegetation Simpson index | ||
| Zhsha | Shannon index of vegetation | ||
| Tzh | habitat homogeneity index | ||
| Yzhi | habitat heterogeneity index | ||
Disclaimer/Publisher’s Note: The statements, opinions and data contained in all publications are solely those of the individual author(s) and contributor(s) and not of MDPI and/or the editor(s). MDPI and/or the editor(s) disclaim responsibility for any injury to people or property resulting from any ideas, methods, instructions or products referred to in the content. |
© 2024 by the authors. Licensee MDPI, Basel, Switzerland. This article is an open access article distributed under the terms and conditions of the Creative Commons Attribution (CC BY) license (https://creativecommons.org/licenses/by/4.0/).
Share and Cite
Li, Y.; Liu, Q.; Zhang, X.; Mao, B.; Yang, G.; Shi, F.; Bi, J.; Ma, Z.; Tang, G. Effects of Environmental Factors on the Diversity of Grasshopper Communities along Altitude Gradients in Xizang, China. Insects 2024, 15, 671. https://doi.org/10.3390/insects15090671
Li Y, Liu Q, Zhang X, Mao B, Yang G, Shi F, Bi J, Ma Z, Tang G. Effects of Environmental Factors on the Diversity of Grasshopper Communities along Altitude Gradients in Xizang, China. Insects. 2024; 15(9):671. https://doi.org/10.3390/insects15090671
Chicago/Turabian StyleLi, Yonghui, Qing Liu, Xiaoming Zhang, Benyong Mao, Guohui Yang, Fuming Shi, Jingui Bi, Zhibin Ma, and Guowen Tang. 2024. "Effects of Environmental Factors on the Diversity of Grasshopper Communities along Altitude Gradients in Xizang, China" Insects 15, no. 9: 671. https://doi.org/10.3390/insects15090671
APA StyleLi, Y., Liu, Q., Zhang, X., Mao, B., Yang, G., Shi, F., Bi, J., Ma, Z., & Tang, G. (2024). Effects of Environmental Factors on the Diversity of Grasshopper Communities along Altitude Gradients in Xizang, China. Insects, 15(9), 671. https://doi.org/10.3390/insects15090671

