Elevation and Human Disturbance Interactively Influence the Patterns of Insect Diversity on the Southeastern Periphery of the Tibetan Plateau
Abstract
Simple Summary
Abstract
1. Introduction
2. Materials and Methods
2.1. Study Area
2.2. Study Design
2.3. Insects Sampling and Species Identification
2.4. Data Analysis
3. Results
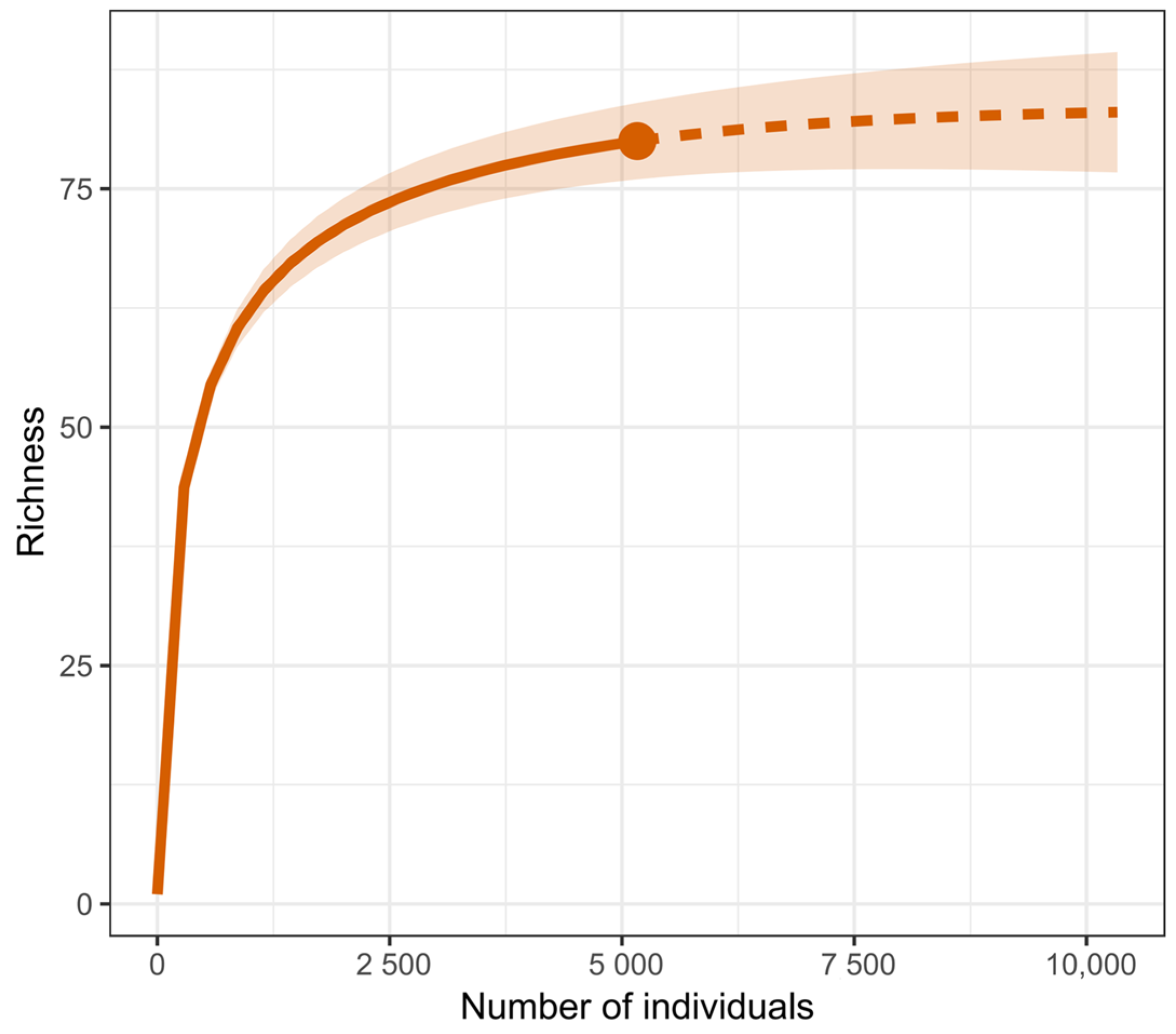
3.1. The Assessment of Species Composition and Sampling Adequacy
3.2. The Independent Impacts of Elevation and Human Disturbance on Insect Diversity
3.3. Hypothesis Testing for the Interaction of Elevation and Human Disturbance
3.4. Responses of Various Insect Taxonomic Groups to the Interaction of Elevation and Human Disturbance
3.5. The Analysis of Insect Community Similarities across Varying Elevations and Levels of Human Disturbance
4. Discussion
5. Conclusions
Supplementary Materials
Author Contributions
Funding
Data Availability Statement
Acknowledgments
Conflicts of Interest
References
- Kunin, W.E. Robust evidence of declines in insect abundance and biodiversity. Nature 2019, 574, 641–642. [Google Scholar] [CrossRef] [PubMed]
- Eisenhauer, N.; Bonn, A.; Guerra, C. Recognizing the quiet extinction of invertebrates. Nat. Commun. 2019, 10, 50. [Google Scholar] [CrossRef] [PubMed]
- Outhwaite, C.L.; McCann, P.; Newbold, T. Agriculture and climate change are reshaping insect biodiversity worldwide. Nature 2022, 605, 97–102. [Google Scholar] [CrossRef] [PubMed]
- Stork, N.E. How Many Species of Insects and Other Terrestrial Arthropods Are There on Earth? Annu. Rev. Entomol. 2018, 63, 31–45. [Google Scholar] [CrossRef] [PubMed]
- Noriega, J.A.; Hortal, J.; Azcárate, F.M.; Berg, M.P.; Bonada, N.; Briones, M.J.I.; Del Toro, I.; Goulson, D.; Ibanez, S.; Landis, D.A.; et al. Research trends in ecosystem services provided by insects. Basic Appl. Ecol. 2018, 26, 8–23. [Google Scholar] [CrossRef]
- Yang, L.H.; Gratton, C. Insects as drivers of ecosystem processes. Curr. Opin. Insect Sci. 2014, 2, 26–32. [Google Scholar] [CrossRef] [PubMed]
- Chowdhury, S.; Dubey, V.K.; Choudhury, S.; Das, A.; Jeengar, D.; Sujatha, B.; Kumar, A.; Kumar, N.; Semwal, A.; Kumar, V. Insects as bioindicator: A hidden gem for environmental monitoring. Front. Environ. Sci. 2023, 11, 1146052. [Google Scholar] [CrossRef]
- Engels, S.; Medeiros, A.; Axford, Y.; Brooks, S.; Heiri, O.; Luoto, T.; Nazarova, L.; Porinchu, D.; Quinlan, R.; Self, A. Temperature change as a driver of spatial patterns and long-term trends in chironomid (Insecta: Diptera) diversity. Glob. Change Biol. 2019, 26, 1155–1169. [Google Scholar] [CrossRef]
- Wagner, D. Insect declines in the Anthropocene. Annu. Rev. Entomol. 2020, 65, 457–480. [Google Scholar] [CrossRef]
- Hodkinson, I.D. Terrestrial insects along elevation gradients. species and community responses to altitude. Biol. Rev. 2005, 80, 489–513. [Google Scholar] [CrossRef]
- Paudel, S.; Kandel, P.; Bhatta, D.; Pandit, V.; Felton, G.; Rajotte, E. Insect Herbivore Populations and Plant Damage Increase at Higher Elevations. Insects 2021, 12, 1129. [Google Scholar] [CrossRef] [PubMed]
- Dillon, M.E.; Frazier, M.R.; Dudley, R. Into thin air: Physiology and evolution of alpine insects. Integr. Comp. Biol. 2006, 46, 49–61. [Google Scholar] [CrossRef] [PubMed]
- Srygley, R.B. Elevational Changes in Mormon Cricket Life Histories: Minimum Temperature for Nymphal Growth Declines With Elevation. Environ. Entomol. 2020, 50, 167–172. [Google Scholar] [CrossRef]
- Encinas-Viso, F.; Bovill, J.; Albrecht, D.E.; Florez-Fernandez, J.; Lessard, B.; Lumbers, J.; Rodriguez, J.; Schmidt-Lebuhn, A.; Zwick, A.; Milla, L. Pollen DNA metabarcoding reveals cryptic diversity and high spatial turnover in alpine plant–pollinator networks. Mol. Ecol. 2023, 32, 6377–6393. [Google Scholar] [CrossRef] [PubMed]
- Shah, A.A.; Dillon, M.E.; Hotaling, S.; Woods, H.A. High elevation insect communities face shifting ecological and evolutionary landscapes. Curr. Opin. Insect Sci. 2020, 41, 1–6. [Google Scholar] [CrossRef]
- Thomas, J.; Segar, S.T.; Cherrill, A.J. Species richness of Orthoptera declines with elevation while elevational range of individual species peaks at mid elevation. Ecol. Evol. 2024, 14, e10985. [Google Scholar] [CrossRef]
- Alvarez, H.A.; Walker, E.; Mingarro, M.; Ursul, G.; Cancela, J.P.; Bassett, L.; Wilson, R.J. Heterogeneity in habitat and microclimate delay butterfly community tracking of climate change over an elevation gradient. Biol. Conserv. 2024, 289, 110389. [Google Scholar] [CrossRef]
- Ceia-Hasse, A.; Boieiro, M.; Soares, A.; Antunes, S.; Figueiredo, H.; Rego, C.; Borges, P.A.V.; Conde, J.; Serrano, A.R.M. Drivers of Insect Community Change along the Margins of Mountain Streams in Serra da Estrela Natural Park (Portugal). Insects 2023, 14, 243. [Google Scholar] [CrossRef] [PubMed]
- Wiens, J.J.; Donoghue, M.J. Historical biogeography, ecology and species richness. Trends Ecol. Evol. 2004, 19, 639–644. [Google Scholar] [CrossRef]
- Sommaggio, D.; Zanotelli, L.; Vettorazzo, E.; Burgio, G.; Fontana, P. Different Distribution Patterns of Hoverflies (Diptera: Syrphidae) and Bees (Hymenoptera: Anthophila) Along Altitudinal Gradients in Dolomiti Bellunesi National Park (Italy). Insects 2022, 13, 293. [Google Scholar] [CrossRef]
- Toko, P.S.; Koane, B.; Molem, K.; Miller, S.E.; Novotny, V. Ecological trends in moth communities (Geometridae, Lepidoptera) along a complete rainforest elevation gradient in Papua New Guinea. Insect Conserv. Divers. 2023, 16, 649–657. [Google Scholar] [CrossRef]
- Chatelain, P.; Plant, A.; Soulier-Perkins, A.; Daugeron, C. Diversity increases with elevation: Empidine dance flies (Diptera, Empididae) challenge a predominant pattern. Biotropica 2018, 50, 633–640. [Google Scholar] [CrossRef]
- Ríos-Touma, B.; Cuesta, F.; Rázuri-Gonzales, E.; Holzenthal, R.; Tapia, A.; Calderón-Loor, M. Elevational biodiversity gradients in the Neotropics: Perspectives from freshwater caddisflies (Insecta: Trichoptera). PLoS ONE 2022, 17, e0272229. [Google Scholar] [CrossRef]
- Newbold, T.; Hudson, L.N.; Hill, S.L.; Contu, S.; Lysenko, I.; Senior, R.A.; Börger, L.; Bennett, D.J.; Choimes, A.; Collen, B.; et al. Global effects of land use on local terrestrial biodiversity. Nature 2015, 520, 45–50. [Google Scholar] [CrossRef]
- Owens, A.C.S.; Cochard, P.; Durrant, J.; Farnworth, B.; Perkin, E.K.; Seymoure, B. Light pollution is a driver of insect declines. Biol. Conserv. 2020, 241, 108259. [Google Scholar] [CrossRef]
- Müller, C. Impacts of sublethal insecticide exposure on insects—Facts and knowledge gaps. Basic Appl. Ecol. 2018, 30, 1–10. [Google Scholar] [CrossRef]
- Burton, P.J.; Jentsch, A.; Walker, L.R. The ecology of disturbance interactions. BioScience 2020, 70, 854–870. [Google Scholar] [CrossRef]
- Martínez-Ramos, M.; Ortiz-Rodríguez, I.A.; Piñero, D.; Dirzo, R.; Sarukhán, J. Anthropogenic disturbances jeopardize biodiversity conservation within tropical rainforest reserves. Proc. Natl. Acad. Sci. USA 2016, 113, 5323–5328. [Google Scholar] [CrossRef]
- Arnan, X.; Arcoverde, G.B.; Pie, M.R.; Ribeiro-Neto, J.D.; Leal, I.R. Increased anthropogenic disturbance and aridity reduce phylogenetic and functional diversity of ant communities in Caatinga dry forest. Sci. Total Environ. 2018, 631–632, 429–438. [Google Scholar] [CrossRef] [PubMed]
- Wei, N.; Russell, A.L.; Jarrett, A.R.; Ashman, T.L. Pollinators mediate floral microbial diversity and microbial network under agrochemical disturbance. Mol. Ecol. 2021, 30, 2235–2247. [Google Scholar] [CrossRef]
- Renou, M. Is the evolution of insect odorscapes under anthropic pressures a risk for herbivorous insect invasions? Curr. Opin. Insect Sci. 2022, 52, 100926. [Google Scholar] [CrossRef]
- Vogel, C.; Poveda, K.; Iverson, A.; Boetzl, F.A.; Mkandawire, T.; Chunga, T.L.; Küstner, G.; Keller, A.; Bezner, K.R.; Steffan, D.I. The effects of crop type, landscape composition and agroecological practices on biodiversity and ecosystem services in tropical smallholder farms. J. Appl. Ecol. 2023, 60, 859–874. [Google Scholar] [CrossRef]
- Connell, J.J.S. Response: Intermediate-Disturbance Hypothesis. Science 1979, 204, 1345. [Google Scholar] [CrossRef]
- Jähnig, S.C.; Baranov, V.; Altermatt, F.; Cranston, P.; Friedrichs, M.M.; Geist, J.; He, F.; Heino, J.; Hering, D.; Hölker, F.; et al. Revisiting global trends in freshwater insect biodiversity. WIREs Water 2021, 8, e1506. [Google Scholar] [CrossRef]
- Pilotto, F.; Kühn, I.; Adrian, R.; Alber, R.; Alignier, A.; Andrews, C.; Bäck, J.; Barbaro, L.; Beaumont, D.; Beenaerts, N.; et al. Meta-analysis of multidecadal biodiversity trends in Europe. Nat. Commun. 2020, 11, 3486. [Google Scholar] [CrossRef]
- Agra, J.; Ligeiro, R.; Heino, J.; Macedo, D.R.; Castro, D.M.P.; Linares, M.S.; Callisto, M. Anthropogenic disturbances alter the relationships between environmental heterogeneity and biodiversity of stream insects. Ecol. Indic. 2021, 121, 107079. [Google Scholar] [CrossRef]
- Viljur, M.L.; Abella, S.R.; Adámek, M.; Alencar, J.B.R.; Barber, N.A.; Beudert, B.; Burkle, L.A.; Cagnolo, L.; Campos, B.R.; Chao, A.; et al. The effect of natural disturbances on forest biodiversity: An ecological synthesis. Biol. Rev. 2022, 97, 1930–1947. [Google Scholar] [CrossRef] [PubMed]
- Yirga, F.; Marie, M.; Kassa, S.; Haile, M. Impact of altitude and anthropogenic disturbance on plant species composition, diversity, and structure at the Wof-Washa highlands of Ethiopia. Heliyon 2019, 5, e02284. [Google Scholar] [CrossRef]
- Kraft, N.J.; Comita, L.S.; Chase, J.M.; Sanders, N.J.; Swenson, N.G.; Crist, T.O.; Stegen, J.C.; Vellend, M.; Brad, D.; Anderson, M.J.; et al. Disentangling the Drivers of β Diversity Along Latitudinal and Elevational Gradients. Science 2011, 333, 1755–1758. [Google Scholar] [CrossRef]
- Bellard, C.; Bertelsmeier, C.; Leadley, P.; Thuiller, W.; Courchamp, F. Impacts of climate change on the future of biodiversity. Ecol. Lett. 2012, 15, 365–377. [Google Scholar] [CrossRef]
- Zhou, Y.; Zhang, H.; Liu, D.; Khashaveh, A.; Li, Q.; Wyckhuys, K.A.G.; Wu, K. Long-term insect censuses capture progressive loss of ecosystem functioning in East Asia. Sci. Adv. 2023, 9, eade9341. [Google Scholar] [CrossRef] [PubMed]
- Myers, N.; Mittermeier, R.A.; Mittermeier, C.G.; Fonseca, G.A.; Kent, J.J.N. Biodiversity hotspots for conservation priorities. Nature 2000, 403, 853–858. [Google Scholar] [CrossRef] [PubMed]
- Liu, X.; Zhang, Y.; Li, Y.; Zhang, A.; Li, C. Exploring Village Spatial Patterns for Sustainable Development: A Case Study of Diqing Prefecture. Sustainability 2023, 15, 16362. [Google Scholar] [CrossRef]
- Ligeiro, R.; Hughes, R.M.; Kaufmann, P.R.; Heino, J.; Melo, A.S.; Callisto, M. Choice of field and laboratory methods affects the detection of anthropogenic disturbances using stream macroinvertebrate assemblages. Ecol. Indic. 2020, 115, 106382. [Google Scholar] [CrossRef]
- Zou, Y.; Werf, W.; Liu, Y.; Axmacher, J.C. Predictability of species diversity by family diversity across global terrestrial animal taxa. Glob. Ecol. Biogeogr. 2020, 29, 629–644. [Google Scholar] [CrossRef]
- Fan, Z.D.; Deng, Y.H. Fauna Sinica Insecta; Science Press: Beijing, China, 2008; Volume 49, p. 1186. [Google Scholar]
- Han, H.X.; Xue, D.Y. Fauna Sinica Insecta; Science Press: Beijing, China, 2011; Volume 54, p. 787. [Google Scholar]
- He, J.H.; Chen, X.X.; Ma, Y. Fauna Sinica Insecta; Science Press: Beijing, China, 2000; Volume 18, p. 757. [Google Scholar]
- Ren, G.D.; Liu, H.Y. Fauna Sinica Insecta; Science Press: Beijing, China, 2016; Volume 63, p. 534. [Google Scholar]
- Yang, M.F.; Mang, Z.H.; Li, Z.Z. Fauna Sinica Insecta; Science Press: Beijing, China, 2017; Volume 67, p. 637. [Google Scholar]
- Hsieh, T.C.; Ma, K.H.; Chao, A. iNEXT: An R package for rarefaction and extrapolation of species diversity (Hill numbers). Methods Ecol. Evol. 2016, 7, 1451–1456. [Google Scholar] [CrossRef]
- Dixon, P. VEGAN, a package of R functions for community ecology. J. Veg. Sci. 2003, 14, 927–930. [Google Scholar] [CrossRef]
- Chao, A. Nonparametric estimation of the number of classes in a population. Scand. J. Stat. 1984, 11, 265–270. [Google Scholar]
- Peters, M.K.; Hemp, A.; Appelhans, T.; Becker, J.N.; Behler, C.; Classen, A.; Detsch, F.; Ensslin, A.; Ferger, S.W.; Frederiksen, S.B.; et al. Climate-land-use interactions shape tropical mountain biodiversity and ecosystem functions. Nature 2019, 568, 88–92. [Google Scholar] [CrossRef]
- Ibáñez, M.V.; Prades, M.; Simó, A. Modelling municipal waste separation rates using generalized linear models and beta regression. Resour. Conserv. Recycl. 2011, 55, 1129–1138. [Google Scholar] [CrossRef]
- Lai, J.; Cui, D.; Zhu, W.; Mao, L. The Use of R and R Packages in Biodiversity Conservation Research. Diversity 2023, 15, 1202. [Google Scholar] [CrossRef]
- Redlich, S.; Zhang, J.; Benjamin, C.; Dhillon, M.S.; Englmeier, J.; Ewald, J.; Fricke, U.; Ganuza, C.; Haensel, M.; Hovestadt, T.; et al. Disentangling effects of climate and land use on biodiversity and ecosystem services—A multi-scale experimental design. Methods Ecol. Evol. 2022, 13, 514–527. [Google Scholar] [CrossRef]
- Beck, J.; Altermatt, F.; Hagmann, R.; Lang, S. Seasonality in the altitude–diversity pattern of Alpine moths. Basic Appl. Ecol. 2010, 11, 714–722. [Google Scholar] [CrossRef]
- Beck, J.; McCain, C.M.; Axmacher, J.C.; Ashton, L.A.; Bärtschi, F.; Brehm, G.; Choi, S.W.; Cizek, O.; Colwell, R.K.; Fiedler, K.; et al. Elevational species richness gradients in a hyperdiverse insect taxon: A global meta-study on geometrid moths. Glob. Ecol. Biogeogr. 2017, 26, 412–424. [Google Scholar] [CrossRef]
- Zhao, L.; Gao, R.; Liu, J.; Liu, L.; Li, R.; Men, L.; Zhang, Z. Effects of environmental factors on the spatial distribution pattern and diversity of insect communities along altitude gradients in Guandi mountain, China. Insects 2023, 14, 224. [Google Scholar] [CrossRef]
- Bota-Sierra, C.A.; Flórez-V, C.; Escobar, F.; Sandoval-H, J.; Novelo-Gutiérrez, R.; Londoño, G.A.; Cordero-Rivera, A. The importance of tropical mountain forests for the conservation of dragonfly biodiversity: A case from the Colombian Western Andes. Int. J. Odonatol. 2021, 24, 233–247. [Google Scholar] [CrossRef]
- Nogués, B.D.; Araújo, M.B.; Romdal, T.; Rahbek, C. Scale effects and human impact on the elevational species richness gradients. Nature 2008, 453, 216–219. [Google Scholar] [CrossRef]
- Gillette, P.N.; Ennis, K.K.; Domínguez, M.G.; Philpott, S.M.J. Changes in Species Richness, Abundance, and Composition of Arboreal Twig-nesting Ants Along an Elevational Gradient in Coffee Landscapes. Biotropica 2015, 47, 712–722. [Google Scholar] [CrossRef]
- Njovu, H.K.; Steffan-Dewenter, I.; Gebert, F.; Schellenberger, C.D.; Kleyer, M.; Wagner, T.; Peters, M.K. Plant traits mediate the effects of climate on phytophagous beetle diversity on Mt. Kilimanjaro. Ecology 2021, 102, e03521. [Google Scholar] [CrossRef]
- Słowińska, I.; Jaskuła, R. Distributional patterns of aquatic Empididae (Diptera) along an elevational diversity gradient in a low mountain range: An example from central Europe. Insects 2021, 12, 165. [Google Scholar] [CrossRef]
- Swart, R.C.; Pryke, J.S.; Roets, F. The intermediate disturbance hypothesis explains arthropod beta-diversity responses to roads that cut through natural forests. Biol. Conserv. 2019, 236, 243–251. [Google Scholar] [CrossRef]
- Coelho, M.T.P.; Barreto, E.; Rangel, T.F.; Diniz-Filho, J.A.F.; Wüest, R.O.; Bach, W.; Skeels, A.; McFadden, I.R.; Roberts, D.W.; Pellissier, L.; et al. The geography of climate and the global patterns of species diversity. Nature 2023, 622, 537–544. [Google Scholar] [CrossRef] [PubMed]
- Flinte, V.; Pádua, D.G.; Durand, E.M.; Hodgin, C.; Khattar, G.; da Silveira, L.F.L.; Fernandes, D.R.R.; Sääksjärvi, I.E.; Monteiro, R.F.; Macedo, M.V.; et al. Variation in a Darwin Wasp (Hymenoptera: Ichneumonidae) Community along an Elevation Gradient in a Tropical Biodiversity Hotspot: Implications for Ecology and Conservation. Insects 2023, 14, 861. [Google Scholar] [CrossRef] [PubMed]
- Peters, M.K.; Hemp, A.; Appelhans, T.; Behler, C.; Classen, A.; Detsch, F.; Ensslin, A.; Ferger, S.W.; Frederiksen, S.B.; Gebert, F.; et al. Predictors of elevational biodiversity gradients change from single taxa to the multi-taxa community level. Nat. Commun. 2016, 7, 13736. [Google Scholar] [CrossRef]
- Birrell, J.H.; Shah, A.A.; Hotaling, S.; Giersch, J.J.; Williamson, C.E.; Jacobsen, D.; Woods, H.A. Insects in high-elevation streams: Life in extreme environments imperiled by climate change. Glob. Change Biol. 2020, 26, 6667–6684. [Google Scholar] [CrossRef]
- Hoiss, B.; Krauss, J.; Potts, S.G.; Roberts, S.; Steffan, D.I. Altitude acts as an environmental filter on phylogenetic composition, traits and diversity in bee communities. Proc. R. Soc. B 2012, 279, 4447–4456. [Google Scholar] [CrossRef]
- Dianzinga, N.T.; Moutoussamy, M.L.; Sadeyen, J.; Ravaomanarivo, L.H.R.; Frago, E. The interacting effect of habitat amount, habitat diversity and fragmentation on insect diversity along elevational gradients. J. Biogeogr. 2020, 47, 2377–2391. [Google Scholar] [CrossRef]
- Graham, C.H.; Carnaval, A.C.; Cadena, C.D.; Zamudio, K.R.; Roberts, T.E.; Parra, J.L.; McCain, C.M.; Bowie, R.C.K.; Moritz, C.; Baines, S.B.; et al. The origin and maintenance of montane diversity: Integrating evolutionary and ecological processes. Ecography 2014, 37, 711–719. [Google Scholar] [CrossRef]
- Winfree, R.; Griswold, T.; Kremen, C. Effect of Human Disturbance on Bee Communities in a Forested Ecosystem. Conserv. Biol. 2007, 21, 213–223. [Google Scholar] [CrossRef]
- Castro, D.; Dolédec, S.; Callisto, M. Land cover disturbance homogenizes aquatic insect functional structure in neotropical savanna streams. Ecol. Indic. 2018, 84, 573–582. [Google Scholar] [CrossRef]
- Wilkinson, D.M.J. The disturbing history of intermediate disturbance. Oikos 1999, 84, 145–147. [Google Scholar] [CrossRef]
- Beirão, M.V.; Neves, F.S.; Fernandes, G.W. Climate and plant structure determine the spatiotemporal butterfly distribution on a tropical mountain. Biotropica 2021, 53, 191–200. [Google Scholar] [CrossRef]
- Perillo, L.N.; Neves, F.d.S.; Antonini, Y.; Martins, R.P. Compositional changes in bee and wasp communities along Neotropical mountain altitudinal gradient. PLoS ONE 2017, 12, e0182054. [Google Scholar] [CrossRef] [PubMed]
- Stanbrook, R.; Wheater, C.P.; Harris, W.E.; Jones, M.C. Habitat type and altitude work in tandem to drive the community structure of dung beetles in Afromontane forest. J. Insect Conserv. 2021, 25, 159–173. [Google Scholar] [CrossRef]







| Order | Number of Families | Proportion | Number of Individuals | Proportion |
|---|---|---|---|---|
| Orthoptera | 5 | 6.25% | 427 | 8.30% |
| Hemiptera | 20 | 25.00% | 1735 | 33.75% |
| Coleoptera | 22 | 27.50% | 2015 | 39.19% |
| Diptera | 10 | 12.50% | 250 | 4.86% |
| Hymenoptera | 6 | 7.50% | 531 | 10.33% |
| Neuroptera | 4 | 5.00% | 48 | 0.93% |
| Lepidoptera | 6 | 7.50% | 21 | 0.41% |
| Trichoptera | 1 | 1.25% | 50 | 0.97% |
| Phasmida | 1 | 1.25% | 5 | 0.10% |
| Dermaptera | 1 | 1.25% | 10 | 0.19% |
| Mantodea | 1 | 1.25% | 10 | 0.19% |
| Odonata | 2 | 2.50% | 5 | 0.10% |
| Blattaria | 1 | 1.25% | 4 | 0.08% |
| Total | 80 | 100% | 5141 | 100% |
| Models | AIC | R2 |
|---|---|---|
| Model 1: EL | 353.68 | 0.15 |
| Model 2: HD | 360.45 | 0.11 |
| Model 3: EL + HD | 330.69 | 0.31 |
| Model 4 *: EL × HD | 328.92 | 0.33 |
Disclaimer/Publisher’s Note: The statements, opinions and data contained in all publications are solely those of the individual author(s) and contributor(s) and not of MDPI and/or the editor(s). MDPI and/or the editor(s) disclaim responsibility for any injury to people or property resulting from any ideas, methods, instructions or products referred to in the content. |
© 2024 by the authors. Licensee MDPI, Basel, Switzerland. This article is an open access article distributed under the terms and conditions of the Creative Commons Attribution (CC BY) license (https://creativecommons.org/licenses/by/4.0/).
Share and Cite
Liao, Z.; Zhang, J.; Shen, X.; Zhu, M.; Lan, X.; Cui, J.; Guan, Y.; Zhang, Y.; Deng, Z.; Tang, T.; et al. Elevation and Human Disturbance Interactively Influence the Patterns of Insect Diversity on the Southeastern Periphery of the Tibetan Plateau. Insects 2024, 15, 669. https://doi.org/10.3390/insects15090669
Liao Z, Zhang J, Shen X, Zhu M, Lan X, Cui J, Guan Y, Zhang Y, Deng Z, Tang T, et al. Elevation and Human Disturbance Interactively Influence the Patterns of Insect Diversity on the Southeastern Periphery of the Tibetan Plateau. Insects. 2024; 15(9):669. https://doi.org/10.3390/insects15090669
Chicago/Turabian StyleLiao, Zhouyang, Jinlu Zhang, Xuemei Shen, Mi Zhu, Xinlin Lan, Junming Cui, Yunfang Guan, Ying Zhang, Zhongjian Deng, Tiantian Tang, and et al. 2024. "Elevation and Human Disturbance Interactively Influence the Patterns of Insect Diversity on the Southeastern Periphery of the Tibetan Plateau" Insects 15, no. 9: 669. https://doi.org/10.3390/insects15090669
APA StyleLiao, Z., Zhang, J., Shen, X., Zhu, M., Lan, X., Cui, J., Guan, Y., Zhang, Y., Deng, Z., Tang, T., Liu, F., Yang, D., & Zhang, Y. (2024). Elevation and Human Disturbance Interactively Influence the Patterns of Insect Diversity on the Southeastern Periphery of the Tibetan Plateau. Insects, 15(9), 669. https://doi.org/10.3390/insects15090669
