Effect of Grazing Management on Predator Soil Mite Communities (Acari: Mesotigmata) in Some Subalpine Grasslands from the Făgăraş Mountains—Romania
Abstract
Simple Summary
Abstract
1. Introduction
2. Material and Methods
2.1. Study Area
2.2. Mite Samples
2.3. Environmental Variables
2.4. Data Analysis
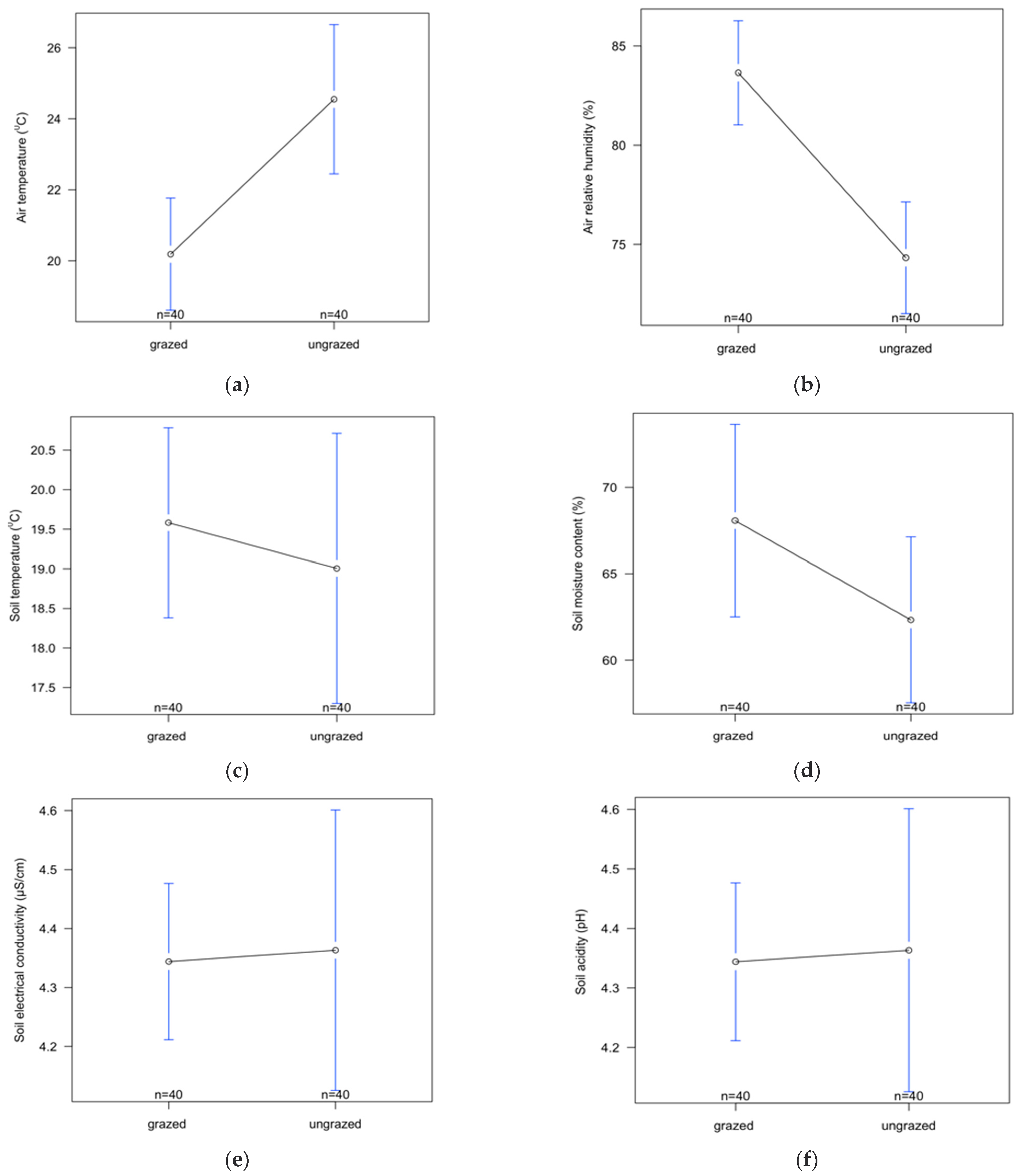
3. Results
4. Discussion
5. Conclusions
Supplementary Materials
Author Contributions
Funding
Data Availability Statement
Acknowledgments
Conflicts of Interest
References
- Zhao, Y.; Liu, Z.; Wu, J. Grassland ecosystem services: A systematic review of research advances and future directions. Landsc. Ecol. 2020, 35, 793–814. [Google Scholar] [CrossRef]
- Török, P.; Dembicz, I.; Dajic-Stevanovic, Z.; Kuzemko, A. Grasslands of Eastern Europe. Encyclopedia of World’s Biomes; Elsevier: Amsterdam, The Netherlands, 2020; pp. 703–713. [Google Scholar]
- Roman, A.; Ursu, T.M.; Onțel, I.; Marușca, T.; Pop, O.G.; Milanovici, S.; Sin-Schneider, A.; Gheorghe, C.A.; Avram, S.; Fărcaș, S.; et al. Deviation from Grazing Optimum in the Grassland Habitats of Romania within and Outside the Natura 2000 Network. In Habitats of the World—Biodiversity and Threats; Musarella, C.M., Ortiz, A.C., Canas, R.Q., Eds.; IntechOpen: London, UK, 2019; pp. 1–19. [Google Scholar]
- Schils, R.L.M.; Bufe, C.; Rhymer, C.M.; Francksen, R.M.; Klaus, V.H.; Abdalla, M.; Milazzo, F.; Lellei-Kovacs, E.; Berge, H.; Bertora, C.; et al. Permanent grasslands in Europe: Land use change and intensification decrease their multifunctionality. Agric. Ecosyst. Environ. 2022, 330, 107891. [Google Scholar] [CrossRef]
- Vrahnakis, M.S.; Janišová, M.; Rūsiņa, S.; Török, P.; Venn, S.; Dengler, J. The European Dry Grassland Group (EDGG): Stewarding Europe’s most diverse habitat type. In Steppenlebensräume Europas—Gefähr-Dung, Erhaltungsmaßnahmen und Schutz; Baumbach, H., Pfützenreuter, S., Eds.; Thüringer Ministerium für Landwirtschaft, Forsten, Umwelt und Naturschutz: Erfurt, Germany, 2013; pp. 417–434. [Google Scholar]
- Nita, A.; Hartel, T.; Manolache, S.; Ciocanea, C.M.; Miu, I.V.; Rozylowicz, L. Who is researching biodiversity hotspots in Eastern Europe? A case study on the grasslands in Romania. PLoS ONE 2019, 14, e0217638. [Google Scholar] [CrossRef] [PubMed]
- Yin, R.; Eisenhauer, N.; Schmidt, A.; Gruss, I.; Purahong, W.; Siebert, J.; Schädler, M. Climate change does not alter land-use effects on soil fauna communities. Appl. Soil Ecol. 2019, 140, 1–10. [Google Scholar] [CrossRef]
- Behan-Pelletier, V.M.; Kanashiro, D. Acari in grassland soils of Canada. In Arthropods of Canadian Grasslands. Volume 1: Ecology and Interactions in Grassland Habitats; Shorthouse, J.D., Floate, K.D., Eds.; Laurentian University: Sudbury, ON, Canada, 2010; pp. 137–166. [Google Scholar]
- Parfitt, R.L.; Yeates, G.W.; Ross, D.J.; Schon, N.L.; Mackay, A.D.; Wardle, D.A. Effect of fertilizer, herbicide and grazing management of pastures on plant and soil communities. Appl. Soil Ecol. 2010, 45, 175–186. [Google Scholar] [CrossRef]
- Miller, J.J.; Battigelli, J.P.; Willms, W.D. Grazing Protection Influences Soil Mesofauna in Ungrazed and Grazed Riparian and Upland Pastures. Rangel. Ecol. Manag. 2014, 67, 429–434. [Google Scholar] [CrossRef]
- Tsiafouli, M.A.; Thébault, E.; Sgardelis, S.P.; De Ruiter, P.C.; Van Der Putten, W.H.; Birkhofer, K.; Hemerik, L.; De Vries, F.T.; Bardgett, R.D.; Brady, M.V.; et al. Intensive agriculture reduces soil biodiversity across Europe. Glob. Chang. Biol. 2014, 21, 973–985. [Google Scholar] [CrossRef]
- Briones, M.J.I.; Ostle, N.J.; McNamara, N.P.; Poskitt, J. Functional shifts of grassland soil communities in response to soil warming. Soil Biol. Biochem. 2009, 41, 315–322. [Google Scholar] [CrossRef]
- Arnott, A.; Riddell, G.; Emmerson, M.; Caruso, T.; Reid, N. Upland grassland habitats and agri-environment schemes change soil microarthropod abundance. J. Appl. Ecol. 2021, 58, 2256–2265. [Google Scholar] [CrossRef]
- Manu, M.; Băncilă, R.I.; Mountford, O.J.; Maruşca, T.; Blaj, V.A.; Onete, M. Soil mite (Acari: Mesostigmata) communities and their relationship with some environmental variables in experimental grasslands from Bucegi Mountains in Romania. Insects 2022, 13, 285. [Google Scholar] [CrossRef]
- Krantz, G.W.; Walter, D.E. A Manual of Acarology, 3rd ed.; Texas Tech University Press: Lubbock, TX, USA, 2009; pp. 1–807. [Google Scholar]
- Curry, J.P.; Momen, F.M. The arthropod fauna of grassland on reclaimed cutaway peat in Central Ireland. Pedobiologia 1988, 32, 99–109. [Google Scholar]
- De Deyn, G.B.; Raaijmakers, C.E.; Zoomer, H.R. Soil invertebrate fauna enhance grassland succession and diversity. Nature 2003, 422, 711–713. [Google Scholar] [CrossRef] [PubMed]
- Gulvik, M.E.; Błoszyk, J.; Austad, I.; Bajaczyk, R.; Piwczyński, D. Abundance and diversity of soil microarthropod communities related to different land use regime in a traditional farm in western Norway. Pol. J. Ecol. 2008, 56, 273–288. [Google Scholar]
- Cole, L.; Buckland, S.M.; Bardgett, R.D. Influence of disturbance and nitrogen addition on plant and soil animal diversity in grassland. Soil Biol. Biochem. 2008, 40, 505–514. [Google Scholar] [CrossRef]
- Pacek, S.; Seniczak, A.; Graczyk, R.; Chachaj, B.; Waldon-Rudzionek, B. The effect of grazing by geese, goats, and fallow deer on soil mites (Acari). Turk. J. Zool. 2000, 44, 254–265. [Google Scholar] [CrossRef]
- Manu, M.; Iordache, V.; Băncilă, R.I.; Bodescu, F.; Onete, M. The influence of the environment variables on soil mite communities (Acari: Mesostigmata) from overgrazed grassland ecosystems—Romania. Ital. J. Zool. 2016, 83, 89–97. [Google Scholar] [CrossRef]
- Manu, M.; Onete, M.; Florescu, L.; Bodescu, F.; Iordache, V. Influence of heavy metal pollution on soil mite communities (Acari) in Romanian grasslands. North-West. J. Zool. 2017, 13, 200–210. [Google Scholar]
- Manu, M.; Bancila, R.I.; Iordache, V.; Bodescu, F.; Onete, M. Impact assessment of heavy metal pollution on soil mite communities (Acari: Mesostigmata) from Zlatna Depression—Transylvania. Process Saf. Environ. Prot. 2017, 108, 121–134. [Google Scholar] [CrossRef]
- Nedelea, A.; Comănescu, L. Present day relief-shaping systems acting on the southern slope of the Făgăraș Mountains (Romania). J. Earth Syst. Sci. 2011, 120, 1023–1032. [Google Scholar] [CrossRef]
- Eur-LEX. Available online: http://ec.europa.eu/environment/nature/legislation/habitatsdirective/index_en.htm (accessed on 20 June 2022).
- Organisation des Nations Unies Pour L’alimentation et L’agriculture. Available online: https://www.fao.org/faolex/results/details/fr/c/LEX-FAOC197166/ (accessed on 21 June 2022).
- Guvernul României-Portal Legislativ. Available online: https://legislatie.just.ro/Public/DetaliiDocumentAfis/127715 (accessed on 21 June 2022).
- Guvernul României-Portal Legislativ. Available online: https://legislatie.just.ro/Public/DetaliiDocumentAfis/89382 (accessed on 21 June 2022).
- Onete, M.; Zaharia, D.; Nicoară, R.; Manu, M. Studii Privind Aprecierea Valorii Pastorale şi a Capacităţii de Păşunat în Unele Pajişti din Zona sud-Vestică a Masivului Făgăraş; Editura Ars Docendi, Universitatea Bucureşti: Bucureşti, Romania, 2021; pp. 1–214. [Google Scholar]
- Koehler, H.; Melecis, V. Long-term observations of soil mesofauna. In Long-Term Ecological Research. Between Theory and Application; Müller, F., Baessler, C., Schubert, H., Klotz, S., Eds.; Springer: Berlin/Heidelberg, Germany, 2010; pp. 203–220. [Google Scholar]
- Ghiliarov, M.S.; Bregetova, N.G. Opredeliteli Obitayushchikh v Pochve Kleshcheĭ Mesostigmata; Akademia Nauk USSR, Zoologicheskiĭ Institut Evolyucionoĭ Morfologii i Ekologii Zhivotnikh im A.H. Savertova, Izd. Nauka: Leningrad, Russia, 1977; pp. 1–780. [Google Scholar]
- Hyatt, K.H. Mites of the subfamily Parasitinae (Mesostigmata: Parasitidae) in the British Isles. Bull. Br. Mus. Nat. Hist. Zool. 1980, 38, 237–378. [Google Scholar] [CrossRef]
- Karg, W. Acari (Acarina), Milben Parasitiformes (Anactinochaeta) Cohors Gamasina Leach. Raubmilben. Entomol. Fenn. 1993, 59, 1–513. [Google Scholar]
- Mašán, P. Macrochelid Mites of Slovakia (Acari, Mesostigmata, Macrochelidae); Institute of Zoology, Slovak Academy of Science: Bratislava, Slovakia, 2003; pp. 1–149. [Google Scholar]
- Mašán, P.; Fenďa, P. Zerconid Mites of Slovakia (Acari, Mesostigmata, Zerconidae); Institute of Zoology, Slovakia Academy of Science: Bratislava, Slovakia, 2004; pp. 1–238. [Google Scholar]
- Mašán, P. Review of the Family Pachylaelapidae in Slovakia with Systematics and Ecology of European Species (Acari: Mesostigmata: Eviphidoidea); Institute of Zoology, Slovak Academy of Science: Bratislava, Slovakia, 2007; pp. 1–66. [Google Scholar]
- Mašán, P.; Fenda, P.; Mihál, I. New edaphic mites of the genus Veigaia from Slovakia and Bulgaria, with a key to the European species (Acari, Mesostigmata, Veigaiidae). Zootaxa 2008, 1897, 1–19. [Google Scholar] [CrossRef]
- Mášan, P.; Halliday, R.B. Review of the European genera of Eviphididae (Acari: Mesostigmata) and the species occurring in Slovakia. Zootaxa 2010, 2585, 1–122. [Google Scholar] [CrossRef]
- Mášan, P.; Halliday, B. Review of the mite family Pachylaelapidae (Acari:Mesostigmata). Zootaxa 2013, 3776, 1–66. [Google Scholar] [CrossRef] [PubMed]
- Özbek, H.H.; Halliday, B. Four new species of Olopachys Berlese from Turkey (Acari: Pachylaelapidae), with a key to the world species. Syst. Appl. Acarol. 2015, 20, 139–152. [Google Scholar]
- De Moraes, G.J.; Moreira, G.F.; Freire, R.A.P.; Beaulieu, F.; Klompen, H.; Halliday, B. Catalogue of the free-living and arthropod-associated Laelapidae Canestrini (Acari: Mesostigmata), with revised generic concepts and a key to genera. Zootaxa 2022, 5184, 1–509. [Google Scholar] [CrossRef]
- The R Project for Statistical Computing. Available online: http://www.R-project.org/ (accessed on 10 January 2021).
- Wickham, H. ggplot2: Elegant Graphics for Data Analysis; Springer: New York, NY, USA, 2016; pp. 1–182. [Google Scholar]
- Zuur, A.F.; Ieno, E.N.; Walker, N.J.; Saveliev, A.A.; Smith, G.M. Mixed Effects Models and Extensions in Ecology with R; Springer: New York, NY, USA, 2009; pp. 1–458. [Google Scholar]
- Kindt, R.; Coe, R. Tree Diversity Analysis. A Manual and Software for Common Statistical Methods for Ecological and Biodiversity Studies; World Agroforestry Centre (ICRAF): Nairobi, Kenya, 2005; pp. 1–153. [Google Scholar]
- Bates, D.; Maechler, M.; Bolker, B.; Walker, S. Fitting Linear Mixed-Effects Models Using lme4. J. Stat. Softw. 2015, 67, 1–48. [Google Scholar] [CrossRef]
- Bolker, B. GLMM FAQ. Available online: http://bbolker.github.io/mixedmodels-misc/glmmFAQ.html (accessed on 15 June 2022).
- Fox, J.; Hong, J. Effect Displays in R for Multinomial and Proportional-Odds Logit Models: Extensions to the effects Package. J. Stat. Softw. 2009, 32, 1–24. [Google Scholar] [CrossRef]
- Oksanen, J.F.; Blanchet, G.; Friendly, M.; Kindt, R.; Legendre, P.; McGlinn, D.; Minchin, P.R.; O’Hara, R.B.; Simpson, G.L.; Solymos, P.; et al. Vegan: Community Ecology Package. R Package Version 2.5-7. Available online: https://CRAN.R-project.org/package=vegan (accessed on 20 June 2022).
- Halliday, R.B. Alliphis siculus (Oudemans 1905) is not a synonym of Alliphis halleri (G. & R. Canestrini 1881) (Acari: Eviphididae). Syst. Appl. Acarol. 2008, 13, 51–64. [Google Scholar]
- Cicolani, B. Macrochelid mites (Acari: Mesostigmata) occurring in animal droppings in the pasture ecosystem in central Italy. Agric. Ecosyst. Environ. 1992, 40, 47–60. [Google Scholar] [CrossRef]
- Arroyo, J.; O’Grady, A.; Vance, H.; Bolger, T. The mite (Acari: Oribatida, Mesostigmata) assemblages associated with Lasius flavus (Hymenoptera: Formicidae) nests and surrounding soil in an Irish grassland. Biol. Environ. Proc. R. Ir. Acad. 2015, 115, 17–28. [Google Scholar] [CrossRef]
- George, P.B.L.; Keith, A.M.; Creer, S.; Barrett, G.L.; Lebron, I.; Emmett, B.A.; Robinson, D.A.; Jones, D.L. Evaluation of mesofauna communities as soil quality indicators in a national-level monitoring programme. Soil Biol. Biochem. 2017, 115, 537–546. [Google Scholar] [CrossRef]
- Gruss, I.; Pastuszko, K.; Twardowski, J.; Hurej, M. Effects of different management practices of organic uphill grasslands on the abundance and diversity of soil mesofauna. J. Plant Prot. Res. 2018, 58, 372–380. [Google Scholar] [CrossRef]
- Salmane, I. Soil free-living predatory Gamasina mites (Acari, Mesostigmata) from the coastal meadows of Riga Gulf, Latvia. Latv. Entom. 1999, 37, 104–114. [Google Scholar]
- Koehler, H.H. Mesostigmata (Gamasina, Uropodina), efficient predators in agroecosystems. Agric. Ecosyst. Environ. 1997, 62, 105–117. [Google Scholar] [CrossRef]
- Cole, L.; Buckland, S.M.; Bardgett, R.D. Relating microarthropod community structure and diversity to soil fertility manipulations in temperate grassland. Soil Biol. Biochem. 2005, 37, 1707–1717. [Google Scholar] [CrossRef]
- Acatrinei, L.; Călugăr, A. Anthropic impact evaluation by soil-plant perspective in grasslands ecosystems from Northeastern Romania. Lucr. Ştiinţ. Univ. Agron. "Ion Ionescu de la Brad" Iaşi, Ser. Agron. 2014, 57, 155–162. [Google Scholar]
- Călugăr, A. Mesostigmatid mites as a piece of the bioindicators puzzle. Lucr. Ştiinţ. Univ. Agron. "Ion Ionescu de la Brad" Iaşi Ser. Agron. 2021, 64, 47–50. [Google Scholar]
- Gwiazdowicz, D. Ascid Mites (Acari, Gamasina) from Selected Forest Ecosystems and Microhabitats in Poland; University Augusta Cieszkowskiego: Poznan, Poland, 2007; pp. 1–248. [Google Scholar]
- Manu, M.; Honciuc, V.; Neagoe, A.; Băncilă, R.I.; Iordache, V.; Onete, M. Soil mite communities (Acari: Mesostigmata, Oribatida) as bioindicators for environmental conditions from polluted soils. Sci. Rep. 2019, 9, 20250. [Google Scholar] [CrossRef]
- Madej, G. Ecological succession of mites (Acari) with particular reference to the predatory mites Gamasina (Mesostigmata). In Selected Problems of Acarological Research in Forests; Gwiazdowicz, D., Ed.; Polskie Towarzystwo Leśne, Oddział Wielkopolski Wydawnictwo Uniwersytetu Przyrodniczego w Poznaniu: Poznan, Poland, 2008; pp. 1–125. [Google Scholar]
- Kunakh, O.; Zhukova, Y.; Yakovenko, V.; Daniuk, O. Influence of plants on the spatial variability of soil penetration resistance. Ekológia 2022, 41, 113–125. [Google Scholar] [CrossRef]
- Seastedt, T.R.; Ramundo, R.A.; Hayes, D.C. Maximization of densities of soil animals by foliage herbivory: Empirical evidence, graphical, and conceptual models. Oikos 1988, 51, 243–248. [Google Scholar] [CrossRef]
- Risch, A.C.; Jurgensen, M.F.; Frank, D.A. Effects of grazing and soil micro-climate on decomposition rates in a spatio-temporally heterogeneous grassland. Plant Soil 2007, 298, 191–201. [Google Scholar] [CrossRef]
- Zhang, A.; Zhang, Y.; Potapov, A.M.; Bhusal, D.R.; Qiang, W.; Wang, M.; Pang, X. Changes in diversity and functional groups of soil mite communities are associated with properties of food resources along a subalpine secondary succession. Geoderma 2023, 432, 116395. [Google Scholar] [CrossRef]
- Potapov, A.M.; Beaulieu, F.; Birkhofer, K.; Bluhm, S.L.; Degtyarev, M.I.; Devetter, M.; Goncharov, A.A.; Gongalsky, K.B.; Klarner, B.; Korobushkin, D.I.; et al. Feeding habits and multifunctional classification of soil-associated consumers from protists to vertebrates. Biol. Rev. 2022, 97, 1057–1117. [Google Scholar] [CrossRef]
- Klarner, B.; Maraun, M.; Scheu, S. Trophic diversity and niche partitioning in a species rich predator guild—Natural variations in stable isotope ratios (13C/12C, 15N/14N) of mesostigmatid mites (Acari, Mesostigmata) from Central European beech forests. Soil Biol. Biochem. 2013, 57, 327–333. [Google Scholar] [CrossRef]
- Rueda-Ramírez, D.; Palevsky, E.; Ruess, L. Trophic links between soil predatory mites and nematodes as a key component of conservation biocontrol. Zoosymposia 2022, 22, 61. [Google Scholar] [CrossRef]
- Ruf, A. A maturity index for predatory soil mites (Mesostigmata: Gamasina) as an indicator of environmental impacts of pollution on forest soils. Appl. Soil Ecol. 1998, 9, 447–452. [Google Scholar] [CrossRef]
- Risch, A.C.; Schütz, M.; Vandegehuchte, M.L.; Van Der Putten, W.H.; Duyts, H.; Raschein, U.; Gwiazdowicz, D.J.; Busse, M.D.; Page-Dumroese, D.S.; Zimmermann, S. Aboveground vertebrate and invertebrate herbivore impact on net N mineralization in subalpine grasslands. Ecology 2015, 96, 3312–3322. [Google Scholar] [CrossRef]
- Hassink, J.; Bouwman, L.A.; Zwart, K.B.; Brussaard, L. Relationships between habitable pore space, soil biota and mineralization rates in grassland soils. Soil Biol. Biochem. 1993, 25, 47–55. [Google Scholar] [CrossRef]
- Nielsen, U.N.; Osler, G.H.R.; van der Wal, R.; Campbell, C.D.; Burslem, D.F. Soil pore volume and the abundance of soil mites in two contrasting habitats. Soil Biol. Biochem. 2008, 40, 1538–1541. [Google Scholar] [CrossRef]
- Liu, J.; Gao, M.; Liu, J.; Guo, Y.; Liu, D.; Zhu, X.; Wu, D. Spatial distribution patterns of soil mite communities and their relationships with edaphic factors in a 30-year tillage cornfield in northeast China. PLoS ONE 2018, 13, e0199093. [Google Scholar] [CrossRef] [PubMed]
- Jiang, Y.; Zhang, Y.G.; Zhou, D.; Qin, Y.; Liang, W.J. Profile distribution of micronutrients in an aquic brown soil as affected by land use. Plant Soil Environ. 2009, 55, 468–476. [Google Scholar] [CrossRef]
- Rutkowska, B.; Szulc, W.; Sosulski, T.; Stępień, W. Soil micronutrient availability to crops affected by long-term inorganic and organic fertilizer applications. Plant, Soil Environ. 2014, 60, 198–203. [Google Scholar] [CrossRef]
- Bardgett, R.D.; Chan, K.F. Experimental evidence that soil fauna enhance nutrient mineralization and plant nutrient uptake in montane grassland ecosystems. Soil Biol. Biochem. 1999, 31, 1007–1014. [Google Scholar] [CrossRef]
- Ács, A.; Kontschán, J. Contribution to the Veigaiidae Oudemans, 1939 fauna of the Carpathian Basin and the Balkan Peninsula (Acari: Mesostigmata). Opusc. Zool. Budapest. 2015, 46, 121–131. [Google Scholar] [CrossRef]
- Koehler, H.H. Natural regeneration and succession—Results from a 13 years study with reference to mesofauna and vegetation, and implications for management. Landsc. Urban Plan. 2000, 51, 123–130. [Google Scholar] [CrossRef]
- Błoszyk, J.; Rutkowski, T.; Wojtaszyn, G.; Książkiewicz, Z.; Zacharyasiewicz, M.; Napierała, A. Leiodinychus orbicularis (C.L. Koch, 1839) in bat boxes in Poland. Eur. J. Biol. Res. 2020, 10, 150–155. [Google Scholar]










| Environmental Variables | Df | MS | F | p |
|---|---|---|---|---|
| Air temperature (°C) | 1 | 380.63 | 11.267 | 0.001 |
| Air relative humidity (%) | 1 | 1739.11 | 24.018 | <0.001 |
| Soil temperature (°C) | 1 | 6.6701 | 0.313 | 0.577 |
| Soil moisture content (%) | 1 | 659.53 | 2.497 | 0.118 |
| Vegetation cover (%) | 4 | 1087.81 | 16.518 | <0.001 |
| Soil acidity (pH) | 1 | 0.007 | 0.021 | 0.887 |
| Soil penetration resistance (Map) | 1 | 2.71879 | 19.765 | <0.001 |
| Soil electrical conductivity (µS/cm) | 1 | 150.70 | 0.199 | 0.657 |
Disclaimer/Publisher’s Note: The statements, opinions and data contained in all publications are solely those of the individual author(s) and contributor(s) and not of MDPI and/or the editor(s). MDPI and/or the editor(s) disclaim responsibility for any injury to people or property resulting from any ideas, methods, instructions or products referred to in the content. |
© 2023 by the authors. Licensee MDPI, Basel, Switzerland. This article is an open access article distributed under the terms and conditions of the Creative Commons Attribution (CC BY) license (https://creativecommons.org/licenses/by/4.0/).
Share and Cite
Manu, M.; Băncilă, R.I.; Onete, M. Effect of Grazing Management on Predator Soil Mite Communities (Acari: Mesotigmata) in Some Subalpine Grasslands from the Făgăraş Mountains—Romania. Insects 2023, 14, 626. https://doi.org/10.3390/insects14070626
Manu M, Băncilă RI, Onete M. Effect of Grazing Management on Predator Soil Mite Communities (Acari: Mesotigmata) in Some Subalpine Grasslands from the Făgăraş Mountains—Romania. Insects. 2023; 14(7):626. https://doi.org/10.3390/insects14070626
Chicago/Turabian StyleManu, Minodora, Raluca Ioana Băncilă, and Marilena Onete. 2023. "Effect of Grazing Management on Predator Soil Mite Communities (Acari: Mesotigmata) in Some Subalpine Grasslands from the Făgăraş Mountains—Romania" Insects 14, no. 7: 626. https://doi.org/10.3390/insects14070626
APA StyleManu, M., Băncilă, R. I., & Onete, M. (2023). Effect of Grazing Management on Predator Soil Mite Communities (Acari: Mesotigmata) in Some Subalpine Grasslands from the Făgăraş Mountains—Romania. Insects, 14(7), 626. https://doi.org/10.3390/insects14070626

