Expression Profiling and Functional Analysis of Candidate Odorant Receptors in Galeruca daurica
Abstract
Simple Summary
Abstract
1. Introduction
2. Materials and Methods
2.1. Insects and Samples Collection
2.2. Identification of OR Transcripts
2.3. Total RNA Isolation and cDNA Synthesis
2.4. Quantitative Real-Time PCR (RT-qPCR) Measurement
2.5. RNA Interference of GdauOR4/GdauOR11/GdauOR15/GdauORco
2.6. EAG Recordings
2.7. Data Analysis
3. Results
3.1. Identification of Putative OR Genes in G. daurica
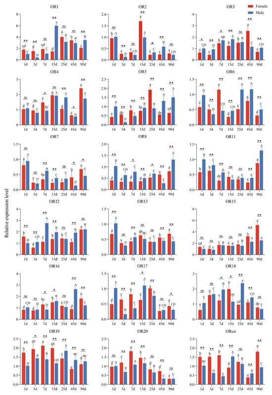
3.2. Expression Profile Analysis of G. daurica OR Genes
3.3. RNA Interference of GdauOR4/GdauOR11/GdauOR15/GdauORco
3.4. Electroantennogram Analysis
4. Discussion
5. Conclusions
Supplementary Materials
Author Contributions
Funding
Institutional Review Board Statement
Informed Consent Statement
Data Availability Statement
Acknowledgments
Conflicts of Interest
References
- Leal, W.S. Odorant reception in insects: Roles of receptors, binding proteins, and degrading enzymes. Annu. Rev. Entomol. 2013, 58, 373–391. [Google Scholar] [CrossRef]
- Pelosi, P.; Zhou, J.J.; Ban, L.P.; Calvello, M. Soluble proteins in insect chemical communication. Cell. Mol. Life Sci. 2006, 63, 1658–1676. [Google Scholar] [CrossRef]
- Vosshall, L.B.; Wong, A.M.; Axel, R. An olfactory sensory map in the fly brain. Cell 2000, 102, 147–159. [Google Scholar] [CrossRef]
- Butterwick, J.A.; Del Marmol, J.; Kim, K.H.; Kahlson, M.A.; Rogow, J.A.; Walz, T.; Ruta, V. Cryo-EM structure of the insect olfactory receptor Orco. Nature 2018, 560, 447–452. [Google Scholar] [CrossRef]
- Missbach, C.; Dweck, H.K.; Vogel, H.; Vilcinskas, A.; Stensmyr, M.C.; Hansson, B.S.; Grosse-Wilde, E. Evolution of insect olfactory receptors. eLife 2014, 3, e02115. [Google Scholar] [CrossRef] [PubMed]
- Ioannidis, P.; Simao, F.A.; Waterhouse, R.M.; Manni, M.; Seppey, M.; Robertson, H.M.; Misof, B.; Niehuis, O.; Zdobnov, E.M. Genomic Features of the Damselfly Calopteryx splendens Representing a Sister Clade to Most Insect Orders. Genome Biol. Evol. 2017, 9, 415–430. [Google Scholar] [CrossRef] [PubMed][Green Version]
- Engsontia, P.; Sanderson, A.P.; Cobb, M.; Walden, K.K.; Robertson, H.M.; Brown, S. The red flour beetle’s large nose: An expanded odorant receptor gene family in Tribolium castaneum. Insect Biochem. Mol. Biol. 2008, 38, 387–397. [Google Scholar] [CrossRef] [PubMed]
- Wang, S.N.; Peng, Y.; Lu, Z.Y.; Dhiloo, K.H.; Gu, S.H.; Li, R.J.; Zhou, J.J.; Zhang, Y.J.; Guo, Y.Y. Identification and Expression Analysis of Putative Chemosensory Receptor Genes in Microplitis mediator by Antennal Transcriptome Screening. Int. J. Biol. Sci. 2015, 11, 737–751. [Google Scholar] [CrossRef]
- Wu, L.; Zhai, X.; Li, L.; Li, Q.; Liu, F.; Zhao, H. Identification and Expression Profile of Chemosensory Genes in the Small Hive Beetle Aethina tumida. Insects 2021, 12, 661. [Google Scholar] [CrossRef] [PubMed]
- Li, Y.; Zhang, J.; Chen, D.; Yang, P.; Jiang, F.; Wang, X.; Kang, L. CRISPR/Cas9 in locusts: Successful establishment of an olfactory deficiency line by targeting the mutagenesis of an odorant receptor co-receptor (Orco). Insect Biochem. Mol. Biol. 2016, 79, 27–35. [Google Scholar] [CrossRef]
- Andersson, M.N.; Corcoran, J.A.; Zhang, D.D.; Hillbur, Y.; Newcomb, R.D.; Lofstedt, C. A Sex Pheromone Receptor in the Hessian Fly Mayetiola destructor (Diptera, Cecidomyiidae). Front. Cell. Neurosci. 2016, 10, 212. [Google Scholar] [CrossRef]
- You, Y.; Smith, D.P.; Lv, M.; Zhang, L. A broadly tuned odorant receptor in neurons of trichoid sensilla in locust, Locusta migratoria. Insect Biochem. Mol. Biol. 2016, 79, 66–72. [Google Scholar] [CrossRef]
- de Fouchier, A.; Walker, W.B., 3rd; Montagne, N.; Steiner, C.; Binyameen, M.; Schlyter, F.; Chertemps, T.; Maria, A.; Francois, M.C.; Monsempes, C.; et al. Functional evolution of Lepidoptera olfactory receptors revealed by deorphanization of a moth repertoire. Nat. Commun. 2017, 8, 15709. [Google Scholar] [CrossRef] [PubMed]
- Li, R.T.; Huang, L.Q.; Dong, J.F.; Wang, C.Z. A moth odorant receptor highly expressed in the ovipositor is involved in detecting host-plant volatiles. eLife 2020, 9, e53706. [Google Scholar] [CrossRef]
- An, X.; Khashaveh, A.; Liu, D.; Xiao, Y.; Wang, Q.; Wang, S.; Geng, T.; Gu, S.; Zhang, Y. Functional characterization of one sex pheromone receptor (AlucOR4) in Apolygus lucorum (Meyer-Dur). J. Insect Physiol. 2020, 120, 103986. [Google Scholar] [CrossRef] [PubMed]
- Mitchell, R.F.; Andersson, M.N. Olfactory genomics of the Coleoptera. In Insect Pheromone Biochemistry and Molecular Biology; Blomquist, G.J., Vogt, R.G., Eds.; Elsevier Academic Press: London, UK, 2021; pp. 547–590. [Google Scholar]
- Mitchell, R.F.; Schneider, T.M.; Schwartz, A.M.; Andersson, M.N.; McKenna, D.D. The diversity and evolution of odorant receptors in beetles (Coleoptera). Insect Mol. Biol. 2020, 29, 77–91. [Google Scholar] [CrossRef]
- Zhou, X.R.; Shan, Y.M.; Tan, Y.; Zhang, Z.R.; Pang, B.P. Comparative Analysis of Transcriptome Responses to Cold Stress in Galeruca daurica (Coleoptera: Chrysomelidae). J. Insect Sci. 2019, 19, 8. [Google Scholar] [CrossRef] [PubMed]
- Hao, X.; Zhou, X.R.; Pang, B.P.; Zhang, Z.R.; Ma, C.Y. Effects of host plants on feeding amount, growth and development of Galeruca daurica (Joannis) larvae (Coleoptera: Chrysomelidae). Sci. Agric. Sin. 2014, 22, 854–858. [Google Scholar] [CrossRef]
- Li, L.; Li, N.; Pang, B.P. Ultrastructure of antennal sensilla and electroantennographic responses to Allium mongolium volatiles in adult Galeruca daurica (Coleoptera: Chrysomelidae). Acta Entomol. Sin. 2022, 65, 333–342. [Google Scholar] [CrossRef]
- Li, L.; Zhou, Y.T.; Tan, Y.; Zhou, X.R.; Pang, B.P. Identification of odorant-binding protein genes in Galeruca daurica (Coleoptera: Chrysomelidae) and analysis of their expression profiles. Bull. Entomol. Res. 2017, 107, 550–561. [Google Scholar] [CrossRef]
- Li, L.; Zhou, Y.T.; Tan, Y.; Zhou, X.R.; Pang, B.P. Identification and expression profiling of chemosensory protein genes in Galeruca daurica (Coleoptera: Chrysomelidae). Acta Entomol. Sin. 2018, 61, 646–656. [Google Scholar] [CrossRef]
- Li, L.; Zhang, W.B.; Shan, Y.M.; Zhang, Z.R.; Pang, B.P. Functional Characterization of Olfactory Proteins Involved in Chemoreception of Galeruca daurica. Front. Physiol. 2021, 12, 678–698. [Google Scholar] [CrossRef]
- Li, L.; Tan, Y.; Zhou, X.R.; Pang, B.P. Molecular Cloning, Prokaryotic Expression and Binding Characterization of Odorant Binding Protein GdauOBP20 in Galeruca daurica. Sci. Agric. Sin. 2019, 52, 3705–3712. [Google Scholar] [CrossRef]
- Li, Y.Y.; Chen, L.; Li, L.; Tan, Y.; Pang, B.P. Analysis of the transcriptomes of Galeruca daurica (Coleoptera: Chrysomelidae) adults at different summer diapause stages. Acta Entomol. Sin. 2021, 64, 1020–1030. [Google Scholar] [CrossRef]
- Tan, Y.; Zhou, X.R.; Pang, B.P. Reference gene selection and evaluation for expression analysis using qRT-PCR in Galeruca daurica (Joannis). Bull. Entomol. Res. 2017, 107, 359–368. [Google Scholar] [CrossRef] [PubMed]
- Livak, K.J.; Schmittgen, T.D. Analysis of relative gene expression data using real-time quantitative PCR and the 2(-Delta Delta C(T)) Method. Methods 2001, 25, 402–408. [Google Scholar] [CrossRef]
- Li, X.M.; Zhu, X.Y.; Wang, Z.Q.; Wang, Y.; He, P.; Chen, G.; Sun, L.; Deng, D.G.; Zhang, Y.N. Candidate chemosensory genes identified in Colaphellus bowringi by antennal transcriptome analysis. BMC Genom. 2015, 16, 1028. [Google Scholar] [CrossRef]
- Gonzalez, F.; Johny, J.; Walker, W.B., 3rd; Guan, Q.; Mfarrej, S.; Jakse, J.; Montagne, N.; Jacquin-Joly, E.; Alqarni, A.S.; Al-Saleh, M.A.; et al. Antennal transcriptome sequencing and identification of candidate chemoreceptor proteins from an invasive pest, the American palm weevil, Rhynchophorus palmarum. Sci. Rep. 2021, 11, 8334. [Google Scholar] [CrossRef] [PubMed]
- Wang, J.; Hu, P.; Gao, P.; Tao, J.; Luo, Y. Antennal transcriptome analysis and expression profiles of olfactory genes in Anoplophora chinensis. Sci. Rep. 2017, 7, 15470. [Google Scholar] [CrossRef]
- Wu, Z.; Ye, J.; Qian, J.; Purba, E.R.; Zhang, Q.; Zhang, L.; Mang, D. Identification and Expression Profile of Chemosensory Receptor Genes in Aromia bungii (Faldermann) Antennal Transcriptome. Insects 2022, 13, 96. [Google Scholar] [CrossRef] [PubMed]
- Scieuzo, C.; Nardiello, M.; Farina, D.; Scala, A.; Cammack, J.A.; Tomberlin, J.K.; Vogel, H.; Salvia, R.; Persaud, K.; Falabella, P. Hermetia illucens (L.) (Diptera: Stratiomyidae) Odorant Binding Proteins and Their Interactions with Selected Volatile Organic Compounds: An In Silico Approach. Insects 2021, 12, 814. [Google Scholar] [CrossRef]
- Rondoni, G.; Roman, A.; Meslin, C.; Montagné, N.; Conti, E.; Jacquin-Joly, E. Antennal Transcriptome Analysis and Identification of Candidate Chemosensory Genes of the Harlequin Ladybird Beetle, Harmonia axyridis (Pallas) (Coleoptera: Coccinellidae). Insects 2021, 12, 209. [Google Scholar] [CrossRef]
- Zhang, R.B.; Liu, Y.; Yan, S.C.; Wang, G.R. Identification and functional characterization of an odorant receptor in pea aphid, Acyrthosiphon pisum. Insect Sci. 2019, 26, 58–67. [Google Scholar] [CrossRef] [PubMed]
- Antony, B.; Johny, J.; Montagne, N.; Jacquin-Joly, E.; Capoduro, R.; Cali, K.; Persaud, K.; Al-Saleh, M.A.; Pain, A. Pheromone receptor of the globally invasive quarantine pest of the palm tree, the red palm weevil (Rhynchophorus ferrugineus). Mol. Ecol. 2021, 30, 2025–2039. [Google Scholar] [CrossRef] [PubMed]
- Ji, T.; Xu, Z.; Jia, Q.; Wang, G.; Hou, Y. Non-palm Plant Volatile alpha-Pinene Is Detected by Antenna-Biased Expressed Odorant Receptor 6 in the Rhynchophorus ferrugineus (Olivier) (Coleoptera: Curculionidae). Front. Physiol. 2021, 12, 701545. [Google Scholar] [CrossRef]
- Di, C.; Ning, C.; Huang, L.Q.; Wang, C.Z. Design of larval chemical attractants based on odorant response spectra of odorant receptors in the cotton bollworm. Insect Biochem. Mol. Biol. 2017, 84, 48–62. [Google Scholar] [CrossRef]
- Miao, C.L.; Hou, W.; Dong, S.L. Developmental stage-, tissue- and sex-specific expression of three major chemoreceptor gene families in diamondback moth Plutella xylostella. J. Plant Prot. 2021, 48, 1310–1319. [Google Scholar] [CrossRef]
- Ali, S.; Ahmed, M.Z.; Li, N.; Ali, S.A.I.; Wang, M.Q. Functional characteristics of chemosensory proteins in the sawyer beetle Monochamus alternatus Hope. Bull. Entomol. Res. 2019, 109, 34–42. [Google Scholar] [CrossRef] [PubMed]
- Jackson, A.L.; Bartz, S.R.; Schelter, J.; Kobayashi, S.V.; Burchard, J.; Mao, M.; Li, B.; Cavet, G.; Linsley, P.S. Expression profiling reveals off-target gene regulation by RNAi. Nat. Biotechnol. 2003, 21, 635–637. [Google Scholar] [CrossRef] [PubMed]
- Dong, K.; Sun, L.; Liu, J.T.; Gu, S.H.; Zhou, J.J.; Yang, R.N.; Dhiloo, K.H.; Gao, X.W.; Guo, Y.Y.; Zhang, Y.J. RNAi-Induced Electrophysiological and Behavioral Changes Reveal two Pheromone Binding Proteins of Helicoverpa armigera Involved in the Perception of the Main Sex Pheromone Component Z11-16:Ald. J. Chem. Ecol. 2017, 43, 207–214. [Google Scholar] [CrossRef] [PubMed]
- Guo, M.; Du, L.; Chen, Q.; Feng, Y.; Zhang, J.; Zhang, X.; Tian, K.; Cao, S.; Huang, T.; Jacquin-Joly, E.; et al. Odorant receptors for detecting flowering plant cues are functionally conserved across moths and butterflies. Mol. Biol. Evol. 2021, 38, 1413–1427. [Google Scholar] [CrossRef]
- Cheng, L.; Luo, J.; Li, P.; Yu, H.; Huang, J.; Luo, L. Microbial diversity and flavor formation in onion fermentation. Food Funct. 2014, 5, 2338–2347. [Google Scholar] [CrossRef]
- He, H.J.; Wang, X.L.; Zhang, J.L. Analysis of volatile components of shallots by GC-MS. J. Anal. Test. 2004, 23, 98–100. [Google Scholar]
- Li, M.F.; Li, T.; Li, W.; Yang, L.D. Changes in antioxidant capacity, levels of soluble sugar, total polyphenol, organosulfur compound and constituents in garlic clove during storage. Ind. Crops Prod. 2015, 69, 137–142. [Google Scholar] [CrossRef]
- Chen, L.H.; Tian, K.; Wang, G.R.; Xu, X.L.; He, K.H.; Liu, W.; Wu, J.X. The general odorant receptor GmolOR9 from Grapholita molesta (Lepidoptera: Tortricidae) is mainly tuned to eight host-plant volatiles. Insect Sci. 2020, 27, 1233–1243. [Google Scholar] [CrossRef]
- Jiang, N.J.; Tang, R.; Wu, H.; Xu, M.; Ning, C.; Huang, L.Q.; Wang, C.Z. Dissecting sex pheromone communication of Mythimna separata (Walker) in North China from receptor molecules and antennal lobes to behavior. Insect Biochem. Mol. Biol. 2019, 111, 103176. [Google Scholar] [CrossRef] [PubMed]
- Wang, X.; Wang, S.; Yi, J.; Li, Y.; Liu, J.; Wang, J.; Xi, J. Three host plant volatiles, hexanal, lauric acid, and tetradecane, are detected by an antenna-biased expressed odorant receptor 27 in the dark black chafer Holotrichia parallela. J. Agric. Food Chem. 2020, 68, 7316–7323. [Google Scholar] [CrossRef] [PubMed]
- Fan, J.; Zhang, Y.; Francis, F.; Cheng, D.; Sun, J.; Chen, J. Orco mediates olfactory behaviors and winged morph differentiation induced by alarm pheromone in the grain aphid, Sitobion avenae. Insect Biochem. Mol. Biol. 2015, 64, 16–24. [Google Scholar] [CrossRef]
- Hallem, E.A.; Ho, M.G.; Carlson, J.R. The molecular basis of odor coding in the Drosophila antenna. Cell 2004, 117, 965–979. [Google Scholar] [CrossRef]
- Wang, G.; Carey, A.F.; Carlson, J.R.; Zwiebel, L.J. Molecular basis of odor coding in the malaria vector mosquito Anopheles gambiae. Proc. Natl. Acad. Sci. USA 2010, 107, 4418–4423. [Google Scholar] [CrossRef] [PubMed]





| Number | Compound Name | Molecular Formula | Structural Formula | CAS Number | Purity (%) | Manufacturers |
|---|---|---|---|---|---|---|
| A | Diallyl sulfide | C6H10S | ![]() | 592-88-1 | 97 | Sigma, St. Louis, MO, USA |
| B | 1,3-Dithiane | C4H8S2 | ![]() | 505-23-7 | 97 | Sigma, St. Louis, MO, USA |
| C | Dimethyl trisulfide | C2H6S3 | ![]() | 3658-80-8 | 98 | Sigma, St. Louis, MO, USA |
| D | Diallyl disulphide | C6H10S2 | ![]() | 2179-57-9 | 98 | Sigma, St. Louis, MO, USA |
| E | Diallyl trisulfide | C6H10S3 | ![]() | 2050-87-5 | 98 | Sigma, St. Louis, MO, USA |
| F | 2-Hexen-1-ol | C6H12O | ![]() | 928-95-0 | 96 | Sigma, St. Louis, MO, USA |
| G | Myrcene | C10H16 | ![]() | 123-35-3 | 95 | Sigma, St. Louis, MO, USA |
| H | 2-Hexenal | C6H10O | ![]() | 6728-26-3 | 97 | Sigma, St. Louis, MO, USA |
| I | Methyl benzoate | C8H8O2 | ![]() | 93-58-3 | 96 | Sigma, St. Louis, MO, USA |
| J | Hexanal | C6H12O | ![]() | 66-25-1 | 98 | Sigma, St. Louis, MO, USA |
| K | 1,3,5-Cycloheptatriene | C7H8 | ![]() | 544-25-2 | 95 | Sigma, St. Louis, MO, USA |
| L | p-Xylene | C8H10 | ![]() | 106-42-3 | 99 | Sigma, St. Louis, MO, USA |
| M | Disulfide methyl 2-propenyl | C4H8S2 | ![]() | 2179-58-0 | >90 GC | TCI, Shanghai, China |
| Gene Name | Accession Number | ORF (bp) | BLAST Annotation | Query Cover | E -Value | Ident (%) | Accession |
|---|---|---|---|---|---|---|---|
| GdauOR1 | MK691770 | 780 | odorant receptor 2 (Pyrrhalta maculicollis) | 98 | 3 × 10−53 | 38 | APC94225.1 |
| GdauOR2 | MK691771 | 687 | odorant receptor 2 (Pyrrhalta aenescens) | 98 | 5 × 10−107 | 68 | APC94306.1 |
| GdauOR3 | MK691772 | 438 | odorant receptor 2 (Pyrrhalta aenescens) | 93 | 4 × 10−34 | 47 | APC94306.1 |
| GdauOR4 | MK691773 | 360 | odorant receptor 22 (Pyrrhalta maculicollis) | 100 | 4 × 10−63 | 81 | APC94232.1 |
| GdauOR5 | MK691774 | 351 | odorant receptor 83a-like (Anoplophora glabripennis) | 100 | 7 × 10−08 | 33 | XP_023310752.1 |
| GdauOR6 | MK691775 | 318 | odorant receptor 25 (Pyrrhalta aenescens) | 92 | 1 × 10−30 | 54 | APC94326.1 |
| GdauOR7 | MK691776 | 285 | odorant receptor 21 (Pyrrhalta maculicollis) | 85 | 9 × 10−24 | 56 | APC94243.1 |
| GdauOR8 | MK691777 | 276 | odorant receptor 2 (Pyrrhalta aenescens) | 91 | 1 × 10−14 | 45 | APC94306.1 |
| GdauOR9 | MK691778 | 270 | dorant receptor 25 (Pyrrhalta aenescens) | 95 | 1 × 10−25 | 59 | APC94326.1 |
| GdauOR10 | MK691779 | 267 | odorant receptor 22 (Pyrrhalta maculicollis) | 100 | 9 × 10−44 | 76 | APC94232.1 |
| GdauOR11 | MK691780 | 255 | odorant receptor 5 (Pyrrhalta maculicollis) | 96 | 3 × 10−43 | 86 | APC94229.1 |
| GdauOR12 | MK691781 | 246 | odorant receptor 5 (Pyrrhalta maculicollis) | 97 | 2 × 10−37 | 82 | APC94229.1 |
| GdauOR13 | MK691782 | 240 | odorant receptor 12 (Pyrrhalta aenescens) | 88 | 2 × 10−28 | 77 | APC94320.1 |
| GdauOR14 | MK691783 | 237 | odorant receptor Or2-like (Leptinotarsa decemlineata) | 85 | 5 × 10−19 | 57 | XP_023024059.1 |
| GdauOR15 | MK691784 | 234 | odorant receptor 3, partial (Pyrrhalta aenescens) | 100 | 1 × 10−26 | 65 | APC94308.1 |
| GdauOR16 | MK691785 | 231 | odorant receptor 23, partial (Pyrrhalta aenescens) | 100 | 1 × 10−25 | 68 | APC94324.1 |
| GdauOR17 | MK691786 | 225 | odorant receptor 25 (Pyrrhalta aenescens) | 100 | 4 × 10−23 | 57 | APC94326.1 |
| GdauOR18 | MK691787 | 216 | odorant receptor (Anoplophora chinensis) | 97 | 2 × 10−11 | 43 | AUF73043.1 |
| GdauOR19 | MK691788 | 213 | odorant receptor OR38 (Colaphellus bowringi) | 94 | 2 × 10−18 | 54 | ALR72581.1 |
| GdauOR20 | MK691789 | 168 | odorant receptor 25 (Pyrrhalta aenescens) | 100 | 8 × 10−12 | 56 | APC94326.1 |
| GdauORco | MK691790 | 465 | odorant receptor coreceptor, partial (Agrilus planipennis) | 100 | 1 × 10−103 | 95 | XP_025831003.1 |
Publisher’s Note: MDPI stays neutral with regard to jurisdictional claims in published maps and institutional affiliations. |
© 2022 by the authors. Licensee MDPI, Basel, Switzerland. This article is an open access article distributed under the terms and conditions of the Creative Commons Attribution (CC BY) license (https://creativecommons.org/licenses/by/4.0/).
Share and Cite
Zhang, J.-H.; Li, L.; Li, N.; Li, Y.-Y.; Pang, B.-P. Expression Profiling and Functional Analysis of Candidate Odorant Receptors in Galeruca daurica. Insects 2022, 13, 563. https://doi.org/10.3390/insects13070563
Zhang J-H, Li L, Li N, Li Y-Y, Pang B-P. Expression Profiling and Functional Analysis of Candidate Odorant Receptors in Galeruca daurica. Insects. 2022; 13(7):563. https://doi.org/10.3390/insects13070563
Chicago/Turabian StyleZhang, Jing-Hang, Ling Li, Na Li, Yan-Yan Li, and Bao-Ping Pang. 2022. "Expression Profiling and Functional Analysis of Candidate Odorant Receptors in Galeruca daurica" Insects 13, no. 7: 563. https://doi.org/10.3390/insects13070563
APA StyleZhang, J.-H., Li, L., Li, N., Li, Y.-Y., & Pang, B.-P. (2022). Expression Profiling and Functional Analysis of Candidate Odorant Receptors in Galeruca daurica. Insects, 13(7), 563. https://doi.org/10.3390/insects13070563













