Next Issue
Volume 13, December
Previous Issue
Volume 13, August
 
 

Galaxies, Volume 13, Issue 5 (October 2025) – 20 articles

Cover Story (view full-size image): The Murchison Widefield Array (MWA) is a low frequency radio interferometer designed and developed by an international consortium, and is a Precursor for the low frequency Square Kilometre Array (SKA). Commencing science operations in 2013 after an extended development period, the MWA has performed observations in support of a very wide range of science objectives, has been upgraded multiple times, and has played a fundamental role in the development of the low frequency SKA. In this paper, I describe some personal reflections on the MWA’s activities and successes in these different dimensions, some of the key technical and strategic decision points, and my views on some of the approaches that have enabled these successes. I also offer some of the lessons I have perceived over my journey in the project. View this paper
  • Issues are regarded as officially published after their release is announced to the table of contents alert mailing list.
  • You may sign up for e-mail alerts to receive table of contents of newly released issues.
  • PDF is the official format for papers published in both, html and pdf forms. To view the papers in pdf format, click on the "PDF Full-text" link, and use the free Adobe Reader to open them.
Order results
Result details
Select all
Export citation of selected articles as:
22 pages, 1103 KB  
Review
Dwarf Galaxies in Focus: A Survey of Observational and Theoretical Studies
by Komiljon Tillaboev, Ikram Tadjibaev, Kamolidin Mamadaliyev, Dildor Otajonova, Malokhat Atajonova and Bagzodbek Abdullayev
Galaxies 2025, 13(5), 117; https://doi.org/10.3390/galaxies13050117 - 21 Oct 2025
Viewed by 2633
Abstract
This paper presents provides a comprehensive survey of dwarf galaxies, which represent the most numerous and diverse systems in the Universe. We discuss their definitions and morphological classifications, emphasizing the unique properties that distinguish them from globular clusters and giant galaxies. Special attention [...] Read more.
This paper presents provides a comprehensive survey of dwarf galaxies, which represent the most numerous and diverse systems in the Universe. We discuss their definitions and morphological classifications, emphasizing the unique properties that distinguish them from globular clusters and giant galaxies. Special attention is given to their formation and evolutionary processes in the framework of hierarchical structure formation and ΛCDM cosmology, including the role of environmental mechanisms and stellar feedback. Star formation histories are explored based on observations and simulations, highlighting both bursty and extended activity across different dwarf types. We further examine the crucial role of dark matter in shaping the dynamics and structure of dwarf galaxies, as well as the core–cusp and missing satellites problems. Finally, we summarize insights from numerical simulations and theoretical models, which provide a bridge between observations and cosmological predictions. This synthesis demonstrates that dwarf galaxies remain essential laboratories for testing galaxy formation theories and probing the nature of dark matter. Full article
Show Figures

Figure 1

19 pages, 274 KB  
Article
Stark Broadening of O I Spectral Lines
by Milan S. Dimitrijević and Sylvie Sahal-Bréchot
Galaxies 2025, 13(5), 116; https://doi.org/10.3390/galaxies13050116 - 15 Oct 2025
Viewed by 899
Abstract
We do not know a priori chemical composition of a star. However, with more high resolution spectra becoming more abundant thanks to the development of space-born observations, atomic data including Stark broadening parameters for various spectral lines for elements in various ionisation stages [...] Read more.
We do not know a priori chemical composition of a star. However, with more high resolution spectra becoming more abundant thanks to the development of space-born observations, atomic data including Stark broadening parameters for various spectral lines for elements in various ionisation stages are becoming more feasible. Particularly are important spectral lines of C-N-O peak in the distribution of abundances of chemical elements. For the calculation of Stark broadening parameters, spectral line full widths at half intensity maximum (FWHM) and shifts, we used semiclassical perturbation method. As the result, Stark widths and shifts for 36 spectral lines of neutral oxygen, broadened by the collisions with electrons, protons and helium ions, have been obtained and compared with other theoretical calculations. These data are of interest for a number of problems in astrophysics, plasma physics, as well as for inertial fusion and various plasmas in technology. Full article
(This article belongs to the Special Issue Stellar Spectroscopy, Molecular Astronomy and Atomic Astronomy)
21 pages, 2190 KB  
Article
Evolution of Size, Mass, and Density of Galaxies Since Cosmic Dawn
by Rajendra P. Gupta
Galaxies 2025, 13(5), 115; https://doi.org/10.3390/galaxies13050115 - 10 Oct 2025
Viewed by 2067
Abstract
The formation and evolution of galaxies and other astrophysical objects have become of great interest, especially since the launch of the James Webb Space Telescope in 2021. The mass, size, and density of objects in the early universe appear to be drastically different [...] Read more.
The formation and evolution of galaxies and other astrophysical objects have become of great interest, especially since the launch of the James Webb Space Telescope in 2021. The mass, size, and density of objects in the early universe appear to be drastically different from those predicted by the standard cosmology—the ΛCDM model. This work shows that the mass–size–density evolution is not surprising when we use the CCC+TL cosmology, which is based on the concepts of covarying coupling constants in an expanding universe and the tired light effect contributing to the observed redshift. This model is consistent with supernovae Pantheon+ data, the angular size of the cosmic dawn galaxies, BAO, CMB sound horizon, galaxy formation time scales, time dilation, galaxy rotation curves, etc., and does not have the coincidence problem. The effective radii re of the objects are larger in the new model by re1+z0.93. Thus, the object size evolution in different studies, estimated as re1+zs with s=1.0 ± 0.3, is modified to re1+zs+0.93, the dynamical mass by 1+z0.93, and number density by 1+z2.80. The luminosity modification increases slowly with z to 1.8 at z=20. Thus, the stellar mass increase is modest, and the luminosity and stellar density decrease are mainly due to the larger object size in the new model. Since the aging of the universe is stretched in the new model, its temporal evolution is much slower (e.g., at z=10, the age is about a dex longer); stars, black holes, and galaxies do not have to form at unrealistic rates. Full article
Show Figures

Figure 1

44 pages, 3213 KB  
Systematic Review
A Systematic Literature Review of Machine Learning Techniques for Observational Constraints in Cosmology
by Luis Rojas, Sebastián Espinoza, Esteban González, Carlos Maldonado and Fei Luo
Galaxies 2025, 13(5), 114; https://doi.org/10.3390/galaxies13050114 - 9 Oct 2025
Viewed by 2113
Abstract
This paper presents a systematic literature review focusing on the application of machine learning techniques for deriving observational constraints in cosmology. The goal is to evaluate and synthesize existing research to identify effective methodologies, highlight gaps, and propose future research directions. Our review [...] Read more.
This paper presents a systematic literature review focusing on the application of machine learning techniques for deriving observational constraints in cosmology. The goal is to evaluate and synthesize existing research to identify effective methodologies, highlight gaps, and propose future research directions. Our review identifies several key findings: (1) Various machine learning techniques, including Bayesian neural networks, Gaussian processes, and deep learning models, have been applied to cosmological data analysis, improving parameter estimation and handling large datasets. However, models achieving significant computational speedups often exhibit worse confidence regions compared to traditional methods, emphasizing the need for future research to enhance both efficiency and measurement precision. (2) Traditional cosmological methods, such as those using Type Ia Supernovae, baryon acoustic oscillations, and cosmic microwave background data, remain fundamental, but most studies focus narrowly on specific datasets. We recommend broader dataset usage to fully validate alternative cosmological models. (3) The reviewed studies mainly address the H0 tension, leaving other cosmological challenges—such as the cosmological constant problem, warm dark matter, phantom dark energy, and others—unexplored. (4) Hybrid methodologies combining machine learning with Markov chain Monte Carlo offer promising results, particularly when machine learning techniques are used to solve differential equations, such as Einstein Boltzmann solvers, prior to Markov chain Monte Carlo models, accelerating computations while maintaining precision. (5) There is a significant need for standardized evaluation criteria and methodologies, as variability in training processes and experimental setups complicates result comparability and reproducibility. (6) Our findings confirm that deep learning models outperform traditional machine learning methods for complex, high-dimensional datasets, underscoring the importance of clear guidelines to determine when the added complexity of learning models is warranted. Full article
Show Figures

Figure 1

7 pages, 477 KB  
Communication
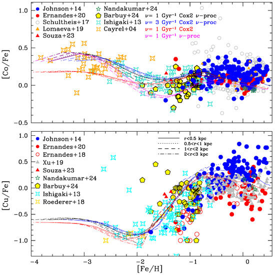
Nucleosynthesis of Cobalt and Copper
by Beatriz Barbuy, Amâncio C. S. Friaça and Heitor Ernandes
Galaxies 2025, 13(5), 113; https://doi.org/10.3390/galaxies13050113 - 22 Sep 2025
Viewed by 1146
Abstract
Chemical abundances of cobalt (Co; Z = 27) and copper (Cu; Z = 29) in bulge and halo stars are presented and compared with chemical evolution models. The aim is to distinguish if Co and Cu are dominantly produced by neutron-capture or the [...] Read more.
Chemical abundances of cobalt (Co; Z = 27) and copper (Cu; Z = 29) in bulge and halo stars are presented and compared with chemical evolution models. The aim is to distinguish if Co and Cu are dominantly produced by neutron-capture or the alpha-rich freeze-out processes. Neutron-capture can be identified by a secondary behaviour in the [X/Fe] vs. [Fe/H] plot, and alpha-rich freeze-out would give rather a primary behaviour. Full article
(This article belongs to the Special Issue Neutron Capture Processes in the Universe)
Show Figures

Figure 1

34 pages, 4140 KB  
Review
GW170817: A Short Review of the First Multimessenger Event in Gravitational Astronomy
by Rosa Poggiani
Galaxies 2025, 13(5), 112; https://doi.org/10.3390/galaxies13050112 - 19 Sep 2025
Cited by 1 | Viewed by 6570
Abstract
The first detection of gravitational waves from the binary black merger GW150914 started the era of gravitational astronomy. The observation of the binary neutron star merger GW170817 and of its associated electromagnetic counterpart GRB 170817A started multi-messenger gravitational astronomy. This short review discusses [...] Read more.
The first detection of gravitational waves from the binary black merger GW150914 started the era of gravitational astronomy. The observation of the binary neutron star merger GW170817 and of its associated electromagnetic counterpart GRB 170817A started multi-messenger gravitational astronomy. This short review discusses the discovery of GW170817 and the follow-up of the electromagnetic counterpart, together with the broad range of results in astrophysics and fundamental physics, including the Gamma-Ray Burst field. The GW170817/GRB 170817A observation showed that binary neutron star mergers can explain at least a fraction of short Gamma-Ray Bursts. The optical and infrared evolution of the associated AT 2017gfo transient showed that binary neutron star mergers are sites of r-process nucleo-synthesis. The combination of gravitational and electromagnetic observations has been used to estimate the Hubble parameter, the speed of gravitational waves, and the equation of state of nuclear matter. The increasing sensitivity of interferometric detectors and the forthcoming operation of third generation detectors will lead to an improved statistics of binary neutron star mergers. Full article
Show Figures

Figure 1

41 pages, 12018 KB  
Review
Timing Analysis of Black Hole X-Ray Binaries with Insight-HXMT
by Haifan Zhu and Wei Wang
Galaxies 2025, 13(5), 111; https://doi.org/10.3390/galaxies13050111 - 19 Sep 2025
Viewed by 1793
Abstract
The Hard X-ray Modulation Telescope (HXMT), China’s first X-ray astronomy satellite, has significantly contributed to the study of fast variability in black hole X-ray binaries through its broad energy coverage (1–250 keV), high timing resolution, and sensitivity to hard X-rays. This review presents [...] Read more.
The Hard X-ray Modulation Telescope (HXMT), China’s first X-ray astronomy satellite, has significantly contributed to the study of fast variability in black hole X-ray binaries through its broad energy coverage (1–250 keV), high timing resolution, and sensitivity to hard X-rays. This review presents a comprehensive overview of timing analysis techniques applied to black hole X-ray binaries using Insight-HXMT data. We introduce the application and comparative strengths of several time-frequency analysis methods, including traditional Fourier analysis, wavelet transform, bicoherence analysis, and Hilbert-Huang transform. These methods offer complementary insights into the non-stationary and nonlinear variability patterns observed in black hole X-ray binaries, particularly during spectral state transitions and quasi-periodic oscillations. We discuss how each technique has been employed in recent Insight-HXMT studies to characterize timing features such as low-frequency QPOs, phase lags, and power spectrum evolution across different energy bands. Moreover, we present novel phenomena revealed by Insight-HXMT observations, including the detection of high-energy QPOs, spectral parameter modulation with QPO phase, and a new classification scheme for QPO types. The integration of multiple analysis methods enables a more nuanced understanding of the accretion dynamics and the geometry of the inner accretion flow, shedding light on fundamental physical processes in relativistic environments. Full article
Show Figures

Figure 1

27 pages, 1734 KB  
Article
Comparative Photometry of the Quiet Quasar PDS 456 and the Radio-Loud Blazar 3C 273
by Alberto Silva Betzler, Ingrid dos Santos Delfino, Agábio Brasil dos Santos, Roberto Mendes Dias and Orahcio Felicio de Sousa
Galaxies 2025, 13(5), 110; https://doi.org/10.3390/galaxies13050110 - 15 Sep 2025
Viewed by 1157
Abstract
A comparative analysis of the photometric variability of the blazar 3C 273 and the quasar PDS 456 using multi-band data from ground- and space-based platforms (2015–2025) reveals contrasting behaviors. For 3C 273, a statistically significant secular dimming was detected in the ATLASc [...] Read more.
A comparative analysis of the photometric variability of the blazar 3C 273 and the quasar PDS 456 using multi-band data from ground- and space-based platforms (2015–2025) reveals contrasting behaviors. For 3C 273, a statistically significant secular dimming was detected in the ATLASc-band light curve (5.6±0.2)×104magday1 and confirmed by Johnson–Cousins V-band photometry. Ten optical flares were identified, two coinciding with Fermi gamma-ray enhancements, suggesting a synchrotron origin linked to jet activity. A significant bluer-when-brighter trend (ρ=0.54) was found relative to the o-band, and several color extrema align with gamma-ray activity, reinforcing the nonthermal interpretation. In contrast, PDS 456 exhibits a statistically significant secular brightening in the o-band (3.1±0.2)×105magday1 and 75 optical flares, four coinciding with UV flares observed by Swift/UVOT. The co color index displays a non-Gaussian distribution with asymmetric reddening and blueing episodes. An extreme reddening event aligns with a strong UV flare, suggesting transient inner-disk heating. These results indicate jet-dominated variability in 3C 273 and disk-driven variability in PDS 456, highlighting distinct physical mechanisms in radio-loud versus radio-quiet active galactic nuclei. Full article
Show Figures

Figure 1

17 pages, 1635 KB  
Review
Optical and X-Ray Variability of Gamma Cas Analogs
by Alexander Kholtygin
Galaxies 2025, 13(5), 109; https://doi.org/10.3390/galaxies13050109 - 15 Sep 2025
Viewed by 1263
Abstract
γ Cas analogs is an enigmatic group of Be stars with unusually hard X-rays and an X-ray luminosity of 10311033erg s1, which is higher than a typical value for classical Be stars. The evolutionary status [...] Read more.
γ Cas analogs is an enigmatic group of Be stars with unusually hard X-rays and an X-ray luminosity of 10311033erg s1, which is higher than a typical value for classical Be stars. The evolutionary status of these mysterious objects and the nature of their X-ray emission remains disputable. I suppose that our understanding of this mystery is in the detailed studies of their optical and X-ray variability on the various time scales from very short to very long. In the present paper the optical and X-ray spectral and photometric observations of these stars are reviewed. The contemporary assumptions on the mechanisms of X-ray radiation generation of γ Cas analogs are discussed. It is concluded that the analysis of the binarity of γ Cas analog helps to understand their inexplicable nature. Full article
(This article belongs to the Special Issue Circumstellar Matter in Hot Star Systems)
Show Figures

Figure 1

17 pages, 2665 KB  
Article
Testing CCC+TL Cosmology with Galaxy Rotation Curves
by Rajendra P. Gupta
Galaxies 2025, 13(5), 108; https://doi.org/10.3390/galaxies13050108 - 12 Sep 2025
Cited by 3 | Viewed by 12890
Abstract
This paper aims to explore whether astrophysical observations, primarily galaxy rotation curves, result from covarying coupling constants (CCC) rather than from dark matter. We have shown in earlier papers that cosmological observations, such as supernovae type 1a (Pantheon+), the small size of galaxies [...] Read more.
This paper aims to explore whether astrophysical observations, primarily galaxy rotation curves, result from covarying coupling constants (CCC) rather than from dark matter. We have shown in earlier papers that cosmological observations, such as supernovae type 1a (Pantheon+), the small size of galaxies at cosmic dawn, baryon acoustic oscillations (BAO), the sound horizon in the cosmic microwave background (CMB), and time dilation effect, can be easily accounted for without requiring dark energy and dark matter when coupling constants are permitted to evolve in an expanding Universe, as predicted by Dirac, and the redshift is considered jointly due to the Universe’s expansion and Zwicky’s tired light (TL) effect. Here, we show that the CCC parameter α is responsible for generating the illusion of dark matter and dark energy, which we call α-matter and α-energy, and is influenced by the baryonic matter density distribution. While cosmologically α is a constant determined for the homogenous and isotropic Universe, e.g., by fitting Pantheon+ data, it can vary locally due to the extreme anisotropy of the matter distribution. Thus, in high baryonic density regions, one expects α-matter and α-energy densities to be relatively low and vice versa. We present its application to a few galaxy rotation curves from the SPARC database and find the results promising. Full article
(This article belongs to the Special Issue Alternative Interpretations of Observed Galactic Behaviors)
Show Figures

Figure 1

14 pages, 247 KB  
Article
The Murchison Widefield Array Enters Adolescence: A Personal Review of the Early Years of Operations
by Steven J. Tingay
Galaxies 2025, 13(5), 107; https://doi.org/10.3390/galaxies13050107 - 11 Sep 2025
Cited by 1 | Viewed by 1147
Abstract
The Murchison Widefield Array (MWA) is a low frequency radio interferometer designed and developed by an international consortium, operated on behalf of the consortium by Curtin University. The MWA is a Precursor for the low frequency Square Kilometre Array (SKA) and is located [...] Read more.
The Murchison Widefield Array (MWA) is a low frequency radio interferometer designed and developed by an international consortium, operated on behalf of the consortium by Curtin University. The MWA is a Precursor for the low frequency Square Kilometre Array (SKA) and is located at the SKA site in Western Australia, Inyarrimanha Ilgari Bundara, the CSIRO Murchison Radio-astronomy Observatory. Commencing science operations in 2013 after an extended development period, the MWA has performed observations over a wide set of science objectives, has been upgraded multiple times, and has played a fundamental role in the development of the low frequency SKA. As MWA Program Manager from 2008 to 2011, as Director from 2011 until 2015, and then again from 2021 to the present, I describe some personal reflections on the MWA’s activities and successes in these different dimensions, as well as my view of some of the approaches that have enabled these successes. I offer some of the lessons I’ve perceived over the last 17+ years in the project. Full article
(This article belongs to the Special Issue Recent Advances in Radio Astronomy)
28 pages, 1155 KB  
Article
Dynamics of Compact Stellar Solutions Admitting Anisotropic Fluid: A Comparative Analysis of GR and Non-Conserved Rastall Gravity
by Tayyab Naseer, Muhammad Sharif, Fatima Chand, Baiju Dayanandan and Ali Elrashidi
Galaxies 2025, 13(5), 106; https://doi.org/10.3390/galaxies13050106 - 9 Sep 2025
Viewed by 860
Abstract
This study proposes a couple of analytical solutions that characterize the anisotropic dense celestial bodies within the Rastall-Rainbow theoretical framework. The analysis assumes a static spherically symmetric matter distribution and derives the corresponding modified field equations. By utilizing well-established radial metric functions and [...] Read more.
This study proposes a couple of analytical solutions that characterize the anisotropic dense celestial bodies within the Rastall-Rainbow theoretical framework. The analysis assumes a static spherically symmetric matter distribution and derives the corresponding modified field equations. By utilizing well-established radial metric functions and merging them with the two principal pressures, we obtain differential equations related to the time component. Subsequently, we perform the integration of these equations to determine the remaining geometric quantity that encompasses various integration constants. The proposed interior solutions are then matched with the Schwarzschild exterior metric at the boundary of the compact object, facilitating the determination of the constants. Additionally, the incorporation of the non-minimal coupling parameter into these constants is accomplished by enforcing the null radial pressure at the boundary. Afterwards, we rigorously examine the physical characteristics and critical stability conditions of the formulated models under observational data from two pulsars, say 4U 1820-30 and LMC X-4. It is concluded that our models are well-aligned with essential criteria required to ensure the physical viability of stellar structures, subject to specific parametric values. Full article
Show Figures

Figure 1

8 pages, 349 KB  
Article
Photometric Monitoring of the First Eclipsing Binary Be Star: V658 Car
by Tajan H. de Amorim, Alex C. Carciofi, Alexandre Zanardo, Carlos Colesanti, Cristóvão Jacques, Denis Kulh, João Antonio Mattei, Marcelo Domingues, Marco Rocca, Sérgio Silva, Tasso Napoleão and Jonathan Labadie-Bartz
Galaxies 2025, 13(5), 105; https://doi.org/10.3390/galaxies13050105 - 8 Sep 2025
Cited by 1 | Viewed by 1023
Abstract
V658 Car is the first known eclipsing binary system involving a classical Be star and an sdOB companion, offering a unique opportunity to study disk physics and binary interactions in unprecedented detail. From TESS data and multi-color observations from the comissão para a [...] Read more.
V658 Car is the first known eclipsing binary system involving a classical Be star and an sdOB companion, offering a unique opportunity to study disk physics and binary interactions in unprecedented detail. From TESS data and multi-color observations from the comissão para a colaboração entre profissionais e amadores collaboration, we analyze the system’s color–magnitude diagram and compare it with radiative transfer models that include the Be star, its circumstellar disk, and the sdOB companion. While the stellar eclipses are well reproduced, two features observed in the multi-color photometry challenge the current modeling paradigm: the discrepancy between the observed reddening and the modeled blueing during the first attenuation phase and the complete lack of modeled attenuation around the second stellar eclipse. These issues highlight the need for more sophisticated modeling approaches to capture the complex interplay between disk opacity and binary dynamics. Full article
(This article belongs to the Special Issue Circumstellar Matter in Hot Star Systems)
Show Figures

Figure 1

7 pages, 232 KB  
Article
One-Dimensional Analytical Solutions of the Transport Equations for Incompressible Magnetohydrodynamic (MHD) Turbulence
by Bingbing Wang, Gary P. Zank, Laxman Adhikari and Swati Sharma
Galaxies 2025, 13(5), 104; https://doi.org/10.3390/galaxies13050104 - 3 Sep 2025
Viewed by 849
Abstract
We derive one-dimensional (1D) analytical solutions for the transport equations of incompressible magnetohydrodynamic (MHD) turbulence, including the Elsässer energies and the correlation lengths. The solutions are suitable for an arbitrary given background convection speed and Alfvén speed profiles but require near equipartition of [...] Read more.
We derive one-dimensional (1D) analytical solutions for the transport equations of incompressible magnetohydrodynamic (MHD) turbulence, including the Elsässer energies and the correlation lengths. The solutions are suitable for an arbitrary given background convection speed and Alfvén speed profiles but require near equipartition of turbulent kinetic energy and magnetic field energy. These analytical solutions provide a simple tool to investigate the evolution of turbulence and resulting energetic particle diffusion coefficients in various space and astrophysical environments that possess simple geometry. Full article
Show Figures

Figure 1

65 pages, 19950 KB  
Review
A Review of Lunar Environment and In-Situ Resource Utilization for Achieving Long-Term Lunar Habitation
by Chang Wang, Guoqing Zhang, Yaohui Wang and Lei Song
Galaxies 2025, 13(5), 103; https://doi.org/10.3390/galaxies13050103 - 3 Sep 2025
Cited by 3 | Viewed by 7620
Abstract
The Moon’s unique environment, strategic position, and resource abundance make it a key target for deep space exploration. As lunar missions evolve from research to long-term habitation, leveraging local resources is essential to reduce dependence on Earth-based supply chains. Despite significant studies on [...] Read more.
The Moon’s unique environment, strategic position, and resource abundance make it a key target for deep space exploration. As lunar missions evolve from research to long-term habitation, leveraging local resources is essential to reduce dependence on Earth-based supply chains. Despite significant studies on the lunar environment and in-situ resource utilization (ISRU), a unified framework that integrates these findings remains lacking. This article addresses this gap by systematically reviewing and synthesizing current research to support sustainable lunar development. It first explores the use of extreme lunar environmental factors such as thermal gradients, weak magnetic fields, subsurface cavities, and geographic advantages. It then examines lunar water and mineral resource development, highlighting methods for detection, extraction, purification, and storage, alongside strategies for utilizing various minerals. The article further reviews recent progress in in-situ manufacturing, construction technologies, energy regeneration, and closed-loop life-support systems vital for lunar base establishment. These advances are crucial for creating sustainable infrastructure and maintaining life on the Moon. Finally, the paper outlines the challenges and limitations associated with ISRU and offers perspectives on future directions, aiming to inform the design of next-generation lunar missions and facilitate permanent human presence on the Moon. Full article
Show Figures

Figure 1

46 pages, 3727 KB  
Review
Jet Feedback on kpc Scales: A Review
by Dipanjan Mukherjee
Galaxies 2025, 13(5), 102; https://doi.org/10.3390/galaxies13050102 - 2 Sep 2025
Cited by 1 | Viewed by 2965
Abstract
Relativistic jets from AGN are an important driver of feedback in galaxies. They interact with their environments over a wide range of physical scales during their lifetime, and an understanding of these interactions is crucial for unraveling the role of supermassive black holes [...] Read more.
Relativistic jets from AGN are an important driver of feedback in galaxies. They interact with their environments over a wide range of physical scales during their lifetime, and an understanding of these interactions is crucial for unraveling the role of supermassive black holes in shaping galaxy evolution. The impact of such jets has been traditionally considered in the context of heating large-scale environments. However, in the last few decades, there has been additional focus on the immediate impact of jet feedback on the host galaxy itself. In this review, we outline the development of various numerical simulations from the onset of research on jets to the present day, where sophisticated numerical techniques have been employed to study jet feedback, including a range of physical processes. The jets can act as important agents of energy injection into a host’s ISM, as confirmed in both observations of multi-phase gas as well as in simulations. Such interactions have the potential to impact the kinematics of the gas as well as star formation. We summarize recent results from simulations of jet feedback on kpc scales and outline the broader implications for observations and galaxy evolution. Full article
Show Figures

Figure 1

17 pages, 3444 KB  
Article
Determination of Orbital Parameters of Binary Star Systems Using the MCMC Method
by Nadezhda L. Vaidman, Shakhida T. Nurmakhametova, Anatoly S. Miroshnichenko, Serik A. Khokhlov, Aldiyar T. Agishev, Azamat A. Khokhlov, Yeskendyr K. Ashimov and Berik S. Yermekbayev
Galaxies 2025, 13(5), 101; https://doi.org/10.3390/galaxies13050101 - 2 Sep 2025
Cited by 2 | Viewed by 1836
Abstract
We present new spectroscopic orbits for the bright binaries Mizar B, 3 Pup, ν Gem, 2 Lac, and ϕ Aql. Our analysis is based on medium-resolution (R 12,000) échelle spectra obtained with the 0.81-m telescope and fiber-fed eShel spectrograph of the [...] Read more.
We present new spectroscopic orbits for the bright binaries Mizar B, 3 Pup, ν Gem, 2 Lac, and ϕ Aql. Our analysis is based on medium-resolution (R 12,000) échelle spectra obtained with the 0.81-m telescope and fiber-fed eShel spectrograph of the Three College Observatory (Greensboro, NC, USA) between 2015 and 2024. Orbital elements were inferred with an affine-invariant Markov-chain Monte-Carlo sampler; convergence was verified through the integrated autocorrelation time and the Gelman–Rubin statistic. Errors quote the 16th–84th-percentile credible intervals. Compared with previously published orbital solutions for the studied stars, our method improves the root-mean-square residuals by 25–50% and bring the 1σ uncertainties on the radial velocity (RV) semi-amplitudes down to 0.02–0.15 km s1. These gains translate into markedly tighter mass functions and systemic RVs, providing a robust dynamical baseline for future interferometric and photometric studies. A complete Python analysis pipeline is openly available in a GitHub repository, ensuring full reproducibility. The results demonstrate that a Bayesian RV analysis with well-motivated priors and rigorous convergence checks yields orbital parameters that are both more precise and more reproducible than previous determinations, while offering fully transparent uncertainty budgets. Full article
Show Figures

Figure 1

11 pages, 260 KB  
Article
Energy of Photons in Expanding Spacetime: Comparing FLRW and Conformal Cosmology Metrics
by Václav Vavryčuk
Galaxies 2025, 13(5), 100; https://doi.org/10.3390/galaxies13050100 - 2 Sep 2025
Viewed by 1733
Abstract
We investigate the behaviour of photons in Riemann spacetime, focusing on how their velocity and energy are affected by cosmic expansion. Specifically, we examine the differences in energy conservation depending on the cosmological model. Our findings indicate that photons exhibit fundamentally different behaviour [...] Read more.
We investigate the behaviour of photons in Riemann spacetime, focusing on how their velocity and energy are affected by cosmic expansion. Specifically, we examine the differences in energy conservation depending on the cosmological model. Our findings indicate that photons exhibit fundamentally different behaviour based on the chosen metric. In the standard ΛCDM model, which relies on the Friedmann–Lemaître–Robertson–Walker (FLRW) metric, the energy conservation law for redshifted photons is violated. However, in a cosmological model based on the conformal cosmology (CC) metric, this law remains valid. The CC metric offers additional advantages, as it accurately reproduces the cosmological redshift, cosmic time dilation observed in Type Ia supernova light curves, and flat galaxy rotation curves without requiring the introduction of dark matter. These findings underscore the potential significance of the CC metric in cosmological applications. Full article
30 pages, 18915 KB  
Review
The Astronomical Hub: A Unified Ecosystem for Modern Astronomical Research
by Yerlan Aimuratov, Vitaliy Kim, Aleksander Serebryanskiy, Denis Yurin, Maxim Krugov, Chingiz Akniyazov, Saule Shomshekova, Maxim Makukov, Gaukhar Aimanova, Rashit Valiullin, Raushan Kokumbaeva, Alan Kazkenov and Chingis Omarov
Galaxies 2025, 13(5), 99; https://doi.org/10.3390/galaxies13050099 - 1 Sep 2025
Viewed by 2077
Abstract
We present the conceptual framework of the Astronomical Hub (AstroHub), a unified platform combining various optical instruments at a single observatory. Its major approach lies in arranging conditions for research groups to install telescopes and equipment and participate in joint projects. AstroHub is [...] Read more.
We present the conceptual framework of the Astronomical Hub (AstroHub), a unified platform combining various optical instruments at a single observatory. Its major approach lies in arranging conditions for research groups to install telescopes and equipment and participate in joint projects. AstroHub is planned to integrate Virtual Observatory (VO) tools, FAIR data principles, and a telescope network to create a powerful and attractive ecosystem for both robust near-Earth object (NEO) monitoring and diverse deep space research. We provide an overview of the AstroHub development directions in the case study of the Assy-Turgen Observatory. Full article
(This article belongs to the Special Issue Circumstellar Matter in Hot Star Systems)
Show Figures

Figure 1

18 pages, 30275 KB  
Article
RAD@home Citizen Science Discovery of Two Spiral Galaxies Where the 30–220 kpc Radio Lobes Are Possibly Shaped by Ram Pressure Stripping
by Prakash Apoorva, Ananda Hota, Pratik Dabhade, P. K. Navaneeth, Dhruv Nayak and Arundhati Purohit
Galaxies 2025, 13(5), 98; https://doi.org/10.3390/galaxies13050098 - 22 Aug 2025
Cited by 1 | Viewed by 1660
Abstract
We report the RAD@home citizen science discovery of two rare spiral-host radio galaxies (NGC 3898 and WISEA J221656.57-132042434.1 or RAD-“Thumbs up” galaxy), both exhibiting asymmetric radio lobes extending over 30 to 220 kiloparsec scales. We present a multi-wavelength image analysis of these two [...] Read more.
We report the RAD@home citizen science discovery of two rare spiral-host radio galaxies (NGC 3898 and WISEA J221656.57-132042434.1 or RAD-“Thumbs up” galaxy), both exhibiting asymmetric radio lobes extending over 30 to 220 kiloparsec scales. We present a multi-wavelength image analysis of these two sources using radio, optical, and ultraviolet data. Both host galaxies are young, star-forming systems with asymmetric or distorted stellar disks. These disks show similarities to those in galaxies undergoing ram pressure stripping, and the radio morphologies resemble those of asymmetric or bent FR-II and wide-angle-tailed radio galaxies. We suggest that non-uniform gas density in the environment surrounding the ram pressure-stripped disks may contribute to the observed asymmetry in the size, shape, and brightness of bipolar radio lobes. Such environmental effects, when properly accounted for, could help explain many of the non-standard radio morphologies observed in Seyfert galaxies and in recently identified populations of galaxies with galaxy-scale radio jets, which are now being revealed through deep and sensitive radio surveys with uGMRT, MeerKAT, LOFAR, and, in the future, SKAO. These findings also underscore the potential of citizen science to complement professional research and data-driven approaches involving machine learning and artificial intelligence in the analysis of complex radio sources. Full article
(This article belongs to the Special Issue Recent Advances in Radio Astronomy)
Show Figures

Figure 1

Previous Issue
Next Issue
Back to TopTop