Abstract
The Moon’s unique environment, strategic position, and resource abundance make it a key target for deep space exploration. As lunar missions evolve from research to long-term habitation, leveraging local resources is essential to reduce dependence on Earth-based supply chains. Despite significant studies on the lunar environment and in-situ resource utilization (ISRU), a unified framework that integrates these findings remains lacking. This article addresses this gap by systematically reviewing and synthesizing current research to support sustainable lunar development. It first explores the use of extreme lunar environmental factors such as thermal gradients, weak magnetic fields, subsurface cavities, and geographic advantages. It then examines lunar water and mineral resource development, highlighting methods for detection, extraction, purification, and storage, alongside strategies for utilizing various minerals. The article further reviews recent progress in in-situ manufacturing, construction technologies, energy regeneration, and closed-loop life-support systems vital for lunar base establishment. These advances are crucial for creating sustainable infrastructure and maintaining life on the Moon. Finally, the paper outlines the challenges and limitations associated with ISRU and offers perspectives on future directions, aiming to inform the design of next-generation lunar missions and facilitate permanent human presence on the Moon.
1. Introduction
The Moon, as Earth’s only natural satellite, possesses a unique spatial environment, strategic position, and abundant natural resources, playing a pivotal role in human deep space exploration. Its distinctive environment, strategic location, and rich natural resources are crucial for humanity’s venture into deep space. Thus, it stands as the primary target for human deep space exploration and an ideal destination for establishing permanent scientific stations.
Based on the data obtained from over 100 lunar exploration spacecraft launched by humans, our understanding of the Moon has been greatly enhanced. The Apollo program successfully conducted six manned lunar landings, collecting vast amounts of lunar samples and performing extensive scientific experiments. These missions greatly expanded our knowledge of the Lunar, revealing its geological features, mineral composition, and the processes of its formation and evolution [1]. In the realm of unmanned lunar exploration, the Soviet Union utilized the “Luna” and “Zond” series of lunar probes to conduct comprehensive mapping and historical exploration of the Lunar’s terrain, geological structure, lunar soil characteristics, and spatial environment [2]. Entering the 21st century, lunar exploration has reached a new peak, with various countries launching new lunar missions aimed at further unveiling the Lunar ‘s mysteries and preparing for future human deep space exploration. China’s “Chang’E” program has achieved remarkable success, with Chang’E-4 achieving the first soft landing on the far side of the Lunar, providing valuable data for scientific exploration. Subsequently, the first unmanned lunar sample return mission, Chang’E-5, successfully collected and returned samples, and Chang’E-6 conducted a landing on the lunar far side and returned with additional samples [3,4,5]. The subsequent mission, Chang’E-7, is set to comprehensively explore the Lunar ‘s topography, geomorphology, material composition, and space environment [6]. The United States, Europe, Japan, and India have also launched multiple lunar probes, such as the United States’ Lunar Reconnaissance Orbiter (LRO), Europe’s SMART-1, Japan’s SELENE, and India’s Chandrayaan-1. These probes have conducted detailed explorations of the Lunar ‘s topography, mineral composition, and polar water ice resources, significantly enhancing our understanding of the Moon [7]. Through the aforementioned exploration activities, lunar research has achieved a series of breakthroughs. Future lunar exploration will gradually shift its focus from understanding the Moon to utilizing it. The exploration model will transition from short-term missions to long-term habitation, progressively concentrating on resource-rich areas such as the lunar south pole. Ultimately, the goal is to establish a permanent human presence on the Moon.
The first part of the article introduces the harsh lunar environment and its unique value for scientific research. Initially, the study explores the utilization of extreme environmental factors on the Moon, including thermal gradient energy, magnetic fields, and the potential of subsurface spaces. The utilization of thermal energy involves harnessing the energy generated by the lunar surface’s day-night temperature differences for electricity supply, while magnetic fields could be used for radiation protection and other scientific applications. Subsurface spaces provide a stable environment that could be used for the construction of lunar bases and resource storage. The discussion then shifts to how these environmental conditions offer a unique platform for scientific experiments and new technology validation Recent studies indicate that, despite the lack of an atmosphere and weak gravity, the Moon’s geological structure is less stable than previously believed, with frequent moonquakes. This makes it both a valuable and challenging location for research in astronomy, physics, and biology. These studies have accumulated valuable data and experience for future deep space exploration missions, aiding in the feasibility and reliability testing of new technologies and further advancing humanity’s exploration of the universe.
The second part of the article emphasizes the strategic significance of the Lunar ‘s positional resources. The Moon’s unique geographical location makes it a vital relay station for supporting deep space exploration missions. Specifically, lunar bases can serve as forward operating bases for deep space probes, providing refueling and maintenance services that extend the mission duration and enhance the range and flexibility of space missions. Additionally, the Lunar ‘s location offers relay support for launch and return missions, increasing the overall flexibility of operations. The construction of lunar bases is not just central to lunar exploration but also a key support platform for future deep space missions, providing essential support for achieving longer-distance and extended-duration space exploration.
The third part of the article explores the extraction and utilization of lunar surface and subsurface resources. It begins with an overview of the history and current status of lunar water resource exploration, discussing the evolution of various detection technologies, including ice detection. It then introduces the development and utilization technologies for water resources, such as the mainstream methods for extracting, purifying, and storing ice, particularly in permanently shadowed regions. Additionally, it discusses the utilization of mineral resources, including processes for extracting oxygen and other minerals from lunar soil, such as vacuum thermal decomposition and electrolytic reduction. The development and application of these in-situ resource utilization technologies can provide essential raw materials and energy support for the daily operation of lunar bases and deep space exploration missions, ensuring the self-sufficiency of the base and reducing dependence on Earth-based supplies.
The final part of the article focuses on the latest advancements in lunar base construction, particularly in-situ manufacturing and construction technologies, energy regeneration systems, and the establishment of in-situ ecosystems. The in-situ manufacturing technologies for lunar bases, such as additive manufacturing (AM) and 3D printing, significantly reduce the need to transport construction materials from Earth, making it possible to source materials locally on the Moon. Moreover, the development of energy regeneration systems, such as solar-based energy regeneration and storage technologies, further supports the continuous operation of lunar bases. The establishment of in-situ ecosystems provides the critical living conditions necessary for long-term habitation, achieving waste processing, oxygen supply, and water recycling through closed-loop ecological systems. The overall framework is shown in Figure 1. These technological solutions not only offer the essential support for long-term lunar habitation but also lay the foundation for broader and more extensive deep space exploration missions in the future.
Figure 1.
The concept of lunar base construction based on environment and in-situ resource utilization.
2. The Lunar Environment Utilization
2.1. Extreme Lunar Conditions
The environmental conditions on the Moon are extremely harsh, with factors such as large temperature variations, microgravity, vacuum, and radiation presenting a series of challenges. However, these harsh conditions present unprecedented opportunities for humanity, prompting us to continuously seek innovative solutions to harness these challenges and advance lunar exploration.
Understanding the extreme environmental factors on the Moon is crucial for planning and executing lunar missions, as well as advancing planetary science and space exploration. The temperature range on the lunar surface is extremely wide, with daytime highs reaching up to 127 °C and nighttime lows dropping to −183 °C. This is due to the Lunar ‘s lack of an atmosphere, which prevents stable temperatures, and its low surface heat capacity and thermal conductivity, resulting in significant day-night temperature differences [8]. The vacuum environment on the Moon is due to the lack of an atmosphere, which is composed of a relatively small amount of gas surrounding the Moon, with an atmospheric mass of about 25,000 kg (compared to Earth’s atmospheric mass of approximately 5.1 × 1018 kg). Due to the absence of a significant atmosphere, the lunar surface is nearly a complete vacuum, with pressures typically ranging from 10−12 to 10−14 Pa. This extreme vacuum environment is silent, as sound cannot propagate, and lacks weather phenomena or atmospheric effects typical of dense planetary atmospheres. However, the Moon does possess a tenuous dusty plasmasphere that interacts with the solar wind and the Earth’s magnetotail, which can influence the near-surface environment [9].
Lunar gravity is about one-sixth of Earth’s, with the gravitational acceleration on the lunar surface approximately 1.625 m/s2, resulting in a microgravity environmen [10]. Lunar radiation refers to the exposure of the lunar surface to high-energy particles and electromagnetic waves from space, with the main sources of radiation being the solar wind and galactic cosmic rays [11]. According to measurements by The Lunar Lander Neutron and Dosimmetry (LND) aboard the Chang’E-4 probe, the radiation dose rate on the lunar surface is approximately 60 µSv per hour, which is 200 times higher than on Earth’s surface and 2.6 times higher than on the International Space Station [12]. This means that spending one day on the Moon results in a radiation dose equivalent to undergoing a full-body CT scan on Earth.
Despite the extremely harsh lunar environment, the Moon is also a favorable location for conducting certain specialized research and experiments due to its unique conditions not found on Earth, such as microgravity, low atmospheric pressure, and extreme temperature variations. These conditions offer scientists unique opportunities to explore issues that are challenging to investigate on Earth. The lunar environment is significantly different from Earth’s, which may produce unexpected effects on living organisms and materials. During the Apollo missions from 1969 to 1972, biological samples (such as bacteria, algae, and seeds) and material samples (such as plastics, rubber, and metals) were placed in specially designed containers on the lunar surface for exposure experiments lasting up to two and a half years. The results showed that lunar radiation had no significant effect on the biological samples but had notable effects on the material samples, causing changes in color, hardness, and strength [13]. In 2007, Japan’s SELENE probe carried a crystal growth experiment device, utilizing the microgravity environment in lunar orbit to conduct crystal growth experiments on ferroelectrics, semiconductors, and proteins. The results indicated that the low-gravity environment on the Moon reduced interference with crystal growth, resulting in purer, more uniform, and larger crystals [14].
Growing plants in the harsh lunar environment is crucial for the construction of lunar bases. Plant cultivation on the Moon contributes to establishing life support systems by providing oxygen and food, thereby reducing dependence on supplies from Earth. It also promotes resource recycling, such as water regeneration and waste management. Additionally, plant cultivation aids in studying ecosystems in extreme environments, providing a crucial experimental foundation for verifying life support systems and bioregenerative technologies in future deep space exploration missions. Eriksson designed a small equatorial lunar plant growth module based on a radiation heat balance theoretical model, proposing the possibility of plant growth on the Moon [15].
Based on this possibility, researchers have conducted various studies. Bowman et al. designed a sealed habitat with a volume of approximately 1 L for plant growth experiments on lunar landers, using internal cameras to capture images and LED lights for illumination. They observed seedling growth and changes in carbon dioxide levels, concluding that this design effectively supports basic plant growth research on the Moon [16]. Medina et al. used a life regeneration ecosystem carried by a probe to track the germination and development of Arabidopsis seedlings under lunar gravity, comparing the life trajectories on the Moon and Earth. They found that lunar gravity stimulates geotropic responses in roots and maintains polar transport of auxin [17], Xie et al. further speculated that this adaptation might be due to cellular and molecular responses to low lunar gravity [18].
In 2019, the micro-ecosystem carried by China’s Chang’E-4 lunar lander conducted biological experiments on the far side of the Moon to assess the effects of the lunar surface environment on artificial ecosystem functions. As shown in Figure 2a, the experimental procedures were designed to simulate plant growth under high radiation, low gravity, and prolonged illumination. Figure 2b–e present the exterior and interior configurations of the ecosystem equipment, including the interface, the sealed biological warehouse, and the plant seed storage compartments, which together formed a self-contained growth environment. Figure 2f records the temperature variation inside the plant growth containers, while Figure 2g shows the dynamics of atmospheric pressure and oxygen concentration during the experiment. The results indicated that plants were able to germinate and grow despite the extreme conditions, and the lunar seedlings demonstrated rapid adaptation to super-freezing temperatures under lunar gravity, providing preliminary verification for the feasibility of a bioregenerative life support system on the Moon [19].
Figure 2.
(a) Biological experiment procedures conducted by Chang’e-4 on the Moon, (b) Interface of the ecosystem equipment, (c) Exterior of the ecosystem equipment, (d) Interior of the ecosystem equipment, (e) Interior of the biological warehouse and the contained plant seeds, (f) Temperature dynamics inside the plant growth containers, (g) Dynamics of atmospheric pressure and oxygen [12,18,19].
The absence of atmospheric interference and artificial light pollution on the Moon, combined with its long rotational period, allows for continuous observation of the same area. Thus, the lunar environment is highly suitable for astronomical observations [20]. Jani and Loeb proposed a concept for a lunar gravitational wave observatory, utilizing feasible interferometry techniques. They found that a lunar-based observatory is feasible for detecting gravitational waves in the 10 Hz to 50 Hz frequency range, which is challenging to observe on Earth and with space-based detectors [21]. The first astronomical observations conducted from the lunar surface were obtained in 1972 using the Far Ultraviolet Camera/Spectrograph (Carruthers telescope) aboard the Apollo 16 mission [22]. Building upon this historical milestone, as shown in Figure 3a, the Chang’E-3 probe was equipped with an Extreme Ultraviolet Camera (EUVC) and a Moon-based Ultraviolet Telescope (MUVT) to investigate the Earth–Moon space environment. The EUVC’s optical path and operational configuration enabled targeted observations, with its data processing flow illustrated in Figure 3b. The processed results, exemplified in Figure 3c, include plasma images around the Earth at different times, revealing variations in the neutral atom environment and changes in the Earth’s magnetosphere and solar wind [23].
Figure 3.
(a) Actual image and optical path diagram of the EUVC carried by Chang’e-3, (b) EUVC data processing flow, (c) Plasma images around the Earth obtained by the EUVC at different times [23].
2.2. Thermal Gradient Energy
According to Apollo 17 measurements, as shown in Figure 4a, two heat flow probes were deployed to monitor subsurface thermal conditions. The recorded data in Figure 4b show that when the depth of lunar regolith exceeds approximately 0.9 m, the temperature remains nearly constant, creating a stable temperature difference between this constant-temperature layer and the surface during lunar day and night [24]. Through thermoelectric power technology, this temperature difference can be harnessed to generate electricity, providing energy for the construction of future lunar bases.
Figure 4.
(a) Diagram of the two probes from Apollo 17, (b) The variation trends of lunar heat flow with depth and time recorded by the two probes (The four probe points TG11/21A, TG11/21B, TG12/22A, and TG12/22B are color-coded purple, blue, red, and green, respectively) [24,25].
The principle of thermoelectric generation, as shown in Figure 5a, is based on the Seebeck effect, where a temperature difference between the hot and cold ends of p-type and n-type semiconductor elements drives carrier diffusion to generate an electric potential; these elements are connected to form a thermoelectric couple, and Figure 5b illustrates the corresponding power generation efficiency of common modules for reference [25].
Figure 5.
(a) Schematic diagram of thermoelectric generation, (b) Power generation efficiency of common thermoelectric modules.
Yuan et al. developed three types of thermoelectric power generation systems based on the Seebeck effect, which currently exhibit high power density [26]. Ren proposed using the lunar surface temperature difference for power generation. They established a thermoelectric coupling analysis model and simulated the lunar regolith heat transfer equation, finding that current thermoelectric power efficiency is low but can be improved by analyzing and modifying the thermal properties of lunar regolith and thermoelectric power transmission [27]. Xie and Li proposed using the diurnal temperature difference on the lunar surface and the characteristics of the constant temperature layer in lunar regolith and rock for thermoelectric power generation [28]. As shown in Figure 6a, during the lunar day, the upper heat sink serves as the hot end and the lower heat spreader, connected to the subsurface constant-temperature layer via two-stage heat pipes, acts as the cold end, converting part of the absorbed surface heat into electricity and conducting the rest to the regolith. As shown in Figure 6b, during the lunar night, heat from the subsurface is delivered to the upper heat spreader as the hot end, while the heat sink radiates excess heat to the surface as the cold end; in both cases, an array of heat pipes maximizes thermal transfer and maintains a large temperature difference to improve conversion efficiency.
Figure 6.
Principles of lunar-based thermovoltaic power generation (a) Operational principle during the daytime, (b) Operational principle during the nighttime [19,29].
2.3. Magnetic Field
The Moon lacks the north and south magnetic poles and the surrounding magnetic field lines found on Earth [30]. The Moon’s magnetic field is very weak, generally only a few nanoteslas (1 nT = 10−9 T), with a maximum strength exceeding 100 nT, far less than the Earth’s magnetic field of tens of thousands of nanoteslas [31]. The distribution is very uneven, primarily concentrated in highly magnetized regions. These regions are generally located in the antipodes of demagnetized impact basins and craters, meaning the opposite hemisphere of the basin [32].
The lunar magnetic field can serve as an indicator for lunar parameters and resource exploration. It was proposed in 1976 that the lunar magnetic field could be used to probe the Moon’s internal structure [33]. A method was later proposed to estimate the size of the lunar core using magnetic field data from the Kaguya and Lunar Prospector satellites, while addressing disturbances caused by mantle induction and external magnetic field variations [34]. The lunar magnetic field has also been used to determine the Moon’s electrical conductivity and temperature [35]. In 2021, it was proposed that magnetic anomalies or variations, as revealed by the magnetic response in Apollo samples—illustrated in Figure 7a,b with glass from Apollo sample 64455 and its metallic sphere schematic, and in Figure 7c,d with surface and internal measurements—could be used to infer geological structures and mineral distributions on or beneath the lunar surface, suggesting that the lunar magnetic field may have originated from internal thermal activity or impact events [36]. Additionally, the potential impact of Earth’s magnetotail and lunar magnetic anomaly fields on the formation process of dust plasma above the Moon has been investigated, with results indicating that charged dust can be transported over long distances on the lunar surface [37].
Figure 7.
(a) Glass from Apollo sample 64455, (b) Schematic diagram of the metallic spheres in the sample and the magnetic response of Apollo samples, (c) Magnetic response on the surface of the sample, (d) Magnetic response inside the sample [36].
2.4. Subsurface Space
The subsurface space of the Moon represents a critical resource, complementing the environmental resources available on its surface. Utilizing the subsurface space of the Moon is of great significance for establishing a human base on the Moon. On the Moon, except for a few steep impact craters and volcanic channels with exposed rock, the entire surface is covered by a layer of lunar regolith. This regolith is approximately 5 m thick in the lunar mare regions and about 10 m thick in the lunar highlands. Due to the low thermal conductivity of lunar regolith, a constant temperature layer exists below about 1 m depth, maintaining a temperature around 250 K (–20 °C) [38].
Researchers have proposed various hypotheses regarding the utilization of lunar subsurface space. It was proposed to establish a permanent underground outpost on the Moon to ensure long-term human activities, protect habitats from radiation hazards, and support future lunar subsurface exploration [39]. Another proposal suggested creating a permanent human settlement using large tunnel systems constructed by self-replicating, remotely controlled robots, providing enhanced safety and abundant resources [40]. The construction of underground tunnels has also been proposed to support current and future human activities, serving as human living areas that offer radiation shielding, micrometeoroid protection, atmospheric pressure maintenance, and survival means during cold lunar nights [41]. They further designed a Lunar Tunnel Boring Machine (LTBM) tailored to the lunar environment and materials to construct subsurface spaces. This machine can excavate the lunar surface and access lunar valleys (lava tubes), reducing the risk of rockfalls during exploration. It can also be used in permanently shadowed impact craters to excavate icy regolith [42]. It was proposed to use lunar lava tubes to construct a genetic vault for storing genetic samples of essential plants and crops, thereby safeguarding them from potential Earth-based disasters [43].
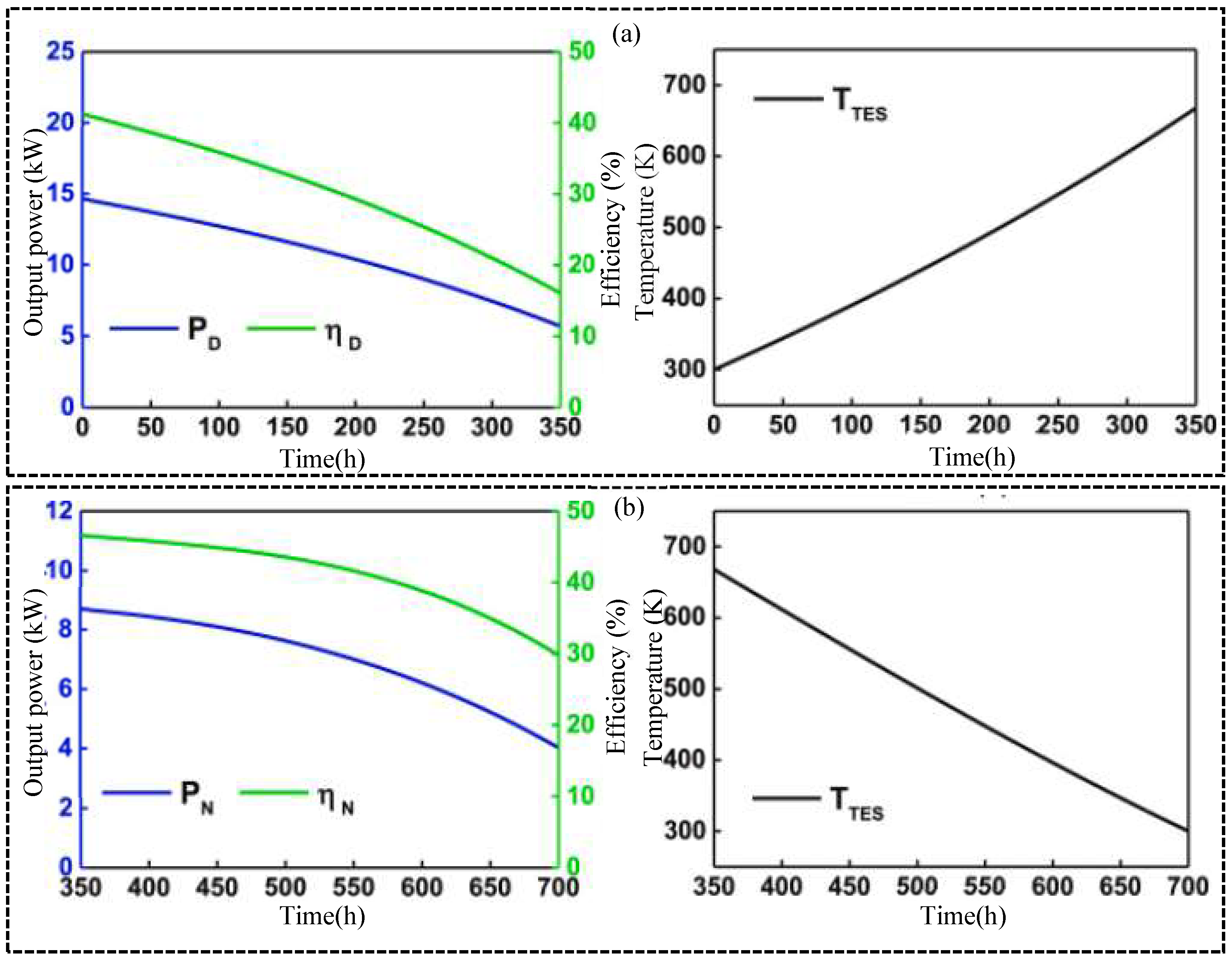
Integrating various hypotheses, the utilization of subsurface space is becoming systematic. It was proposed to develop a Lunar Underground Habitation System (LUHS) to provide a sustainable environment for lunar astronauts, address habitability challenges on the lunar surface, ensure safety during long lunar nights, and offer additional protection from surface radiation and micrometeoroid impacts [44]. It was also proposed to utilize the lunar constant-temperature layer—a subsurface zone where temperatures remain stable throughout the lunar day and night—to develop a lunar subsurface human base, underground transportation networks, storage facilities for lunar life forms, and in-situ thermal energy storage units, thereby enhancing habitability, operational safety, and energy efficiency for sustained lunar activities [29].
At present, research on the utilization of lunar subsurface spaces remains largely in the theoretical stage, with limited in-situ exploration and no practical engineering implementation. However, with the rapid advancement of technologies in lunar drilling, tunneling, thermal management, and autonomous robotic construction, along with a growing understanding of lunar geological structures and underground resources, the feasibility of developing and utilizing these subsurface spaces is steadily increasing. In the future, effective exploitation of lunar subsurface environments could provide critical solutions for establishing permanent human bases on the Moon, offering natural protection against radiation, micrometeoroid impacts, and extreme temperature fluctuations, while enabling stable energy storage and resource utilization. The application of lunar subsurface space would mark a significant milestone in human lunar exploration, delivering both technical and resource foundations for long-term lunar settlement and serving as a stepping stone for broader human presence and survival in deep space exploration.
3. The Lunar Positional Resources Utilization
The Moon takes approximately 27.322 days to orbit the Earth and about 27 days to rotate on its axis. From the perspective of an observer on Earth, it appears almost stationary, a phenomenon known as “synchronous rotation” [45]. The orbit and rotation are not perfectly matched. The Moon travels around the Earth in an elliptical orbit, which is a slightly elongated circle. When the Moon is closest to Earth, its rotational speed is slower than its journey through space, allowing observers to see an additional 8 degrees of its eastern side. Conversely, when the Moon is farthest from Earth, its rotational speed is faster, revealing an additional 8 degrees of its western side. Therefore, as the Moon travels along its orbit, it essentially keeps the same face towards the Earth. The side of the Moon that permanently faces Earth is called the near side, while the opposite side is known as the far side [46].
3.1. Near and Far Side Positions
Utilizing the Moon’s locational resources, reserchers have established various facilities on the far side of the Moon, taking advantage of its unique characteristics to accomplish challenging tasks. As early as the 1980s, space agencies around the world renewed their interest in building observatories on the Moon, with studies highlighting its unique advantages—such as the far side’s ability to shield Earth’s electromagnetic interference for ultra-long-wavelength radio astronomy—and the 1982 U.S. Astronomy Decadal Survey noting the Moon’s decisive advantage in radio astronomy and recommending the initiation of lunar observatory planning in the early 21st century [47].
In their 1994 study, Swanson and Cutts proposed a phased blueprint for constructing lunar astronomical facilities, beginning with the deployment of small autonomous optical telescopes (0.5–1 m apertures) via lunar landing missions for survey observations, followed—after the establishment of a lunar base—by the gradual construction of larger interferometric arrays, including a lunar-based optical interferometer of seven 1.5 m telescopes in a Y-shaped configuration with 1–2 km baselines, a millimeter/submillimeter interferometer of seven 5 m parabolic antennas with a ~1 km baseline, and, in parallel, an ultra-long-wavelength radio array operating below 30 MHz with about 100 distributed units covering baselines up to 200 km [48]. However, since plans for a crewed lunar base were not realized at the time, these large-array proposals were never actually implemented by the end of the 20th century.
Although the grand plans were constrained by technology and budget, several smaller-scale contemporary lunar astronomy experiments have already achieved breakthroughs. The Chang’e-4 mission carried the Low-Frequency Radio Spectrometer (LFRS) to perform the first in-situ low-frequency radio observations on the Moon’s far side, as shown in Figure 8a with its actual working environment photographed by the Chang’e-4 rover and in Figure 8b with a schematic of its three-antenna structure; ground tests showed a sensitivity of about 10−18 W m−2 Hz−1 after EMI mitigation, but significant platform interference has so far limited scientific output, with interference modeling under development to separate cosmic signals and achieve the payload’s objectives [49,50]. Due to its limited scale, the instrument’s observational capability is constrained; however, it still marks the first-ever radio astronomy observation conducted on the far side of the Moon, providing valuable experience for the future deployment of larger-scale radio arrays on the lunar far side. Afterwards, the Chang’e-5 mission carried the Lunar Mineralogical Spectrometer (LMS), shown in Figure 8c, to perform high-resolution spectral imaging (480–3200 nm) of the sampling area for mineralogical composition analysis and detection of –OH/H2O, using a 588-band fine mode and a 20-band multispectral mode, with in-flight calibration via a dustproof calibration unit to ensure accurate scientific data [51].
Figure 8.
(a) The actual working environment of the LFRS on the Moon. This photo was taken by the Chang’e-4 cruiser, (b) Schematic diagram of the three-antenna structure of the low-frequency radio spectrometer, (c) LMS (left) and its installation position in the CE-5 LAC (right) [49,50,51].
In recent years, NASA has funded a series of concept studies, including the lunar orbiter DAPPER, which will measure the global 21 cm spectrum at redshifts of approximately 40–80, and the low-frequency dipole array FARSIDE on the lunar far-side surface, which will probe exoplanetary magnetic fields. The DAPPER mission, shown in Figure 9a with its fully deployed boom antenna and in Figure 9b with the crossed dipole antenna sampling large areas of the sky, is a low lunar orbit (50 × 100 km) spacecraft designed to make the first precise measurements of two absorption troughs in the redshifted 21 cm spectrum (~17–107 MHz, 83 ≥ z ≥ 12) from the Moon’s radio-quiet far side, aiming to resolve ambiguities in cosmological models by constraining baryon cooling and/or enhanced radio backgrounds [52]. Using a four-element deployable monopole antenna system with low chromaticity and advanced calibration, DAPPER addresses the major challenge of separating the faint 21 cm signal from bright galactic foregrounds through joint modeling of beam chromaticity, foregrounds, and the cosmological signal.
Figure 9.
(a) Fully deployed DAPPER boom antenna, (b) Crossed dipole antenna sampling large areas of the sky [52].
FARSIDE, shown in Figure 10a with its 128 antenna nodes (red dots) and in Figure 10b with the mechanical design of its antenna nodes, will be capable of imaging the entire sky across 1400 channels spanning 100 kHz to 40 MHz—extending two orders of magnitude below the frequencies accessible to ground-based radio astronomy. Located on the Moon’s far side, it benefits from isolation from Earth’s radio frequency interference, auroral kilometer radiation, and solar wind plasma noise, enabling sky noise-limited observations at sub-megahertz frequencies, the only such location in the inner solar system [52,53].
Figure 10.
(a) The 128 antenna nodes of the FARSIDE system (red dots), (b) Mechanical design of the FARSIDE system antenna nodes [52].
NASA also proposed two additional plans for constructing radio telescopes on the far side of the Moon: one involving the installation of a telescope inside a giant crater, and another using lunar resources and in-situ manufacturing techniques to create an array of 100,000 antennas [54]. To address the limitations of low-frequency experiments on Earth caused by ionospheric effects and radio frequency interference (RFI), research has shown that RFI is significantly attenuated in the unique environment of the lunar far side, with lunar topography and density profiles having minimal impact on RFI intensity. A corresponding model was developed that incorporates height above the lunar surface and defines a quiet-zone intensity threshold, enabling straightforward calculation of the radio-quiet zone size from orbit or on the lunar surface, making it suitable for both lunar satellite and surface missions [55].
Laser communication stations can be established on the near side of the Moon, utilizing the Moon’s stability and synchronous rotation to achieve high-speed data transmission between the Earth and the Moon. As shown in Figure 11, NASA’s Lunar Laser Communication Demonstration (LLCD) successfully demonstrated the first bidirectional laser communication between a lunar orbiting satellite, the Lunar Atmosphere and Dust Environment Explorer (LADEE), and a lunar ground station. The subsequent results described the structure and function of the Lunar Lasercom Space Terminal (LLST) and the Lunar Lasercom Ground Terminal (LLGT), as well as laser communication and time-of-flight measurements [56]. Further studies examined the challenges of establishing and maintaining a stable lunar–Earth laser link, including strategies such as employing multiple lunar polar orbit satellites and geosynchronous Earth orbit satellites to avoid line-of-sight obstructions, thereby ensuring continuous high-speed data transmission between the Moon and Earth [57]. Additional recommendations have been made for lunar communication infrastructure, such as creating a laser communication network on the Moon to deliver fast and flexible communication services, and applying laser communication technology to support both scientific exploration and commercial activities [58].
Figure 11.
LLCD data channel.
In optical and infrared astronomy, the Moon’s permanently shadowed regions at the poles provide an ideal environment for deep-infrared observations, where extremely low temperatures and prolonged darkness enable passive telescope cooling, thereby greatly enhancing infrared detection sensitivity. Renowned astronomer Roger Angel and colleagues at the University of Arizona proposed an ambitious concept to build a deep-field infrared telescope at the lunar south pole, employing rotating liquid mirror technology to install a 20–100 m liquid metal reflector on the lunar surface operating at ultra-low temperatures below 100 Kelvin [59]. They envisioned using rotating liquid mirror technology to install a 20–100 m liquid metal reflector on the lunar surface operating at ultra-low temperatures below 100 Kelvin, enabling the Lunar Liquid Mirror Telescope (LLMT) to conduct unprecedented deep-space surveys to study the formation of the first generation of stars and galaxies, with the potential to detect objects 100 times fainter than those observable by the James Webb Space Telescope [60].
To improve feasibility, the Angel team recently proposed establishing an array of 18 telescopes, each with a 6.5-m aperture, at the lunar pole, providing a total light-collecting area equivalent to that of a single mirror about 28 m in diameter (approximately 600 square meters) [61]. Multiple medium-aperture telescopes working in coordination are easier to construct and deploy than a single giant mirror while still achieving extremely high sensitivity, and by leveraging the cold traps and long periods of continuous observation at the lunar south pole, such an infrared observatory would offer revolutionary capabilities for deep-space exploration, a series of concepts that has also attracted the attention and collaborative support of European Space Agency scientists, with missions such as Europe’s SMART-1 providing imaging data to help identify ideal polar sites [62].
With the resurgence of lunar exploration, countries and international organizations are also engaging in coordinated planning for the future of lunar observatories, with the United States’ Artemis program serving as one of the primary driving forces behind current lunar exploration efforts. The Artemis program aims not only to return to the lunar south pole around 2025 and establish a sustainable crewed base, but also to provide a once-in-a-lifetime opportunity for astronomical observations from the lunar surface. Research teams have proposed integrating certain astronomical instruments into Artemis missions—for example, deploying a wide-field, high-speed imaging telescope array during the Artemis III crewed landing to conduct multi-band, high-speed imaging of a specific sky region for several continuous hours, enabling studies of exoplanet transits, stellar pulsations, and transient sources [63].
The Artemis program’s Commercial Lunar Payload Services (CLPS) will also deliver scientific instruments to the lunar surface in successive missions. One notable project is the Lunar Surface Electromagnetics Experiment—Night (LuSEE-Night), a radio astronomy instrument designed to operate on the lunar far side during the nighttime.
LuSEE-Night (Lunar Surface Electromagnetics Experiment—Night) is a low-frequency radio astronomy experiment jointly developed by NASA and the U.S. Department of Energy, scheduled to land on the lunar far side in late 2025 or early 2026 via NASA’s Commercial Lunar Payload Services (CLPS) program. It is equipped with two orthogonal dipole antennas, each about 6 m tip-to-tip, and a four-channel 50 MHz baseband receiver. Operating during the lunar night in an environment free from terrestrial and lander electromagnetic interference, LuSEE-Night—shown in Figure 12a with its ∼6 m tip-to-tip dipole antennas mounted on a 1 m × 1 m upper deck—will continuously observe the low-frequency radio sky below 50 MHz from its landing site on the lunar far side at (23.813° S, 182.258° E), as indicated in Figure 12b [64,65]. It is designed to measure the redshifted 21 cm transition of neutral hydrogen over 0.1–50 MHz, covering the redshift range 27 < z < 1100. The instrument comprises a radio frequency spectrometer connected to four horizontal monopole antennas arranged to provide wide zenith-pointing beams with two orthogonal linear polarizations, enabling the separation of the faint cosmological signal from much stronger foreground emissions [66].
Figure 12.
(a) A CAD drawing of the LuSEE Night system (The dipole antennas are ∼6 m tip-to-tip, the upper deck is approximately 1 m × 1 m and the system is ∼70 cm tall, but will be mounted atop the lander), (b) The LuSEE Night landing site (within green circle) on the lunar farside at (S23.813°,E182.258°) (This site was chosen to minimize terrestrial RFI, provide relatively uniform sky coverage, optimize payload thermal design, and provide favorable downlink with the relay satellite. The landing site of the Chang’e 4 mission is shown in the red circle and yellow vertical line is the Anti-meridian) [65].
Operating in drift-scan mode during the lunar night—when the Moon shields it from both Earth and solar radio frequency interference—and transmitting science and telemetry data back to Earth via an orbital relay during the lunar day, LuSEE-Night aims to map and characterize Galactic and other astrophysical radio foregrounds below 20 MHz as a first step toward detecting the high-redshift (z ≈ 100) 21 cm signal from the Cosmic Dark Ages, and to study the dynamic properties of low-frequency radio sources such as the Sun and Jupiter [64]. The mission will also employ a far-field calibration source to characterize the antenna and system response, laying the technical groundwork for future large-scale lunar radio astronomy arrays.
3.2. Solar Energy
The Moon’s rotational period is nearly identical to its orbital period, causing a single location on the Moon to experience approximately two consecutive weeks of daylight followed by two consecutive weeks of darkness. This phenomenon of extended daylight and darkness is one of the Moon’s unique characteristics, differing from the day-night cycle on Earth [67]. This environment is well-suited for solar energy utilization. By leveraging the Moon’s long days and nights, solar power stations can be established on the near or far side to collect and convert solar energy into electricity, providing power for lunar activities. Criswell proposed a Lunar Solar Power system, noting that simply collecting solar energy on Earth is impractical and expensive due to the Earth’s atmosphere and clouds reflecting and absorbing sunlight. The lunar solar power system overcomes these issues [68].
As shown in Figure 13a,b, a concept has been presented for establishing megawatt-level solar concentrating thermal power plants on the lunar surface, using the Moon’s thin atmosphere and surface materials as working fluids to achieve energy conversion in highly efficient thermal cycles, thereby ensuring acceptable thermal efficiency and power output [69]. A mobile photovoltaic strategy has also been suggested, involving the deployment of multiple photovoltaic arrays on the Moon; by utilizing the Moon’s rotation period and orbital inclination, continuous solar energy collection and conversion can be achieved without the need for storage devices, as illustrated in Figure 13d,e [70]. The LunaGrid system, shown in Figure 13c, is designed to establish a series of solar power stations near the lunar south pole, delivering power to required locations using a fleet of robotic rovers (CubeRover) [71].
Figure 13.
(a) Schematic diagram of the solar concentrator power plant proposed by Garcia, (b) Concentration efficiency of the power plant under different concentration coefficients, (c) Actual image of CubeRover, (d) Schematic diagram of the high-ratio solar concentration device, (e) Conversion efficiency (CHSR: cold heat sink reservoir; HHSR: hot heat sink reservoir; HHR: hot heat source reservoir) [69,70].
As shown in Figure 14, NASA’s Photovoltaic Investigation on the Lunar Surface (PILS), delivered to the Moon aboard Astrobotic’s Peregrine lander, demonstrated the performance of various solar cell technologies under actual lunar surface conditions [72,73]. The full harnessing of solar energy could provide a continuous power supply for human activities on the Moon, significantly impacting the construction of lunar bases. One approach envisions utilizing solar energy resources at the lunar south pole by employing vertical solar panels to capture sunlight, thereby meeting the energy demands for base construction and water resource extraction, with feasibility evaluated by calculating the total solar energy obtained at different panel heights under average illumination conditions across various periods [74]. Another concept involves a 3D printing system that directly uses solar radiation to heat and melt printing materials on the lunar surface [75]. Additionally, a lunar energy storage and conversion system based on in-situ resource utilization has been designed to overcome the limitations of traditional rocket payload capacity and cost, integrating three subsystems: a high-efficiency solar concentrator, an in-situ energy storage system utilizing lunar regolith, and a thermoelectric conversion device [76].
Figure 14.
(a) Overall assembly diagram of PILS, (b) Incident flux on the PILS solar cell [73].
This newly developed system can efficiently utilize solar energy and in-situ resources in outer space, providing sustainable energy and thermal replenishment solutions for future deep space missions.
3.3. Lunar Relay for Earth Observation
The increasing precision of satellite data in measuring Earth surface parameters still faces challenges in maintaining temporal consistency and spatial continuity for large-scale geoscientific phenomena. Developing new Earth observation platforms is a feasible approach to enhancing the consistency and continuity of such data. Developing new Earth observation platforms is a feasible way to improve the consistency and continuity of such data. The Moon, as a platform for observing Earth, has unique advantages such as synchronous rotation, long lifespan, global perspective, structural stability, and unique vantage points. Therefore, the characteristics of the Moon can be utilized to observe Earth [77].
The increasing demand for Earth observation has led to a growing number of studies focusing on the Moon, exploring its potential as an Earth observation platform. A lunar-based Earth observation geometric model was developed, analyzing the spatiotemporal characteristics of hemispherical Earth observation, deriving formulas for visible regions from the lunar surface, and revealing patterns in observation duration variations with time and location, thereby providing a basis for accurately calculating observation time and assessing the feasibility of lunar Earth observation [78]. A lunar land observatory was designed to address uncertainties in Earth’s albedo estimation, with its scientific and practical advantages evaluated against other observation platforms [79]. In addition, a lunar-based interferometric synthetic aperture radar system was proposed to achieve high-frequency, ultra-precise measurements of Earth’s crustal dynamics on a global scale [80]. They conducted preliminary system design and performance analysis, highlighting its advantages over current planned space interferometric systems [80].
As shown in Figure 15, one proposed approach involves using synthetic aperture radar (SAR) technology to establish a Moon–Space Bistatic Synthetic Aperture Radar (MS-BiSAR) system, deploying transmitters on the Moon and receivers on high-orbit satellites to enable continuous global observation of Earth [81]. Another concept envisions an imaging radar system on the Moon capable of large-scale, continuous, and long-term dynamic monitoring of Earth, supporting global change research through high-resolution, wide-swath coverage and the provision of stable time-series data [82]. A further scheme suggests utilizing a lunar synchronous rotation satellite, leveraging the Moon’s occultation and reflection to perform comprehensive, all-time, multi-band observations of Earth, enabling the acquisition of data on climate, environmental conditions, and natural disasters [83].
Figure 15.
(a) Simplified MS-BiSAR Earth observation geometry model (Ombo is a Moon-based observatory, Om is the Moon center, OE is the Earth center, Os is the satellite, θim and θis are the incidence angle thresholds of the transmitter and receiver respectively, S1 and S2 are the boundaries of the satellite receiver’s observable area, M1 and M2 are the boundaries of the Moon observatory’s observable area, the red area is defined as the MS-BiSAR’s observable area), (b) 2022 MS-BiSAR (different configurations) global cumulative observation time (orbital inclination of 0° (GEO), 45° (IGSO), 75° (IGSO), and HEO (HEO—Highly elliptical orbit, GEO—Geostationary orbit, IGSO—Inclined Geosynchronous orbit)) [81].
Furthermore, the Lunar Ultraviolet Observatory (OUL), developed by the Spanish Space Agency, is a compact lunar-orbit telescope capable of operating independently or as part of other missions, capturing wide-field ultraviolet images in the 115–175 nm range to map Earth’s exosphere, magnetosphere, and near-Earth space environment, providing benchmark data for space environment and exoplanet studies [84]. These studies have not only expanded our understanding of lunar-based Earth observation but also provided important references for future lunar exploration missions.
As shown in Figure 16, Wu et al. utilized the Moon as an additional platform for monitoring Earth’s albedo. They compared the global top-of-atmosphere albedo observed by the Lunar Theoretical Observatory with Clouds and the Earth’s Radiant Energy System (CERES) and Earth’s insolation data (1999–2020). They found good consistency over a 20-year data span. Therefore, lunar-based Earth observation can be a feasible option for monitoring long-term trends in Earth’s albedo [85]. Lunar-based Earth observation shows great potential in multiple fields and deserves further in-depth research and exploration.
Figure 16.
Global annual average albedo anomalies and Earth sunlight days observed from the Moon direction and CERES (dashed line represents the linear fit result, the error of Moon direction data is shown as the gray area) [85].
In terms of long-term monitoring of specific Earth parameters, scientists have also proposed some innovative lunar-based observation schemes. As shown in Figure 17a, the Lunar-based Soft X-ray Imager (LSXI) concept involves using the Moon as a platform to obtain a comprehensive view of Earth’s magnetosphere. Figure 17b illustrates the LSXI observation route, while Figure 17c presents representative X-ray images obtained at positions A, B, and C (from left to right) based on solar wind charge exchange (SWCX) X-ray imaging. LSXI, as a wide-field soft X-ray telescope, can capture such images to study Earth’s magnetosphere, which are crucial for understanding the overall interaction between the solar wind and the magnetosphere, and can continuously monitor the evolution of Earth’s space conditions under the influence of the solar wind [86].
Figure 17.
(a) LSXI concept diagram, (b) LSXI observation route, (c) X-ray images obtained by LSXI at positions A, B, and C in, (c) (from left to right are A, B, and C).
The Moon, as Earth’s closest natural satellite, offers unique advantages such as an almost nonexistent atmosphere, lack of a magnetic field, low gravity, and stable geological structures. These characteristics make it significantly easier to launch deep space probes from the Moon compared to Earth. Therefore, future lunar bases can not only serve as natural launch platforms but also as ideal transit stations for space exploration, facilitating further space exploration and colonization.
As shown in Figure 18, a 2001 proposal suggested that by utilizing the natural interstellar superhighway system formed by the Earth–Moon Lagrange points, ultra-low-energy transportation within the vicinity of Earth could be achieved, greatly enhancing the convenience and feasibility of future space exploration [87]. Another concept envisions the Moon serving as a space transportation hub through the construction of a large lunar spaceport, taking advantage of its low gravity and escape velocity to enable efficient transport from Earth to the Moon and onward to other planets or asteroids [88].
Figure 18.
Concept diagram of the interstellar highway (transfer orbit from the Moon to Earth) [87,88].
As shown in Figure 19, NASA designed a system called the Deep Space Gateway, as shown in the Figure 19, to establish a multifunctional space station in lunar orbit. Using the Moon as a gateway, it can support critical missions and experiments such as lunar surface activities, solar system and interstellar communication, solar wind, and cosmic ray research [89].
Figure 19.
(a) Deep Space Gateway system (multi-functional space station), (b) Missions utilizing the Deep Space Gateway [89].
The above text discusses the importance of lunar locational resources and introduces various methods for utilizing these resources, including the establishment of various research facilities, laser communication stations, solar power stations, and the use of lunar crust heat storage. Additionally, it summarizes a series of research proposals on lunar-based Earth observation and using the Moon as a transit station. With the deepening research on the utilization of lunar resources and lunar-based Earth observation, the potential of the Moon can be further explored, leading to the development of more scientific research projects and application technologies. Moreover, as technology advances and research progresses, the value of the Moon as an Earth observation platform and resource development base will continue to be highlighted, providing more possibilities for human exploration and utilization of space.
4. The Lunar In-Situ Resource Utilization
Lunar resources include soil minerals, water ice, and various volatiles. In-situ resource utilization (ISRU) on the Moon involves the extraction, processing, and utilization of these natural resources, and ISRU plans have been designated as major goals for upcoming lunar missions [90,91].
4.1. Lunar Water Resources
Water is the source of life on Earth and is indispensable in lunar exploration. It is crucial for the success of establishing a lunar base and achieving the ultimate goal of human habitation on the Moon. Exploring and extracting lunar water resources is a current focus of major space-faring nations.
4.1.1. Exploration
The assessment of the water content inside the Moon is primarily based on lunar samples. Although there is now ample evidence that lunar minerals contain significant water, this was not the case before the 21st century. Between 1969 and 1976, six Apollo missions by the United States and three Luna missions by the Soviet Union returned about 382 kg of rock and soil samples from nine locations on the Moon. Additionally, approximately 692 kg of lunar meteorites found on Earth have been used to test for lunar water content [7,92]. In the 1970s to 1990s, researchers generally believed there were no hydrous minerals in the Moon’s interior. Although FeOOH was detected in Apollo 16 samples, it was considered to be contamination from Earth’s atmosphere [9,93,94].
By the early 21st century, researchers no longer believed the Moon’s interior was completely dry but thought it contained very little water. Taylor estimated in 2006 that the water content of the Moon’s interior was less than 1 ppb (10−9 g/g) [95]. Basilevsky and colleagues used sensitive mass spectrometry to detect water in basaltic glass returned by the Apollo 15 and Apollo 17 missions. These findings overturned the traditional concept of a completely dry lunar interior. Additionally, this water is very unstable and easily escapes from the surface, making it difficult to retain [96,97]. In 2011, Hauri and colleagues used Secondary Ion Mass Spectrometry (SIMS) to detect water content in olivine melt inclusions, ranging from 615 to 1410 ppm. They estimated the original lunar mantle water content to be 79 to 409 ppm, similar to that of Earth’s mantle [98].
In 2013, Hui and colleagues studied plagioclase grains in lunar highland anorthosite and norite, estimating the initial water content of the lunar magma ocean could be as high as ~320 ppm [99]. In 2017, Mills and colleagues measured about 20 ppm of water in alkali feldspar (a common mineral in potassium-rich rocks), implying that the water content of chemically evolved rhyolitic magma was about 1 wt%. The source of these wet, potassium-rich magmas might contain ~1000 ppm H2O [100]. In 2015, Chen and colleagues conducted extensive research on water and other volatiles in lunar basalts, comparing them with Earth’s primordial mantle, suggesting similarities in the alteration factors of volatile elements between the Moon and Earth. In 2019, Ni and colleagues conducted detailed analyses of melt inclusions in various lunar samples, considering the representativeness of samples and additional constraints, especially based on H2O/Ce, F/Nd, and S/Dy ratios. The latest melt inclusion work estimated the abundance of volatiles (H2O, F, and S) in lunar rocks to be similar to or slightly lower than Earth’s depleted mantle, leading to an estimated primordial mantle water content of at least 84 ppm [101,102]. There is ample evidence that the Moon is not “dry,” and its minerals contain significant water. The scientific conclusion that lunar minerals contain water provides important theoretical support and scientific basis for exploring lunar surface water resources.
The existence of water ice on the lunar surface has been a subject of ongoing debate. Early theories generally believed that under the Moon’s extreme environment, influenced by solar ultraviolet radiation, solar wind, and lunar gravity, water could not stably exist on the lunar surface [103,104].However, some impact craters at the Moon’s poles form permanently shadowed regions where surface temperatures are extremely low (<110 K), allowing for the preservation of solid water ice and other organics [105]. In 1961, Watson and colleagues theoretically calculated that large amounts of water ice (in the form of a dust-ice mixture, or “dirty ice”) might exist in polar impact craters [106,107]. In the 1990s, the Arecibo radar system, with a wavelength of 12.6 cm, conducted imaging at the lunar poles with a resolution of 125 m to find potential ice storage areas under permanent shadows. The results showed large areas in the polar regions with ice layer characteristics. The Clementine 1 mission’s bistatic radar experiment found co-polarization enhancements in the permanently shadowed regions of the lunar south pole, possibly indicating low-loss scatterers like water ice [108,109,110].
In the 21st century, neutron and gamma-ray data measured by the Lunar Prospector (LP) were used to search for hydrogen-rich deposits at the lunar poles. Further analysis of these data helped determine the characteristics of polar deposits. The research suggested that deposits near the north pole might exist as small pockets or widely distributed hydrogen, while deposits in the permanently shadowed craters of the south pole might be hydrogen-rich anorthosite granite bedrock soils. Lunar Prospector data supported the view of water ice storage near permanently shadowed craters, but it remained unclear whether the detected hydrogen abundance was indeed water ice or another form of hydrogen [111,112,113]. The existence of water ice on the Moon remained controversial.
In 2009, the U.S. Lunar CRater Observation and Sensing Satellite (LCROSS) launched a kinetic impactor that struck the Cabeus crater in the lunar south pole region. The Lunar Reconnaissance Orbiter (LRO) spacecraft’s Lunar Exploration Neutron Detector (LEND) measured neutron flux in the lunar south pole region and combined ultraviolet, visible, and near-infrared spectral data acquired by the spacecraft. Enriched H signals were detected in permanently shadowed regions, leading to the selection of the best impact site for the LCROSS mission [114,115]. Using the Lyman Alpha Mapping Project (LAMP) spectrometer on the LRO, the plume of ejecta produced by the impact was measured. The near-infrared spectrometer on the LCROSS detected spectral features of hydroxyl-containing compounds in the ejecta, and the ultraviolet spectrometer also detected hydroxyl emission lines in the vapor and debris cloud. Approximately 155 kg of water vapor were released during the impact, confirming the presence of water ice in the Cabeus crater [116,117]. Since then, with continuous advancements in science and technology, evidence of water ice resources on the lunar surface has increased.
In 2009, Clark analyzed infrared imaging data from Chandrayaan-1 and Deep Impact, as well as re-examined data obtained during Cassini’s early flybys of the Moon, revealing significant H2O and OH absorption signals across much of the lunar surface. This suggested that the Moon should no longer be considered a primarily dry celestial body but one with accumulated ice near the polar permanently shadowed craters [118,119]. In 2010, the Mini-SAR experiment on India’s Chandrayaan-1 spacecraft obtained new polarized radar data of the lunar north pole, identifying the possibility of water ice. The radar confirmed 30 impact craters at the lunar north pole containing water ice [120].
In 2018, As shown in Figure 20, Li and colleagues used the Moon Mineralogy Mapper (M3) on Chandrayaan-1 to obtain surface water ice distribution features at the lunar poles. They found near-infrared spectral absorption peaks at 1.3 μm, 1.5 μm, and 2 μm in the polar regions. This provided the first direct evidence of water ice on the Moon and predicted possible water ice resource distribution areas in the polar regions, as shown in the image [121]. NASA used the Stratospheric Observatory for Infrared Astronomy (SOFIA) to observe infrared absorption features at a 6 μm wavelength (which can detect H2O’s unique spectral features) in the Clavius crater. They found signs of molecular water on the lunar surface. Honniball and colleagues estimated water abundance to be about 100 to 400 ppm. The detected water was primarily stored in hydrated weathering layer particles, glass formed from melted particles, or interparticle spaces, protected from the harsh lunar environment, allowing it to be retained on the lunar surface [122]. The evidence for the presence of water on the lunar surface is summarized in Table 1.
Figure 20.
Distribution map of lunar polar water ice resources [121].
Table 1.
Evidence for the existence of water resources on the lunar surface.
The historical and ongoing scientific research on lunar water resources reveals a complex and evolving understanding of the presence of water in various forms on the Moon. From early skepticism to contemporary evidence supporting the existence of water ice and hydrated minerals, these findings are crucial for future lunar exploration and the potential for sustained human presence on the Moon. The table above encapsulates the key milestones and discoveries in this scientific journey, providing a comprehensive overview of the theoretical and empirical advancements in the study of lunar water resources.
4.1.2. Exploitation
Exploiting water ice resources is crucial for solving the issues of water and oxygen supply necessary for the construction and operation of a lunar base, while also serving other important purposes such as splitting water ice into hydrogen and oxygen for rocket fuel. However, the extreme environmental conditions on the Moon’s surface present significant challenges for exploiting these resources. Economically and efficiently exploiting and utilizing the water ice resources on the lunar surface, particularly in the polar regions, will be key to establishing a lunar base and achieving permanent human habitation on the Moon. The simulations and experiments for different heating methods are summarized in Table 2.
Table 2.
Summary of simulation and experiments for different heating methods.
Several methods have been developed for extracting water ice resources on the Moon, with thermal mining being considered one of the most promising approaches. This technique offers a simple and reliable means for future extraction of lunar water ice, particularly from deposits located in permanently shadowed regions (PSR) of the Moon [123]. The main idea of thermal mining is to heat the lunar regolith to sublimate the water ice, capture the resulting water vapor in a tent over the mining area, and then condense it in a cold trap. The most crucial step in thermal mining is heating the cold lunar soil. To achieve this, different heating methods have been proposed and discussed, with several simulation experiments conducted.
Sowers and Dreyer developed a system architecture for mining operations in PSR to extract water ice and process it into liquid oxygen or liquid hydrogen propellant, significantly reducing space transportation costs beyond low Earth orbit. A key component of this architecture is the thermal mining ice extraction method [124]. As shown in Figure 21a, the thermal mining concept involves applying direct heating to the surface and near-surface regions of permanently shadowed regions (PSRs) to sublimate the embedded ice. The resulting water vapor is captured under a domed tent and then directed into a cold trap, where it re-freezes before being transported to the processing system. To ensure efficient extraction, Figure 21b illustrates the relationship between power requirements and water content percentage for producing 1600 mT of water ice annually with 70% solar energy utilization, highlighting the balance between energy input and extraction yield. In cases where surface heating alone is insufficient, conductive rods or heating elements can be placed beneath the icy regolith to enhance thermal transfer. Furthermore, Figure 21c presents the relationship between sublimation time and temperature for ice balls of varying radii within the system, offering valuable insights for optimizing operational parameters and improving mining efficiency.
Figure 21.
(a) Thermal mining concept, (b) Power and water weight percentage function for extracting 1600 mT of water ice annually with 70% solar energy utilization, (c) Sublimation time and temperature relationship for ice balls of different radii in the system [123].
The core of this method is heating the regolith to extract water ice, but it currently faces several limitations. Factors such as the thermal physical properties of the surface regolith and the pressure gradient caused by the low vacuum on the lunar surface affect the efficiency of the heating device, and it can only extract surface ice.
To address the limitation of thermal mining technology that can only extract surface water ice, some studies have proposed heated drilling technology. This method mainly involves using a hollow auger to drill into the icy lunar soil based on heating, then vaporizing and collecting the ice using heating schemes to achieve water resource exploitation. In 2016, As shown in Figure 22, Honeybee Robotics proposed three water ice extraction methods: Mobile In-Situ Water Extraction (MISWE), Sniffer, and Corer. They all use drills or drilling equipment to extract water ice from icy lunar soil and sublimate the ice through heating, eventually collecting the water vapor into a cold trap device. The Corer achieved a water ice extraction rate of 946 g·h−1 in soil with a water content of 12 wt% [125,126].
Figure 22.
(a) Miniature MISWE System, (b) Corer, (c) Sniffing Cone structure and actual image [125].
The Sniffer method was found to be ineffective because volatiles often escape from the soil into the vacuum above. MISWE ranked second in water extraction efficiency and energy conversion efficiency. The Corer proved to be the best method, requiring less drilling energy than MISWE, making it a more efficient drilling method. As shown in Figure 23, Honeybee Robotics further developed a Planetary Volatile Extractor (PVEx) integrated with the Corer in 2021, combining a drilling excavation module with a volatile collection module [126].
Figure 23.
PVEx-Corer assembly design [126].
The Planetary Volatile Extractor (PVEx), shown in Figure 24a integrated on a lunar rover for ISRU applications, underwent a water extraction test using a prototype sampler. In this test, icy-soil with a water concentration of 10 wt% was chilled to –20 °C before warm heat transfer fluid (HTF) at 50 °C was introduced. As indicated by the temperature data in Figure 24d, the icy-soil inside the sampler heated up rapidly, with phase change beginning at around 900 s and completing after approximately nine minutes, after which the temperature rose to a steady state. The post-test soil condition, shown in Figure 24c, revealed that the soil inside and near the sampler was completely dry, while the soil near the cooler cup walls remained moist. The collected water, depicted in Figure 24b, weighed 1.52 g—representing about 44% extraction efficiency—demonstrating the PVEx’s capability for effective in-situ volatile extraction from icy lunar regolith [127].
Figure 24.
(a) Planetary Volatile Extractor (PVEx) integrated on a lunar rover for lunar ISRU applications, (b) Prototype sampler collected 1.52 g of water from 10% weight ice soil, (c) Post-test soil conditions: soil inside and near the sampler is completely dry, while soil near the cooler cup walls remains moist, (d) Temperature data from the water ice extraction test with the sampler [127].
As shown in Figure 25a, the Lunar Volatiles Scout (LVS) is an integrated instrument developed in 2020, capable of drilling up to 10 cm into lunar regolith and extracting water from water-bearing simulants in thermal vacuum tests. Figure 25b shows penetration force results from tests with dry and icy JSC-1A simulants at temperatures below −150 °C, where forces rose moderately to under 15 N at 10 cm depth before sharply increasing—likely due to auger reach limits or higher bulk density and shear strength at greater depths [128].
Figure 25.
(a) Schematic diagram and physical image of the LVS system, (b) Average penetration force of the LVS in JSC-1A lunar regolith simulant with depth [128].
Wang et al. proposed a photothermal integrated drilling system in 2020, including a concentrator, flexible seal cover, drill bit, and drill pipe. First, the blade drill pipe is drilled into the lunar regolith, and the seal cover is tightly fitted to the lunar surface. Then, sunlight is concentrated and transmitted to the icy lunar soil through a light-guiding mirror, causing the water ice to sublimate. The vapor enters the drill pipe through pores and is extracted through a condensation separation and detection processing module [129].
He et al. proposed a new auger drill scheme in 2021, where the auger descends to the icy lunar surface to form a temporary sealed space, then starts drilling, transporting the icy regolith upward, and heating it with infrared heating lamps. The heated water vapor flows into a condenser for collection, and water extraction experiments were conducted under vacuum conditions, verifying the effectiveness and system performance of this method [130]. Although the drilling scheme overcomes the limitation of thermal mining technology, which can only extract surface water ice, it still has a significant gap in unit yield compared to the other thermal mining methods mentioned above due to the need for load cooperation and limited design size.
Current evaluations of various water ice extraction schemes are primarily at the conceptual design stage, lacking practical verification, thus presenting significant uncertainties. Therefore, it is necessary to further establish unified evaluation standards, combining ground verification experiments and future lunar exploration mission data to optimize and refine lunar water ice extraction schemes. Such efforts will help ensure the feasibility and reliability of the chosen schemes and lay a solid foundation for future lunar water resource development.
4.1.3. Purification and Storage
During the extraction of lunar water ice, the resulting gases include not only water vapor but also various volatile components such as H2S, NH3, C2H2, CO2, and CH4. Therefore, before utilizing these extracted water ice resources, the water must be purified to reduce the impact of the activity, corrosiveness, and toxicity of these volatile components on water usage [128,131,132].
The primary method is cryogenic distillation (also known as cryogenic purification), which is based on the boiling point differences of various volatile components. The table provides the boiling points of different volatiles detected in the ejecta plumes by lunar crater observation and sensing satellites. Therefore, in cryogenic distillation devices, using cryogenic methods (T < −150 °C) can separate and purify at least two components with different boiling points [128,133,134,135,136]. The boiling points of different components at 1 atmosphere are shown in Table 3. In 2006, NASA proposed a purification and storage system composed of an adsorption pump, passive thermal radiators, temperature control, and a few storage containers and valves, to operate in permanently shadowed polar craters for extracting, purifying, and liquefying volatile substances [136]. Schlüter proposed using multi-stage or single-stage gravity-based distillation methods as an initial treatment process in the lunar base water recovery system and using the Aspen property system to simulate the components and composition of wastewater flows to determine optimal parameters and meet NASA’s maximum contaminant levels for drinking water [134].
Table 3.
Boiling points of different components at 1 atm pressure [133,134].
As shown in Figure 26, Holquist et al. proposed a water separation and purification process as shown in the Figure 26, requiring two stages, P1 and P2. In the P1 stage, volatile organic compounds can be removed, causing the water to condense in a cold trap, and further purified in the P2 stage to meet the requirements for water electrolysis to produce H2 and O2. The O2 and H2 produced in the electrolyzer need to be purified in P3 and P4. Through the sublimation and vapor transfer of water, water is transferred from lunar soil to the collection and processing system to minimize the impact of mechanical mining, and key components such as cold trap devices are developed to purify water ice and deal with other easily sublimated volatile substances [131].
Figure 26.
(a) Cold trap for gas purification, (b) Low-temperature distillation purification process of water ice in the lunar polar region.
There are two other methods for purification: adsorption purification technology, as shown in Figure 27a, which involves the reversible binding of gas or liquid atoms and molecules on the surface of porous adsorbents through van der Waals forces, and membrane purification technology, as shown in Figure 27b, which selectively allows gases to pass through a membrane based on differences in the permeability of volatile components—determined by the membrane’s nature, the properties of the volatiles, and their interactions—while requiring specific external conditions such as pressure, concentration, current, or temperature to achieve effective separation [134,136,137,138]. Therefore, the membrane must exhibit good physicochemical stability under set conditions to achieve ideal separation and purification.
Figure 27.
(a) Adsorption technology principle, (b) Membrane purification technology principle.
As early as 1999, DallBauman proposed using the adsorption process in spacecraft to achieve air and water circulation, noting that adsorption technology has the advantages of gravity independence, high reliability, and energy efficiency. It has been applied on the International Space Station, for example, using the reaction of LiOH with LiCO3 and H2O to absorb CO2 in spacesuits [139].
Berg et al. developed a rapid cycle adsorption pump (RCAP) for gas adsorption and purification, with the test configuration shown in Figure 28a and the actual image in Figure 28b. Designed to shorten temperature-swing periods from hours to minutes through the use of a central liquid-cooled and heated heat transfer plate surrounded by symmetrical rectangular sorbent beds, the RCAP significantly increases gas capture throughput and efficiency. Therefore, adsorption purification can also be applied to the purification of lunar surface water vapor, and the selection of a suitable adsorbent is crucial for this technology [140].
Figure 28.
(a) RCAP test configuration proposed by Berg, (b) RCAP actual image [140].
In terms of water resource storage, ice storage devices need to be designed based on their installation location, purpose, storage capacity, and load. They should also match the technical aspects of ice extraction and purification to meet storage requirements. Water tanks can be categorized into three types based on their location: (1) permanent shadow area tanks for collecting and transporting ice resources extracted in permanently shadowed regions; (2) crater edge tanks for receiving ice resources delivered from permanent shadow area tanks; (3) electrolysis tanks for storing ultrapure water resources used for electrolytic production of H2 and O2 [141]. In 1989, Kohout proposed integrating a cryogenic ice storage system with a hydrogen-oxygen regenerative fuel cell (RFC). By treating and storing the RFC reactant flow as a cryogenic liquid instead of a pressurized gas, the system can significantly reduce the volume of reactants, thereby reducing the total system mass by approximately 50% [142].
In summary, each separation and purification technology has its advantages and disadvantages. Cryogenic distillation can achieve separation and purification by exploiting differences in boiling points. It is suitable for handling various volatile components and can achieve high separation efficiency. It is considered the most cost-effective method for producing high-purity products. However, compared to adsorption and membrane purification technologies, cryogenic distillation may cause pipe blockages due to condensed contaminants. The distillation process is less efficient under the Moon’s extremely low temperatures and sometimes requires preheating.
Although adsorption technology is flexible in usage time, it requires a thorough understanding of gas composition and adsorbent properties, necessitating experimentation and optimization. Membrane purification technology can achieve selective purification based on the permeability differences of volatile components, offering high separation efficiency and low energy consumption. However, it cannot completely remove certain contaminants, requiring additional separation and purification technologies before and after this process. Therefore, membrane purification can only be used as an intermediate process in water separation and purification. Considering the Moon’s extreme environment, a combined system of cryogenic distillation and adsorption purification can be used for separating and purifying volatiles, minimizing power demand, and effectively storing ice and other volatiles.
4.2. Lunar Soil and Mineral Resources
Humanity has launched over 100 lunar exploration spacecraft, obtaining extremely rich exploration data and collecting approximately 384 kg of lunar samples. The scientific achievements of the Apollo program form the basis of our preliminary scientific understanding of the Moon [7,92]. As human exploration of the Moon continues to deepen, the development and utilization of lunar mineral resources for lunar base construction and subsequent space exploration have become new expectations and challenges.
4.2.1. Distribution
Based on geological structure types, the lunar surface is divided into two main geological units: the lunar highlands and maria [143].According to samples collected from the Apollo and Chang’e missions, lunar crust minerals can be categorized into silicate minerals, oxide minerals, native metals, sulfide minerals, and phosphate minerals [144]. As shown in the table, silicate minerals are the most abundant, making up over 90% of the volume of most lunar rocks. Among silicate minerals, pyroxene ((Mg,Fe,Ca,Na) (Mg,Fe,Al) (Si,Al)2O6), plagioclase (NaAlSi3O8-CaAl2Si2O8), and olivine ((Mg,Fe)2SiO4) are the most abundant minerals in the lunar crust [7,91].
Other minerals like zircon (ZrSiO4) and potassium feldspar (K2O·Al2O3·6SiO2) are rare on the Moon but common on Earth [145,146]. The second most abundant group is oxide minerals, mainly composed of metals and oxygen. Oxygen usually exists in the form of iron oxide in iron-rich lunar minerals and glasses. The oxygen in oxide minerals is less tightly bound than in silicate minerals, making them important for lunar oxygen utilization and metal production [144,147]. Several important oxide minerals are listed as follows: The most abundant oxide minerals include ilmenite (FeTiO3), spinel (MgAl2O4), and thenardite (Na2SO4‧10H2O). Less abundant lunar oxide minerals include rutile (TiO2), baddeleyite (a natural mineral with over 90% free ZrO2, also containing impurities like SiO2, Al2O3, Fe2O3, TiO2), and zircon (ZrSiO4).
The Diviner Lunar Radiometer Experiment (DLRE) on the Lunar Reconnaissance Orbiter was used to create multispectral thermal maps, providing direct global measurement data of the lunar surface, which indicated the presence of highly evolved, silica-rich lunar crust at a micron scale [148]. One of the most surprising findings in the returned lunar samples is the presence of natural iron metal particles in every sample [143]. To date, several natural metal minerals have been discovered, including nickel, copper, kamacite (a-FeNi), molybdenum, chromium, cerium, rhenium, and zinc [149]. The significant lunar mineral modal ratios of minerals and glass in the soil at the sampling site are shown in Table 4.
Table 4.
Significant lunar mineral modal proportions (volume %) of minerals and glasses in soils from the Apollo (A) and Luna (L) sampling sites (90- to 20-μm fraction, not including fused-soil and rock fragments) [9].
The harsh space environment directly exposes the lunar surface, covering most of it with a fine powdery weathered material called regolith. In the maria regions, regolith is typically 4–5 m thick, while in the highlands, it averages 10–15 m. The grain size of regolith ranges from 40–800 μm, averaging 60–80 μm [147]. The particles in the lunar regolith mainly consist of glassy silicates and various rock and mineral fragments, ranging from basalt to anorthosite, and contain a small amount (<2% by mass) of meteoritic material, which holds great extraction potential [7].
4.2.2. Extraction of H2O and O2
The primary goal of in-situ utilization of lunar mineral resources is to extract various materials for lunar base construction, space technology, and life support, obtaining large amounts of H2O and O2 necessary for human survival on the Moon [150].
Due to the limited distribution of lunar water ice resources, which are predominantly found in the polar regions, large-scale extraction and utilization of water ice are challenging. Therefore, it is necessary to develop more widely feasible and reliable in-situ water extraction methods to meet the demand for in-situ water supply for future manned lunar missions. Consequently, another in-situ water extraction method based on hydrogen reduction of lunar regolith has been widely developed. This regolith reduction method is considered the most feasible technological solution due to its mild reaction conditions, broad availability of raw materials, and mature technical conditions.
Hydrogen reduction of ilmenite, as illustrated in Figure 29 showing photographs of the prototype, has been explored as a feasible method for lunar water resource extraction, with assessments evaluating both its overall viability and the influence of ilmenite content on the water yield [151]. The main reactant is ilmenite (FeTiO3) in the regolith, and the basic reaction principle is as follows:
FeTiO3(s) + H2(g) → TiO2(s) + Fe(s) + H2O(g)
Figure 29.
Photographs of the prototype for hydrogen reduction of ilmenite to produce water [151].
For the extraction of water from ilmenite, other researchers have conducted extensive experiments. They first developed a prototype device for hydrogen reduction of ilmenite to produce water and carried out verification tests using lunar regolith simulant (NU-LHT-2M), a lunar meteorite sample (No. NWA12592), and Apollo 11 mission samples (Nos. 10084 and 60500). During the experiments, the variation in pressure and equivalent water yield over time for different ilmenite masses during the water release phase is shown in Figure 30a. Based on these pressure data, the estimated water yields for various ilmenite masses were calculated, as shown in Figure 30b. By combining the results from both the reaction and water release phases, the relationship between yield and reduction extent was determined, as illustrated in Figure 30c. Finally, Figure 30d presents the experimental yields for different lunar soils and simulants reduced by hydrogen at 1000 °C to completion, indicating the maximum possible ilmenite content.
Figure 30.
(a) Pressure rise and equivalent water production over time during the water release phase for different masses of ilmenite (b) Estimated water produced for different masses of ilmenite calculated from pressure data during the reaction and water release phases (c) Calculated yields and reduction extents from the reaction and water release phases (d) Experimental yields for various lunar soils and simulants reduced by hydrogen at 1000 °C and reacted to completion, showing the maximum possible ilmenite content [152,153].
The experimental results show that the ProSPA system successfully produced water from ilmenite samples under simulated lunar conditions, achieving up to 1.4 ± 0.2 wt % oxygen yield and a maximum reduction extent of 12.9 ± 1.5%. These findings confirm that hydrogen reduction of ilmenite is technically feasible within ProSPA’s static processing mode, indicating its potential as an effective method for generating oxygen from ilmenite-bearing lunar regolith for in-situ resource utilization [152,153].
Extracting oxygen from the lunar regolith can provide fuel replenishment and maintain life support systems on the lunar surface, while the remaining metal elements can be used in manufacturing and construction. As mentioned above, the two methods of in-situ water extraction and ilmenite reduction can achieve water extraction, and on this basis, further extraction of oxygen and other products is possible. For example, the produced alloys can be used for lunar surface infrastructure construction.
The most mainstream method currently is lunar in-situ electrolysis reduction. In the process of electrolysis reduction, metal elements in the oxides of the lunar regolith are reduced and deposited at the cathode, while oxygen elements are oxidized at the anode, producing oxygen. The molten regolith electrolysis (MRE) method seems to be the most direct and convenient way to obtain oxygen and metals on the Moon. It does not require any additives, catalysts, or consideration for recovering other products, but directly electrolyzes the raw molten lunar regolith [154,155].
During the process of molten regolith electrolysis, oxygen anions in the molten lunar regolith move to the anode, where oxygen is released, while metal cations move to the cathode, where they are deposited, as shown in Figure 31. Schreiner et al. proposed a parametric model of the MRE reactor, based on the characteristics model of regolith material and validated with data from Apollo samples and simulants. The MRE method can achieve an oxygen extraction rate of about 15% (kg of oxygen per kg of regolith) at low operating temperatures, which can increase to about 37.5% at high operating temperatures, with lower energy consumption and higher resource utilization efficiency [156].
Figure 31.
(a) MRE process, (b) The oxygen extraction yield of an MRE reactor generally rise with operating temperature [156].
However, due to the high temperatures required for direct electrolysis melting of the lunar surface, reaching nearly 1600 °C, the lifespan of iridium anode materials is relatively short, with a consumption rate of approximately 7.7 mm/year [157,158,159]. This drawback can be mitigated by increasing the silica content in the melt. Kim et al. explored the durability of inert anodes based on the mineral composition of the melt and found that the corrosion rate of iridium inert anodes decreased with increasing silica content in the melt [160].
As shown in Figure 32, where (a) Highlands regolith initially has a higher liquidus temperature than Mare and (b) the composition and properties of the molten regolith vary as electrolysis progresses, the liquidus temperature changes significantly during molten regolith electrolysis due to sequential reduction of oxide species. The calculations are based on data from the Slag Atlas, a comprehensive metallurgical reference containing experimentally determined and calculated phase diagrams for multi-oxide slags, including their liquidus temperatures [161].
Figure 32.
(a) Highlands regolith initially has a higher liquidus temperature than Mare, (b) As electrolysis progresses, the composition and properties of the molten regolith vary [156].
Although developed for terrestrial metallurgical processes such as steelmaking, these phase equilibria are directly applicable to lunar regolith because of its similar oxide composition (FeO, SiO2, MgO, TiO2, Al2O3, CaO). At the start of electrolysis, removal of FeO—a low-melting flux—causes the liquidus temperature to rise. As SiO2 is reduced, the liquidus increases further due to enrichment in refractory oxides. Subsequent reduction of MgO and TiO2 lowers the liquidus temporarily, followed by a decrease and then a sharp increase as Al2O3 is reduced, leaving a CaO-rich, highly refractory residue [156,162]. These trends differ by regolith type: Highlands regolith begins with a higher liquidus but experiences a slower rise, while Mare regolith shows a sharper increase and ultimately surpasses Highlands due to its higher MgO content.
Another method is molten salt electrolysis (MSE). The MSE method for solid lunar deposits originates from the Fray Farthing Chen (FFC) process of metal analysis at Cambridge University, used for the electrolytic oxidation of metals and metal oxides [163,164]. This reaction is different from the MRE principle. Oxide reduction occurs entirely in the solid state at the cathode, while the molten salt electrolyte is not consumed. The electrolytic cell used in the FFC process typically operates at around 900 °C, where the calcium chloride (CaCl2) electrolyte is melted, and the oxygen in the sintered metal oxide cathode is ionized. Oxygen anions transported to the anode are oxidized, forming O2 gas. The cathode is depleted of oxygen and gradually reduced, eventually containing only pure metal or alloy [165].
To avoid the high energy consumption and deterioration of materials used in electrochemical cells, Morova improved this process by using hydrogen-evolving anodes made of SnO2 and changing the salt from pure CaCl2 to a eutectic mixture of KCl, NaCl, and LiCl to lower the temperature of the electrochemical FFC process. Experiments showed that, aside from the expected effects on kinetics at lower temperatures, reactions related to the interaction between the graphite anode and extracted oxygen, calcium cycling between electrodes, and other mechanisms specific to each salt mixture significantly impact the reduction process, avoiding the high energy consumption and deterioration of materials used in electrochemical cells [166].
In addition to electrolysis reduction methods, there is also the vacuum thermal decomposition method, where materials are heated directly under vacuum conditions to decompose oxides in the lunar regolith into oxygen and other constituent elements. As shown in Figure 33a, this process can be implemented in a reactor for gas-phase thermal decomposition, where batches of regolith are added and thermally decomposed in a vacuum, with metals condensing on a cooling plate and oxygen being pumped into a compression storage unit [167,168].
Figure 33.
(a) Vacuum thermal decomposition process, (b) Schematic diagram of vacuum laser irradiation equipment (c) SiO2 stable region and quality [169].
However, since metals and oxygen are collected in a gaseous environment, the gaseous metals must be condensed immediately before recombining with oxygen, and continuously expelled from the system to maintain the vacuum state of the reaction process. In terms of material selection, Figure 33b presents the schematic diagram of vacuum laser irradiation equipment used by Li to heat lunar regolith simulants to the required temperature. Their experiments revealed that the energy required for thermal decomposition of silica into oxygen and silicon is greater than that for other magnesium and iron oxides in the regolith. Using SiO2 as the raw material, laser heating induced thermal decomposition in a vacuum, producing SiOₓ (x ranging from 0.12 to 1.74) and O2, with Figure 33c showing the SiO2 stable region and quality [169].
In summary, the MRE process can be widely applied to various types of lunar regolith, and researching more durable electrode materials is key to ensuring the progress of the reaction. It should be noted that during high-temperature melting, volatile compounds in the lunar regolith may release chlorides or metal vapors, which must be purified from the gas stream to ensure a safe supply [170]. Additionally, for the MSE method, oxide powder raw materials require complex pretreatment, including pressing into tiles and sintering into dense oxide bodies. Due to the porosity of the solid metal products, the cell consumes a large amount of electrolyte during this process, thus necessitating the replenishment of significant quantities of salt electrolytes from Earth. The vacuum thermal decomposition method requires heat-resistant materials to sustain the reaction. An important consideration is that all these oxygen-extraction techniques are energy-intensive; for example, maintaining molten regolith electrolysis at ~1600 °C demands substantial power (on the order of tens to hundreds of kWh per kg of O2 produced), making the availability of ample energy on the Moon a critical factor for their viability. Research and development of alternative ISRU processes for extracting oxygen from lunar regolith remain a crucial and relevant area for future lunar exploration.
4.2.3. Extraction of Fibers, and Various Metals
Silicon is one of the most abundant elements in lunar soil, mostly existing in the form of silicates. Utilizing these silicon materials, construction materials such as concrete, ceramics, and other structural materials can be produced for building lunar bases [91,171]. One process for silicon production involves heating lunar regolith in the presence of reductants like fluorine, which replaces the oxygen in silicates, producing silicon in the form of silicon tetrafluoride. Additionally, plasma deposition and chemical vapor deposition techniques are also used to produce pure silicon for solar cell applications [171]. Another method for silicon production typically involves carbothermal reduction of silicates at heating temperatures around 2000 °C, melting silicates to a purity level of 98% [171]. Moreover, Tucker has developed the FFC electrolysis method, extracting metallurgical grade silicon (purity > 99%) with significantly lower energy consumption [171,172].
On the lunar surface, the energy density of solar radiation is about 1370 W/m2, compared to 950 W/m2 on Earth. Today, purified silicon is widely used in solar cells due to its semiconductor properties, making solar energy conversion and application the most critical in-situ energy acquisition solution for future lunar exploration missions [173]. High-purity solar-grade silicon is typically achieved through a series of complex chemical processes, with the conversion from metallurgical-grade silicon to solar-grade silicon starting with the Siemens process, which involves treating silicon particles with HCl at 300 °C to produce trichlorosilane (SiHCl3) [174,175]:
Repeat distillation to produce solar-grade trichlorosilane, which is then reduced with hydrogen at 1150 °C to silicon and deposited:
Solar cells do not require electronic-grade silicon; metallurgical-grade silicon can be manufactured with extensive further processing. While 0.1% metal purity suffices for most applications, solar cells require extremely high purity, with solar-grade silicon having a purity of 99.9999% (100 ppm impurities) [171]. However, achieving and maintaining a chemical reduction temperature of 1150 °C on the lunar surface presents significant technical and economic challenges due to the high energy demand and the need for advanced thermal insulation in a vacuum environment, making its practical feasibility uncertain at present. Manufacturing solar-grade silicon on the Moon will be quite a challenge.
Lunar soil contains a significant amount of metal oxides. The extraction of these metals is crucial for lunar construction, scientific experiments, in-situ manufacturing, and the ultimate goal of human habitation on the Moon. Previously discussed was the process of extracting water by reducing FeTiO3 with H2, which also yields Fe. Additionally, both the MSE and vacuum thermal decomposition methods can extract metals from lunar soil while extracting oxygen. Other methods are also available.
Carbothermal reduction is an effective method for extracting metals on the lunar surface. This method uses carbon as fuel and a reductant to reduce metal oxides to metals at high temperatures. Sen et al. achieved metal extraction and refinement by heating a mixture of lunar regolith simulant and graphite powder to about 1500 °C [170]. Balasubramaniam et al. discussed a chemical transformation model of the carbothermal method to assess productivity. Their model assumes that when methane contacts the molten surface of lunar regolith particles, it pyrolyzes into elemental carbon and hydrogen. The deposited carbon particles then mix with the molten lunar regolith and react with metal oxides to reduce them [158]. However, the model simplifies certain physical and chemical aspects, such as the complex gas–liquid–solid interactions, possible methane bypass without full pyrolysis, and the influence of regolith composition on reaction kinetics. Therefore, while the assumption is reasonable for estimating reaction feasibility and yields, its predictive accuracy in actual lunar conditions will require experimental verification in relevant environments.
The process, as shown in the Figure 34, involves mixing lunar soil with a reductant (carbon powder), compressing the mixture into briquettes, and then heating for carbothermal reduction. Additionally, engineering experience from steel metallurgy can be leveraged, with the resulting slag and steel byproducts being used for lunar infrastructure [154,158,170]. In the process of reducing ilmenite, carbon is a more efficient reductant than H2. Methane (CH4) can also be used as a reductant to reduce simulated lunar minerals rich in SiO2, FeO, Fe2O3, Al2O3, MgO, and TiO2 to produce metals and O2 [154]. During carbothermal reduction, the carbon reductant may be deposited onto lunar soil particles or lost due to carbide formation. Although lunar soil contains carbon from solar wind implantation, its mass fraction is only 2 × 10−4, insufficient for the reaction. Therefore, additional carbon reductant must be transported from Earth or mined on the Moon [157]. Furthermore, during metal extraction via carbothermal reduction, carbon loss in the form of CH4 accounts for 8% of the total mass. Thus, carbon must be regenerated or recycled from discarded slag [160].
Figure 34.
(a) Carbothermal reduction process. (b) Balasubramaniam’s chemical model. The ratio of carbon (α) and metal oxide (β) concentrations in the melt and the ratio of carbon monoxide (αβ) production rate versus ratio time (α = β − 1 + λt) [158].
To reduce reductant consumption, Gustafson et al. designed a carbothermal reduction module utilizing concentrated solar energy to process simulated lunar soil. This module was demonstrated at a simulated lunar test site, achieving resource recycling and remaining unaffected by variations in lunar soil mineral composition. The process also yielded other valuable resources, such as iron and silicon [164]. Zhao and Shadman compared the reducing effects of CO and H2 on ilmenite, finding CO more effective at lower temperatures and H2 more effective at higher temperatures [163]. Friedlander proposed using CH4, which could be imported to the Moon as a convenient carrier of carbon and hydrogen due to its relatively high storage density and ease of handling. On the Moon, methane can be converted into carbon dioxide, carbon monoxide, and hydrogen through well-established industrial processes, such as steam reforming or partial oxidation, with the hydrogen then available for water electrolysis or other reactions [165]. CH4 is a more potent gaseous carbon reductant than H2 and can be fully recycled through catalytic reforming, methanation, and other closed-loop processes.
Basalt fibers were developed by the Moscow Glass and Plastics Research Institute in 1953–1954, a high-tech fiber invented by the former Soviet Union after 30 years of research and development. The basic cost of basalt fibers varies according to the quality and type of raw materials, production process, and final product characteristics [166]. Their chemical and mechanical properties depend on the composition of the raw materials. Differences in composition and element concentration also lead to various differences in thermal and chemical stability, with suitable concentrations providing good mechanical and physical properties [168]. On Earth, basalt fibers are widely used as composite material matrices, such as in the construction industry, bridge industry, and concrete structural components. Continuous basalt fibers are expected to replace metal supports, not only improving structural mechanical properties, ductility, and high-temperature resistance but also addressing corrosion resistance issues of traditional materials [167].
A large amount of basalt has been detected in lunar soil, making the manufacture of basalt fibers crucial for lunar construction, in-situ manufacturing, environmental control, life support, and achieving the ultimate goal of human habitation on the Moon. As shown in the Figure 35, Xing et al. designed a two-step method for preparing continuous lunar soil fibers. Their raw material was a lunar soil simulant (CSA-1), and they produced continuous fibers with tensile strengths up to approximately 1400 MPa [173,174,175]. Becker et al. further developed the concept of fiber spinning facilities for large-scale in-situ preparation and application of fibers on the Moon [172]. Guo et al. proposed utilizing lunar soil to manufacture high-performance fibers and applying them as multifunctional materials for constructing lunar bases [175].
Figure 35.
(a) Schematic diagram of the preparation method of continuous lunar soil fiber, (b) Actual picture [173,174,175].
In summary, the above discussion covered in-situ utilization methods for lunar mineral resources, including ilmenite hydrogen reduction, electrolytic reduction, molten salt electrolysis, and vacuum thermal decomposition techniques for extracting water and oxygen, as well as carbothermal reduction and electrolytic reduction techniques for extracting metals, and methods for producing fibers using lunar basalt. The application of these technologies can provide the necessary water, oxygen, metals, and fibers for lunar base construction, space technology, and life support systems, thereby offering essential in-situ resource replenishment for future manned lunar missions. However, the implementation of all these processes will require considerable energy input (for heating, chemical reactions, and power-intensive equipment); this high energy demand is a critical consideration that must be addressed to ensure the sustainable operation of such ISRU systems on the Moon. In the future, with technological advancements and deeper exploration, these in-situ utilization methods will further develop and improve, offering more possibilities for human long-term exploration and habitation on the Moon.
5. In-Situ Construction of Lunar Bases
The in-situ construction of lunar bases is of great significance for the long-term survival of humans on the Moon. The cost of Earth-Moon transportation is too high, so utilizing lunar resources and local materials for construction is a practical and feasible approach. However, in the near term, a more likely transitional strategy is to leave space vehicles or landers on the lunar surface to serve as pre-bases or initial habitats for human crews, providing shelter and infrastructure before fully developed in-situ construction capabilities become available.
5.1. Lunar Base Construction Models
Based on Duke et al.’s estimates, in the early stages of lunar base infrastructure development, the transportation cost for importing equipment and consumables from Earth is about $130,000 per kilogram [176]. However, more recent launch economics indicate that the cost for delivering payloads to the lunar surface can approach $1 million per kilogram under current mission architectures, particularly for low-volume, high-reliability deliveries. This significant increase highlights the economic challenge of relying on Earth-based supply in the near term, and further reinforces the importance of developing in-situ resource utilization (ISRU) capabilities to reduce dependence on costly imports.
The transportation cost is too expensive, and the construction of lunar bases can only be sustainable and affordable through the utilization of in-situ resources. On this basis, various construction methods utilizing lunar soil have been proposed. Depending on the construction method and materials, the shaping methods applied to lunar soil include lunar soil sintering technology, lunar soil additive manufacturing (AM) technology, and lunar soil ink extrusion printing technology.
5.1.1. Sintering Techniques
Sintering is the process of heating fine grains of metal or ceramic materials to their melting temperature to form a fixed shape. In this process, two heating methods have been developed for lunar soil sintering: microwave sintering and solar sintering.
Microwave sintering is a technology that uses microwave energy to in-situ sinter and melt lunar regolith on the lunar surface. Microwaves are electromagnetic waves with frequencies between 300 MHz and 300 GHz. Compared with traditional heating, microwave sintering has unique advantages such as high efficiency, uniform heating, and energy availability [177,178]. Katz described the application of microwaves in sintering ceramic materials. According to Equation (4), the extent to which a material absorbs microwave energy depends on its dielectric properties (dielectric constant and loss tangent).
P is the power absorbed and converted into heat per unit volume, K = 5.56 × 10−11, f is the microwave radiation frequency, E is the electric field strength, k’ is the relative dielectric constant, and tanδ is the loss tangent. Microwave heating occurs because dipoles in the material tend to align with the electric field. As microwaves pass The dielectric constant in Equation (4) measures the ease with which a material polarizes in an electric field, while the loss tangent quantifies the extent to which electromagnetic energy is absorbed and converted into heat during this process. The dielectric constant and loss tangent of a specific material vary with temperature and microwave frequency. Microwave sintering of lunar regolith requires on the order of ~1–2 kWh per kilogram of material, with experimental ranges from ~1–5 kWh/kg depending on dielectric properties, cavity/frequency, geometry, and thermal losses, consistent with figure-of-merit measurements and lab demonstrations [177].
Due to the limited amount of real lunar soil collected by sample return missions, research has mainly focused on the combination of microwave sintering technology and lunar simulants (such as JSC-1A, JSC-2A, and CLRS-1). Various experiments have demonstrated that the above lunar simulants have good microwave surface heating performance [179,180,181,182,183,184,185]. Compared with lunar simulants, real lunar regolith has excellent microwave coupling. Tylor and Meek conducted microwave sintering experiments with real Apollo 17 soil, and the results showed that the formability and strength of the sintered products were significantly improved [186].
Researchers at the Jet Propulsion Laboratory described conceptual methods to support NASA’s regolith construction studies. However, the high vacuum environment of the Moon can have a considerable impact on the sintering process and the properties of sintered products [187]. Therefore, it is necessary to conduct sintering of lunar regolith under vacuum conditions in the future. Methods for sintering lunar soil by directly collecting and concentrating sunlight on the Moon are also underway. This method does not consume Earth’s energy, has a high energy density, and is low-cost [188].
A solar sintering dust suppression technology has been developed that uses mobile Fresnel lenses to concentrate sunlight onto the surface layer of lunar regolith for sintering treatment [189]. Solar sintering methods have also been explored for potential application in automated forming technology, where concentrated sunlight is combined with 3D printing processes to produce basic bricks, small structural components for on-site construction of micro-truss structures, and interlocking building components using lunar regolith simulants [190,191]. In addition, process parameters for sintering lunar regolith under vacuum conditions have been optimized to achieve improved additive manufacturing results [192]. Compared with microwave sintering treatment, the solar sintering depth of solar concentrators is limited, so its manufacturing time is much longer than that of microwave sintering [189,193,194].
5.1.2. Additive Manufacturing Techniques
Additive manufacturing (AM) techniques of lunar soils, commonly known as three-dimensional (3D) printing, refers to the process of making objects by connecting materials through 3D models. Various complex structures are manufactured by using premixed slurries composed of lunar regolith or lunar regolith simulants and liquid binders as raw materials, which are stacked layer by layer and solidified [195,196]. Additive manufacturing technology has been extensively studied for constructing 3D objects from in-situ lunar regolith, such as the contour crafting process and the D-Shape method.
Contour crafting is a gantry-based 3D printing technology that uses liquid binders to crystallize materials, which are then heated and sintered [197].Materials such as sulfur concrete are extruded onto a nozzle and then smoothed with a robotic trowel to directly construct 3D objects layer by layer [198,199]. A combined construction concept has been developed, as shown in Figure 36, integrating CC—a large-scale 3D printing system known as Contour Crafting—with ATHLETE, the All-Terrain Hex-Limbed Extra-Terrestrial Explorer, to fabricate lunar construction components such as protective covers for habitats, dust walls, and spacecraft landing pads [197]. The CC and ATHLETE systems have been well demonstrated, and their technology is currently considered close to space application readiness levels, with preliminary experiments on sulfur concrete using lunar simulants [198]. Figure 37 provides further structural detail, including the system’s overall configuration, the core structure’s cross-section, and the wall design.
Figure 36.
(a) Gantry printing frame structure diagram, (b) actual image; Lunar outpost.
Figure 37.
(a) structural diagram and (b) core structure cross-section, (c) wall structure diagram [197].
NASA chose the contour crafting process to explore the potential for constructing reliable and rapid lunar infrastructure because it is easy to construct and has no interlayer adhesion issues [200,201]. Ulubeyli proposed using the contour crafting process with 3D printing technology to establish a permanent base on the Moon, employing ground robots for printing tasks, and addressing material preparation and structural issues under vacuum and microgravity conditions [202]. There is also a cement contour crafting (CCC) process, which is a low-energy additive manufacturing method that can bypass the sintering stage and use “lunar cement” to create large, stable structures similar to those used on Earth. NASA, in collaboration with the U.S. Army Corps of Engineers, has developed a technology system called Automated Construction of Mobile Embankments (ACME), which aids in the automatic construction of engineering structures using in-situ materials. It is designed for extraterrestrial applications, using lunar regolith to prepare cement [195,200].
The European Space Agency (ESA), in collaboration with the renowned British architectural firm Foster + Partners (F + P), has developed a 3D printing technology called D-Shape. This technology is being researched for its potential and capability to construct in-situ structures on the lunar surface using lunar regolith as a base material [203,204,205]. D-Shape uses a direct manufacturing technique similar to inkjet printing technology to produce three-dimensional objects by layering materials. The manufacturing process includes: first depositing a single layer of sand material, then compacting these layered materials with a heavy roller, followed by applying a chlorinated liquid binder to the layered material according to a predetermined printing path, then curing the bonded layer, and finally repeating this process until the last layer is reached [206].
F + P, based on D-Shape, designed a lunar outpost providing a gantry-based 6 × 6 m printing frame for experimentation. The design concept of the lunar outpost developed by F + P includes a simplified modular system (support module + inflatable core module) and a 3D-printed lunar regolith cover for (micro)meteorite and radiation protectio [204]. The D-Shape method is suitable for large-scale construction in a single process, providing a feasible solution for directly constructing lunar habitat shells of any shape. However, the D-Shape approach still has some drawbacks: first, injecting fluids in low gravity or vacuum is problematic; second, large printers and excess materials (including liquid ink) must be transported from Earth to the Moon, which is costly; additionally, the D-Shape method requires screening lunar regolith to obtain powdery materials [207].
5.1.3. Extrusion Printing Techniques of Lunar Regolith Inks
So far, constructing large structures solely using lunar soil remains impractical. Additionally, common 3D printing methods on the Moon are generally limited by forming processes and material properties, making them insufficient for full application on the lunar surface [208,209]. However, the extrusion printing technology using lunar regolith ink, compared to common 3D printing methods, has a wide range of applications and has therefore attracted significant attention from researchers.
Taylor et al. proposed a method for in-situ construction of infrastructure on the Moon, as shown in the Figure 38. This method uses a honeycomb structure composed of tiny pillars, suitable for manufacturing various load-bearing structural elements, including bricks, blocks, panels, and habitats [190]. As shown in the Figure 39, the manufacturing process involves the extrusion printing technology of lunar soil ink containing JSC-1A lunar regolith simulant powder, followed by sintering. They found that air-sintered micro-trusses have higher relative density, linear shrinkage, and peak compressive strength, while hydrogen-sintered micro-trusses contain metallic iron particles, making them magnetically attractable. This explained the microstructure and mechanical properties of the regolith cellular structures produced from liquid ink containing JSC-1A lunar regolith simulant powder [190].
Figure 38.
Schematic diagram of the 3D fabrication process of lunar regolith cellular structures [190].
Figure 39.
(a) Low-magnification stereograms of microtrusses sintered in air and hydrogen, and optical micrographs of polished cross-sections of struts of microtrusses sintered in air or hydrogen (M: mineral particles constituting microtruss struts, E: pores filled with epoxy resin, P: pores not penetrated by the installed epoxy resin or closed pores within mineral particles), (b) Microtrusses with different relative densities sintered in air at 1100 °C for 4 h and 24 h, (c) Compressive stress-strain curves sintered in hydrogen for 4 h and 24 h [190,208,209,210].
Photocurable resins are excellent modifiers for inks. Liu et al. mixed CLRS-2 lunar soil simulant powder with photocurable resin to prepare printing slurry, demonstrating excellent printability. The samples exhibited an average compressive strength of 428.1 MPa and a flexural strength of 129.5 MPa, surpassing previously reported results. These improved mechanical properties may be due to the smaller average pore diameter and chemical composition. Combining the advantages of additive manufacturing processes, digital light processing manufacturing methods will aid future lunar base construction [210].
5.2. Energy Regeneration at the Lunar Base
For humans to achieve permanent residence on the Moon, in addition to essential survival resources like H2O and O2, one of the biggest challenges for long-term activities on the Moon is the conversion, storage, and utilization of in-situ energy.
In the in-situ utilization of lunar energy, Climent et al. proposed two different systems to generate heat and electricity on the lunar surface [211]. The first system is the Thermal Wadis, a thermal source made from lunar regolith to provide sufficient heat to keep lunar equipment above its minimum operating temperature. Previous research results show that Thermal Wadis can provide enough heat to keep lunar equipment (such as lunar rovers) at a temperature above their minimum operating temperature (around 243 K).
The second system is the thermal energy storage system, which can store energy during the day and run heat engines at night to generate electricity. However, the native lunar regolith has poor characteristics for energy storage and contains elements necessary to be converted into reasonable thermal conductors, indicating a potential for improvement. Currently, the primary way to provide energy for lunar bases is using lunar regolith as a medium for TES. Heat can be stored in solid materials (thermal masses) in a latent form, maintaining high temperatures until the energy is released through reverse mechanisms, which can serve as a source for heating systems [212,213].
The energy stored in lunar regolith can provide temperature control on the Moon and can also be converted into electrical energy. In 2023, a dish-type solar thermal power generation system based on lunar regolith thermal storage was proposed, as shown in Figure 40, which illustrates the schematic diagram of the lunar solar thermal power generation system based on thermal energy storage (TES) [214].
Figure 40.
Schematic diagram of the lunar solar thermal power generation system based on thermal energy storage (TES) [214].
Based on the results shown in Figure 41, the dish-type solar thermal power generation system with lunar regolith thermal energy storage (TES) can supply power continuously and efficiently during both lunar day and night. At night, the TES serves as the heat source for the Stirling cycle while also providing heat to the lunar base, maintaining stable operation for hundreds of hours. The system delivers an average nighttime output of 7.0 kW, with a peak Stirling efficiency of 46.6% and an overall system efficiency of up to 48.0% when generator and thermal conversion factors are considered [214]. This high efficiency benefits from the Moon’s high solar irradiance, the dual role of TES, and the cold space environment, making the system a strong candidate for reliable long-term lunar base power supply.
Figure 41.
(a) Output power and efficiency and system temperature during the lunar day, (b) Output power and efficiency and system temperature during the lunar night [214].
To improve the energy utilization efficiency of lunar regolith, Fereres proposed that using lunar soil for energy generation and storage would not only be useful for future lunar human outposts but could also assist in lunar mining or construction activities during lunar nights. They explored the design of a packed-bed TES system using lunar soil as a storage medium through numerical models [215]. They analyzed landing sites and mission requirements, assessed different heat transfer fluids (HTF) for TES charging and discharging, used other ISRU processes or life support system gases as media (such as H2O and O2), compared raw lunar soil, Earth materials, and processed lunar soil, and discussed different TES integration options. Notsu et al. proposed a method to utilize the extremely low thermal conductivity of lunar regolith for long-duration lunar activities.
The method involves placing heaters at the required depth in the lunar regolith to heat it during the lunar day [216]. Due to the low thermal conductivity of the regolith, the stored heat gradually propagates and raises the surface temperature during the cold lunar night. Notsu created an experimental setup with a smaller time and spatial scale simulating the lunar surface environment and evaluated the feasibility of a passive thermal control method without electricity during the lunar night.
In terms of energy storage, Lu et al. proposed a lunar-based solar thermal energy system, utilizing lunar soil thermal storage to address the issue of continuous energy supply. They conducted performance analysis through finite-time thermodynamics, considering major irreversibilities, and analyzed the factors affecting system output power and efficiency. They found that the thermal storage efficiency of lunar regolith is relatively low due to its high porosity, making it a poor thermal mass material [217]. Hu et al. designed a closed-loop thermal energy storage system using stacked regolith spheres and fuel tanks, and performed numerical analysis of the system’s thermal storage characteristics. They used a porous medium model to simulate the transient temperature profiles of the TER under different regolith sphere diameters and pump pressures, thereby obtaining the thermal storage capacity of the TER [218].
In-situ utilization of lunar regolith for energy conversion and utilization is crucial for long-term human activities on the Moon. According to the above, various energy utilization schemes have been proposed and optimized through numerical simulations and experimental studies. Key issues include improving the thermal storage performance of the regolith, optimizing material parameters to enhance thermoelectric conversion performance, and designing energy utilization payloads adapted to the extreme lunar environment.
5.3. In-Situ Living Ecosystem at the Lunar Base
Long-term exploration on the lunar surface requires substantial life-support supplies, making complete reliance on Earth for lunar transport impractical. Locally addressing the regeneration of oxygen, water, food production, and waste recycling is crucial. Building artificial ecosystems is the most advanced method for in-situ resource utilization and recycling of life-support materials. Utilizing engineering technology and ecological theories to achieve energy flow and material cycles among plant, animal, and microbial units has been widely studied.
Researching the growth and adaptation abilities of plants and microbes in the Moon’s harsh environment provides possibilities for future lunar ecosystems. Lehner et al. proposed leveraging modern advancements and understanding in synthetic biology combined with the concept of ISRU to develop new technological concepts for sustainable exploration and resource development. They demonstrated the ability to store gases (H2, O2, CO2, CH4) produced by bacterial metabolism. Over time, this setup can store significant amounts of gas by-products, which would be beneficial for a permanent lunar base [219].
As one of the core units of the lunar artificial ecosystem, the plant unit requires a large amount of in-situ substrate. Lunar soil can be used as a substrate for plant cultivation; however, its small particle size, low porosity, high bulk density, poor water retention, and lack of organic matter make it unsuitable for plant growth. Wamelink suggested that adding compost and shredded rye leaves could improve plant growth in simulated lunar soil, but the results were not as effective as with Earth soil [220]. NASA researchers conducted plant cultivation experiments using lunar soil samples collected during multiple Apollo missions (Apollo 11, 12, and 17). Results showed that direct use of lunar soil for plant cultivation causes ion stress, leading to significant declines in growth metrics and quality [221]. Therefore, lunar soil needs to be improved to create a substrate similar to Earth’s soil properties for plant cultivation. Adding organic matter and microbes to mimic the biological weathering experienced by Earth soil is the main technical route for improving lunar soil. Kozyrovska proposed the idea of cultivating the first batch of plants in lunar greenhouses, with microbial communities supporting plant growth and development in low-bioavailability substrates like lunar soil [222].
The Lunar One team from Beihang University improved the physical and chemical properties of simulated lunar soil by mixing it with organic solid waste (plant residues, human feces, and microbes). The results showed that solid waste and further fermentation significantly enhanced the bioavailability of the simulated lunar soil, as evidenced by the growth of wheat seedlings [223]. Thorsen et al. proposed modifying lunar regolith to have fertile texture and mimic the properties of Earth soil, enabling the possibility of growing crops in lunar regolith. Experimental results showed that suitably modified lunar regolith combined with additives could support effective crop growth, providing an important food source for long-term lunar missions [224]. There is considerable theoretical support for the feasibility of lunar ecology.
Since the 1960s, Russian researchers have explored cultivating microalgae in artificial ecosystems for oxygen regeneration, later adding plants to the system, significantly improving gas and water regeneration rates [225]. They attempted to establish a system with higher material recycling rates, named BIOS-3, and conducted several manned experiments within it. The results showed that a 63 m2 planting area could meet more than 90% of the gas and water needs [226,227]. Almost simultaneously, Americans began researching artificial ecosystems. In the 1980s, NASA developed the Environmental Control and Life Support System (ECLSS) and proposed advanced life support theories for lunar and Martian base missions [228]. Building on preliminary research, NASA is conducting a series of closed-chamber environmental tests known as the Lunar-Mars Life Support Test Project (LMLSTP), providing data for developing lunar and Martian surface habitats. This experiment involves a closed-loop system capable of recycling air and water and growing crops to provide food for the crew [229]. This experiment involves a closed-loop system capable of recycling air and water and growing crops to provide food for the crew, with an average total water requirement of approximately 3.6–4.0 kg per person per day, most of which can be recovered and reused through the system.
In Europe, the German Aerospace Center has researched the optimal structural design for lunar greenhouse modules, proposing a semi-cylindrical hybrid structure with rigid end caps [230]. Many European countries, research institutions, and companies are collaborating on an alternative micro-ecological life support system known as MELiSSA. Initiated in 1989, MELiSSA consists of multiple compartments: a waste degradation compartment, a photosynthetic heterotrophic food production compartment, a nitrification compartment, a photosynthetic food production compartment, an atmospheric regeneration compartment, and a crew compartment. The aim is to create autonomous habitats, providing astronauts with fresh air, water, and food through continuous microbial recycling of human waste [231,232].
In China, the China Astronaut Research and Training Center established a small ecosystem in 2011 and completed a 30-day short-term manned closed experiment involving two people on 1 December 2012. In 2016, they conducted the “Space 180” experiment involving four crew members over 180 days. The “Space 180” experiment achieved 100% oxygen regeneration, 99% water regeneration, and 70% food regeneration, yielding results in medical and material cycling research [233,234]. In 2014, China conducted its first manned high-closed experiment in Lunar Palace 1, lasting 105 days. Three crew members grew 21 types of grains and vegetables, used biologically treated straw to raise mealworms, and processed all waste within the system, achieving 100% oxygen regeneration, 100% water regeneration, and 55% food regeneration [235].
The “Lunar Palace 365” experiment, as shown in Figure 42, conducted from 10 May 2017 to 15 May 2018, lasted 370 days in the upgraded ground-based BLSS facility “Lunar Palace 1.” As shown in Figure 43a, which presents the carbon dioxide and oxygen content during the experiment, the BLSS maintained O2, CO2, and trace harmful gases within optimal ranges for both crew health and plant growth. The system achieved a material closure degree of 98.2% and demonstrated strong robustness, with rapid self-feedback adjustments minimizing the effects of disturbances. Plant cultivation involved 35 species, including grains, vegetables, and berries, fully meeting 100% of the crew’s plant-based food needs. As shown in Figure 43b, which displays the dry weight of solid waste, the BLSS effectively recycled wastewater, urine, feces, and plant straw, reaching 100% oxygen and water regeneration and 83% food regeneration under the load of four crew members. The recovery rates for urine and solid waste reached 99.7% and 67%, respectively. Figure 43c illustrates the proportion of recycled materials in the total materials, underscoring the BLSS’s capacity to achieve a high level of resource recycling [223,236].
Figure 42.
Schematic diagram of the structure of the Moon Palace No. 1.
Figure 43.
(a) Carbon dioxide and oxygen content during the Moon Palace 365 experiment (370 days), (b) Dry weight of solid waste in the Moon Palace 36 experiment, (c) The proportion of recycled materials in the total materials [223,235,236].
Analog research habitats worldwide are rigorously simulating lunar base conditions to test life support technologies and crew survival in isolation. The EuroMoonMars program, organized under ILEWG, conducts field campaigns at Moon and Mars analogue sites ranging from desert outposts to volcanic caves, aiming to validate habitat systems, extravehicular activity operations, and resource recycling technologies for future lunar colonies [237].
One example is the HI-SEAS facility in Hawaiʻi, a geodesic dome at ~2500 m elevation on Mauna Loa’s slopes that offers a barren volcanic landscape and psychological remoteness akin to an off-world outpost. HI-SEAS crews live in a sealed habitat with an airlock (simulating pressure cycles) and perform EVAs in full spacesuits carrying backpack life-support systems [238]. Originally used for NASA’s multi-month Mars analog missions, HI-SEAS now also hosts ESA-supported EuroMoonMars IMA HI-SEAS (EMMIHS) campaigns—short two-week “lunar mission” simulations focused on testing habitat architecture, robotic operations and radiation shielding under Moon-like conditions [239]. These missions enforce strict resource limits (solar power with battery/fuel-cell backup, periodic water deliveries, composting toilets, minimal crew water use with ~8 min of showers per week, and only freeze-dried food) to mimic the constraints of a lunar outpost.
In parallel, polar research stations like Concordia in Antarctica—nicknamed “White Mars”—enable studies of human survival in closed environments during months-long sunless winters. Concordia’s extreme environment (–30 °C to –60 °C, high altitude) and complete isolation of ~14 crew during winter make it a valuable lunar analog for life support and human factors research [240]. For example, an ESA-developed greywater recycling plant at Concordia (part of the MELiSSA regenerative life support program) recovers ~85% of used water through advanced filtration, drastically reducing resupply needs and demonstrating closed-loop systems crucial for Moon bases.
Insights gained from these analog environments, including advances in water recycling, waste management, and crew health and performance, are playing a key role in shaping the design of future lunar habitats and life-support systems. They ensure that technologies for sustainable living such as air, water, and food regeneration, energy supply, and extravehicular activity protocols are thoroughly tested and validated on Earth before being deployed on the Moon.
6. Conclusions
The lunar environment and in-situ resources utilization will play a critical role in future lunar missions, serving as the foundation for further lunar exploration and the construction of sustainable lunar bases. In summary, the following conclusions can be drawn:
(1) The Moon’s extreme environment offers unique research opportunities, with future research trends expected to focus on utilizing the Moon’s microgravity, radiation, and other special conditions to conduct studies such as crystal growth and biological exposure experiments. These experiments are anticipated to reveal scientific discoveries that are difficult to achieve on Earth, while also laying the groundwork for technological advancements in deep space exploration. Future advancements in thermoelectric generation, especially with thermophotovoltaic and thermomagnetic levitation technologies, hold promise for harnessing the Moon’s temperature variations to power lunar bases efficiently. Lunar magnetic anomalies are becoming a critical tool for mapping subsurface structures and identifying valuable resources like metals and water ice, with magnetic imaging techniques emerging as mainstream methods for resource exploration. Subsurface spaces, such as constant-temperature layers and lava tubes, offer ideal locations for building habitats, providing natural protection from radiation and extreme temperatures. Innovations like the Lunar Underground Habitation System (LUHS) and specialized tunnel boring machines are key to future lunar settlements. These advancements in technology and methodology are bringing sustainable lunar bases and long-term space exploration closer to reality.
(2) The Moon’s unique position offers multiple opportunities for exploration and resource utilization. The far side, free from Earth’s radio interference, enables low-frequency radio astronomy like the FARSIDE project, while the near side supports high-speed laser communication. The Moon’s long day-night cycle allows continuous solar power generation through systems like LunaGrid. Additionally, its stable position makes it ideal for Earth observation platforms, such as the MS-BiSAR radar system, enabling long-term monitoring of Earth’s atmosphere and magnetosphere. These features make the Moon a key platform for future space exploration and Earth science.
(3) Lunar water ice extraction methods vary in effectiveness, with thermal mining emerging as the most promising due to its scalability. This technique, which heats the regolith to sublimate ice and captures vapor in cold traps, is favored for large-scale operations, while heated drilling is suited for deeper or localized deposits. Cryogenic distillation remains a reliable purification method, though adsorption purification offers a more energy-efficient alternative. For storage, cryogenic tanks and ice storage devices are standard, tailored to specific mission needs. Overall, thermal mining, combined with cryogenic storage, is likely to dominate future lunar water extraction efforts.
(4) The extraction of lunar mineral resources plays a vital role in supporting lunar base construction and long-term exploration. For water and oxygen extraction, methods like hydrogen reduction of ilmenite and molten regolith electrolysis (MRE) are key technologies, with MRE achieving up to 37.5% oxygen extraction efficiency at high temperatures. Molten salt electrolysis (MSE) and vacuum thermal decomposition also offer promising approaches for oxygen and metal production. Silicon for solar cells can be produced via carbothermal reduction or the FFC process, while metals can be extracted through carbothermal reduction or electrolysis. Finally, basalt fibers produced from lunar soil are essential for building durable lunar infrastructure. Together, these methods ensure the sustainability of future lunar missions by providing critical in-situ resources.
(5) The in-situ construction of lunar bases leverages local resources to reduce the high cost of transporting equipment and materials from Earth, ensuring long-term survival. Techniques such as lunar soil sintering, additive manufacturing, and ink extrusion allow lunar soil to be transformed into construction materials for base development. Sintering uses microwaves or solar energy to heat lunar soil into structural forms, with microwave sintering being faster but requiring more complex equipment, while solar sintering is energy-efficient but slower. Additive manufacturing (3D printing) creates complex structures by layering mixtures of lunar soil and liquid binders, though it faces challenges with material properties and low-gravity conditions. Future base construction will need to optimize these technologies, along with energy regeneration and ecosystem development, such as lunar soil thermal energy storage, plant cultivation, and life support systems to enable resource recycling and long-term sustainability.
Current studies indicate that multiple lunar water extraction methods are under consideration, including heated drilling, adsorption purification, cryogenic distillation, and thermal mining. Among these, thermal mining —which involves heating the regolith to sublimate ice and capturing the vapor in cold traps—stands out for its relatively high maturity level, simpler mechanical requirements, and scalability for large operations. It has already been tested in Earth-based analog environments and aligns well with the Moon’s vacuum conditions. When paired with cryogenic trapping for long-term storage, it offers a reliable and efficient solution for sustained lunar water supply. Heated drilling remains valuable for deeper or localized deposits, and adsorption-based purification could improve energy efficiency for targeted operations, but these are better suited as complementary techniques in a mixed-technology water acquisition framework.
For oxygen extraction from lunar regolith, several promising methods are being developed, including hydrogen reduction of ilmenite, molten regolith electrolysis (MRE), molten salt electrolysis (MSE), vacuum thermal decomposition, and carbothermal reduction. Hydrogen reduction of ilmenite has the highest current technological readiness and is well suited for early demonstration missions due to its relative simplicity, despite a lower oxygen yield compared to other methods. Over the long term, molten salt electrolysis (MSE) shows the most promise for high-volume, sustainable operations, achieving oxygen extraction efficiencies exceeding 90% in regolith simulant tests while also producing usable metals such as aluminum, titanium, and iron. This dual output significantly enhances its value for integrated resource cycles in a lunar base, supporting both life support and infrastructure development. MRE and vacuum thermal decomposition remain strong candidates for specialized applications where high-temperature operation and rapid processing are feasible.
The in-situ construction of lunar bases focuses on transforming local regolith into building materials to reduce launch mass from Earth and enable self-sufficiency. Current work has validated microwave sintering as the most immediately deployable approach, capable of quickly producing landing pads, radiation shielding, and structural blocks with minimal additional inputs. While microwave sintering requires higher energy and specialized equipment, it offers the advantage of rapid throughput and robustness in the lunar environment. Additive manufacturing (3D printing) using regolith, either with binders or binderless techniques, is rapidly evolving and has the potential to create complex, customized structures such as habitat shells and protective domes. However, it still faces challenges in regolith handling, layer adhesion, and operation under lunar gravity. A phased deployment strategy is most practical: microwave sintering for early infrastructure and site preparation, transitioning to large-scale regolith-based additive manufacturing as technology and operational experience mature.
Considering current technology maturity, resource efficiency, and scalability, the most feasible near-term ISRU implementation would integrate thermal mining for water acquisition, molten salt electrolysis for oxygen and metals, and microwave sintering for initial construction. This combination leverages technologies with the highest readiness levels for deployment within the next decade while also enabling gradual integration of more advanced processes such as large-scale additive manufacturing. The synergy between these techniques ensures that critical consumables (water, oxygen), structural materials, and essential metals can be produced locally, reducing Earth resupply dependency and enabling the establishment of a self-sustaining lunar outpost.
These approaches provide a practical and sustainable foundation for establishing and expanding a permanent human presence on the Moon.
7. Limitation and Future Prospectives
Lunar exploration has attracted significant attention from the global scientific community and space agencies. As we progress toward this goal, recognizing the numerous limitations and challenges is essential. The Moon’s unique environment offers abundant opportunities for scientific research and resource utilization. However, the harsh conditions and technological constraints present significant limitations that cannot be overlooked. The primary limitations and challenges are concentrated in the following areas:
(1) Harsh environment: The Moon’s surface experiences extreme temperature fluctuations. Although these temperature differences can be utilized for thermal energy, they impose strict demands on equipment and materials. Systems must function reliably under such extreme conditions, and prolonged exposure to temperature cycles can lead to material degradation and mechanical component failures. Additionally, the absence of an atmosphere means that external radiation, such as cosmic rays and solar winds, is not effectively shielded, posing risks to both human health and equipment safety.
(2) Limited resources and extraction challenges: Valuable resources such as water ice may exist on the lunar surface and subsurface, but their distribution is uneven, and the technology for extracting and utilizing these resources remains in its early stages. Extracting water, particularly in permanently shadowed regions, requires overcoming extremely low temperatures and challenging terrain. Although extracting oxygen and minerals from lunar soil is considered feasible, current technologies still face significant challenges in terms of efficiency and energy consumption. Achieving self-sufficiency for lunar bases will require substantial improvements in the efficiency and reliability of in-situ resource utilization technologies.
(3) Complexity of infrastructure development: Building long-term habitable bases on the Moon is highly challenging due to the lack of an atmosphere and low gravity. In-situ manufacturing technologies, such as 3D printing, offer potential for locally sourcing construction materials. However, the construction process still faces issues such as lunar dust, uneven terrain, and ensuring the structural integrity of building materials. Additionally, stable energy supply and ecosystem maintenance are critical for the continuous operation of lunar bases, requiring advanced technological support.
(4) Psychological and physiological challenges of long-term missions: Prolonged stays on the Moon will expose astronauts to psychological stress, isolation, and physiological difficulties due to the harsh environment and separation from Earth. The low-gravity environment affects human bone density and muscle function, while prolonged exposure to radiation increases the risk of cancer. These challenges need to be addressed through technological and medical solutions, alongside developing living habits and behavioral norms suited to lunar conditions.
A variety of approaches are transitioning from laboratory demonstrations to prototypes for practical applications, but their maturity varies significantly across application areas. Water extraction approaches such as thermal mining, which uses controlled heating of regolith to sublimate ice for capture in cold traps, have reached relatively high technological readiness due to successful trials in terrestrial analog environments and their compatibility with lunar vacuum conditions. For oxygen and metal production, molten salt electrolysis shows strong long-term potential with high extraction efficiency and dual outputs, although hydrogen reduction of ilmenite remains the most immediately deployable due to its operational simplicity. In construction, microwave sintering of regolith into structural components demonstrates the highest near-term feasibility for producing landing pads, radiation shielding, and foundations, while additive manufacturing offers greater design flexibility for future expansion but still requires advances in material handling and reliability in low-gravity environments. Overall, while individual ISRU and construction methods are at varying stages of readiness, integrating the most mature techniques—thermal mining for water, hydrogen reduction or molten salt electrolysis for oxygen, and microwave sintering for infrastructure—provides a realistic and phased pathway toward establishing a sustainable lunar base within the next decade.
Despite these challenges, the future of lunar exploration remains promising. Advancements in technology will enhance the efficiency of in-situ resource utilization, reducing dependence on Earth and facilitating the long-term self-sufficiency of lunar bases. Progress in energy regeneration systems and closed-loop ecosystems will support sustained human habitation on the Moon. Lunar bases will serve as critical relay stations for deep space exploration, playing a pivotal role in future missions to Mars and beyond. The future may see increased automation in resource extraction and base construction technologies, such as autonomous robots and intelligent systems, reducing the need for human involvement and lowering associated risks and costs. International collaboration will also be essential for lunar exploration, with countries working together to develop resources, share technologies, and accelerate progress toward this significant endeavor.
Author Contributions
Conceptualization, C.W.; methodology, C.W.; software, C.W.; validation, C.W., Y.W. and G.Z.; formal analysis, C.W.; investigation, C.W.; resources, C.W.; data curation, C.W.; writing—original draft preparation, C.W.; writing—review and editing, C.W.; visualization, C.W., Y.W. and L.S.; supervision, G.Z.; project administration, G.Z.; funding acquisition, G.Z. All authors have read and agreed to the published version of the manuscript.
Funding
This research was funded by the National Natural Science Foundation of China (Grant No. 52275454, U2013603) and the Shenzhen Natural Science Foundation (Grant No. JCYJ20220531103614032, JCYJ20220818102409021).
Acknowledgments
The work described in this paper was supported by the National Natural Science Foundation of China and the Shenzhen Natural Science Foundation.
Conflicts of Interest
No conflict of interest exists in this submitted manuscript, and the manuscript is approved by all authors for publication. I would like to declare on behalf of my co-authors that the work described was original research that has not been published previously and is not under consideration for publication elsewhere, in whole or in part.
References
- Launius, R.D. Apollo: A Retrospective Analysis; NASA: Washington, DC, USA, 1994. [Google Scholar]
- Johnson, N.L. Handbook of soviet lunar and planetary exploration. NASA STI/Recon Tech. Rep. A 1979, 80, 24653. [Google Scholar]
- Li, Q.-L.; Zhou, Q.; Liu, Y.; Xiao, Z.; Lin, Y.; Li, J.-H. Two-billion-year-old volcanism on the Moon from Chang’e-5 basalts. Nature 2021, 600, 54–58. [Google Scholar] [CrossRef] [PubMed]
- Jia, Y.; Zou, Y.; Ping, J.; Xue, C.; Yan, J.; Ning, Y. The scientific objectives and payloads of Chang’E− 4 mission. Planet. Space Sci. 2018, 162, 207–215. [Google Scholar] [CrossRef]
- Yue, Z.; Gou, S.; Sun, S.; Yang, W.; Chen, Y.; Wang, Y. Geological context of Chang’e-6 landing area and implications for sample analysis. Innovation 2024, 11, 100663. [Google Scholar] [CrossRef] [PubMed]
- Wang, C.; Jia, Y.; Xue, C.; Lin, Y.; Liu, J.; Fu, X. Scientific objectives and payload configuration of the Chang’E-7 mission. Natl. Sci. Rev. 2024, 3, nwad329. [Google Scholar] [CrossRef]
- Zhang, P.; Dai, W.; Niu, R.; Zhang, G.; Liu, G.; Liu, X. Overview of the Lunar In Situ Resource Utilization Techniques for Future Lunar Missions. Space: Sci. Technol. 2023, 3, 0037. [Google Scholar] [CrossRef]
- Williams, J.-P.; Paige, D.; Greenhagen, B.; Sefton-Nash, E. The global surface temperatures of the Moon as measured by the Diviner Lunar Radiometer Experiment. Icarus 2017, 283, 300–325. [Google Scholar] [CrossRef]
- Heiken, G.; Vaniman, D.; French, B.M. Lunar Sourcebook: A User’s Guide to the Moon; Cup Archive: Cambridge, UK, 1991. [Google Scholar]
- Bills, B.G.; Ferrari, A.J. A harmonic analysis of lunar gravity. J. Geophys. Res. Solid Earth 1980, 85, 1013–1025. [Google Scholar] [CrossRef]
- Pettit, E.; Nicholson, S.B. Lunar radiation and temperatures. Astrophys. J. 1930, 71, 102–135. [Google Scholar] [CrossRef]
- Wimmer-Schweingruber, R.F.; Yu, J.; Böttcher, S.I.; Zhang, S.; Burmeister, S.; Lohf, H. The lunar lander neutron and dosimetry (LND) experiment on Chang’E 4. Space Sci. Rev. 2020, 216, 104. [Google Scholar] [CrossRef]
- Ferl, R.J.; Paul, A.-L. Lunar plant biology—A review of the Apollo era. Astrobiology 2010, 10, 261–274. [Google Scholar] [CrossRef]
- Kato, M.; Sasaki, S.; Tanaka, K.; Iijima, Y.; Takizawa, Y. The Japanese lunar mission SELENE: Science goals and present status. Adv. Space Res. 2008, 42, 294–300. [Google Scholar] [CrossRef]
- Eriksson, A. Growing Plants on the Moon: A Design Concept Pre-Study for the Lunar Equator. Master’s Thesis, Luleå University of Technology, Luleå, Sweden, 2008. [Google Scholar]
- Bowman, R.N.; McKay, C.P.; Kiss, J.Z. Design of Spaceflight Hardware for Plant Growth in a Sealed Habitat for Experiments on the Moon. Gravitational Space Res. 2022, 10, 37–44. [Google Scholar] [CrossRef]
- Medina, F.J.; Manzano, A.; Villacampa, A.; Ciska, M.; Herranz, R. Understanding reduced gravity effects on early plant development before attempting life-support farming in the moon and mars. Front. Astron. Space Sci. 2021, 8, 729154. [Google Scholar] [CrossRef]
- Xie, G.; Yang, J.; Xu, Y.; Zhang, Y.; Qiu, D.; Ding, J. The first biological experiments on the lunar show that low gravity conditions will acclimate to super-freezing. Res. Sq. 2023, preprint. [Google Scholar] [CrossRef]
- Xie, G.; Ding, J.; Zhang, Y.; Ren, M.; Qiu, D.; Wang, X. The first biological experiment on lunar surface for Humankind: Device and results. Acta Astronaut. 2024, 214, 216–223. [Google Scholar] [CrossRef]
- Cappallo, R.J. The Rotation of the Moon. Ph.D. Thesis, Massachusetts Institute of Technology, Cambridge, MA, USA, 1980. [Google Scholar]
- Jani, K.; Loeb, A. Gravitational-wave lunar observatory for cosmology. J. Cosmol. Astropart. Phys. 2021, 2021, 044. [Google Scholar] [CrossRef]
- Carruthers, G.R. Apollo 16 Far-Ultraviolet Camera/Spectrograph: Instrument and Operations. Appl. Opt. 1973, 12, 2501–2508. [Google Scholar] [CrossRef]
- Li, C.; Liu, J.; Ren, X.; Zuo, W.; Tan, X.; Wen, W. The Chang’e 3 mission overview. Space Sci. Rev. 2015, 190, 85–101. [Google Scholar] [CrossRef]
- Nagihara, S.; Kiefer, W.S.; Taylor, P.T.; Williams, D.R.; Nakamura, Y. Examination of the Long-Term Subsurface Warming Observed at the Apollo 15 and 17 Sites Utilizing the Newly Restored Heat Flow Experiment Data From 1975 to 1977. J. Geophys. Res. Planets 2018, 123, 1125–1139. [Google Scholar] [CrossRef]
- Uchida, K.-I.; Takahashi, S.; Harii, K.; Ieda, J.; Koshibae, W.; Ando, K. Observation of the spin Seebeck effect. Nature 2008, 455, 778–781. [Google Scholar] [CrossRef]
- Yuan, D.; Jiang, W.; Sha, A.; Xiao, J.; Wu, W.; Wang, T. Technology method and functional characteristics of road thermoelectric generator system based on Seebeck effect. Appl. Energy 2023, 331, 120459. [Google Scholar] [CrossRef]
- Depeng, R.; Qing, L.; Yingqiao, X. Preliminary Research on the Lunar Base Energy System. J. Deep. Space Explor. 2018, 5, 561–568. [Google Scholar] [CrossRef]
- Heping, X.; Cunbao, L.; Lichegn, S.; Jiaxi, L.; Wei, Y.; Juchang, M. Conceptualization of In-situ Energy Support Technology on the Moon. Adv. Eng. Sci. 2020, 52, 1–9. [Google Scholar] [CrossRef]
- Heping, X.; Guoqing, Z.; Cunbao, L. Scheme of Underground Space Utilization of Lunar Thermostatic Layer. Adv. Eng. Sci. 2020, 52, 1–8. [Google Scholar] [CrossRef]
- Mitchell, D.; Halekas, J.; Lin, R.; Frey, S.; Hood, L.; Acuña, M. Global mapping of lunar crustal magnetic fields by Lunar Prospector. Icarus 2008, 194, 401–409. [Google Scholar] [CrossRef]
- Hemant, K.; Purucker, M.; Sabaka, T. Interpreting magnetic anomaly signatures observed over the nearside lunar mare basins. NLSI Lunar Sci. Conf. 2008, 1415, 2105. [Google Scholar]
- Halekas, J.; Mitchell, D.; Lin, R.; Frey, S.; Hood, L.; Acuna, M. Magnetic Properties of Lunar Geologic Terranes: New Statistical Results. In Proceedings of the Lunar and Planetary Science XXXIII, Houston, TX, USA, 11–15 March 2002; p. 1368. [Google Scholar]
- Dyal, P.; Parkin, C.; Daily, W. Structure of the lunar interior from magnetic field measurements. In Proceedings of the 7th Lunar Science Conference, Houston, TX, USA, 15–19 March 1976; Pergamon Press, Inc.: Elmsford, NY, USA, 1976; Volume 3, pp. 3077–3095. [Google Scholar]
- Shimizu, H.; Matsushima, M.; Takahashi, F.; Shibuya, H.; Tsunakawa, H. Constraint on the lunar core size from electromagnetic sounding based on magnetic field observations by an orbiting satellite. Icarus 2013, 222, 32–43. [Google Scholar] [CrossRef]
- Sonett, C.P.; Smith, B.; Colburn, D.; Schubert, G.; Schwartz, K. The induced magnetic field of the moon: Conductivity profiles and inferred temperature. Proc. Lunar Sci. Conf. 1972, 3, 2309. [Google Scholar]
- Tarduno, J.A.; Cottrell, R.D.; Lawrence, K.; Bono, R.K.; Huang, W.; Johnson, C.L. Absence of a long-lived lunar paleomagnetosphere. Sci. Adv. 2021, 7, eabi7647. [Google Scholar] [CrossRef]
- Popel, S.; Golub’, A.; Kassem, A.; Zelenyi, L. On the Role of Magnetic Fields in the Plasma of Dusty Lunar Exosphere. Plasma Phys. Rep. 2022, 48, 512–517. [Google Scholar] [CrossRef]
- Xianghua, X.; Xingang, L.; Jianxun, R. Numerical analysis of thermal environment of lunar surface. J. Astronaut. 2006, 27, 153–156. [Google Scholar]
- Baiden, G.; Grenier, L.; Blair, B. Lunar underground mining and construction: A terrestrial vision enabling space exploration and commerce. In Proceedings of the 48th AIAA Aerospace Sciences Meeting Including the New Horizons Forum and Aerospace Exposition, Orlando, FL, USA, 4–7 January 2010; p. 1548. [Google Scholar]
- Nedeljković, A. Design of a safe and comfortable underground lunar habitat. In Proceedings of the XVII National Conference of Astronomers of Serbia, Orlando, FL, USA, 4–7 January 2014; pp. 373–374. [Google Scholar]
- Rostami, J.; Dreyer, C.; Blair, B. Lunar tunnel boring machines. In Proceedings of the 16th Biennial International Conference on Engineering, Science, Construction, and Operations in Challenging Environments, Cleveland, OH, USA, 9–12 April 2018; American Society of Civil Engineers: Reston, VA, USA, 2009; pp. 240–252. [Google Scholar]
- Rostami, J.; Dreyer, C.; Duhme, R.; Khorshidi, B. Challenges of designing a Tunnel Boring Machine (TBM) for development of underground structures on the Moon. In Tunnels and Underground Cities. Engineering and Innovation Meet Archaeology, Architecture and Art; CRC Press: Boca Raton, FL, USA, 2020; pp. 4206–4217. [Google Scholar]
- Thangavelautham, J. First Steps Towards the Lunar Ark Concept–Saving Life on Earth from a Future Catastrophe. ASCEND 2021, 2021, 4240. [Google Scholar]
- Biswal, M.M.K.; Das, N.B.; Kumar, R. Conceptual Design of Lunar Underground Habitation System for Advanced Human Civilization on Moon. In Proceedings of the AIAA SCITECH 2022 Forum, San Diego, CA, USA, 3–7 January 2022; p. 2004. [Google Scholar]
- Sidorenkov, N. Synchronization of terrestrial processes with frequencies of the Earth-Moon-Sun system. Astron. Astrophys. Trans. 2017, 30, 249–260. [Google Scholar] [CrossRef]
- Kopal, Z. An Introduction to the Study of the Moon; Springer Science & Business Media: Berlin/Heidelberg, Germany, 2013. [Google Scholar]
- Burns, J.O.; Duric, N.; Johnson, S.; Taylor, G.J. A lunar far-side very low frequency array. arXiv 1989, arXiv:2103.08623. [Google Scholar]
- Swanson, P.N.; Cutts, J.A. Astronomical observatories on the moon. Adv. Space Res. 1994, 262, 123–127. [Google Scholar] [CrossRef]
- Liu, C.-D.; Su, Y.; Zhou, J.-F. An Interference Model for Low Frequency Radio Spectrometer Onboard Chang’e-4 Mission. Radio Sci. 2023, 58, e2022RS007595. [Google Scholar] [CrossRef]
- Zhu, X.-Y.; Su, Y.; Ji, Y.-C.; Zhang, H.-B.; Zhao, B.; Li, J.-D. Ground experiments and performance evaluation of the Low-Frequency Radio Spectrometer onboard the lander of Chang’e-4 mission. Res. Astron. Astrophys. 2021, 21, 116. [Google Scholar] [CrossRef]
- Xu, R.; Li, C.; Yuan, L.; Lv, G.; Xu, S.; Li, F. Lunar Mineralogical Spectrometer on Chang’E-5 Mission. Space Sci. Rev. 2022, 218, 41. [Google Scholar] [CrossRef]
- Burns, J.O. Transformative science from the lunar farside: Observations of the dark ages and exoplanetary systems at low radio frequencies. Philos. Trans. R. Soc. A 2021, 379, 20190564. [Google Scholar] [CrossRef]
- Burns, J.; Hallinan, G.; Chang, T.-C.; Anderson, M.; Bowman, J.; Bradley, R. A lunar farside low radio frequency array for dark ages 21-cm cosmology. arXiv 2021, arXiv:2103.08623. [Google Scholar] [CrossRef]
- Polidan, R.; Burns, J.O.; Ignatiev, A.; Lopez, J. FarView—An in situ manufactured lunar far side radio observatory. Adv. Space Res. 2021, 74, 528–546. [Google Scholar] [CrossRef]
- Bassett, N.; Rapetti, D.; Burns, J.O.; Tauscher, K.; MacDowall, R. Characterizing the radio quiet region behind the lunar farside for low radio frequency experiments. Adv. Space Res. 2020, 66, 1265–1275. [Google Scholar] [CrossRef]
- Song, T.; Ma, J.; Tan, L.; Yu, S.; Ran, Q. Experiment design and development of the lunar laser communication demonstration in USA. Laser Optoelectron. Prog. 2014, 51, 040004. [Google Scholar] [CrossRef]
- Qi, W.; Jing, M.; Liying, T.; Siyuan, Y.; Yuandong, Z. Analysis of Link Characteristics of High-Speed Laser Communication System in Lunar-Ground Link. J. Deep Space Explor. 2019, 6, 537–544. [Google Scholar] [CrossRef]
- Gordon, N.G.; Marsili, D.; Nikas, I.; Boschetti, N. Lasers on the Moon: Recommendations for Pioneering Lunar Communication Infrastructure. IEEE Pervasive Comput. 2023, 22, 19–25. [Google Scholar] [CrossRef]
- Angel, R. Construction and Utilization of Lunar Observatories. Testimony for the Hearing on Lunar Exploration; US Senate Committee on Commerce, Science and Transportation: Washington, DC, USA, 2003. [Google Scholar]
- Angel, R.; Eisenstein, D.; Sivanandam, S.; Worden, S.P.; Burge, J.; Borra, E. A deep-field-infrared observatory near the lunar pole. In Phase 1 Report; Institute for Advanced Study (IAS): Princeton, NJ, USA, 2005. [Google Scholar]
- Silk, J.; Crawford, I.; Elvis, M.; Zarnecki, J. Astronomy from the Moon: The next decades (part 2). Philos. Trans. A Math Phys. Eng. Sci. 2024, 382, 20230079. [Google Scholar] [CrossRef]
- Racca, G.D.; Foing, B.H. SMART-1 Mission. In Encyclopedia of Lunar Science; Cudnik, B., Ed.; Springer International Publishing: Cham, The Netherland, 2023; pp. 1106–1130. [Google Scholar]
- Fleming, S.W.; Barclay, T.; Bell, K.J.; Bianchi, L.; Brasseur, C.E.; Hermes, J.J. A High-Cadence UV-Optical Telescope Suite On The Lunar South Pole. arXiv 2020. [Google Scholar] [CrossRef]
- Benjamin, R.B.S.; Sven, H.; Ivan, K.; Paul, O.C.; Maxim, P.; Anže, S. LuSEE-Night power requirements and power generation strategy. arXiv 2024, arXiv:2407.07173. [Google Scholar]
- Bale, S.D.; Bassett, N.; Burns, J.O.; Jones, J.D.; Goetz, K.; Hellum-Bye, C. LuSEE’Night’: The Lunar Surface Electromagnetics Experiment. arXiv 2023, arXiv:2301.10345 2023. [Google Scholar]
- Tamura, E.; Fried, J.; Herrmann, S.; Connor, P.O.; Raguzin, E.J.; Slosar, A. Design and characterization of the engineering model of the spectrometer onboard LuSEE-Night. Radio Sci. 2024, 59, 1–20. [Google Scholar] [CrossRef]
- Miele, A.; Mancuso, S. Optimal trajectories for earth–moon–earth flight. Acta Astronaut. 2001, 49, 59–71. [Google Scholar] [CrossRef]
- Criswell, D. Lunar Solar Power. IEEE Potentials 2004, 23, 20–25. [Google Scholar] [CrossRef]
- Garcia, R.F. Preliminary design study for a lunar solar power station using local resources. Sol. Energy 2012, 86, 2871–2892. [Google Scholar] [CrossRef]
- Gordon, J.M. Uninterrupted photovoltaic power for lunar colonization without the need for storage. Renew. Energy 2022, 187, 987–994. [Google Scholar] [CrossRef]
- Landreneau, J.; Schricker, L.; MacNeill, J. Plugging in the moon to supply outposts sunk in the lunar night, solar power must come from the south pole. IEEE Spectrum 2023, 60, 46–49. [Google Scholar] [CrossRef]
- Thaikattil, G.J.; Jansen, S.; Deminico, M.; Sinaki, M.Y.; McNatt, J.S.; Peshek, T. Thermal Analysis of Photovoltaic Investigation on the Lunar Surface (PILS). In Space Power System and Component Designs and Operation; Academic Press: Cambridge, MA, USA, 2021; p. 3257. [Google Scholar]
- Mcnatt, J. Photovoltaic Investigation on the Lunar Surface (PILS)–PV Testbed for Lunar Landers. In Proceedings of the 27th Space Photovoltaics Research and Technology Conference, Cleveland, OH, USA, 2–4 August 2022. [Google Scholar]
- Ross, A.K.; Ruppert, S.; Gläser, P.; Elvis, M. Preliminary quantification of the available solar power near the lunar South Pole. Acta Astronaut. 2023, 221, 616–630. [Google Scholar] [CrossRef]
- Gaikwad, R.P. Solar Power Systems for 3D Printing on Lunar Surface Using In Situ Resources Utilization. Master’s Thesis, Carleton University, Ottawa, ON, Canada, 2023. [Google Scholar]
- Liu, Y.; Shen, T.; Lv, X.; Zhang, G.; Wang, C.; Gu, J. Investigation on a lunar energy storage and conversion system based on the in-situ resources utilization. Energy 2023, 268, 126681. [Google Scholar] [CrossRef]
- Guo, H.; Liu, G.; Ding, Y. Moon-based Earth observation: Scientific concept and potential applications. Int. J. Digit. Earth 2018, 11, 546–557. [Google Scholar] [CrossRef]
- Huang, J.; Guo, H.; Liu, G.; Shen, G.; Ye, H.; Deng, Y. Spatio-temporal characteristics for Moon-based Earth observations. Remote Sens. 2020, 12, 2848. [Google Scholar] [CrossRef]
- Pallé, E.; Goode, P.R. The Lunar Terrestrial Observatory: Observing the Earth using photometers on the Moon’s surface. Adv. Space Res. 2009, 43, 1083–1089. [Google Scholar] [CrossRef]
- Moccia, A.; Renga, A. Synthetic aperture radar for earth observation from a lunar base: Performance and potential applications. IEEE Trans. Aerosp. Electron. Syst. 2010, 46, 1034–1051. [Google Scholar] [CrossRef]
- Zhang, K.; Guo, H.; Jiang, D.; Han, C. Analysis of Geometric Characteristics and Coverage for Moon-Based/Spaceborne Bistatic SAR Earth Observation. Remote Sens. 2023, 15, 2151. [Google Scholar] [CrossRef]
- Huadong, G. Earth system observation from space: From scientific satellite to Moonbased platform. J. Remote Sens. 2016, 20, 716–723. [Google Scholar] [CrossRef]
- Wilson, T.; Xiong, X. Planning lunar observations for satellite missions in low-Earth orbit. J. Appl. Remote Sens. 2019, 13, 024513. [Google Scholar] [CrossRef]
- Ana, I.G.D.C.; María, F.; Miguel, C.; Rafael, I.; Restrepo, Q.L.; Shingo, K. The Lunar Ultraviolet Observatory (OUL): Preparatory optical activities and detector. In Space Telescopes and Instrumentation 2024: Ultraviolet to Gamma Ray; SPIE: Washington, DC, USA, 2024; p. 130933X. [Google Scholar]
- Wu, J.; Pallé, E.; Guo, H.; Ding, Y. Long-term trends in albedo as seen from a lunar observatory. Adv. Space Res. 2023, 72, 2109–2117. [Google Scholar] [CrossRef]
- Guo, Y.; Wang, C.; Wei, F.; Sun, T.; Yu, X.; Peng, S. A Lunar-based Soft X-ray Imager (LSXI) for the Earth’s magnetosphere. Sci. China Earth Sci. 2021, 64, 1026–1035. [Google Scholar] [CrossRef]
- Ross, S.; Lo, M. The lunar L1 gateway-portal to the stars and beyond. In Proceedings of the AIAA Space 2001 Conference and Exposition, Albuquerque, NM, USA, 28–30 August 2001; p. 4768. [Google Scholar]
- Zhang, J.; Yu, H.; Dai, H. Overview of Earth-Moon Transfer Trajectory Modeling and Design. CMES-Comput. Model. Eng. Sci. 2023, 135, 5–43. [Google Scholar] [CrossRef]
- Duggan, M.; Engle, J.; Moseman, T.; Simon, X.; Manyapu, K. A crewed lunar lander concept utilizing the SLS, Orion, and the cislunar Deep Space Gateway. In Proceedings of the 2018 IEEE Aerospace Conference, Bozeman, MT, USA, 3–10 March 2018; pp. 1–10. [Google Scholar]
- Sanders, G.B.; Larson, W.E. Progress made in lunar in situ resource utilization under NASA’s exploration technology and development program. J. Aerosp. Eng. 2013, 26, 5–17. [Google Scholar] [CrossRef]
- Anand, M. Lunar Water: A Brief Review. Earth Moon Planets 2010, 107, 65–73. [Google Scholar] [CrossRef]
- Jolliff, B.L.; Wieczorek, M.A.; Shearer, C.K.; Neal, C.R. New Views of the Moon; Walter de Gruyter GmbH & Co KG: Berlin/Heidelberg, Germany, 2018. [Google Scholar]
- Smith, J.; Steele, I. Lunar mineralogy; a heavenly detective story; Part II. Am. Mineral 1976, 61, 1059–1116. [Google Scholar]
- Taylor, L.A.; Mao, H.; Bell, P. Identification of the hydrated iron oxide mineral akaganéite in Apollo 16 lunar rocks. Geology 1974, 2, 429–432. [Google Scholar] [CrossRef]
- S. Taylor, R.; Pieters, C.M.; MacPherson, G.J. Earth-Moon system, planetary science, and lessons learned. Rev. Mineral. Geochem. 2006, 60, 657–704. [Google Scholar] [CrossRef]
- Basilevsky, A.; Abdrakhimov, A.; Dorofeeva, V. Water and other volatiles on the moon: A review. Sol. Syst. Res. 2012, 46, 89–107. [Google Scholar] [CrossRef]
- Lucey, P.G. A lunar waterworld. Science 2009, 326, 531–532. [Google Scholar] [CrossRef]
- Hauri, E.H.; Weinreich, T.; Saal, A.E.; Rutherford, M.C.; Orman, J.A.V. High pre-eruptive water contents preserved in lunar melt inclusions. Science 2011, 333, 213–215. [Google Scholar] [CrossRef]
- Hui, H.; Peslier, A.H.; Zhang, Y.; Neal, C.R. Water in lunar anorthosites and evidence for a wet early Moon. Nat. Geosci. 2013, 6, 177–180. [Google Scholar] [CrossRef]
- Mills, R.; Simon, J.; Alexander, C.; Wang, J.; Hauri, E. Water in alkali feldspar: The effect of rhyolite generation on the lunar hydrogen budget. Geochem. Perspect. Lett. 2017, 3, 115–123. [Google Scholar] [CrossRef]
- Chen, Y.; Zhang, Y.; Liu, Y.; Guan, Y.; Eiler, J.; Stolper, E.M. Water, fluorine, and sulfur concentrations in the lunar mantle. Earth Planet. Sci. Lett. 2015, 427, 37–46. [Google Scholar] [CrossRef]
- Ni, P.; Zhang, Y.; Chen, S.; Gagnon, J. A melt inclusion study on volatile abundances in the lunar mantle. Geochim. Et Cosmochim. Acta 2019, 249, 17–41. [Google Scholar] [CrossRef]
- Öpik, E.; Singer, S. Escape of gases from the moon. J. Geophys. Res. 1960, 65, 3065–3070. [Google Scholar] [CrossRef]
- Davidson, M. The Atmospheres of the Earth and Planets. Ir. Astron. J. 1950, 1, 69. [Google Scholar]
- Anand, M.; Tartèse, R.; Barnes, J.J. Understanding the origin and evolution of water in the Moon through lunar sample studies. Philos. Trans. R. Soc. A Math. Phys. Eng. Sci. 2014, 372, 20130254. [Google Scholar] [CrossRef] [PubMed]
- Watson, K.; Murray, B.; Brown, H. On the possible presence of ice on the Moon. J. Geophys. Res. 1961, 66, 1598–1600. [Google Scholar] [CrossRef]
- Watson, K.; Murray, B.C.; Brown, H. The behavior of volatiles on the lunar surface. J. Geophys. Res. 1961, 66, 3033–3045. [Google Scholar] [CrossRef]
- Nozette, S.; Lichtenberg, C.; Spudis, P.; Bonner, R.; Ort, W.; Malaret, E. The Clementine bistatic radar experiment. Science 1996, 274, 1495–1498. [Google Scholar] [CrossRef]
- Stacy, N.; Campbell, D.; Ford, P. Arecibo radar mapping of the lunar poles: A search for ice deposits. Science 1997, 276, 1527–1530. [Google Scholar] [CrossRef]
- Weidenschilling, S. The possibility of ice on the Moon. Science 1997, 278, 144–145. [Google Scholar] [CrossRef]
- Feldman, W.C.; Maurice, S.; Binder, A.; Barraclough, B.; Elphic, R.; Lawrence, D. Fluxes of fast and epithermal neutrons from Lunar Prospector: Evidence for water ice at the lunar poles. Science 1998, 281, 1496–1500. [Google Scholar] [CrossRef]
- Goldstein, D.B.; Nerem, R.S.; Barker, E.S.; Austin, J.V.; Binder, A.B.; Feldman, W.C. Impacting Lunar Prospector in a cold trap to detect water ice. Geophys. Res. Lett. 1999, 26, 1653–1656. [Google Scholar] [CrossRef]
- Feldman, W.; Lawrence, D.; Elphic, R.; Barraclough, B.; Maurice, S.; Genetay, I. Polar hydrogen deposits on the Moon. J. Geophys. Res. Planets 2000, 105, 4175–4195. [Google Scholar] [CrossRef]
- Mitrofanov, I.G.; Sanin, A.B.; Boynton, W.; Chin, G.; Garvin, J.; Golovin, D. Hydrogen mapping of the lunar south pole using the LRO neutron detector experiment LEND. Science 2010, 330, 483–486. [Google Scholar] [CrossRef]
- Gladstone, G.R.; Hurley, D.M.; Retherford, K.D.; Feldman, P.D.; Pryor, W.R.; Chaufray, J.-Y. LRO-LAMP observations of the LCROSS impact plume. Science 2010, 330, 472–476. [Google Scholar] [CrossRef] [PubMed]
- Marmie, J. LCROSS: Lunar CRater Observation and Sensing Satellite Project. In Proceedings of the 29th Annual Internatoinal Space Development Conference, Chicago, IL, USA, 27–31 May 2010. [Google Scholar]
- Colaprete, A.; Schultz, P.; Heldmann, J.; Wooden, D.; Shirley, M.; Ennico, K. Detection of water in the LCROSS ejecta plume. Science 2010, 330, 463–468. [Google Scholar] [CrossRef] [PubMed]
- Pieters, C.M.; Goswami, J.; Clark, R.; Annadurai, M.; Boardman, J.; Buratti, B. Character and spatial distribution of OH/H2O on the surface of the Moon seen by M3 on Chandrayaan-1. Science 2009, 326, 568–572. [Google Scholar] [CrossRef] [PubMed]
- Clark, R.N. Detection of adsorbed water and hydroxyl on the Moon. Science 2009, 326, 562–564. [Google Scholar] [CrossRef]
- Spudis, P.D.; Bussey, D.; Baloga, S.; Butler, B.; Carl, D.; Carter, L.M. Initial results for the north pole of the Moon from Mini-SAR, Chandrayaan-1 mission. Geophys. Res. Lett. 2010, 37, L06204. [Google Scholar] [CrossRef]
- Li, S.; Lucey, P.G.; Milliken, R.E.; Hayne, P.O.; Fisher, E.; Williams, J.-P. Direct evidence of surface exposed water ice in the lunar polar regions. Proc. Natl. Acad. Sci. USA 2018, 115, 8907–8912. [Google Scholar] [CrossRef]
- Honniball, C.; Lucey, P.; Li, S.; Shenoy, S.; Orlando, T.; Hibbitts, C. Molecular water detected on the sunlit Moon by SOFIA. Nat. Astron. 2021, 5, 121–127. [Google Scholar] [CrossRef]
- Wasilewski, T.G. Lunar thermal mining: Phase change interface movement, production decline and implications for systems engineering. Planet. Space Sci. 2021, 199, 105199. [Google Scholar] [CrossRef]
- Sowers, G.F.; Dreyer, C.B. Ice mining in lunar permanently shadowed regions. New Space 2019, 7, 235–244. [Google Scholar] [CrossRef]
- Zacny, K.; Metzger, P.; Luczek, K.; Mantovani, J.; Mueller, R.P.; Spring, J. The world is not enough (WINE): Harvesting local resources for eternal exploration of space. Aiaa Space 2016, 2016, 5279. [Google Scholar]
- Zacny, K.; Luczek, K.; Paz, A.; Hedlund, M. Planetary volatiles extractor (PVEx) for in situ resource utilization (ISRU). In Proceedings of the 15th Biennial ASCE Conference on Engineering, Science, Construction, and Operations in Challenging Environments, Orlando, FL, USA, 11–15 April 2016; American Society of Civil Engineers Reston: Reston, VA, USA, 2016; pp. 378–390. [Google Scholar]
- Lee, K.-L.; Tarau, C.; Truong, Q.; Rokkam, S.; Williams, H.; Bergman, D. Thermal management system for lunar ice miners. In Proceedings of the 50th International Conference on Environmental Systems, Altadena, CA, USA, 12–15 July 2021. [Google Scholar]
- Biswas, J.; Sheridan, S.; Pitcher, C.; Richter, L.; Reganaz, M.; Barber, S. Searching for potential ice-rich mining sites on the Moon with the Lunar Volatiles Scout. Planet. Space Sci. 2020, 181, 104826. [Google Scholar] [CrossRef]
- Chao, W.; Xiaojing, Z.; Wei, Y. Reseach prospects of lunar polar water ice resource in-situ utilization. J. Deep. Space Explor. 2020, 7, 241–247. [Google Scholar] [CrossRef]
- He, L.; Wang, C.; Zhang, G.; Pang, Y.; Yao, W. A novel auger-based system for extraterrestrial in-situ water resource extraction. Icarus 2021, 367, 114552. [Google Scholar] [CrossRef]
- Holquist, J.; Pasadilla, P.; Bower, C.; Tewes, P.; Kelsey, L.; Cognata, T. Analysis of a cold trap as a purification step for lunar water processing. In Proceedings of the 2020 International Conference on Environmental Systems, Sydney, Australia, 12–16 July 2020. [Google Scholar]
- Fegley, B.; Swindle, T.D. Lunar volatiles: Implications for lunar resource utilization. Resour. Near-Earth Space 1993, 10, 367–426. [Google Scholar]
- Lide, D.R. CRC Handbook of Chemistry and Physics; CRC press: Boca Raton, FL, USA, 2004. [Google Scholar]
- Schlüter, L.; Cowley, A.; Pennec, Y.; Roux, M. Gas purification for oxygen extraction from lunar regolith. Acta Astronaut. 2021, 179, 371–381. [Google Scholar] [CrossRef]
- Boul, P.; Lange, K.; Conger, B.; Anderson, M. Distillation designs for the lunar surface. In Proceedings of the 40th International Conference on Environmental Systems, Barcelona, Spain, 11–15 July 2010; p. 6150. [Google Scholar]
- Zhang, B.X.; Chui, T.C. Low temperature engineering applied to lunar in-situ resource utilization. AIP Conf. Proc. Am. Inst. Phys. 2006, 823, 1523–1529. [Google Scholar]
- Scholes, C.A.; Stevens, G.W.; Kentish, S.E. Membrane gas separation applications in natural gas processing. Fuel 2012, 96, 15–28. [Google Scholar] [CrossRef]
- Gerhartz, W. Ullmann’s Encyclopedia of Industrial Chemistry; Wiley-Vch: Weinheim, Germany, 1988. [Google Scholar]
- DallBauman, L.; Finn, J.E. Adsorption processes in spacecraft environmental control and life support systems. Stud. Surf. Sci. Catal. 1999, 120, 455–471. [Google Scholar] [CrossRef]
- Berg, J.; Iannetti, A.; Hasseeb, H. Experimental Configuration and Preliminary Results of Testing a Rapid Cycle Adsorption Pump for Martian CO2 Acquisition. In Proceedings of the International Conference on Environmental Systems (ICES) 2019, Cleveland, OH, USA, 7–11 July 2019. [Google Scholar]
- Gustafson, R.; Rice, E. Lunar polar ice-Methods for mining the new resource for exploration. In Proceedings of the 37th Aerospace Sciences Meeting and Exhibit, Reno, NV, USA, 11–14 January 1999; p. 850. [Google Scholar]
- Kohout, L.L. Cryogenic reactant storage for lunar base regenerative fuel cells. In Proceedings of the International Conference on Space Power, Madrid, Spain, 2–6 October 1989. [Google Scholar]
- Wieczorek, M.A.; Weiss, B.P.; Stewart, S.T. An impactor origin for lunar magnetic anomalies. Science 2012, 335, 1212–1215. [Google Scholar] [CrossRef]
- Schwandt, C.; Hamilton, J.A.; Fray, D.J.; Crawford, I.A. The production of oxygen and metal from lunar regolith. Planet. Space Sci. 2012, 74, 49–56. [Google Scholar] [CrossRef]
- Shervais, J.W.; Taylor, L.A.; Lindstrom, M.M. Apollo 14 mare basalts: Petrology and geochemistry of clasts from consortium breccia 14321. J. Geophys. Res. Solid Earth 1985, 90, C375–C395. [Google Scholar] [CrossRef]
- Silberberg, R.; Tsao, C.; Adams, J.A., Jr.; Letaw, J.R. Radiation transport of cosmic ray nuclei in lunar material and radiation doses. In Lunar Bases and Space Activities of the 21st Century; The Lunar and Planetary Institute: Houston, TX, USA, 1985; p. 663. [Google Scholar]
- Schrunk, D.; Sharpe, B.; Cooper, B.L.; Thangavelu, M. The Moon: Resources, Future Development and Settlement; Springer Science & Business Media: Berlin/Heidelberg, Germany, 2007. [Google Scholar]
- Greenhagen, B.T.; Lucey, P.G.; Wyatt, M.B.; Glotch, T.D.; Allen, C.C.; Arnold, J.A. Global silicate mineralogy of the Moon from the Diviner Lunar Radiometer. Science 2010, 329, 1507–1509. [Google Scholar] [CrossRef] [PubMed]
- Bogatikov, O.; Gorshkov, A.; Mokhov, A.; Kartashov, P.; Ashikhmina, N.; Magazina, L. New finds of native metals in a lunar regolith from the Crises Sea. In Doklady Earth Sciences; Pleiades Publishing, Ltd.: British Virgin Islands, UK, 2002; pp. 83–85. [Google Scholar]
- Li, Z.; Guo, L. Research on the technology of lunar in-situ resource utilization. Space Int. 2017, 11, 44. [Google Scholar]
- Sargeant, H.M. Water from Lunar Regolith: Reduction by Hydrogen for a Small-Scale Demonstration of In Situ Resource Utilisation for the Moon. Ph.D. Thesis, Open University (United Kingdom), Milton Keynes, UK, 2020. [Google Scholar]
- Sargeant, H.M.; Barber, S.J.; Anand, M.; Abernethy, F.A.; Sheridan, S.; Wright, I. Hydrogen reduction of lunar samples in a static system for a water production demonstration on the Moon. Planet. Space Sci. 2021, 205, 105287. [Google Scholar] [CrossRef]
- Sargeant, H.; Abernethy, F.; Anand, M.; Barber, S.; Landsberg, P.; Sheridan, S. Feasibility studies for hydrogen reduction of ilmenite in a static system for use as an ISRU demonstration on the lunar surface. Planet. Space Sci. 2020, 180, 104759. [Google Scholar] [CrossRef]
- Mendell, W.W. Lunar Bases and Space Activities of the 21st Century; Lunar and Planetary Institute: Houston, TX, USA, 1985. [Google Scholar]
- Kesterke, D.G. Electrowinning of Oxygen from Silicate Rocks; US Department of Interior: Washington, DC, USA; Bureau of Mines: Washington, DC, USA, 1971. [Google Scholar]
- Schreiner, S.S.; Sibille, L.; Dominguez, J.A.; Hoffman, J.A. A parametric sizing model for Molten Regolith Electrolysis reactors to produce oxygen on the Moon. Adv. Space Res. 2016, 57, 1585–1603. [Google Scholar] [CrossRef]
- Haskin, L.; Warren, P. Lunar chemistry. In Lunar Sourcebook; Cambridge University Press: Cambridge, UK, 1991; pp. 357–474. [Google Scholar]
- Balasubramaniam, R.; Gokoglu, S.; Hegde, U. The reduction of lunar regolith by carbothermal processing using methane. Int. J. Miner. Process. 2010, 96, 54–61. [Google Scholar] [CrossRef]
- Papike, J.; Simon, S.; Laul, J. The lunar regolith: Chemistry, mineralogy, and petrology. Rev. Geophys. 1982, 20, 761–826. [Google Scholar] [CrossRef]
- Mueller, R.P.; Townsend, I.; Ivan, I.; Mantovani, J.G. Pneumatic regolith transfer systems for in situ resource utilization. In Earth and Space 2010: Engineering, Science, Construction, and Operations in Challenging Environments; The American Society of Civil Engineers (ASCE): Reston, VA, USA, 2010; pp. 1353–1363. [Google Scholar]
- Deutscher, E.V. Slag Atlas, 2nd ed.; Stahleisen, V., Ed., Stahlinstitut VDEh: Düsseldorf, Germany, 1995. [Google Scholar]
- Haskin, L. Lunar Oxygen and Metal for Use in Near-Earth Space—Magma Electrolysis; University of Arizona Press: Tucson, Arizona, 1990. [Google Scholar]
- Zhao, Y.; Shadman, F. Reaction engineering for materials processing in space: Reduction of ilmenite by hydrogen and carbon monoxide. In Resources of Near-Earth Space; University of Arizona Press: Tucson, Arizona, 1991; Volume 12. [Google Scholar]
- Gustafson, R.; White, B.; Fidler, M.; Muscatello, A. Demonstrating the solar carbothermal reduction of lunar regolith to produce oxygen. In Proceedings of the 48th AIAA Aerospace Sciences Meeting Including the New Horizons Forum and Aerospace Exposition, Orlando, FL, USA, 4–7 January 2010; p. 1163. [Google Scholar]
- Friedlander, H.N. An analysis of alternate hydrogen sources for lunar manufacture. In Lunar Bases and Space Activities of the 21st Century; Lunar and Planetary Institute: Houston, TX, USA, 1985; p. 611. [Google Scholar]
- Morova, N. Investigation of usability of basalt fibers in hot mix asphalt concrete. Constr. Build. Mater. 2013, 47, 175–180. [Google Scholar] [CrossRef]
- Fiore, V.; Scalici, T.; Di Bella, G.; Valenza, A. A review on basalt fibre and its composites. Compos. Part B Eng. 2015, 74, 74–94. [Google Scholar] [CrossRef]
- Tychanicz-Kwiecień, M.; Wilk, J.; Gil, P. Review of High-Temperature Thermal Insulation Materials. J. Thermophys. Heat Transf. 2018, 33, 271–284. [Google Scholar] [CrossRef]
- Li, C.; Wei, K.; Li, Y.; Ma, W.; Zhao, S.; Yu, H. Theoretical calculation and experimental verification of the vacuum thermal decomposition process of lunar silicon oxide. Vacuum 2022, 202, 111162. [Google Scholar] [CrossRef]
- Sen, S.; Ray, C.S.; Reddy, R.G. Processing of lunar soil simulant for space exploration applications. Mater. Sci. Eng. A 2005, 413, 592–597. [Google Scholar] [CrossRef]
- Tucker, D.S.; Ethridge, E.; Curreri, P. Glass Fiber Processing for the Moon/Mars Program; Center Director’s Discretionary Fund Final Report; National Aeronautics and Space Administration (NASA): Washington, DC, USA, 1992. [Google Scholar]
- Becker, T.; Lüking, A.; Meinert, T.; Panajotovic, S.; Romero, J. Moonfibre-fibres from lunar regolith. MoonFibre. Res. Gate, 2019; preprint. [Google Scholar]
- Ma, P.; Liang, C.; Xi, X.; Chen, T.; Wang, R.; Gu, Y. Study on the feasibility of preparing a continuous fibre using lunar soil simulant. Sci. Sin. Technol. 2020, 50, 1625–1633. [Google Scholar] [CrossRef]
- Zheng, Y.; Wang, S.; Ouyang, Z.; Zou, Y.; Liu, J.; Li, C. CAS-1 lunar soil simulant. Adv. Space Res. 2009, 43, 448–454. [Google Scholar] [CrossRef]
- Guo, Z.-S.; Xing, D.; Xi, X.-Y.; Yue, X.; Liang, C.-G.; Hao, B. Production of fibres from lunar soil: Feasibility, applicability and future perspectives. Adv. Fiber Mater. 2022, 4, 923–937. [Google Scholar] [CrossRef]
- Duke, M.B.; Blair, B.R.; Diaz, J. Lunar resource utilization: Implications for commerce and exploration. Adv. Space Res. 2003, 31, 2413–2419. [Google Scholar] [CrossRef]
- Srivastava, V.; Lim, S.; Anand, M. Microwave processing of lunar soil for supporting longer-term surface exploration on the Moon. Space Policy 2016, 37, 92–96. [Google Scholar] [CrossRef]
- Imhof, B.; Urbina, D.; Weiss, P.; Sperl, M.; Hoheneder, W.; Waclavicek, R. Advancing solar sintering for building a base on the Moon. In Proceedings of the 68th International Astronautical Congress (IAC), Adelaide, Australia, 25–29 September 2017; pp. 25–29. [Google Scholar]
- Howe, A.S.; Wilcox, B.; Barmatz, M.; Voecks, G. ATHLETE as a mobile ISRU and regolith construction platform. In Proceedings of the 15th Biennial ASCE Conference on Engineering, Science, Construction, and Operations in Challenging Environments, Orlando, FL, USA, 11–15 April 2016; American Society of Civil Engineers Reston: Reston, VA, USA, 2016; pp. 560–575. [Google Scholar]
- Zhou, C.; Tang, H.; Li, X.; Zeng, X.; Yu, W.; Mo, B. Effects of ilmenite on the properties of microwave-sintered lunar regolith simulant. J. Aerosp. Eng. 2021, 34, 06021006. [Google Scholar] [CrossRef]
- Fateri, M.; Cowley, A.; Kolbe, M.; Garcia, O.; Sperl, M.; Cristoforetti, S. Localized microwave thermal posttreatment of sintered samples of lunar simulant. J. Aerosp. Eng. 2019, 32, 04019051. [Google Scholar] [CrossRef]
- Mueller, R.P.; Howe, S.; Kochmann, D.; Ali, H.; Andersen, C.; Burgoyne, H. Automated additive construction (AAC) for earth and space using in situ resources. In Proceedings of the 15th Biennial ASCE Conference on Engineering, Science, Construction, and Operations in Challenging Environments, Orlando, FL, USA, 11–15 April 2016; American Society of Civil Engineers Reston: Reston, VA, USA, 2016; pp. 354–377. [Google Scholar]
- Lim, S.; Anand, M. Space Architecture technology for settlement and exploration on other planetary bodies–In-Situ Resource Utilisation (ISRU) based structures on the Moon. In Proceedings of the EU-Korea Conference on Science and Technology (EKC 2014), Vienna, Austria, 23–25 July 2014. [Google Scholar]
- Barmatz, M.; Steinfeld, D.; Anderson, M.; Winterhalter, D. 3D microwave print head approach for processing lunar and mars regolith. In Proceedings of the 45th Annual Lunar and Planetary Science Conference, The Woodland, TX, USA, 17–22 March 2014; p. 1137. [Google Scholar]
- Allan, S.M.; Merritt, B.J.; Griffin, B.F.; Hintze, P.E.; Shulman, H.S. High-temperature microwave dielectric properties and processing of JSC-1AC lunar simulant. J. Aerosp. Eng. 2013, 26, 874–881. [Google Scholar] [CrossRef]
- Taylor, L.A.; Meek, T.T. Microwave sintering of lunar soil: Properties, theory, and practice. J. Aerosp. Eng. 2005, 18, 188–196. [Google Scholar] [CrossRef]
- Meurisse, A.; Beltzung, J.; Kolbe, M.; Cowley, A.; Sperl, M. Influence of mineral composition on sintering lunar regolith. J. Aerosp. Eng. 2017, 30, 04017014. [Google Scholar] [CrossRef]
- Ellery, A. Leveraging in situ resources for lunar base construction. Can. J. Civ. Eng. 2022, 49, 657–674. [Google Scholar] [CrossRef]
- Hintze, P.; Curran, J.; Back, T. Lunar surface stabilization via sintering or the use of heat cured polymers. In Proceedings of the 47th AIAA Aerospace Sciences Meeting Including the New Horizons Forum and Aerospace Exposition, Orlando, FL, USA, 5–8 January 2009; p. 1015. [Google Scholar]
- Taylor, S.L.; Jakus, A.E.; Koube, K.D.; Ibeh, A.J.; Geisendorfer, N.R.; Shah, R.N. Sintering of micro-trusses created by extrusion-3D-printing of lunar regolith inks. Acta Astronaut. 2018, 143, 1–8. [Google Scholar] [CrossRef]
- Meurisse, A.; Makaya, A.; Willsch, C.; Sperl, M. Solar 3D printing of lunar regolith. Acta Astronaut. 2018, 152, 800–810. [Google Scholar] [CrossRef]
- Fateri, M.; Meurisse, A.; Sperl, M.; Urbina, D.; Madakashira, H.K.; Govindaraj, S. Solar sintering for lunar additive manufacturing. J. Aerosp. Eng. 2019, 32, 04019101. [Google Scholar] [CrossRef]
- Allan, S.; Braunstein, J.; Baranova, I.; Vandervoort, N.; Fall, M.; Shulman, H. Computational modeling and experimental microwave processing of JSC-1A lunar simulant. J. Aerosp. Eng. 2013, 26, 143–151. [Google Scholar] [CrossRef]
- Hintze, P.E.; Quintana, S. Building a lunar or martian launch pad with in situ materials: Recent laboratory and field studies. J. Aerosp. Eng. 2013, 26, 134–142. [Google Scholar] [CrossRef]
- Khoshnevis, B.; Bodiford, M.; Burks, K.; Ethridge, E.; Tucker, D.; Kim, W. Lunar Contour Crafting-A Novel Technique for ISRU-Based Habitat Development. In Proceedings of the 43rd AIAA Aerospace Sciences Meeting and Exhibit, Reno, NV, USA, 10–13 January 2005; p. 538. [Google Scholar]
- Travitzky, N.; Bonet, A.; Dermeik, B.; Fey, T.; Filbert-Demut, I.; Schlier, L. Additive manufacturing of ceramic-based materials. Adv. Eng. Mater. 2014, 16, 729–754. [Google Scholar] [CrossRef]
- Lim, S.; Prabhu, V.L.; Anand, M.; Taylor, L.A. Extra-terrestrial construction processes–Advancements, opportunities and challenges. Adv. Space Res. 2017, 60, 1413–1429. [Google Scholar] [CrossRef]
- Khoshnevis, B.; Hwang, D.; Yao, K.T.; Yeh, Z. Mega-scale fabrication by Contour Crafting. Int. J. Ind. Syst. Eng. 2006, 1, 301–302. [Google Scholar] [CrossRef]
- Leach, N.; Carlson, A.; Khoshnevis, B.; Thangavelu, M. Robotic construction by contour crafting: The case of lunar construction. Int. J. Archit. Comput. 2012, 10, 423–438. [Google Scholar] [CrossRef]
- Mueller, R.P.; Fikes, J.C.; Case, M.P.; Khoshnevis, B.; Fiske, M.R.; Edmunson, J.E. Additive Construction with Mobile Emplacement (ACME); International Astronautical Federation (IAF): Paris, France, 2017. [Google Scholar]
- Khoshnevis, B.; Carlson, A.; Leach, N.; Thangavelu, M. Contour crafting simulation plan for lunar settlement infrastructure buildup. In Earth and Space 2012: Engineering, Science, Construction, and Operations in Challenging Environments; American Society of Civil Engineers: Washington, DC, USA, 2012; pp. 1458–1467. [Google Scholar]
- Ulubeyli, S. Lunar shelter construction issues: The state-of-the-art towards 3D printing technologies. Acta Astronaut. 2022, 195, 318–343. [Google Scholar] [CrossRef]
- Smith, P.; Mortati, M. Commons people: Additive manufacturing enabled collaborative commons production (by design). Int. J. Rapid Manuf. 2017, 6, 197–213. [Google Scholar] [CrossRef]
- Cesaretti, G.; Dini, E.; De Kestelier, X.; Colla, V.; Pambaguian, L. Building components for an outpost on the Lunar soil by means of a novel 3D printing technology. Acta Astronaut. 2014, 93, 430–450. [Google Scholar] [CrossRef]
- Ceccanti, F.; Dini, E.; De Kestelier, X.; Colla, V.; Priami, L. 3D printing technology for a moon outpost exploiting lunar soil. In Proceedings of the 61th International Astronautical Congress IAC 2010, International Astronautical Federation, Prague, Czech Republic, 27 September–1 October 2010; pp. 8812–8820. [Google Scholar]
- Lim, S.; Buswell, R.A.; Le, T.T.; Austin, S.A.; Gibb, A.G.; Thorpe, T. Developments in construction-scale additive manufacturing processes. Autom. Constr. 2012, 21, 262–268. [Google Scholar] [CrossRef]
- Isachenkov, M.; Chugunov, S.; Akhatov, I.; Shishkovsky, I. Regolith-based additive manufacturing for sustainable development of lunar infrastructure–An overview. Acta Astronaut. 2021, 180, 650–678. [Google Scholar] [CrossRef]
- Wilhelm, S.; Curbach, M. Review of possible mineral materials and production techniques for a building material on the moon. Struct. Concr. 2014, 15, 419–428. [Google Scholar] [CrossRef]
- Williams, C.B.; Cochran, J.K.; Rosen, D.W. Additive manufacturing of metallic cellular materials via three-dimensional printing. Int. J. Adv. Manuf. Technol. 2011, 53, 231–239. [Google Scholar] [CrossRef]
- Liu, M.; Tang, W.; Duan, W.; Li, S.; Dou, R.; Wang, G. Digital light processing of lunar regolith structures with high mechanical properties. Ceram. Int. 2019, 45, 5829–5836. [Google Scholar] [CrossRef]
- Climent, B.; Torroba, O.; González-Cinca, R.; Ramachandran, N.; Griffin, M.D. Heat storage and electricity generation in the Moon during the lunar night. Acta Astronaut. 2014, 93, 352–358. [Google Scholar] [CrossRef]
- Balasubramaniam, R.; Gokoglu, S.; Sacksteder, K.; Wegeng, R.; Suzuki, N. Analysis of solar-heated thermal wadis to support extended-duration lunar exploration. J. Thermophys. Heat Transf. 2011, 25, 130–139. [Google Scholar] [CrossRef]
- Wegeng, R.; Humble, P.; Sanders, J.; Feier, I.; Pestak, C. Thermal energy storage and power generation for the manned outpost using processed lunar regolith as thermal mass materials. In Proceedings of the AIAA SPACE 2009 Conference & Exposition, Pasadena, CA, USA, 14–17 September 2009; p. 6534. [Google Scholar]
- Li, X.; Li, R.; Hu, L.; Zhu, S.; Zhang, Y.; Cui, X. Performance analysis of a dish solar thermal power system with lunar regolith heat storage for continuous energy supply of lunar base. Energy 2023, 263, 126139. [Google Scholar] [CrossRef]
- Fereres, S.; Escario, S.; Prieto, C.; Rosa, S.D.L. Regolith packed bed thermal energy storage for lunar night survival. In Proceedings of the 2019 European Space Power Conference, Juan-les-Pins, France, 30 September–4 October 2019; pp. 1–7. [Google Scholar]
- Notsu, R.; Nagano, H.; Ogawa, H. Conceptual verification of lunar long-duration method by using high-heat-storage-capability of regolith. J. Thermophys. Heat Transf. 2015, 29, 65–73. [Google Scholar] [CrossRef]
- Lu, X.; Ma, R.; Wang, C.; Yao, W. Performance analysis of a lunar based solar thermal power system with regolith thermal storage. Energy 2016, 107, 227–233. [Google Scholar] [CrossRef]
- Hu, D.-H.; Li, M.; Li, Q. Numerical analysis of thermal storage characteristics of stacked lunar regolith spheres. Appl. Therm. Eng. 2021, 188, 116617. [Google Scholar] [CrossRef]
- Lehner, B.A.; Schlechten, J.; Filosa, A.; Pou, A.C.; Mazzotta, D.; Spina, F. End-to-end mission design for microbial ISRU activities as preparation for a moon village. Acta Astronaut. 2019, 162, 216–226. [Google Scholar] [CrossRef]
- Wamelink, G.; Frissel, J.; Krijnen, W.; Verwoert, M. Crop growth and viability of seeds on Mars and Moon soil simulants. Open Agric. 2019, 4, 509–516. [Google Scholar] [CrossRef]
- Paul, A.-L.; Elardo, S.M.; Ferl, R. Plants grown in Apollo lunar regolith present stress-associated transcriptomes that inform prospects for lunar exploration. Commun. Biol. 2022, 5, 382. [Google Scholar] [CrossRef]
- Kozyrovska, N.; Lutvynenko, T.; Korniichuk, O.; Kovalchuk, M.; Voznyuk, T.; Kononuchenko, O. Growing pioneer plants for a lunar base. Adv. Space Res. 2006, 37, 93–99. [Google Scholar] [CrossRef]
- Yao, Z.; Feng, J.; Liu, H. Bioweathering improvement of lunar soil simulant improves the cultivated wheat’s seedling length. Acta Astronaut. 2022, 193, 1–8. [Google Scholar] [CrossRef]
- Thorsen, A.; Petollari, S.; Debrezion, S.; Thabit-Yousef, S.; Eeds, A. Growth of Four different Crop Species in Supplemented Loamy Lunar Regolith. J. Stud. Res. 2023, 12, 1–3. [Google Scholar] [CrossRef]
- Salisbury, F.B.; Gitelson, J.I.; Lisovsky, G.M. Bios-3: Siberian experiments in bioregenerative life support. BioScience 1997, 47, 575–585. [Google Scholar] [CrossRef]
- Gribovskaya, I.; Kudenko, Y.A.; Gitelson, J. Element exchange in a water-and gas-closed biological life support system. Adv. Space Res. 1997, 20, 2045–2048. [Google Scholar] [CrossRef]
- Gitelson, I.; Terskov, I.; Kovrov, B.; Lisovskii, G.; Okladnikov, Y.N.; Sid’Ko, F.Y. Long-term experiments on man’s stay in biological life-support system. Adv. Space Res. 1989, 9, 65–71. [Google Scholar] [CrossRef]
- Henninger, D.; Tri, T.; Packham, N. NASA’s advanced life support systems human-rated test facility. Adv. Space Res. 1996, 18, 223–232. [Google Scholar] [CrossRef]
- Kloeris, V.; Vodovotz, Y.; Bye, L.; Stiller, C.Q.; Lane, E. Design and implementation of a vegetarian food system for a closed chamber test. Life Support Biosph. Sci. 1998, 5, 231–242. [Google Scholar] [PubMed]
- Vrakking, V.R.; Guo, J.; Schubert, D. Design of a deployable structure for a lunar greenhouse module. In Proceedings of the 43rd International Conference on Environmental Systems, Vail, CO, USA, 14–18 July 2013; p. 3352. [Google Scholar]
- Walker, J.; Granjou, C. MELiSSA the minimal biosphere: Human life, waste and refuge in deep space. Futures 2017, 92, 59–69. [Google Scholar] [CrossRef]
- Fulget, N.; Poughon, L.; Richalet, J.; Lasseur, C. MELISSA: Global control strategy of the artificial ecosystem by using first principles models of the compartments. Adv. Space Res. 1999, 24, 397–405. [Google Scholar] [CrossRef] [PubMed]
- Li, T.; Zhang, L.; Ai, W.; Dong, W.; Yu, Q. A modified MBR system with post advanced purification for domestic water supply system in 180-day CELSS: Construction, pollutant removal and water allocation. J. Environ. Manag. 2018, 222, 37–43. [Google Scholar] [CrossRef]
- Xu, Z.; Yu, Q.; Zhang, L.; Xiong, J.; Ai, W.; Qu, L. Overview of 4-person 180-day integrated experiment in controlled ecological life support system. Space Med. Med. Eng. 2018, 31, 264–272. [Google Scholar]
- Fu, Y.; Li, L.; Xie, B.; Dong, C.; Wang, M.; Jia, B. How to establish a bioregenerative life support system for long-term crewed missions to the moon or Mars. Astrobiology 2016, 16, 925–936. [Google Scholar] [CrossRef]
- Fu, Y.; Yi, Z.; Du, Y.; Liu, H.; Xie, B.; Liu, H. Establishment of a closed artificial ecosystem to ensure human long-term survival on the moon. BioRxiv 2021, 12, 426282. [Google Scholar] [CrossRef]
- Musilova, M.; Foing, B.; Beniest, A.; Rogers, H. EuroMoonMars IMA at HI-SEAS campaigns in 2019: An overview of the analog missions, upgrades to the mission operations and protocols. In Proceedings of the 51st Lunar and Planetary Science Conference, The Woodlands, TX, USA, 16–20 March 2020; Harvard Press: Cambridge, MA, USA, 2020. [Google Scholar]
- Anderson, A.P.; Fellows, A.M.; Binsted, K.A.; Hegel, M.T.; Buckey, J.C. Autonomous, computer-based behavioral health countermeasure evaluation at HI-SEAS Mars analog. Aerosp. Med. Hum. Perform. 2016, 87, 912–920. [Google Scholar] [CrossRef]
- Mahnert, A.; Verseux, C.; Schwendner, P.; Koskinen, K.; Kumpitsch, C.; Blohs, M. Microbiome dynamics during the HI-SEAS IV mission, and implications for future crewed missions beyond Earth. Microbiome 2021, 9, 27. [Google Scholar] [CrossRef]
- Van Ombergen, A.; Rossiter, A.; Ngo-Anh, T.J. ‘White Mars’—Nearly two decades of biomedical research at the Antarctic Concordia station. Exp. Physiol. 2021, 106, 6–17. [Google Scholar] [CrossRef]
Disclaimer/Publisher’s Note: The statements, opinions and data contained in all publications are solely those of the individual author(s) and contributor(s) and not of MDPI and/or the editor(s). MDPI and/or the editor(s) disclaim responsibility for any injury to people or property resulting from any ideas, methods, instructions or products referred to in the content. |
© 2025 by the authors. Licensee MDPI, Basel, Switzerland. This article is an open access article distributed under the terms and conditions of the Creative Commons Attribution (CC BY) license (https://creativecommons.org/licenses/by/4.0/).















































