Abstract
The first detection of gravitational waves from the binary black merger GW150914 started the era of gravitational astronomy. The observation of the binary neutron star merger GW170817 and of its associated electromagnetic counterpart GRB 170817A started multi-messenger gravitational astronomy. This short review discusses the discovery of GW170817 and the follow-up of the electromagnetic counterpart, together with the broad range of results in astrophysics and fundamental physics, including the Gamma-Ray Burst field. The GW170817/GRB 170817A observation showed that binary neutron star mergers can explain at least a fraction of short Gamma-Ray Bursts. The optical and infrared evolution of the associated AT 2017gfo transient showed that binary neutron star mergers are sites of r-process nucleo-synthesis. The combination of gravitational and electromagnetic observations has been used to estimate the Hubble parameter, the speed of gravitational waves, and the equation of state of nuclear matter. The increasing sensitivity of interferometric detectors and the forthcoming operation of third generation detectors will lead to an improved statistics of binary neutron star mergers.
1. Introduction
On 14 September 2015 09:50:45 UTC, at the beginning of the O1 observing run, the two Advanced LIGO interferometers [1] performed the first direct detection of a gravitational wave (GW) from the merger of two black holes (BHs), GW150914 [2], starting gravitational astronomy. The number of detected mergers is steadily increasing; at the end of the O3 run, there were 90 candidates, mostly binary black holes [3]. Historically, the first claimed detection with resonant detectors by [4] was not confirmed by later experiments with improved sensitivities [5].
The O2 observing run (November 2016-August 2017) included the two Advanced LIGO interferometers and Advanced Virgo [6], enabling the first three-detector detection [7]. The GW170817 event on 2017 August 17 during the O2 run was the first observation of a binary neutron star (BNS) merger with gravitational waves [8], accompanied by the detection of a weak short Gamma Ray Burst (sGRB) in spatial coincidence, GRB 170817A [9,10,11], about 1.7 s after the merger, in the first detection of an electromagnetic counterpart of a gravitational wave event. A multi-messenger follow-up campaign was promptly started [12], discovering an optical/near infrared transient, AT 2017gfo, in the galaxy NGC 4993, at a distance consistent with the luminosity distance of the merger, about 40 Mpc. The transient evolution could be explained with a kilonova [13,14,15,16,17], a transient with a peak luminosity of ∼1041–1042 erg s−1, three orders of magnitude brighter than a nova. The radiation from a kilonova is produced by the radioactive decay of high mass material produced in r-process nucleo-synthesis.
The physics of BNS mergers has been discussed by several authors [14,18,19,20,21,22,23,24,25,26,27]. Binary neutron star mergers and neutron star-black hole (NSBH) mergers had been suggested as possible progenitors of short GRBs [14,28,29], whose duration is smaller than 2 s [29,30,31,32]. The classification of GRBs into short and long ones is based on the duration distribution [31,33] and the measured redshifts of the host galaxies [29]. Short GRBs are associated with older stellar populations, with the offsets in their host galaxies suggesting a connection to BNS mergers [34,35,36,37]; in addition, there are no supernovae associated with the short GRBs [38,39,40,41,42,43,44,45,46]. Long GRBs are associated with the collapse of a massive star or collapsar [47,48,49]. Independently on the duration, all GRBs share some common spectral features, with spectra peaking below MeV energies that could be fit with a broken power law [50], with a few exceptions of spectra at TeV energies [51,52].
The BNS mergers were expected to be accompanied by electromagnetic emission not limited to gamma rays [53,54]. In addition, neutron-rich ejecta from BNS mergers were believed to be a source for r-process nucleo-synthesis [14,15,18,19,53,55,56,57,58,59], whose details had been elusive for a long time. The jet produced in the BNS merger would have to cross the ejecta, which shape its internal structure and the degree of collimation [60,61,62,63,64].
As discussed below, the simultaneous detection of gravitational waves from GW170817/ GRB 170817A was the first in a range of different physics and astrophysics aspects: the first gravitational detection of a binary neutron star merger; the first gravitational event with a detected electromagnetic counterpart; the first detection of a kilonova associated to a binary neutron star merger. Due to the intrinsic multi-messenger nature of GW170817, different names have been used for the electromagnetic counterpart: GRB 170817A for the associated gamma ray radiation burst; IAU name AT 2017gfo for the UV-optical-infrared source; SSS17a [65], DLT17ck [66], EM170817 [67], MASTER OTJ130948.10-232253.3 [68].
The link between BNS mergers and sGRBs, the multi-messenger signature of the event, the occurring of a kilonova and the role of r-processes, the progenitors of merging neutron stars, the type of object that was produced in the merger, and the possibility to estimate the Hubble constant using BNS merger were among the open problems before GW170817. The detection of GW170817 and the associated GRB 170817A provided some answers and constrained theoretical models about the merger and the related electromagnetic counterpart, using gravitational wave information combined with the electromagnetic information. In the following, both kinds of observations will be summarized, together with the information they provided, in particular presenting the electromagnetic observations in each band from radio to gamma-rays. It will be shown that at least a part of short GRBs is associated with binary neutron star mergers. Matter expelled in the merger can involve heavy elements in the rapid neutron capture (r-process) nucleo-synthesis: the prediction of the radioactive decay of heavy elements powering a thermal glow, the kilonova [15,53], was confirmed [69]. The merger produced a structured relativistic jet observed off-axis.
The present paper concisely reviews the first astronomical event with simultaneous observation of gravitational waves and electromagnetic radiation, discussing the gravitational detection and the multi-messenger follow-up. Section 2 is an overview of the gravitational observations, while Section 3 summarizes the early multi-messenger observations; Section 4 presents the evolution of the afterglow; Section 5 and Section 6 discuss the impact of GW170817 detection on astrophysics and fundamental physics; and Section 7 presents the open problems and the future prospects.
2. GW170817: The Gravitational Wave Observations
The Advanced LIGO and Advanced Virgo interferometer detected the binary neutron star merger GW170817 on August 17 at 12:41:04 UTC [8] (Figure 1) at a luminosity distance of Mpc, consistent with the distance of the host galaxy NGC 4993 [70,71,72,73,74]. The merger was detected with high significance in the LIGO Hanford and LIGO Livingston interferometers, with a combined signal-to-noise ratio of 32.4 and a false alarm rate smaller than one per 8.0 × years [8], while it was detected with a signal-to-noise ratio of about 2 in the Virgo interferometer, occurring close to the region of null response [8], still providing information about the event localization. Thanks to the presence of three interferometers in the observation network, the 90% localization region was about 28 deg2 [11], much smaller than the typical regions of hundreds to thousands deg2, making follow-up observations easier. The gravitational observations showed that both the range of the total mass of GW170817 system, 2.72 to 3.29 M⊙, and of its components, 0.86 to 2026 M⊙, were consistent with the known masses of neutron stars in binary systems [8].
Figure 1.
Left panel: time–frequency maps of BNS merger GW170817 observed by the LIGO Hanford (top), LIGO Livingston (center) and Virgo (bottom) detectors. Right panel: detection of GRB 170817A, associated with GW170817, by the Fermi-GBM (10–50 keV and 50–300 keV) and INTEGRAL SPI-ACS instruments, and the time–frequency map of GW170817. Adapted from [8,11].
The Fermi-GBM observatory detected the short Gamma-Ray Burst GRB 170817A 1.734 ± 0.054 s later [9]. The INTEGRAL SPI-ACS instrument detected the merger in an off-line analysis after the LIGO-Virgo alert [10]. The prompt electromagnetic observations during the first days after the merger will be briefly summarized here for completeness and will be discussed in detail below. The optical counterpart of GW170817/GRB 170817A, AT 2017gfo, was detected in the elliptical galaxy NGC 4993 10.87 h after the merging by the One-Meter Two-Hemispheres collaboration using the Swope telescope [65,75] and confirmed in the following hours [66,68,76,77,78]. No transient was visible in the images secured four months before the merger [66]. No X-ray or radio counterpart was detected during the first week after the merger [10,79,80,81,82,83]. The X-ray and radio afterglows emerged 9 days [84] and 16 days [81] after the merger. The multi-messenger observations around the epoch and the first days after the GW170817 merger have been reported by [12]. The multi-messenger observations have been instrumental in refining the GW170817 properties, combined with an improved calibration [85], leading to a primary mass in the range (1.36, 1.89) and a secondary mass in the range (1.00, 1.36) , with a total mass of 2. when using a high-spin prior ( 0.7); a low-spin prior ( 0.05) leads to a primary mass in the range (1.36, 1.60) , a secondary mass in the (1.16, 1.36) , and a total mass of 2. [85]. The detection of electromagnetic radiation, together with the mass range of primary and secondary, suggests that at least one of the compact objects was a neutron star. The GW170817 event has been included in the GWTC-1 catalog, leading to = 1., = 1., a distance of Mpc, and a localization region of [86]. The detection of GW170817 enabled estimating a merger rate of and setting limits on the stochastic gravitational wave background [87].
The final product of the merger, the remnant, could be either a neutron star or a black hole; a massive neutron star can also collapse into a black hole [88,89]. The search for post-merger gravitational emission in GW170817 was performed in the kHz region, both on short (sub-second) or intermediate (≤500 s) timescales, with negative results [90,91]. The gravitational observations are consistent with final scenarios ranging from prompt collapse to long-lived or stable remnants [92]. A hypermassive neutron star collapsing into a black hole within one second is favored compared to the prompt collapse to a black hole [93,94,95,96,97,98,99,100]. No evidence for accretion onto a black hole or for spin down of a neutron star has been found [101].
The proximity and the accurate sky localization of GW170817/GRB 170817A have been instrumental for the detection of the electromagnetic counterpart. The number of detected mergers steeply increased during the O3 run (1 April 2019–1 October 2019 and 1 November 2019–27 March 2020), leading to the detection of a total of 90 candidates [3], but so far no other electromagnetic counterpart of a binary neutron star merger or of a neutron star–black hole merger has been detected. A second binary neutron star merger, GW190425, was detected during the O3 run [102], with component masses of 2. and 1. [103], consistent with components being neutron stars, and a total mass, 3. [103], exceeding both the total mass of the most massive Galactic binary pulsar, [104], and the total mass of GW170817, about . For completeness, some Equations of State (EoS) allow neutron star masses as large as [105,106,107]. Compared to GW170817, the sky localization of GW190425, , and the luminosity distance, 0. Gpc, were both much worse. The follow-up campaign [108,109,110,111,112,113,114,115,116,117,118,119,120,121,122,123,124,125,126,127] did not find any counterpart. However, the Anti-Coincidence Shield (ACS) of the SPI gamma-ray spectrometer of INTEGRAL detected the faint Gamma Ray Burst GRB 190425, with a light curve showing a behavior similar to the behavior of GW170817/GRB 170817A [128], but the observation was not confirmed by Fermi-GBM [129]. The Canadian Hydrogen Intensity Mapping Experiment (CHIME) detected a Fast Radio Burst, FRB 20190425A, within the localization region of GW190425 about 2.5 h after the merger [130], with a single galaxy, UGC 10667, consistent with the positions of both the gravitational and radio events [131]. The possible association of the FRB and the merger was ruled out [127], due to the non observation of a bright kilonova. Another reason why the GW190425-FRB 20190425A association is disfavored is the low dispersion measure observed in the FRB [132]. In addition, two neutron star-black hole mergers, with possible electromagnetic emission, have been detected, GW200105 and GW200115 [133], without the detection of any counterpart.
3. GW170817/GRB 170817A/AT 2017gfo/SSS17a: The Early Electromagnetic and Neutrino Follow-Up
The detection of GW170817 and the associated GRB 170817A triggered a worldwide multi-messenger follow-up campaign [12]. The multi-messenger observations of GW170817 and their implications have been extensively reviewed by [134,135,136,137].
3.1. High Energy Observations
The detection of gamma rays by Fermi-GBM [9] and INTEGRAL SPI-ACS [10] at about 1.7 s after the GW170817 merger [11] and in spatial coincidence has a probability of chance coincidence of 5 × [11]. The GRB 170817A signal consists of a fast rising peak of about 0.5 s in both Fermi-GBM [9] and INTEGRAL SPI-ACS [10], followed by a slow tail with a duration of about 2 s [9,10]. The spectrum of the peak can be fitted by a power law with an exponential cut-off point and peak energy = 185 ± 62 keV [9,11]. The softer tail emission can be fitted by a black body with a temperature of 10.3 ± 1.5 keV [9,11]. The peak luminosity, = (1.4 ± 0.5) × erg , and the isotropic equivalent energy = (4.8 ± 0.9) × erg [138], suggest that GRB 170817A is fainter and less energetic than cosmological sGRBs [139,140,141,142,143] (Figure 2). The existence of close sub-luminous SGRB populations had been previously suggested by [144,145].
Figure 2.
Peak energy versus isotropic equivalent energy for GRB 170817A (red cross) and a selection of short GRBs from [138] (blue filled circles.)
The faintness of GRB 170817A can be explained by assuming that it is observed off-axis. Gravitational observations alone constrain the angle of inclination between the total angular momentum of the system and the line of sight to −0.54 [8,9].
GRB 170817A is a special example of a sub-luminous short GRB with known distance. It has been estimated that it could be detectable by GBM up to a distance of 65 Mpc, much closer than the majority of sGRBs with known redshift [9,11,146]; the closest sGRB with an identified host prior to GRB 170817A was GRB 111020A at 81 Mpc, showing of about erg, similar to GRB 170817A [147]. Probably short GRBs with luminosities between GRB 170817A value and the value of other GRBs with known redshift were detected, but not identified [146]. Up-to-date reviews of GRBs have been published by [148,149] in this Special Issue.
After the prompt emission of the GRB, there was no detected gamma-ray excess in the energy range from MeV to TeV in the first days after the merger, according to the observations by Insight-HXMT [150], AGILE [151], CALET [152], Fermi-LAT [153], and H.E.S.S. [154].
3.2. Ultraviolet, Optical, and Infrared Observations
The optical counterpart of GW170817/GRB 170817A, SS17a/AT 2017gfo, was detected in the elliptical galaxy NGC 4993 10.87 h after the merging by the One Meter Two Hemisphere collaboration [65] and confirmed in the following hours by DLT40 [66], VISTA [76], MASTER [68], DECam [77], and Las Cumbres [78]. No optical transient was detected in the archival images secured before the merger [66]. The extensive ultraviolet, optical, and infrared photometric observations have been collected and reviewed by [155], see also individual papers [65,66,67,68,76,77,78,79,84,156,157,158,159,160,161,162,163,164,165,166,167,168,169]. The light curve of AT 2017gfo in different photometric bands covering the first month after the merger, built using the data reported by [155], is reported in Figure 3. The UV and bluer bands showed a faster decline compared to the redder ones [75,79,155,161]. The infrared band peaked at about 3.5 days [65,67,77,157,160,164,166].
Figure 3.
Light curves of AT 2017gfo for a selection of photometric bands: the Swift/UVOT W2, W1, M2; Johnson-Cousins U, B, V, R, I; SDSS g, r, i, z; HST WFPC2 F336W; infrared J, H, . Data credits: [155].
Optical and infrared spectroscopy started at +0.5 d and +1.5 d, respectively [66,67,69,76,84,156,160,161,164,166,170,171,172,173,174,175,176,177]. The optical spectra secured during the first week showed a dominant blue component without any particular feature [66,67,69,76,84,156,160,161,164,166,170,171,172,173,174,175,176,177]. Later the peak of the spectrum moved towards the infrared [66,76,84,164,166,172,175,176,177], with persistent broad features that could be associated with the presence of lanthanide elements [67,76,84,164,166,170]. The Spectral Energy Distribution during the first days was a blackbody. During the first week the transient showed a red color, with a blackbody temperature 2500 K, that had been previously predicted by [57]; the presence of dust was excluded [178]. A set of spectra of AT 2017gfo secured by [176] is presented in Figure 4.
Figure 4.
Spectra of AT 2017gfo in the first days after the merger; data from [176], available at https://kilonova.org/data (accessed on 1 January 2025).
The initial spectra of AT 2017gfo were featureless and with a strong blue component [177]; later spectra showed a peak progressively shifting towards the infrared and the development of broad features related to expansion velocities in the range 0.1 to 0.3 c [76,84,164,166,170,175,176,177]. The spectra did not show any feature typical of supernovae. The prompt photometric and spectroscopic observations can be explained by the kilonova model [14,29,32,56,59,179,180,181,182,183,184]. The brightness of AT 2017gfo can be explained by astrophysical r-processes, that produce a typical abundance pattern with peaks at high atomic masses [185]. The early spectra can be fitted by a kilonova model including lanthanides, confirming that the ejecta were composed of r-process material, whose radioactive decay powered the optical and infrared luminosity [66,67,69,76,77,78,155,160,161,164,166,176]. The estimated amount of r-process-enriched material in the merger ejecta was about , with a speed of 0.1 to 0.3 c [64,66,67,69,76,77,78,155,160,161,164,166,170,172,176,177,186,187]. Combining the above mass with the estimated rate of BNS mergers suggests binary neutron star mergers as the main or only source of r-process elements [155,188].
The detection of UV [79] and blue emission with a color temperature in the range 7000 to 11,000 K [177] in the early stages, together with a steeply declining optical emission, could seem to be in contrast with the lanthanide red pattern. The timescale of the expansion of lanthanide-rich ejecta, with an opacity , is of the order of one week in a red kilonova [56,189,190], while lanthanide-poor ejecta have a smaller opacity (≤) and lead to a blue kilonova with a temperature of ∼10,000 K within two days after the merger [191] In principle, the merger ejecta can contain a spread in the fraction of lanthanides, and the blue and red kilonovae are not mutually exclusive, assuming the presence of a fraction of blue ejecta [155,160,161,175,176,177]. A model including only a blue kilonova underestimates infrared emission and is affected by line blanketing [69]. The blue emission has been explained by considering cocoon emission [64,67,187], considering the cooling of the energy released by the jet in the early stages and the Doppler boosted emission of the cocoon material, a model favored over the shock heating of the ejecta around the remnant [187]. Post merger winds can explain the composition and the high mass of ejecta [191,192,193,194] against the low mass resulting in shock-heated lanthanide-poor ejecta [21,22,24,195].
According to the predictions of the kilonova model [59,196], the jet from the merger was expected to interact with the above outflow during the way to breakout, ending either as a full developed jet or as a choked jet [60,61,62,64,196,197,198,199,200]. Energy dissipation occurred through a wide-angle outflow blending jet and ejecta, the cocoon, or in large angle jet wings around the central core [62].
The intrinsic asymmetry in the ejecta of BNS mergers can in principle produce a detectable optical polarization, at least when blue emission is dominating. The optical polarization of AT 2027gfo has been measured at five epochs [201], with a single detection of a polarization of P = (0.50 ± 0.07)% at the first epoch, 1.46 days after merger, and upper limits at +2.45, 3.47, +5.46, +9.48 d. The propagation in the interstellar medium was the main contributor, with the intrinsic polarization estimated to be below 0.18% [202].
3.3. Radio and X-Ray Observations
Radio and X-ray observations of GRB afterglows are relevant to constrain the energy and the geometry of the outflow and the environment properties [64,196,203,204,205].
After several non detections during the first week, the synchrotron afterglow emerged 9 days after the merger in the X-rays [10,79,82,83,84,206] and 14 days after in the radio [81]. The optical afterglow emerged 109 days after [174].
3.4. Neutrino Observations
Searches for neutrinos associated with GW170817 were performed by different observatories over a broad energy range: – eV in ANTARES, IceCube, AUGER [207]; 3.5 MeV–100 PeV in SuperKamiokande [208]; 1 TeV–100 PeV in Baikal-GVD [209]; above 5 MeV in LVD [210]; above 21 MeV in Baksan [211]. All searches were negative, both using a time window of ±500 s around the merger epoch and in the 14 days after the merger. Early neutrino emission associated with the prompt gamma-ray emission would be related to hadronic mechanisms, while long-lived emission of energetic neutrinos would be consistent with a either a long-lived remnant or a stable remnant, like a magnetar [212].
3.5. The Host Galaxy and the Progenitor
The GW170817 was localized in the early type galaxy NGC 4993 at a projected distance of about 2 kpc from the galaxy center [213], a value consistent with the offset of sGRBs in other galaxies [29,37,214]. The detection of GW170817/GRB 170817A triggered extensive investigations of the environment and the distance of the host galaxy NGC 4993 [73,173,215,216]. NGC 4993 shows a bulge component, concentric shells and dust lanes, hosting an old stellar population with a low Star Formation Rate [217]. The distance of NGC 4993 has been measured after GW170817 using four different methods: heliocentric redshift and Fundamental Plane of galaxies (combined 41.0 ± 3.1 Mpc) [72], fundamental plane (37.7 ± 8.7 Mpc) [73], surface brightness fluctuations (40.7 ± 1.4 ± 1.9 Mpc) [71], Globular Cluster Luminosity Function (41.65 ± 3.00 Mpc) [74].
The formation of close binaries with two neutron stars undergoing merging within a Hubble time involves mass-transfer stages and two core-collapse supernova (SN) explosions [218,219,220]. The supernova explosions are expected to involve an asymmetric collapse, either from an anisotropic explosion or neutrino emission [221,222,223], with the remnant being imparted a kick speed of the order of some hundreds km [224,225,226,227,228,229].
Gravitational observations alone constrained the viewing angle of GW170817 to be below 55 deg, due to the inclination–distance degeneracy [8]. The degeneracy can be broken using an independent distance measurement, combining the recession velocity of the host galaxy NGC 4993 with the value of the Hubble constant estimated by DES, leading to an inclination angle between the orbital angular momentum of the binary and the line of sight smaller than 28 deg [230].
4. The Afterglow
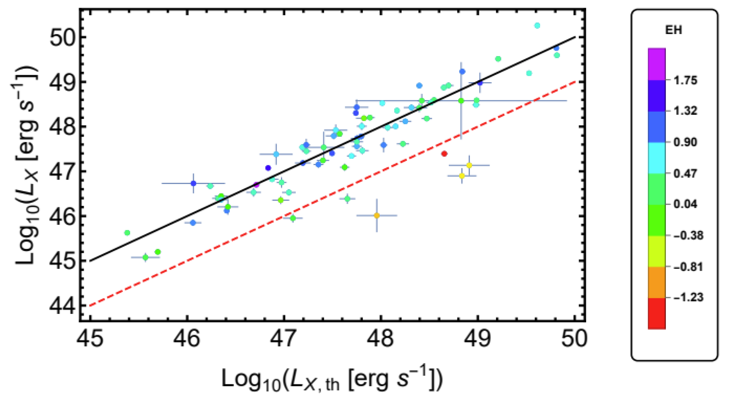
The evolution of GRBs shows a rich pattern of features, including plateaus. Kilonovae are not necessarily associated with short GRBs but have also been observed for long GRBs [231] (a list can be found at the beginning of Section 6). The boundary between the two classes, the duration of 2 s, has been criticized and could be as low as 0.65–0.8 s [232,233]. There are several correlations related to GRBs and their afterglows that can shed light on the nature of GRB 170817A-like events. The Amati relation correlates the estimated total isotropic energies and the GRB redshift [234], see also [142]. The luminosity–time and luminosity–luminosity correlations for the prompt, plateau, and afterglow of Gamma Ray Bursts has been extensively addressed in the Dainotti relations [235,236,237,238,239,240,241,242,243,244,245,246,247,248,249,250,251,252]. The two dimensional correlation between the X-ray luminosity at the end of the plateau phase and the rest frame duration of the plateau [235,236] was further extended with the addition of the high energy 1 s peak luminosity of the prompt phase , establishing the Dainotti relation [242,243]. A three-dimensional correlation for different classes of GRBs was presented in [246]. Using all GRBs with known redshifts detected by the Swift, Fermi, and ground-based optical telescopes, a new relation between the X-ray luminosity at the end of the plateau phase , the time at the end of the X-ray plateau , and the corresponding optical luminosity has been proposed in [252]; using the peak luminosity measured by Fermi-GBM decreased the scatter compared to the correlation obtained for Swift measurements of the corresponding luminosity. A classification of GRBs into the merger and collapsar families had been previously proposed by [253], using the duration, the association with a supernova, the features of the host galaxy, and the environment. Their – diagram, where is the rest frame peak energy and the isotropic equivalent energy emitted during the prompt phase [254], shows separate clustering of the two families. The work by [252] finds that the – diagram of GRBs observed by Fermi shows two evident clusters of data, long GRBs (collapsar origin) following the Amati correlation with > erg and > 2 s and short GRBs (merger origin) above the former cluster and with smaller values of . Following the suggestion of the correlation of the relation residuals with the slope of the plateau by [255] and the energy hardness parameter EH, the rescaled residual of the Amati correlation, by [256], the authors of [252] defined the Plateau Shift parameter PS, the residual of the 3D Dainotti relation, whose numerical coefficients were obtained by fitting the parameters for 61 long GRBs. The observed and predicted Dainotti relation are reported in Figure 5. The majority of sources with greatly overestimated values of , i.e., under the correlation plane, lie in the region of merger events. A group of sources with a small energy hardness parameter lies significantly under the plane of correlation. Several short GRBs cluster at about 2 dex below the Dainotti relation for long GRBs, but some are about 1 dex below and could be produced by neutron star–black hole mergers. GRB 170817A appears as an outlier of both collapsars and mergers, due to the lack of low-luminosity short GRBs in the sample.
Figure 5.
Observed vs. predicted Dainotti relation values, with the EH parameter marked by color; the dashed red line marks the 1 dex offset from the equality line. Image credits: [252].
The Energy Hardness–Plateau Shift diagram shows a clearly defined cluster of points with −0.7 > PS > 0.7 and −0.7 > EH > 0.7, all with > 1s, surrounded by sparse bursts with < 2 s; all GRBs falling significantly under the plane of - - correlation (PS < −1) belong to the merger family. Prompted by closure relationships supporting the energy injection scenario in opposition to the jet ejection and cooling scenario [257], the authors suggested a new model for the GRB plateau based on the Blandford–Znajek mechanism [258], the energy extraction from a quickly rotating black hole via spin down, against the magnetar based model [259]. The model explains several observed features and predicts the plateau luminosity–time anti-correlation [252]. Future gravitational observations may have the potential to discriminate between black hole and magnetar models [260].
The afterglow of GW170817 evolved over long time scales, with the optical, X-ray, and radio fluxes achieving a peak at about 155 days after the merger and slowly declining later [81,82,101,174,206,217,261,262,263,264,265,266,267,268,269,270,271,272,273,274,275,276,277,278,279,280]. The compilation of optical, radio, and X-ray observations during the first thousand days has been presented by [281]. The afterglow evolution shows that the peak occurred at 155 ± 4 days after the merger epoch (Figure 6); the rising and declining parts of the light curve behave as and , respectively [281].
Figure 6.
The afterglow light curve of GW170817 in different bands (radio: 0.67, 1.3–1.6, 3, 5, 6, 7, 10, 15 Ghz; optical data: HST F606W band; X-rays: Chandra, XMM-Newton) covering from +0.5 d to +2440 d after the merger; upper limits not reported. Data credits: [277,278,279,281,282,283], updated data available at https://github.com/kmooley/GW170817/tree/main (accessed on 1 January 2025).
The X-ray and radio data secured one year [275] and about one thousand days after merger [277] supported the evolution of a structured jet and the energy injection by a long-lived central engine. The observations secured 3.5 years after the merger showed a long lasting signal not predicted by the previous jet models [278]. An excess of X-ray emissions was observed 1234 days after the merger, a deviation from the afterglow behavior at earlier times [284], with no detectable 3 GHz radio emission. The observations were consistent with the emerging of a new component [284] and the presence of a high velocity tail in the merger ejecta, which is not consistent the prompt collapse of the merger remnant into a black hole [284]. The radio observations at about 1200 days after the merger did not find any evidence for a late radio re-brightening [285], in contrast to the excess observed at X-ray wavelengths at the same epoch [284]. The observations agree with the predictions from the after-peak decay of the radio afterglow of the GW170817 structured jet [285], suggesting an energy–speed distribution of the kilonova ejecta with an index of about 5 [285]. The possibility of explaining the reported excess flux with a boosted fireball jet model has been proposed by [286]: the excess could coincide with the emission from a counter-jet, but its apparent motion did not match the observed apparent motion measured in the VLBI observations described below [270]. The object is still detectable in deep Chandra observations 7 years after the merger [280]. There is no significant evidence for any new afterglow component, and the light curve decline is shallower than the predictions of synchrotron afterglow jet models with lateral broadening, pointing to an additional energy injection at late epochs [283].
The Very Long Baseline Interferometry (VLBI) observation of the electromagnetic afterglow of GW170817 revealed the presence of a collimated jet [270]. The compact radio source associated with GW170817 exhibits apparent super-luminal motion with = 4.1 ± 0.5 in the observations between 75 days and 230 days after merger, breaking the degeneracy between the choked-jet and successful-jet cocoon models; the late emission was probably dominated by a strongly collimated jet (opening angle less than 5 deg) observed from a viewing angle of about 20 deg. The apparent size of the source has been constrained to be below 2.5 mas in the observations secured at 270 days after the merger [265].
Late infrared observations with Spitzer secured at +43 and +74 days after the merger at 3.6 and 4.5 μm detected the transient at both epochs at 4.5 μm but not at 3.6 μm; the 4.5 μm fluxes were larger than the estimated afterglow contribution [171,287]. There is evidence that the flux decrease between the two epochs is explained by the second and third peaks of r-process elements in the merger ejecta [171], see also [288]. Optical observations secured from 109 to 170 days after merger were consistent with the spectral index in the afterglow light curve [282].
The combination of optical, radio, and X-ray observation of the jet afterglow up to 3.5 years after the merger has provided a measure of the viewing angle of the binary, 30. deg [289].
In the early stages of the afterglow, during the first week, there were no radio or X-ray detections, suggesting that the jet and the line of sight were misaligned. The X-ray and radio observations during the initial rise ruled out both a standard on-axis sGRB and a top-hat off-axis jet [79,81,82,84,174,200,206,261,268,273,290]. The jet structure was weakly constrained by the early afterglow data, not ruling out the presence of slower material within a broader angle [64,265,268,272,276,291,292]. The afterglow emission is consistent with a mildly relativistic wide-angle outflow [64,265,268,272,276,291,292], with a cocoon formed in the interaction between the jet and ejecta [64,290].
5. Impact on Astrophysics and Cosmology
The GW170817/GRB 170817A discovery has triggered a large number of investigations into the properties of neutron stars, tests of General Relativity, estimates of the Hubble constant, and constraints on alternative models of gravity; some of them will be discussed below.
5.1. Neutron Stars Properties
The compact objects undergoing merging in the GW170817 event are neutron stars instead of the more common merging binary black holes. While the early waveform is governed by the chirp mass and later by the mass ratio of the components [293], the properties of the merging objects become more relevant when the object separation is approaching their size [294,295,296]. The key parameter to assess the compactness of the binary components is the dimensionless tidal deformability , which depends on both the mass and the radius of the neutron star, i.e., on its Equation of State (EoS), and is null for a black hole [294,297,298,299,300,301,302,303,304]. The tidal effect was predicted to be observable above about 600 Hz [300,305,306,307,308,309,310,311,312,313,314]. The tidal deformability has been investigated by allowing the deformabilities , of the high and low mass components to vary independently and comparing them with the predictions of a set of Equations of State [105,315,316,317,318], see also [319] for parametrization, that support masses of 2.01 ± . Gravitational observations disfavor EoSs predicting less compact neutron stars, in agreement with the constraint on radius provided by the X-ray observations [320,321,322,323,324]. The gravitational wave phase is governed by the parameter [296,308]:
Gravitational observations alone constrain the tidal deformabilities , of the binary components [8], with additional information provided by the associated electromagnetic emission. A first estimation with minimal assumptions about the nature of the merging objects, produced a mass weighted tidal deformability parameter of the system as ∈ (0, 630) for large component spins ( 0.89) and for low magnitude spins [85], ruling out some of the stiffest EoSs. An additional estimation was performed under the assumption that both merging bodies were neutron stars sharing the same EoS [325], getting a tidal deformability of for a standard EoS, suggesting that softer EoSs are favored over stiff EoSs. Gravitational data combined with EoS unsensitive relations between neutron star properties lead to the estimates of the radii of the heavier and lighter neutron stars as = 10. km and = 10. km. Allowing the EoS to support neutron star masses larger than , consistent with electromagnetic observations, yielded the stronger constrains = 11. km, = 11. km [325]. Other authors have set lower limits on the mass weighted deformability parameter of the system, 300 [326,327].
The gravitational observations of GW170817 alone constrain the maximum neutron star mass to be . However several neutron stars have masses larger than : PSR J0348+0432 (M = 2.) [328]; PSR J0740+6620 (M = 2.) [329]; PSR J0952-0607 (M = 2.) [330], the most massive to date. The gravitational constraints have been combined with electromagnetic observations to estimate a broad range of maximum masses: [93]; 2.15– [95]; 2.16– [331]; 2.01 ± 0.04 to 2. [96]; 2. [332]; 2.49–2.52 [333].
5.2. Cosmology with GW170817/GRB 170817A
Binary neutron star mergers are standard sirens for the determination of Hubble parameter [334], since they do not depend on the astronomical distance ladder, providing in principle a tool to resolve the tension between the Planck measurements [335] and the Cepheid/SN Ia measurements [336]. The topic is addressed in more detail in a companion paper of this Special Issue and will be briefly summarized here [337]. The Hubble constant tension has been extensively addressed by [242,243,245,246,249,250,251,338,339,340,341,342,343,344,345,346,347,348,349,350,351,352,353,354,355,356,357,358,359,360,361].
The joint observation of GW170817 and of its associated counterpart, GRB 170817A/AT 2017gfo, provided the first standard siren for estimating the absolute distance using gravitational information only. The measurement of the Hubble constant combined the distance to the source estimated purely from the gravitational wave signal with the recession velocity estimated in the electromagnetic domain [362]. In this approach, the cosmic distance ladder is not necessary, since the gravitational observations directly provide the luminosity distance. The estimated Hubble constant was km [362], consistent with electromagnetic estimates [363,364] but completely independent from them. The uncertainty on is mainly caused by the degeneracy between the luminosity distance and inclination angle of the binary system [362,365].
5.3. Tests of General Relativity
The measured delay between gravitational radiation and gamma rays, about 1.74 ± 0.05 s, constrained the fractional difference between the speed of light and the speed of gravity to be in the range −3 × to 7 × times the speed of light [11]. The GW170817 merger allowed the testing of strong-field dynamics of compact binaries in presence of matter [366]. A set of bounds were set on a variety of processes: dipole radiation and possible deviations from General Relativity in the post-Newtonian coefficients governing the inspiral stage; modified dispersion of gravitational waves; effects due to large extra dimensions; polarization content [366]. All performed tests are consistent with General Relativity [366]. The constraints on alternative models of gravity will be discussed below.
6. Discussion
GW170817/GRB 170817A/AT 2017gfo is the first and so far unique kilonova detected with gravitational waves and is associated with a short GRB. Kilonovae can be identified also in electromagnetic observations in association with Gamma Ray Bursts, as GRB 130603B [45,184], GRB 050709 [367], GRB 060614 [368,369], GRB 070707 [370], GRB 080503 [371,372], GRB 150101B [373], GRB 181019A [374], GRB 211211A [375], and GRB 230307A [376,377]. While GRB 170817A is a short Gamma Ray Burst, the last three bursts show a short pulse followed by a longer (tens of seconds) tail, with a possible extended emission [378], blurring the traditional classes of short and long GRBs.
The rate of short GRBs is about [379], consistent with the BNS merger rate merger rate of after GW170817 [85] and the range 10 to estimated from the GWTC-3 catalog [380], but higher than the NSBH merger by about one order of magnitude [381,382], suggesting that the NSBH contribution should be very small. The progenitors of low redshift short GRBs have been investigated by [383]. It is expected that formation rate (FR) of long GRBs should be similar to the cosmic star formation rate (SFR), while that of short GRBs is expected to be delayed relative to the star formation rate, as supported by the localization of some long GRBs in or close to star forming regions in the host galaxies and the larger distance of short GRBs from the same regions [383]. The formation rate for long GRBs is significantly larger than SFR at low redshift and close to the FR of short GRBs. The low redshift long GRBs 211211A and 230307A with associated kilonovae do not necessarily have a collapsar origin. About (60 ± 5)% of long GRBs with low redshift could have compact star merger as progenitors, thereby increasing the expected rate of the gravitational and kilonova detections [383].
Additional searches for kilonovae have been performed by optical and infrared surveys without triggers from gravitational waves or GRBs [113,384,385,386,387,388]. Only one object, PS17cke, has been identified a potential kilonova candidate [387]. The rate of kilonovae with luminosity similar to that of AT 2017gfo has been estimated to be < [385], with the caveat that some kilonovae could be fainter than that associated with GW170817.
The detection of GW170817/GRB 170817A/AT 2017gfo and its association with a binary neutron star merger has been discussed by several authors. The possibility of GW170817 being produced by different combinations of neutron stars and white dwarfs has been addressed by [389], who investigated GRB 090510 (BNS merger producing a black hole), GRB 130603B (BNS merger producing a massive neutron star with an associated kilonova), GRB 060614 (white dwarf-neutron star merger producing a massive neutron star with an associated kilonova), and GRB 170817A as a white dwarf-white dwarf merger producing a massive white dwarf with an associated transient emissions. The authors concluded that none of the above systems could support the association and that the association of GRB 170817A with AT 2017gfo suggests a new subclass of GRBs [389].
The delay between gravitational radiation and gamma rays, about 1.74 ± 0.05 s, is dominated by the propagation time of the jet to the gamma-ray production site [390]. An alternative explanation for the time delay between GRB 170817A and GW170817 has been proposed by [391], who suggested that the delay is incompatible with emission from an off-axis relativistic jet, while the prompt emission and the later X-ray and radio observations can fit a giant flare scenario, with a relativistic outflow driven by the intense magnetic field produced by magneto-hydrodynamic amplification. The delay between the gravitational and the GRB signal has been used to set an upper limit on the prompt GRB emission radius [94] and on the possible violations of the Weak Equivalence Principle [392,393]. Different models predicted lags in excess of 10 s, see e.g., [394,395], or the arrival of photons before the merger [396]. At the epoch of detection, some models allowed for time lags above one thousand years [397,398].
The observation of GW170817 has been used to constrain modified theories of gravity (extensive reviews by [399,400]). While in General Relativity the gravitational wave speed is the same as the speed of light, investigations into dark matter and dark energy suggest the possibility that gravity could deviate from General Relativity, at least in some regimes. In particular, some models predict different arrival times of the simultaneously emitted gravitational and photon signals. Among them, the Dark Matter Emulators remove the need for dark matter [401], by having ordinary particles coupling to a different metric from that of gravitational waves. In these models, the time delay between gravitational waves and photons from the same astrophysical source can be appreciable [402]. The joint detection of gravitational and electromagnetic signals has ruled out the class of Dark Matter Emulators [392,393]. The constraints set by GW170817 event and its electromagnetic counterparts have been discussed in the context of different gravity models, e.g., Horndeski, Modified Gravity (MOG), Einstein-Gauss-Bonnet, scalar-tensor [403,404,405,406]. The close values of the speed of gravitational waves and of light in GW170817/GRB 170817A have constrained some dark energy models [407,408,409].
7. Conclusions and Future Prospects
The rates for joint gravitational and electromagnetic detections for binary neutron star mergers are a field of active investigation, given that, to date, GW170817 is the only detection. The recent estimate based on the mergers in the GWTC-3 catalog predicts a merger rate of to [380]. The estimated rate of joint detections in the near future is smaller than one per year [410]. The third generation detectors, Einstein Telescope [411] and Cosmic Explorer [412], will improve the sensitivity by one order of magnitude, with an increase in the statistics of BNS mergers.
A list of open questions and issues about GW170817/GRB 170817A include different aspects of the mergers and of the aftermath.
- -
- The impact of GW170817 on the EoSs and on the maximum mass of neutron stars has been extensively reviewed by [413,414,415], see also [93,327,416,417,418,419,420,421,422,423,424]. The gravitational observations have also been discussed in combination with X-ray observations by Neutron Star Interior Composition Explorer (NICER) and X-ray Multi-Mirror (XMM-Newton) [425,426,427,428,429,430]. It has been suggested that about 10 joint gravitational and electromagnetic detections can constrain the maximum mass and the characteristic radius to the several percent level [431].
- -
- The first optical detection of AT 2027gfo occurred 10.87 h after the merger [65,75]. Early observations with high cadence can allow exploring the evolution and presence of different components. The relevance of high cadence early optical and ultraviolet observations (in the first hours after the merger) has been discussed by [157], pointing to the possible interpretation of the early blue emission and the decline with different models. The missing constraints on the ultraviolet flux during the first hours after merger are consistent with different cooling mechanisms [157].
- -
- The late afterglow of the event is of great interest, since it can show the presence of excess X-ray radiation. In addition, the sensitivity of present optical and infrared observations does not allow following the related afterglows over long times. The facilities over different electromagnetic bands to monitor the afterglow have been reviewed by [432].
- -
- The merger remnant could be either a black hole or a neutron star, that, when massive, can collapse into a black hole [88,89,433,434,435,436,437,438,439]. The high frequency search for post-merger gravitational emission in GW170817 at short (sub-second) or intermediate (≤500 s) targeting massive neutron stars [90,91] was negative and was consistent with different final scenarios [92]. The nature of the remnant merger produces signatures also in the merger counterpart, involving the properties of the ejecta, the kilonova photometric evolution, and the presence of a jet [21,95,199]. While a hypermassive neutron star collapsing into a black hole within one second is favored compared to the prompt collapse to a black hole [93,94,95,96,97,98,99,100], the direct collapse into a black hole cannot be ruled out, since the expected black hole ringdown is below the sensitivity threshold of present interferometers [90].
- -
- The GW170817 detection has established binary neutron star mergers as sites for r-process and contributors to Galactic nucleosynthesis [188]. The role of binary neutron star mergers will be refined with additional detections. Collapsars have been suggested as a source of r-process elements; although these systems are less common than binary neutron star mergers, the lower rate could be compensated by the larger amount of material ejected per event [440].
- -
- Searches for neutrinos associated with GW170817 were performed by different observatories from MeV to EeV by ANTARES, IceCube, AUGER, SuperKamiokande, Baikal-GVD, LVD, and Baksan [207,208,209,210,211] with a time window of ±500 s around the merger epoch and in the 14 days after the merger: all searches were negative. The observation of long-lasting emission of energetic neutrinos could shed light on the nature of the remnant, either a long-lived remnant or a stable remnant, such a magnetar [212]. In addition to the single events, populations of binary neutron star mergers have been suggested as production sites of high-energy neutrinos contributing to the predicted diffuse neutrino flux, as presented by [441].
All the open questions above demand an improvement in both the LIGO/Virgo/KAGRA sensitivity and in the limiting magnitude/minimum detectable flux of the electromagnetic instruments.
The nominal range detection of BNS systems by the end of the O4 run is above 150–160 Mpc for LIGO, 50–80 Mpc for Virgo, and 10 Mpc for KAGRA is reported in Figure 7, with a large improvement expected in the O5 run (https://observing.docs.ligo.org/plan/, accessed on 1 February 2025).
Figure 7.
The evolution of achieved and planned sensitivity of LIGO, Virgo, and KAGRA interferometers during the observing runs. Credits: https://dcc.ligo.org/LIGO-G2002127/public (accessed on 1 February 2025).
Identifying a transient as a kilonova is made difficult by the combination of two factors, the time scale of the decline, a few days, and the localization region of hundreds to thousands or , which contains a large number of unrelated transients. The breakthrough results with GW170817 were possible due to the close distance of the source, about 40 Mpc, and the small localization region, smaller than , with a short list of 54 galaxies obtained by cross-matching a galaxy catalog with the localization volume of the merger. The search for candidate host galaxies of similar events at large distance will have to deal with the galaxy catalog completeness: for example, GLADE+ is complete up to a luminosity distance of Mpc [442]. While the nature of AT 2027gfo as a kilonova has been recognized by spectroscopic observations, high cadence multi-band photometry can allow the identification of faint systems, using their fast evolution and peculiar color. The present instruments of all sky surveys have photometric depths not exceeding about 20 magnitudes. The image depth of the reference images by sky surveys such as DESI Legacy Imaging Survey [443] and PanSTARRS [444] is not uniform over the sky, leading to possible spurious detections. The forthcoming large telescope facilities will offer wide field imaging to tackle the large localization regions and will have large apertures, to increase the limiting magnitude of observations. The 6.5 m Vera C. Rubin Telescope will be equipped with a camera and ugrizy filters, with a limiting magnitude r ∼ 24 with 30 s exposure [445], observing each field every three days. The Nancy Grace Roman Space Telescope will cover the optical and the near infrared regions, with a field of view of and a resolution of 0.1 arcsec/pixel [446].
The synergy between gravitational observatories and electromagnetic neutrino observatories involved some thousands of astronomers, leading to the first gravitational detection of a binary neutron star merger, the first gravitational event with an associated electromagnetic counterpart and the first detection of a kilonova.
Although GW170817GRB 170817A/AT 2017gfo is so far the only binary neutron star event with an electromagnetic counterpart, the searches for similar events and the related modeling are a blossoming field, in view of the O4 run presently ongoing and the future O5 run.
Funding
This review received no external funding.
Conflicts of Interest
The author declares no conflicts of interest.
References
- Aasi, J. et al. [LIGO Scientific Collaboration] Advanced LIGO. Class. Quant. Grav. 2015, 32, 074001. [Google Scholar] [CrossRef]
- Abbott, B.P. et al. [LIGO Scientific and Virgo Collaborations] Observation of Gravitational Waves from a Binary Black Hole Merger. Phys. Rev. Lett. 2016, 116, 061102. [Google Scholar] [CrossRef] [PubMed]
- Abbott, R. et al. [KAGRA and VIRGO and LIGO Scientific Collaborations] GWTC-3: Compact Binary Coalescences Observed by LIGO and Virgo during the Second Part of the Third Observing Run. Phys. Rev. X 2023, 13, 041039. [Google Scholar] [CrossRef]
- Weber, J. Evidence for discovery of gravitational radiation. Phys. Rev. Lett. 1969, 22, 1320–1324. [Google Scholar] [CrossRef]
- Tyson, J.A.; Giffard, R.P. Gravitational wave astronomy. Ann. Rev. Astron. Astrophys. 1978, 16, 521–554. [Google Scholar] [CrossRef]
- Acernese, F.; Agathos, M.; Agatsuma, K.; Aisa, D.; Allemandou, N.; Allocca, A.; Amarni, J.; Astone, P.; Balestri, G.; Ballardin, G.; et al. Advanced Virgo: A second-generation interferometric gravitational wave detector. Class. Quant. Grav. 2015, 32, 024001. [Google Scholar] [CrossRef]
- Abbott, B.P. et al. [LIGO Scientific and Virgo Collaborations] GW170814: A Three-Detector Observation of Gravitational Waves from a Binary Black Hole Coalescence. Phys. Rev. Lett. 2017, 119, 141101. [Google Scholar] [CrossRef]
- Abbott, B.P. et al. [LIGO Scientific and Virgo Collaborations] GW170817: Observation of Gravitational Waves from a Binary Neutron Star Inspiral. Phys. Rev. Lett. 2017, 119, 161101. [Google Scholar] [CrossRef]
- Goldstein, A.; Veres, P.; Burns, E.; Briggs, M.S.; Hamburg, R.; Kocevski, D.; Wilson-Hodge, C.A.; Preece, R.D.; Poolakkil, S.; Roberts, O.J.; et al. An Ordinary Short Gamma-Ray Burst with Extraordinary Implications: Fermi-GBM Detection of GRB 170817A. Astrophys. J. Lett. 2017, 848, L14. [Google Scholar] [CrossRef]
- Savchenko, V.; Ferrigno, G.; Kuulkers, E.; Bazzano, A.; Bozzo, E.; Brandt, S.; Chenevez, J.; Courvoisier, T.J.-L.; Diehl, R.; Domingo, A.; et al. INTEGRAL Detection of the First Prompt Gamma-Ray Signal Coincident with the Gravitational-wave Event GW170817. Astrophys. J. Lett. 2017, 848, L15. [Google Scholar] [CrossRef]
- Abbott, B.P. et al. [LIGO Scientific and Virgo Collaborations] Gravitational Waves and Gamma-rays from a Binary Neutron Star Merger: GW170817 and GRB 170817A. Astrophys. J. Lett. 2017, 848, L13. [Google Scholar] [CrossRef]
- Abbott, B.P. et al. [LIGO Scientific and Virgo and Fermi GBM and INTEGRAL and IceCube and IPN and Insight-Hxmt and ANTARES and Swift and Dark Energy Camera GW-EM and DES and DLT40 and GRAWITA and Fermi-LAT and ATCA and ASKAP and OzGrav and DWF (Deeper Wider Faster Program) and AST3 and CAASTRO and VINROUGE and MASTER and J-GEM and GROWTH and JAGWAR and CaltechNRAO and TTU-NRAO and NuSTAR and Pan-STARRS and KU and Nordic Optical Telescope and ePESSTO and GROND and Texas Tech University and TOROS and BOOTES and MWA and CALET and IKI-GW Follow-up and H.E.S.S. and LOFAR and LWA and HAWC and Pierre Auger and ALMA and Pi of Sky and Chandra Team at McGill University and DFN and ATLAS Telescopes and High Time Resolution Universe Survey and RIMAS and RATIR and SKA South Africa/MeerKAT Collaborations and AstroSat Cadmium Zinc Telluride Imager Team and AGILE Team and 1M2H Team and Las Cumbres Observatory Group and MAXI Team and TZAC Consortium and SALT Group and Euro VLBI Team] Multi-messenger Observations of a Binary Neutron Star Merger. Astrophys. J. Lett. 2017, 848, L12. [Google Scholar] [CrossRef]
- Lattimer, J.M.; Schramm, D.N. Black-hole-neutron-star collisions. Astrophys. J. Lett. 1974, 192, L145. [Google Scholar] [CrossRef]
- Eichler, D.; Livio, M.; Piran, T.; Schramm, D.N. Nucleosynthesis, Neutrino Bursts and Gamma-Rays from Coalescing Neutron Stars. Nature 1989, 340, 126–128. [Google Scholar] [CrossRef]
- Metzger, B.D.; Martinez-Pinedo, G.; Darbha, S.; Quataert, E.; Arcones, A.; Kasen, D.; Thomas, R.; Nugent, P.; Panov, I.V.; Zinner, N.T. Electromagnetic Counterparts of Compact Object Mergers Powered by the Radioactive Decay of R-process Nuclei. Mon. Not. R. Astron. Soc. 2010, 406, 2650. [Google Scholar] [CrossRef]
- Goriely, S.; Bauswein, A.; Janka, H.T. R-Process Nucleosynthesis in Dynamically Ejected Matter of Neutron Star Mergers. Astrophys. J. Lett. 2011, 738, L32. [Google Scholar] [CrossRef]
- Roberts, L.F.; Kasen, D.; Lee, W.H.; Ramirez-Ruiz, E. Electromagnetic Transients Powered by Nuclear Decay in the Tidal Tails of Coalescing Compact Binaries. Astrophys. J. Lett. 2011, 736, L21. [Google Scholar] [CrossRef]
- Symbalisty, E.; Schramm, D.N. Neutron Star Collisions and the r-Process. Astrophys. J. Lett. 1982, 22, 143. [Google Scholar]
- Rosswog, S.; Liebendoerfer, M.; Thielemann, F.K.; Davies, M.B.; Benz, W.; Piran, T. Mass ejection in neutron star mergers. Astron. Astrophys. 1999, 341, 499–526. [Google Scholar]
- Oechslin, R.; Janka, H.T.; Marek, A. Relativistic neutron star merger simulations with non-zero temperature equations of state. 1. Variation of binary parameters and equation of state. Astron. Astrophys. 2007, 467, 395. [Google Scholar] [CrossRef]
- Bauswein, A.; Goriely, S.; Janka, H.T. Systematics of dynamical mass ejection, nucleosynthesis, and radioactively powered electromagnetic signals from neutron-star mergers. Astrophys. J. 2013, 773, 78. [Google Scholar] [CrossRef]
- Hotokezaka, K.; Kiuchi, K.; Kyutoku, K.; Okawa, H.; Sekiguchi, Y.i.; Shibata, M.; Taniguchi, K. Mass ejection from the merger of binary neutron stars. Phys. Rev. D 2013, 87, 024001. [Google Scholar] [CrossRef]
- Sekiguchi, Y.; Kiuchi, K.; Kyutoku, K.; Shibata, M.; Taniguchi, K. Dynamical mass ejection from the merger of asymmetric binary neutron stars: Radiation-hydrodynamics study in general relativity. Phys. Rev. D 2016, 93, 124046. [Google Scholar] [CrossRef]
- Wanajo, S.; Sekiguchi, Y.; Nishimura, N.; Kiuchi, K.; Kyutoku, K.; Shibata, M. Production of all the r-process nuclides in the dynamical ejecta of neutron star mergers. Astrophys. J. Lett. 2014, 789, L39. [Google Scholar] [CrossRef]
- Radice, D.; Perego, A.; Hotokezaka, K.; Fromm, S.A.; Bernuzzi, S.; Roberts, L.F. Binary Neutron Star Mergers: Mass Ejection, Electromagnetic Counterparts and Nucleosynthesis. Astrophys. J. 2018, 869, 130. [Google Scholar] [CrossRef]
- Shibata, M.; Hotokezaka, K. Merger and Mass Ejection of Neutron-Star Binaries. Ann. Rev. Nucl. Part. Sci. 2019, 69, 41–64. [Google Scholar] [CrossRef]
- Radice, D.; Bernuzzi, S.; Perego, A. The Dynamics of Binary Neutron Star Mergers and GW170817. Ann. Rev. Nucl. Part. Sci. 2020, 70, 95–119. [Google Scholar] [CrossRef]
- Narayan, R.; Paczynski, B.; Piran, T. Gamma-ray bursts as the death throes of massive binary stars. Astrophys. J. Lett. 1992, 395, L83–L86. [Google Scholar] [CrossRef]
- Berger, E. Short-Duration Gamma-Ray Bursts. Ann. Rev. Astron. Astrophys. 2014, 52, 43–105. [Google Scholar] [CrossRef]
- Klebesadel, R.W.; Strong, I.B.; Olson, R.A. Observations of Gamma-Ray Bursts of Cosmic Origin. Astrophys. J. Lett. 1973, 182, L85–L88. [Google Scholar] [CrossRef]
- Kouveliotou, C.; Meegan, C.A.; Fishman, G.J.; Bhyat, N.P.; Briggs, M.S.; Koshut, T.M.; Paciesas, W.S.; Pendleton, G.N. Identification of two classes of gamma-ray bursts. Astrophys. J. Lett. 1993, 413, L101–104. [Google Scholar] [CrossRef]
- D’Avanzo, P. Short gamma-ray bursts: A review. J. High Energy Astrophys. 2015, 7, 73–80. [Google Scholar] [CrossRef]
- Dezalay, J.P.; Barat, C.; Talon, R.; Syunyaev, R.; Terekhov, O.; Kuznetsov, A. Short Cosmic Events: A Subset of Classical GRBs? In American Institute of Physics Conference Series; Paciesas, W.S., Fishman, G.J., Eds.; AIP: New York, NY, USA, 1992; Volume 265, p. 304. [Google Scholar]
- Troja, E.; King, A.R.; O’Brien, P.T.; Lyons, N.; Cusumano, G. Different progenitors of short hard gamma-ray bursts. Mon. Not. R. Astron. Soc. 2008, 385, 10. [Google Scholar] [CrossRef]
- Church, R.P.; Levan, A.J.; Davies, M.B.; Tanvir, N. Implications for the origin of short gamma-ray bursts from their observed positions around their host galaxies. Mon. Not. R. Astron. Soc. 2011, 413, 2004. [Google Scholar] [CrossRef]
- Fong, W.; Berger, E.; Chornock, R.; Margutti, R.; Levan, A.J.; Tanvir, N.R.; Tunnicliffe, R.L.; Czekala, I.; Fox, D.B.; Perley, D.A.; et al. Demographics of the Galaxies Hosting Short-duration Gamma-Ray Bursts. Astrophys. J. 2013, 769, 56. [Google Scholar] [CrossRef]
- Fong, W.F.; Berger, E. The Locations of Short Gamma-ray Bursts as Evidence for Compact Object Binary Progenitors. Astrophys. J. 2013, 776, 18. [Google Scholar] [CrossRef]
- Hjorth, J.; Sollerman, J.; Gorosabel, J.; Granot, J.; Klose, S.; Kouveliotou, C.; Melinder, J.; Ramirez-Ruiz, E.; Starling, R.; Thomsen, B.; et al. Constraints on short gamma-ray burst models with optical limits of GRB 050509b. Astrophys. J. Lett. 2005, 630, L117–L120. [Google Scholar] [CrossRef]
- Hjorth, J.; Watson, D.; Fynbo, J.P.U.; Price, P.A.; Jensen, B.L.; Jørgensen, U.G.; Kubas, D.; Gorosabel, J.; Jakobsson, P.; Sollerman, J.; et al. The optical afterglow of the short gamma-ray burst GRB 050709. Nature 2005, 437, 859–861. [Google Scholar] [CrossRef]
- Fox, D.B.; Frail, D.A.; Price, P.A.; Kulkarni, S.R.; Berger, E.; Piran, T.; Soderberg, A.M.; Cenko, S.B.; Cameron, P.B.; Gal-Yam, A.; et al. The afterglow of grb050709 and the nature of the short-hard gamma-ray bursts. Nature 2005, 437, 845–850. [Google Scholar] [CrossRef]
- Bloom, J.S.; Prochaska, J.X.; Pooley, d.; Blake, C.W.; Foley, R.J.; Jha, S.; Ramirez-Ruiz, E.; Granot, J.; Filippenko, A.V.; Sigurdsson, S.; et al. Closing in on a short-hard burst progenitor: Constraints from early-time optical imaging and spectroscopy of a possible host galaxy of GRB 050509b. Astrophys. J. 2006, 638, 354–368. [Google Scholar] [CrossRef]
- Soderberg, A.M.; Berger, E.; Kasliwal, M.; Frail, D.A.; Price, P.A.; Schmidt, B.P.; Kulkarni, S.R.; Fox, D.B.; Cenko, S.B.; Roth, K.C.; et al. The afterglow and host galaxy of the energetic short-hard gamma-ray burst 051221. Astrophys. J. 2006, 650, 261–271. [Google Scholar] [CrossRef]
- D’Avanzo, P.; Malesani, D.; Covino, S.; Piranomonte, S.; Grazian, A.; Fugazza, D.; Margutti, R.; D’Elia, V.; Antonelli, L.A.; Campana, S.; et al. The optical afterglows and host galaxies of three short/hard gamma-ray bursts. AIP Conf. Proc. 2009, 1111, 524–527. [Google Scholar] [CrossRef][Green Version]
- Kocevski, D.; Thone, C.C.; Ramirez-Ruiz, E.; Bloom, J.S.; Granot, J.; Butler, N.R.; Perley, D.A.; Modjaz, M.; Lee, W.H.; Cobb, B.E.; et al. Limits on Radioactive-Powered Emission Associated with a Short-Hard GRB 070724A in a Star-Forming Galaxy. Mon. Not. R. Astron. Soc. 2010, 404, 963. [Google Scholar] [CrossRef]
- Berger, E.; Fong, W.; Chornock, R. An r-process Kilonova Associated with the Short-hard GRB 130603B. Astrophys. J. Lett. 2013, 774, L23. [Google Scholar] [CrossRef]
- Rowlinson, A.; O’Brien, P.T.; Metzger, B.D.; Tanvir, N.R.; Levan, A.J. Signatures of magnetar central engines in short GRB lightcurves. Mon. Not. R. Astron. Soc. 2013, 430, 1061. [Google Scholar] [CrossRef]
- Woosley, S.E. Gamma-ray bursts from stellar mass accretion disks around black holes. Astrophys. J. 1993, 405, 273. [Google Scholar] [CrossRef]
- MacFadyen, A.; Woosley, S.E. Collapsars: Gamma-ray bursts and explosions in ‘failed supernovae’. Astrophys. J. 1999, 524, 262. [Google Scholar] [CrossRef]
- MacFadyen, A.I.; Woosley, S.E.; Heger, A. Supernovae, jets, and collapsars. Astrophys. J. 2001, 550, 410. [Google Scholar] [CrossRef]
- Band, D.; Matteson, J.; Ford, L.; Schaefer, B.; Palmer, D.; Teegarden, B.; Cline, T.; Briggs, M.; Paciesas, W.; Pendleton, G.; et al. BATSE observations of gamma-ray burst spectra. 1. Spectral diversity. Astrophys. J. 1993, 413, 281–292. [Google Scholar] [CrossRef]
- Abdalla, H.; Adam, R.; Aharonian, F.; Ait Benkhali, F.; Angüner, E.O.; Arakawa, M.; Arcaro, C.; Armand, C.; Ashkar, H.; Backes, M.; et al. A very-high-energy component deep in the γ-ray burst afterglow. Nature 2019, 575, 464–467. [Google Scholar] [CrossRef]
- Acciari, V.A.; Ansoldi, S.; Antonelli, L.A.; Arbet Engels, A.; Baack, D.; Babić, A.; Banerjee, B.; Barres de Almeida, U.; Barrio, J.A.; Becerra González, J.; et al. Teraelectronvolt emission from the γ-ray burst GRB 190114C. Nature 2019, 575, 455–458. [Google Scholar] [CrossRef]
- Metzger, B.D.; Berger, E. What is the Most Promising Electromagnetic Counterpart of a Neutron Star Binary Merger? Astrophys. J. 2012, 746, 48. [Google Scholar] [CrossRef]
- Fernández, R.; Metzger, B.D. Electromagnetic Signatures of Neutron Star Mergers in the Advanced LIGO Era. Ann. Rev. Nucl. Part. Sci. 2016, 66, 23–45. [Google Scholar] [CrossRef]
- Freiburghaus, C.; Rembges, J.F.; Rauscher, T.; Kolbe, E.; Thielemann, F.K.; Kratz, K.L.; Pfeiffer, B.; Cowan, J.J. The Astrophysical r-Process: A Comparison of Calculations following Adiabatic Expansion with Classical Calculations Based on Neutron Densities and Temperatures. Astrophys. J. 1999, 516, 381–398. [Google Scholar] [CrossRef]
- Barnes, J.; Kasen, D. Effect of a High Opacity on the Light Curves of Radioactively Powered Transients from Compact Object Mergers. Astrophys. J. 2013, 775, 18. [Google Scholar] [CrossRef]
- Kasen, D.; Badnell, N.R.; Barnes, J. Opacities and Spectra of the r-process Ejecta from Neutron Star Mergers. Astrophys. J. 2013, 774, 25. [Google Scholar] [CrossRef]
- Tanaka, M.; Hotokezaka, K. Radiative Transfer Simulations of Neutron Star Merger Ejecta. Astrophys. J. 2013, 775, 113. [Google Scholar] [CrossRef]
- Metzger, B.D. Kilonovae. Living Rev. Rel. 2020, 23, 1. [Google Scholar] [CrossRef]
- Nagakura, H.; Hotokezaka, K.; Sekiguchi, Y.; Shibata, M.; Ioka, K. Jet Collimation in the Ejecta of Double Neutron Star Mergers: A New Canonical Picture of Short Gamma-Ray Bursts. Astrophys. J. Lett. 2014, 784, L28. [Google Scholar] [CrossRef]
- Duffell, P.C.; Quataert, E.; MacFadyen, A.I. A Narrow Short-Duration GRB Jet from a Wide Central Engine. Astrophys. J. 2015, 813, 64. [Google Scholar] [CrossRef]
- Lazzati, D.; Deich, A.; Morsony, B.J.; Workman, J.C. Off-axis emission of short γ-ray bursts and the detectability of electromagnetic counterparts of gravitational-wave-detected binary mergers. Mon. Not. R. Astron. Soc. 2017, 471, 1652–1661. [Google Scholar] [CrossRef]
- Nakar, E.; Piran, T. The Observable Signatures of GRB Cocoons. Astrophys. J. 2017, 834, 28. [Google Scholar] [CrossRef]
- Gottlieb, O.; Nakar, E.; Piran, T. The cocoon emission—An electromagnetic counterpart to gravitational waves from neutron star mergers. Mon. Not. R. Astron. Soc. 2018, 473, 576–584. [Google Scholar] [CrossRef]
- Coulter, D.A.; Foley, R.J.; Kilpatrick, C.D.; Drout, M.R.; Piro, A.L.; Shappee, B.J.; Siebert, M.R.; Simon, J.D.; Ulloa, N.; Kasen, D.; et al. Swope Supernova Survey 2017a (SSS17a), the Optical Counterpart to a Gravitational Wave Source. Science 2017, 358, 1556. [Google Scholar] [CrossRef]
- Valenti, S.; Sand, D.J.; Yang, S.; Cappellaro, E.; Tartaglia, L.; Corsi, A.; Jha, S.W.; Reichart, D.E.; Haislip, J.; Kouprianov, V. The discovery of the electromagnetic counterpart of GW170817: Kilonova AT 2017gfo/DLT17ck. Astrophys. J. Lett. 2017, 848, L24. [Google Scholar] [CrossRef]
- Kasliwal, M.M.; Nakar, E.; Singer, L.P.; Kaplan, D.L.; Cook, D.O.; Van Sistine, A.; Lau, R.M.; Fremling, C.; Gottlieb, O.; Jencson, J.E.; et al. Illuminating Gravitational Waves: A Concordant Picture of Photons from a Neutron Star Merger. Science 2017, 358, 1559. [Google Scholar] [CrossRef]
- Lipunov, V.M.; Gorbovskoy, E.; Kornilov, V.G.; Tyurina, N.; Balanutsa, P.; Kuznetsov, A.; Vlasenko, D.; Kuvshinov, D.; Gorbunov, I.; Buckley, D.A.H.; et al. MASTER Optical Detection of the First LIGO/Virgo Neutron Star Binary Merger GW170817. Astrophys. J. Lett. 2017, 850, L1. [Google Scholar] [CrossRef]
- Kasen, D.; Metzger, B.; Barnes, J.; Quataert, E.; Ramirez-Ruiz, E. Origin of the heavy elements in binary neutron-star mergers from a gravitational wave event. Nature 2017, 551, 80. [Google Scholar] [CrossRef]
- Freedman, W.L.; Madore, B.F.; Gibson, B.K.; Ferrarese, L.; Kelson, D.D.; Sakai, S.; Mould, J.R.; Kennicutt, R.C., Jr.; Ford, H.C.; Graham, J.A.; et al. Final results from the Hubble Space Telescope key project to measure the Hubble constant. Astrophys. J. 2001, 553, 47–72. [Google Scholar] [CrossRef]
- Cantiello, M.; Jensen, J.B.; Blakeslee, J.P.; Berger, E.; Levan, A.J.; Tanvir, N.R.; Raimondo, G.; Brocato, E.; Alexander, K.D.; Blanchard, P.K.; et al. A Precise Distance to the Host Galaxy of the Binary Neutron Star Merger GW170817 Using Surface Brightness Fluctuations. Astrophys. J. Lett. 2018, 854, L31. [Google Scholar] [CrossRef]
- Hjorth, J.; Levan, A.J.; Tanvir, N.R.; Lyman, J.D.; Wojtak, R.; Schrøder, S.L.; Mandel, I.; Gall, C.; Bruun, S.H. The Distance to NGC 4993: The Host Galaxy of the Gravitational-wave Event GW170817. Astrophys. J. Lett. 2017, 848, L31. [Google Scholar] [CrossRef]
- Im, M.; Yoon, Y.; Lee, S.J.; Lee, H.M.; Kim, J.; Lee, C.; Kim, S.; Troja, E.; Choi, C.; Lim, G.; et al. Distance and Properties of NGC 4993 as the Host Galaxy of the Gravitational-wave Source GW170817. Astrophys. J. Lett. 2017, 849, L16. [Google Scholar] [CrossRef]
- Lee, M.G.; Kang, J.; Im, M. A Globular Cluster Luminosity Function Distance to NGC 4993 Hosting a Binary Neutron Star Merger GW170817/GRB 170817A. Astrophys. J. Lett. 2018, 859, L6. [Google Scholar] [CrossRef]
- Siebert, M.R.; Foley, R.J.; Drout, M.R.; Kilpatrick, C.D.; Shappee, B.J.; Coulter, D.A.; Kasen, D.; Madore, B.F.; Murguia-Berthier, A.; Pan, Y.-C.; et al. The Unprecedented Properties of the First Electromagnetic Counterpart to a Gravitational Wave Source. Astrophys. J. Lett. 2017, 848, L26. [Google Scholar] [CrossRef]
- Tanvir, N.R.; Levan, A.J.; Gonzàlez-Fernàndez, C.; Korobkin, O.; Mandel, I.; Rosswog, S.; Hjorth, J.; D’Avanzo, P.; Fruchter, A.S.; Fryer, C.L.; et al. The Emergence of a Lanthanide-Rich Kilonova Following the Merger of Two Neutron Stars. Astrophys. J. Lett. 2017, 848, L27. [Google Scholar] [CrossRef]
- Soares-Santos, M. et al. [Dark Energy Camera GW-EM Collaboration] The Electromagnetic Counterpart of the Binary Neutron Star Merger LIGO/Virgo GW170817. I. Discovery of the Optical Counterpart Using the Dark Energy Camera. Astrophys. J. Lett. 2017, 848, L16. [Google Scholar] [CrossRef]
- Arcavi, I.; Hosseinzadeh, G.; Howell, D.A.; McCully, C.; Poznanski, D.; Kasen, D.; Barnes, J.; Zaltzman, M.; Vasylyev, S.; Maoz, D.; et al. Optical emission from a kilonova following a gravitational-wave-detected neutron-star merger. Nature 2017, 551, 64. [Google Scholar] [CrossRef]
- Evans, P.A.; Cenko, S.B.; Kennea, J.A.; Emery, S.W.K.; Kuin, N.P.M.; Korobkin, O.; Wollaeger, R.T.; Fryer, C.L.; Madsen, K.K.; Harrison, F.A.; et al. Swift and NuSTAR observations of GW170817: Detection of a blue kilonova. Science 2017, 358, 1565. [Google Scholar] [CrossRef]
- Alexander, K.D.; Berger, E.; Fong, W.; Williams, P.K.G.; Guidorzi, C.; Margutti, R.; Metzger, B.D.; Annis, J.; Blanchard, P.K.; Brout, D.; et al. The Electromagnetic Counterpart of the Binary Neutron Star Merger LIGO/VIRGO GW170817. VI. Radio Constraints on a Relativistic Jet and Predictions for Late-Time Emission from the Kilonova Ejecta. Astrophys. J. Lett. 2017, 848, L21. [Google Scholar] [CrossRef]
- Hallinan, G.; Corsi, A.; Mooley, K.P.; Hotokezaka, K.; Nakar, E.; Kasliwal, M.M.; Kaplan, D.L.; Frail, D.A.; Myers, S.T.; Murphy, T.; et al. A Radio Counterpart to a Neutron Star Merger. Science 2017, 358, 1579. [Google Scholar] [CrossRef]
- Margutti, R.; Berger, E.; Fong, W.; Guidorzi, C.; Alexander, K.D.; Metzger, B.D.; Blanchard, P.K.; Cowperthwaite, P.S.; Chornock, R.; Eftekhari, T.; et al. The Electromagnetic Counterpart of the Binary Neutron Star Merger LIGO/VIRGO GW170817. V. Rising X-ray Emission from an Off-Axis Jet. Astrophys. J. Lett. 2017, 848, L20. [Google Scholar] [CrossRef]
- Sugita, S.; Kawai, N.; Nakahira, S.; Negoro, H.; Serino, M.; Mihara, T.; Yamaoka, K.; Nakajima, M. MAXI upper limits of the electromagnetic counterpart of GW170817. Publ. Astron. Soc. Jap. 2018, 70, 81. [Google Scholar] [CrossRef]
- Troja, E.; Piro, L.; van Eerten, H.; Wollaeger, R.T.; Im, M.; Fox, O.D.; Butler, N.R.; Cenko, S.B.; Sakamoto, T.; Fryer, C.L.; et al. The X-ray counterpart to the gravitational wave event GW 170817. Nature 2017, 551, 71–74. [Google Scholar] [CrossRef]
- Abbott, B.P. et al. [LIGO Scientific and Virgo Collaborations] Properties of the binary neutron star merger GW170817. Phys. Rev. X 2019, 9, 011001. [Google Scholar] [CrossRef]
- Abbott, B.P. et al. [LIGO Scientific and Virgo Collaborations] GWTC-1: A Gravitational-Wave Transient Catalog of Compact Binary Mergers Observed by LIGO and Virgo during the First and Second Observing Runs. Phys. Rev. X 2019, 9, 031040. [Google Scholar] [CrossRef]
- Abbott, B.P. et al. [LIGO Scientific and Virgo Collaborations] GW170817: Implications for the Stochastic Gravitational-Wave Background from Compact Binary Coalescences. Phys. Rev. Lett. 2018, 120, 091101. [Google Scholar] [CrossRef] [PubMed]
- Bernuzzi, S. Neutron star merger remnants. Gen. Rel. Grav. 2020, 52, 108, Correction: Gen. Rel. Grav. 2024, 56, 101. [Google Scholar] [CrossRef] [PubMed]
- Bernuzzi, S.; Magistrelli, F.; Jacobi, M.; Logoteta, D.; Perego, A.; Radice, D. Long-lived neutron-star remnants from asymmetric binary neutron star mergers: Element formation, kilonova signals and gravitational waves. Mon. Not. R. Astron. Soc. 2025, 542, 256–271. [Google Scholar] [CrossRef]
- Abbott, B.P. et al. [LIGO Scientific and Virgo Collaborations] Search for Post-merger Gravitational Waves from the Remnant of the Binary Neutron Star Merger GW170817. Astrophys. J. Lett. 2017, 851, L16. [Google Scholar] [CrossRef]
- Abbott, B.P. et al. [LIGO Scientific and Virgo Collaborations] Estimating the Contribution of Dynamical Ejecta in the Kilonova Associated with GW170817. Astrophys. J. Lett. 2017, 850, L39. [Google Scholar] [CrossRef]
- Abbott, B.P. et al. [LIGO Scientific and Virgo Collaborations] Model comparison from LIGO–Virgo data on GW170817’s binary components and consequences for the merger remnant. Class. Quant. Grav. 2020, 37, 045006. [Google Scholar] [CrossRef]
- Margalit, B.; Metzger, B.D. Constraining the Maximum Mass of Neutron Stars From Multi-Messenger Observations of GW170817. Astrophys. J. Lett. 2017, 850, L19. [Google Scholar] [CrossRef]
- Granot, J.; Guetta, D.; Gill, R. Lessons from the Short GRB 170817A: The First Gravitational-wave Detection of a Binary Neutron Star Merger. Astrophys. J. Lett. 2017, 850, L24. [Google Scholar] [CrossRef]
- Shibata, M.; Fujibayashi, S.; Hotokezaka, K.; Kiuchi, K.; Kyutoku, K.; Sekiguchi, Y.; Tanaka, M. Modeling GW170817 based on numerical relativity and its implications. Phys. Rev. D 2017, 96, 123012. [Google Scholar] [CrossRef]
- Rezzolla, L.; Most, E.R.; Weih, L.R. Using gravitational-wave observations and quasi-universal relations to constrain the maximum mass of neutron stars. Astrophys. J. Lett. 2018, 852, L25. [Google Scholar] [CrossRef]
- Gill, R.; Nathanail, A.; Rezzolla, L. When Did the Remnant of GW170817 Collapse to a Black Hole? Astrophys. J. 2019, 876, 139. [Google Scholar] [CrossRef]
- Metzger, B.D. Lessons from the light of a neutron star merger. Ann. Phys. 2019, 410, 167923. [Google Scholar] [CrossRef]
- Murguia-Berthier, A.; Ramirez-Ruiz, E.; De Colle, F.; Janiuk, A.; Rosswog, S.; Lee, W.H. The Fate of the Merger Remnant in GW170817 and its Imprint on the Jet Structure. Astrophys. J. 2021, 908, 152. [Google Scholar] [CrossRef]
- Ciolfi, R. Collimated outflows from long-lived binary neutron star merger remnants. Mon. Not. R. Astron. Soc. 2020, 495, L66–L70. [Google Scholar] [CrossRef]
- Hajela, A.; Margutti, R.; Alexander, K.D.; Kathirgamaraju, A.; Baldeschi, A.; Guidorzi, C.; Giannios, D.; Fong, W.; Wu, Y.; MacFadyen, A.; et al. Two Years of Nonthermal Emission from the Binary Neutron Star Merger GW170817: Rapid Fading of the Jet Afterglow and First Constraints on the Kilonova Fastest Ejecta. Astrophys. J. Lett. 2019, 886, L17. [Google Scholar] [CrossRef]
- Abbott, B.P. et al. [LIGO Scientific and Virgo Collaborations] GW190425: Observation of a Compact Binary Coalescence with Total Mass ∼3.4M⊙. Astrophys. J. Lett. 2020, 892, L3. [Google Scholar] [CrossRef]
- Abbott, R. et al. [LIGO Scientific and Virgo Collaborations] GWTC-2.1: Deep extended catalog of compact binary coalescences observed by LIGO and Virgo during the first half of the third observing run. Phys. Rev. D 2024, 109, 022001. [Google Scholar] [CrossRef]
- Farrow, N.; Zhu, X.J.; Thrane, E. The mass distribution of Galactic double neutron stars. Astrophys. J. 2019, 876, 18. [Google Scholar] [CrossRef]
- Mueller, H.; Serot, B.D. Relativistic mean field theory and the high density nuclear equation of state. Nucl. Phys. A 1996, 606, 508–537. [Google Scholar] [CrossRef]
- Tews, I.; Schwenk, A. Spin-polarized neutron matter, the maximum mass of neutron stars, and GW170817. Astrophys. J. 2020, 892, 14. [Google Scholar] [CrossRef]
- Roupas, Z. Secondary component of gravitational-wave signal GW190814 as an anisotropic neutron star. Astrophys. Space Sci. 2021, 366, 9. [Google Scholar] [CrossRef]
- Antier, S.; Agayeva, S.; Aivazyan, V.; Alishov, S.; Arbouch, E.; Baransky, A.; Barynova, K.; Bai, J.M.; Basa, S.; Beradze, S.; et al. The first six months of the Advanced LIGO’s and Advanced Virgo’s third observing run with GRANDMA. Mon. Not. R. Astron. Soc. 2020, 492, 3904–3927. [Google Scholar] [CrossRef]
- Gompertz, B.P.; Cutter, R.; Steeghs, D.; Galloway, D.K.; Lyman, J.; Ulaczyk, K.; Dyer, M.J.; Ackley, K.; Dhillon, V.S.; O’Brien, P.T.; et al. Searching for Electromagnetic Counterparts to Gravitational-wave Merger Events with the Prototype Gravitational-wave Optical Transient Observer (GOTO-4). Mon. Not. R. Astron. Soc. 2020, 497, 726–738. [Google Scholar] [CrossRef]
- Becerra, R.L.; Dichiara, S.; Watson, A.M.; Troja, E.; Butler, N.R.; Pereyra, M.; Moreno Méndez, E.; De Colle, F.; Lee, W.H.; Kutyrev, A.S.; et al. DDOTI observations of gravitational-wave sources discovered in O3. Mon. Not. R. Astron. Soc. 2021, 507, 1401–1420. [Google Scholar] [CrossRef]
- Chang, S.W.; Onken, C.A.; Wolf, C.; Luvaul, L.; Möller, A.; Scalzo, R.; Schmidt, B.P.; Scott, S.M.; Sura, N.; Yuan, F. SkyMapper optical follow-up of gravitational wave triggers: Alert science data pipeline and LIGO/Virgo O3 run. Publ. Astron. Soc. Austral. 2021, 38, e024. [Google Scholar] [CrossRef]
- de Jaeger, T.; Shappee, B.J.; Kochanek, C.S.; Stanek, K.Z.; Beacom, J.F.; Holoien, T.W.S.; Thompson, T.A.; Franckowiak, A.; Holmbo, S. ASAS-SN search for optical counterparts of gravitational-wave events from the third observing run of Advanced LIGO/Virgo. Mon. Not. R. Astron. Soc. 2021, 509, 3427–3440. [Google Scholar] [CrossRef]
- Kasliwal, M.M.; Anand, S.; Ahumada, T.; Stein, R.; Carracedo, A.S.; Andreoni, I.; Coughlin, M.W.; Singer, L.P.; Kool, E.C.; De, K.; et al. Kilonova Luminosity Function Constraints Based on Zwicky Transient Facility Searches for 13 Neutron Star Merger Triggers during O3. Astrophys. J. 2020, 905, 145. [Google Scholar] [CrossRef]
- Lundquist, M.J.; Paterson, K.; Fong, W.; Sand, D.J.; Andrews, J.E.; Shivaei, I.; Daly, P.N.; Valenti, S.; Yang, S.; Christensen, E.; et al. Searches after Gravitational Waves Using ARizona Observatories (SAGUARO): System Overview and First Results from Advanced LIGO/Virgo’s Third Observing Run. Astrophys. J. Lett. 2019, 881, L26. [Google Scholar] [CrossRef]
- Sasada, M.; Utsumi, Y.; Itoh, R.; Tominaga, N.; Tanaka, M.; Morokuma, T.; Yanagisawa, K.; Kawabata, K.S.; Ohgami, T.; Yoshida, M.; et al. J-GEM optical and near-infrared follow-up of gravitational wave events during LIGO’s and Virgo’s third observing run. Progr. Theor. Exp. Phys. 2021, 2021, 05A104. [Google Scholar] [CrossRef]
- Boersma, O.; van Leeuwen, J.; Adams, E.A.K.; Adebahr, B.; Kutkin, A.; Oosterloo, T.; de Blok, W.J.G.; van den Brink, R.; Coolen, A.H.W.M.; Connor, L.; et al. A search for radio emission from double-neutron star merger GW190425 using Apertif. Astron. Astrophys. 2021, 650, A131. [Google Scholar] [CrossRef]
- Cai, C.; Xiong, S.L.; Li, C.K.; Liu, C.Z.; Zhang, S.N.; Li, X.B.; Song, L.M.; Li, B.; Xiao, S.; Yi, Q.B.; et al. Search for gamma-ray bursts and gravitational wave electromagnetic counterparts with High Energy X-ray Telescope of Insight-HXMT. Mon. Not. R. Astron. Soc. 2021, 508, 3910–3920. [Google Scholar] [CrossRef]
- Oates, S.R.; Marshall, F.E.; Breeveld, A.A.; Kuin, N.P.M.; Brown, P.J.; De Pasquale, M.; Evans, P.A.; Fenney, A.J.; Gronwall, C.; Kennea, J.A.; et al. Swift/UVOT follow-up of gravitational wave alerts in the O3 era. Mon. Not. R. Astron. Soc. 2021, 507, 1296–1317. [Google Scholar] [CrossRef]
- Page, K.L.; Evans, P.A.; Tohuvavohu, A.; Kennea, J.A.; Klingler, N.J.; Cenko, S.B.; Oates, S.R.; Ambrosi, E.; Barthelmy, S.D.; Beardmore, A.P.; et al. Swift-XRT follow-up of gravitational wave triggers during the third aLIGO/Virgo observing run. Mon. Not. R. Astron. Soc. 2020, 499, 3459–3480. [Google Scholar] [CrossRef]
- Ridnaia, A.; Svinkin, D.; Frederiks, D. A search for gamma-ray counterparts to gravitational wave events in Konus-Wind data. J. Phys. Conf. Ser. 2020, 1697, 012030. [Google Scholar] [CrossRef]
- Hussain, R.; Vandenbroucke, J.; Wood, J. A Search for IceCube Neutrinos from the First 33 Detected Gravitational Wave Events. PoS 2020, 358, 918. [Google Scholar] [CrossRef]
- Abbasi, R. et al. [IceCube Collaboration] Probing neutrino emission at GeV energies from compact binary mergers with the IceCube Neutrino Observatory. arXiv 2021, arXiv:2105.13160. [Google Scholar]
- Abe, K. et al. [Super-Kamiokande Collaboration] Search for neutrinos in coincidence with gravitational wave events from the LIGO-Virgo O3a Observing Run with the Super-Kamiokande detector. Astrophys. J. 2021, 918, 78. [Google Scholar] [CrossRef]
- Abe, S.; Asami, S.; Gando, A.; Gando, Y.; Gima, T.; Goto, A.; Hachiya, T.; Hata, K.; Hayashida, S.; Hosokawa, K.; et al. Search for Low-energy Electron Antineutrinos in KamLAND Associated with Gravitational Wave Events. Astrophys. J. 2021, 909, 116. [Google Scholar] [CrossRef]
- Coughlin, M.W.; Ahumada, T.; Anand, S.; De, K.; Hankins, M.J.; Kasliwal, M.M.; Singer, L.P.; Bellm, E.C.; Andreoni, I.; Cenko, S.B.; et al. GROWTH on S190425z: Searching thousands of square degrees to identify an optical or infrared counterpart to a binary neutron star merger with the Zwicky Transient Facility and Palomar Gattini IR. Astrophys. J. Lett. 2019, 885, L19. [Google Scholar] [CrossRef]
- Hosseinzadeh, G.; Cowperthwaite, P.S.; Gomez, S.; Villar, V.A.; Nicholl, M.; Margutti, R.; Berger, E.; Chornock, R.; Paterson, K.; Fong, W.; et al. Follow-up of the Neutron Star Bearing Gravitational Wave Candidate Events S190425z and S190426c with MMT and SOAR. Astrophys. J. Lett. 2019, 880, L4. [Google Scholar] [CrossRef]
- Smartt, S.J.; Nicholl, M.; Srivastav, S.; Huber, M.E.; Chambers, K.C.; Smith, K.W.; Young, D.R.; Fulton, M.D.; Tonry, J.L.; Stubbs, C.W.; et al. GW190425: Pan-STARRS and ATLAS coverage of the skymap and limits on optical emission associated with FRB 20190425A. Mon. Not. R. Astron. Soc. 2024, 528, 2299–2307. [Google Scholar] [CrossRef]
- Pozanenko, A.S.; Minaev, P.Y.; Grebenev, S.A.; Chelovekov, I.V. Observation of the Second LIGO/Virgo Event Connected with a Binary Neutron Star Merger S190425z in the Gamma-Ray Range. Astron. Lett. 2020, 45, 710–727. [Google Scholar] [CrossRef]
- Fletcher, C. et al. [Fermi-GBM Team and the GBM-LIGO/Virgo group] GCN Circular 24185. 2019. Available online: https://gcn.nasa.gov/circulars/24185 (accessed on 4 September 2025).
- Moroianu, A.; Wen, L.; James, C.W.; Ai, S.; Kovalam, M.; Panther, F.H.; Zhang, B. An assessment of the association between a fast radio burst and binary neutron star merger. Nat. Astron. 2023, 7, 579–589. [Google Scholar] [CrossRef]
- Panther, F.H.; Anderson, G.E.; Bhandari, S.; Goodwin, A.J.; Hurley-Walker, N.; James, C.W.; Kawka, A.; Ai, S.; Kovalam, M.; Moroianu, A.; et al. The most probable host of CHIME FRB 190425A, associated with binary neutron star merger GW190425, and a late-time transient search. Mon. Not. R. Astron. Soc. 2022, 519, 2235–2250. [Google Scholar] [CrossRef]
- Bhardwaj, M.; Palmese, A.; Magaña Hernandez, I.; D’Emilio, V.; Morisaki, S. Challenges for Fast Radio Bursts as Multimessenger Sources from Binary Neutron Star Mergers. Astrophys. J. 2024, 977, 122. [Google Scholar] [CrossRef]
- Abbott, R.; Abbott, T.D.; Abraham, S.; Acernese, F.; Ackley, K.; Adams, A.; Adams, C.; Adhikari, R.X.; Adya, V.B.; Affeldt, C.; et al. Observation of Gravitational Waves from Two Neutron Star–Black Hole Coalescences. Astrophys. J. Lett. 2021, 915, L5. [Google Scholar] [CrossRef]
- Burns, E. Neutron Star Mergers and How to Study Them. Living Rev. Rel. 2020, 23, 4. [Google Scholar] [CrossRef]
- Margutti, R.; Chornock, R. First Multimessenger Observations of a Neutron Star Merger. Ann. Rev. Astron. Astrophys. 2021, 59, 155–202. [Google Scholar] [CrossRef]
- Nakar, E. The electromagnetic counterparts of compact binary mergers. Phys. Rept. 2020, 886, 1–84. [Google Scholar] [CrossRef]
- Pian, E. Mergers of Binary Neutron Star Systems: A Multimessenger Revolution. Front. Astron. Space Sci. 2021, 7, 108. [Google Scholar] [CrossRef]
- Salafia, O.S.; Ghirlanda, G.; Ascenzi, S.; Ghisellini, G. On-axis view of GRB 170817A. Astron. Astrophys. 2019, 628, A18. [Google Scholar] [CrossRef]
- Bloom, J.S.; Frail, D.A.; Sari, R. The prompt energy release of gamma-ray bursts using a cosmological k-correction. Astron. J. 2001, 121, 2879–2888. [Google Scholar] [CrossRef]
- Wanderman, D.; Piran, T. The rate, luminosity function and time delay of non-Collapsar short GRBs. Mon. Not. R. Astron. Soc. 2015, 448, 3026–3037. [Google Scholar] [CrossRef]
- Sun, H.; Zhang, B.; Li, Z. Extragalactic High-energy Transients: Event Rate Densities and Luminosity Functions. Astrophys. J. 2015, 812, 33. [Google Scholar] [CrossRef]
- Ghirlanda, G.; Salafia, O.S.; Pescalli, A.; Ghisellini, G.; Salvaterra, R.; Chassande-Mottin, E.; Colpi, M.; Nappo, F.; D’Avanzo, P.; Melandri, A.; et al. Short gamma-ray bursts at the dawn of the gravitational wave era. Astron. Astrophys. 2016, 594, A84. [Google Scholar] [CrossRef]
- Fong, W.; Berger, E.; Blanchard, P.K.; Margutti, R.; Cowperthwaite, P.S.; Chornock, R.; Alexander, K.D.; Metzger, B.D.; Villar, V.A.; Nicholl, M.; et al. The Electromagnetic Counterpart of the Binary Neutron Star Merger LIGO/VIRGO GW170817. VIII. A Comparison to Cosmological Short-duration Gamma-ray Bursts. Astrophys. J. Lett. 2017, 848, L23. [Google Scholar] [CrossRef]
- Tanvir, N.; Chapman, R.; Levan, A.; Priddey, R. An origin in the local Universe for some short gamma-ray bursts. Nature 2005, 438, 991–993. [Google Scholar] [CrossRef]
- Siellez, K.; Boer, M.; Gendre, B.; Regimbau, T. Evidence for a dual population of neutron star mergers from short Gamma-Ray Burst observations. arXiv 2016, arXiv:1606.03043. [Google Scholar] [CrossRef]
- Zhang, B.-B.; Zhang, B.; Sun, H.; Lei, W.-H.; Gao, H.; Li, Y.; Shao, L.; Zhao, Y.; Hu, Y.-D.; Lü, H.-J.; et al. A peculiar low-luminosity short gamma-ray burst from a double neutron star merger progenitor. Nat. Commun. 2018, 9, 447. [Google Scholar] [CrossRef]
- Tunnicliffe, R.L.; Levan, A.J.; Tanvir, N.R.; Rowlinson, A.; Perley, D.A.; Bloom, J.S.; Cenko, S.B.; O’Brien, P.T.; Cobb, B.E.; Wiersema, K.; et al. On the nature of the ‘hostless’ short GRBs. Mon. Not. R. Astron. Soc. 2014, 437, 1495–1510. [Google Scholar] [CrossRef]
- Giovannelli, F. Gamma-Ray Bursts: The Energy Monsters of the Universe. Galaxies 2025, 13, 16. [Google Scholar] [CrossRef]
- Pe’er, A. Gamma-Ray Bursts: What Do We Know Today That We Did Not Know 10 Years Ago? Galaxies 2025, 13, 2. [Google Scholar] [CrossRef]
- Li, T. et al. [Insight-HXMT Team] Insight-HXMT observations of the first binary neutron star merger GW170817. Sci. China Phys. Mech. Astron. 2018, 61, 031011. [Google Scholar] [CrossRef]
- Verrecchia, F.; Tavani, M.; Donnarumma, I.; Bulgarelli, A.; Evangelista, Y.; Pacciani, L.; Ursi, A.; Piano, G.; Pilia, M.; Cardillo, M.; et al. AGILE Observations of the Gravitational-wave Source GW170817: Constraining Gamma-Ray Emission from a NS-NS Coalescence. Astrophys. J. Lett. 2017, 850, L27. [Google Scholar] [CrossRef]
- Adriani, O.; Akaike, Y.; Asano, K.; Asaoka, Y.; Bagliesi, M.G.; Berti, E.; Bigongiari, G.; Binns, W.R.; Bonechi, S.; Bongi, M.; et al. Search for GeV Gamma-ray Counterparts of Gravitational Wave Events by CALET. Astrophys. J. 2018, 863, 160. [Google Scholar] [CrossRef]
- Ajello, M.; Allafort, A.; Axelsson, M.; Baldini, L.; Barbiellini, G.; Baring, M.G.; Bastieri, D.; Bellazzini, R.; Berenji, B.; Bissaldi, E.; et al. Fermi-LAT Observations of LIGO/Virgo Event GW170817. Astrophys. J. 2018, 861, 85. [Google Scholar] [CrossRef]
- Abdalla, H. et al. [H.E.S.S. Collaboration] TeV gamma-ray observations of the binary neutron star merger GW170817 with H.E.S.S. Astrophys. J. Lett. 2017, 850, L22. [Google Scholar] [CrossRef]
- Villar, V.A.; Guillochon, J.; Berger, E.; Metzger, B.D.; Cowperthwaite, P.S.; Nicholl, M.; Alexander, K.D.; Blanchard, P.K.; Chornock, R.; Eftekhari, T.; et al. The Combined Ultraviolet, Optical, and Near-Infrared Light Curves of the Kilonova Associated with the Binary Neutron Star Merger GW170817: Unified Data Set, Analytic Models, and Physical Implications. Astrophys. J. Lett. 2017, 851, L21. [Google Scholar] [CrossRef]
- Andreoni, I.; Ackley, K.; Cooke, J.; Acharyya, A.; Allison, J.R.; Anderson, G.E.; Ashley, M.C.B.; Baade, D.; Bailes, M.; Bannister, K.; et al. Follow up of GW170817 and its electromagnetic counterpart by Australian-led observing programs. Publ. Astron. Soc. Austral. 2017, 34, e069. [Google Scholar] [CrossRef]
- Arcavi, I. The First Hours of the GW170817 Kilonova and the Importance of Early Optical and Ultraviolet Observations for Constraining Emission Models. Astrophys. J. Lett. 2018, 855, L23. [Google Scholar] [CrossRef]
- Artola, R.; Beroiz, M.; Cabral, J.; Camuccio, R.; Castillo, M.; Chavushyan, V.; Colazo, C.; Cuevas, H.; DePoy, D.L.; Díaz, M.C.; et al. TOROS optical follow-up of the advanced LIGO–VIRGO O2 second observational campaign. Mon. Not. R. Astron. Soc. 2020, 493, 2207–2214. [Google Scholar] [CrossRef]
- Buckley, D.A.H.; Andreoni, I.; Barway, S.; Cooke, J.; Crawford, S.M.; Gorbovskoy, E.; Gromadzki, M.; Lipunov, V.; Mao, J.; Potter, S.B.; et al. A comparison between SALT/SAAO observations and kilonova models for AT 2017gfo: The first electromagnetic counterpart of a gravitational wave transient—GW170817. Mon. Not. R. Astron. Soc. 2018, 474, L71–L75. [Google Scholar] [CrossRef]
- Cowperthwaite, P.S.; Berger, E.; Villar, V.A.; Metzger, B.D.; Nicholl, M.; Chornock, R.; Blanchard, P.K.; Fong, W.; Margutti, R.; Soares-Santos, M.; et al. The Electromagnetic Counterpart of the Binary Neutron Star Merger LIGO/Virgo GW170817. II. UV, Optical, and Near-infrared Light Curves and Comparison to Kilonova Models. Astrophys. J. Lett. 2017, 848, L17. [Google Scholar] [CrossRef]
- Drout, M.R.; Piro, A.L.; Shappee, B.J.; Kilpatrick, C.D.; Simon, J.D.; Contreras, C.; Coulter, D.A.; Foley, R.J.; Siebert, M.R.; Morrell, N.; et al. Light Curves of the Neutron Star Merger GW170817/SSS17a: Implications for R-Process Nucleosynthesis. Science 2017, 358, 1570–1574. [Google Scholar] [CrossRef]
- Hu, L.; Wu, X.; Andreoni, I.; Ashley, M.C.B.; Cooke, J.; Cui, X.; Du, F.; Dai, Z.; Gu, B.; Hu, Y.; et al. Optical observations of LIGO source GW 170817 by the Antarctic Survey Telescopes at Dome A, Antarctica. Sci. Bull. 2017, 62, 1433–1438. [Google Scholar] [CrossRef]
- Utsumi, Y. et al. [J-GEM Collaboration] J-GEM observations of an electromagnetic counterpart to the neutron star merger GW170817. Publ. Astron. Soc. Jap. 2017, 69, 101. [Google Scholar] [CrossRef]
- Pian, E.; D’Avanzo, P.; Benetti, S.; Branchesi, M.; Brocato, E.; Campana, S.; Cappellaro, E.; Covino, S.; D’Elia, V.; Fynbo, J.P.U.; et al. Spectroscopic identification of r-process nucleosynthesis in a double neutron star merger. Nature 2017, 551, 67–70. [Google Scholar] [CrossRef] [PubMed]
- Pozanenko, A.; Barkov, M.V.; Minaev, P.Y.; Volnova, A.A.; Mazaeva, E.D.; Moskvitin, A.S.; Krugov, M.A.; Samodurov, V.A.; Loznikov, V.M.; Lyutikov, M. GRB 170817A Associated with GW170817: Ti-frequency Observations and Modeling of Prompt Gamma-Ray Emission. Astrophys. J. Lett. 2018, 852, L30. [Google Scholar] [CrossRef]
- Smartt, S.J.; Chen, T.-W.; Jerkstrand, A.; Coughlin, M.; Kankare, E.; Sim, S.A.; Fraser, M.; Inserra, C.; Maguire, K.; Chambers, K.C.; et al. A kilonova as the electromagnetic counterpart to a gravitational-wave source. Nature 2017, 551, 75–79. [Google Scholar] [CrossRef] [PubMed]
- Tominaga, N.; Tanaka, M.; Morokuma, T.; Utsumi, Y.; Yamaguchi, M.S.; Yasuda, N.; Tanaka, M.; Yoshida, M.; Fujiyoshi, T.; Furusawa, H.; et al. Subaru Hyper Suprime-Cam Survey for An Optical Counterpart of GW170817. Publ. Astron. Soc. Jap. 2018, 70, 28. [Google Scholar] [CrossRef]
- Díaz, M.C.; Macri, L.M.; Garcia Lambas, D.; Mendes de Oliveira, C.; Nilo Castellón, J.L.; Ribeiro, T.; Sánchez, B.; Schoenell, W.; Abramo, L.R.; Akras, S.; et al. Observations of the first electromagnetic counterpart to a gravitational wave source by the TOROS Collaboration. Astrophys. J. Lett. 2017, 848, L29. [Google Scholar] [CrossRef]
- Zach Golkhou, V.; Butler, N.R.; Strausbaugh, R.; Troja, E.; Kutyrev, A.; Lee, W.H.; Román-Zúñiga, C.G.; Watson, A.M. RATIR Follow-up of LIGO/Virgo Gravitational Wave Events. Astrophys. J. 2018, 857, 81. [Google Scholar] [CrossRef]
- Chornock, R.; Berger, E.; Kasen, D.; Cowperthwaite, P.S.; Nicholl, M.; Villar, V.A.; Alexander, K.D.; Blanchard, P.K.; Eftekhari, T.; Fong, W.; et al. The Electromagnetic Counterpart of the Binary Neutron Star Merger LIGO/VIRGO GW170817. IV. Detection of Near-infrared Signatures of r-process Nucleosynthesis with Gemini-South. Astrophys. J. Lett. 2017, 848, L19. [Google Scholar] [CrossRef]
- Kasliwal, M.M.; Kasen, D.; Lau, R.M.; Perley, D.A.; Rosswog, S.; Ofek, E.O.; Hotokezaka, K.; Chary, R.; Sollerman, J.; Goobar, A.; et al. Spitzer mid-infrared detections of neutron star merger GW170817 suggests synthesis of the heaviest elements. Mon. Not. R. Astron. Soc. 2022, 510, L7–L12. [Google Scholar] [CrossRef]
- Kilpatrick, C.D.; Foley, R.J.; Kasen, D.; Murguia-Berthier, A.; Ramirez-Ruiz, E.; Coulter, D.A.; Drout, M.R.; Piro, A.L.; Shappee, B.J.; Boutsia, K.; et al. Electromagnetic Evidence that SSS17a is the Result of a Binary Neutron Star Merger. Science 2017, 358, 1583–1587. [Google Scholar] [CrossRef]
- Levan, A.J.; Lyman, J.D.; Tanvir, N.R.; Hjorth, J.; Mandel, I.; Stanway, E.R.; Steeghs, D.; Fruchter, A.S.; Troja, E.; Schrøder, S.L.; et al. The environment of the binary neutron star merger GW170817. Astrophys. J. Lett. 2017, 848, L28. [Google Scholar] [CrossRef]
- Lyman, J.D.; Lamb, G.P.; Levan, A.J.; Mandel, I.; Tanvir, N.R.; Kobayashi, S.; Gompertz, B.; Hjorth, J.; Fruchter, A.S.; Kangas, T.; et al. The optical afterglow of the short gamma-ray burst associated with GW170817. Nat. Astron. 2018, 2, 751–754. [Google Scholar] [CrossRef]
- McCully, C.; Hiramatsu, D.; Howell, D.A.; Hosseinzadeh, G.; Arcavi, I.; Kasen, D.; Barnes, J.; Shara, M.M.; Williams, T.B.; Väisänen, P.; et al. The Rapid Reddening and Featureless Optical Spectra of the optical counterpart of GW170817, AT 2017gfo, During the First Four Days. Astrophys. J. Lett. 2017, 848, L32. [Google Scholar] [CrossRef]
- Nicholl, M.; Berger, E.; Kasen, D.; Metzger, B.D.; Elias, J.; Briceño, C.; Alexander, K.D.; Blanchard, P.K.; Chornock, R.; Cowperthwaite, P.S.; et al. The Electromagnetic Counterpart of the Binary Neutron Star Merger LIGO/VIRGO GW170817. III. Optical and UV Spectra of a Blue Kilonova From Fast Polar Ejecta. Astrophys. J. Lett. 2017, 848, L18. [Google Scholar] [CrossRef]
- Shappee, B.J.; Simon, J.D.; Drout, M.R.; Piro, A.L.; Morrell, N.; Prieto, J.L.; Kasen, D.; Holoien, T.W.-S.; Kollmeier, J.A.; Kelson, D.D.; et al. Early Spectra of the Gravitational Wave Source GW170817: Evolution of a Neutron Star Merger. Science 2017, 358, 1574. [Google Scholar] [CrossRef]
- Gall, C.; Hjorth, J.; Rosswog, S.; Tanvir, N.R.; Levan, A.J. Lanthanides or dust in kilonovae: Lessons learned from GW170817. Astrophys. J. Lett. 2017, 849, L19. [Google Scholar] [CrossRef]
- Paczynski, B. Gamma-ray bursters at cosmological distances. Astrophys. J. Lett. 1986, 308, L43–L46. [Google Scholar] [CrossRef]
- Paczynski, B. Cosmological gamma-ray bursts. Acta Astron. 1991, 41, 257–267. [Google Scholar]
- Li, L.; Paczynski, B. Transient events from neutron star mergers. Astrophys. J. Lett. 1998, 507, L59. [Google Scholar] [CrossRef]
- Kulkarni, S.R. Modeling supernova-like explosions associated with gamma-ray bursts with short durations. arXiv 2005, arXiv:astro-ph/0510256. [Google Scholar] [CrossRef]
- Nakar, E. Short-Hard Gamma-Ray Bursts. Phys. Rept. 2007, 442, 166–236. [Google Scholar] [CrossRef]
- Tanvir, N.R.; Levan, A.J.; Fruchter, A.S.; Hjorth, J.; Wiersema, K.; Tunnicliffe, R.; de Ugarte Postigo, A. A ”kilonova” associated with short-duration gamma-ray burst 130603B. Nature 2013, 500, 547. [Google Scholar] [CrossRef] [PubMed]
- Burbidge, M.E.; Burbidge, G.R.; Fowler, W.A.; Hoyle, F. Synthesis of the elements in stars. Rev. Mod. Phys. 1957, 29, 547–650. [Google Scholar] [CrossRef]
- Banerjee, S.; Tanaka, M.; Kawaguchi, K.; Kato, D.; Gaigalas, G. Simulations of early kilonova emission from neutron star mergers. Astrophys. J. 2020, 901, 29. [Google Scholar] [CrossRef]
- Duffell, P.C.; Quataert, E.; Kasen, D.; Klion, H. Jet Dynamics in Compact Object Mergers: GW170817 Likely had a Successful Jet. Astrophys. J. 2018, 866, 3. [Google Scholar] [CrossRef]
- Rosswog, S.; Sollerman, J.; Feindt, U.; Goobar, A.; Korobkin, O.; Wollaeger, R.; Fremling, C.; Kasliwal, M.M. The first direct double neutron star merger detection: Implications for cosmic nucleosynthesis. Astron. Astrophys. 2018, 615, A132. [Google Scholar] [CrossRef]
- Tanaka, M.; Kato, D.; Gaigalas, G.; Kawaguchi, K. Systematic Opacity Calculations for Kilonovae. Mon. Not. R. Astron. Soc. 2020, 496, 1369–1392. [Google Scholar] [CrossRef]
- Banerjee, S.; Tanaka, M.; Kato, D.; Gaigalas, G.; Kawaguchi, K.; Domoto, N. Opacity of the Highly Ionized Lanthanides and the Effect on the Early Kilonova. Astrophys. J. 2022, 934, 117. [Google Scholar] [CrossRef]
- Metzger, B.D.; Fernández, R. Red or blue? A potential kilonova imprint of the delay until black hole formation following a neutron star merger. Mon. Not. R. Astron. Soc. 2014, 441, 3444–3453. [Google Scholar] [CrossRef]
- Grossman, D.; Korobkin, O.; Rosswog, S.; Piran, T. The long-term evolution of neutron star merger remnants – II. Radioactively powered transients. Mon. Not. R. Astron. Soc. 2014, 439, 757–770. [Google Scholar] [CrossRef]
- Rosswog, S.; Korobkin, O.; Arcones, A.; Thielemann, F.K.; Piran, T. The long-term evolution of neutron star merger remnants – I. The impact of r-process nucleosynthesis. Mon. Not. R. Astron. Soc. 2014, 439, 744–756. [Google Scholar] [CrossRef]
- Just, O.; Bauswein, A.; Pulpillo, R.A.; Goriely, S.; Janka, H.T. Comprehensive nucleosynthesis analysis for ejecta of compact binary mergers. Mon. Not. R. Astron. Soc. 2015, 448, 541–567. [Google Scholar] [CrossRef]
- Oechslin, R.; Janka, H.T. Gravitational waves from relativistic neutron star mergers with nonzero-temperature equations of state. Phys. Rev. Lett. 2007, 99, 121102. [Google Scholar] [CrossRef]
- Nakar, E.; Piran, T. Radio Remnants of Compact Binary Mergers—The Electromagnetic Signal that will follow the Gravitational Waves. Nature 2011, 478, 82–84. [Google Scholar] [CrossRef]
- Bromberg, O.; Nakar, E.; Piran, T.; Sari, R. The propagation of relativistic jets in external media. Astrophys. J. 2011, 740, 100. [Google Scholar] [CrossRef]
- Bromberg, O.; Tchekhovskoy, A.; Gottlieb, O.; Nakar, E.; Piran, T. The γ-rays that accompanied GW170817 and the observational signature of a magnetic jet breaking out of NS merger ejecta. Mon. Not. R. Astron. Soc. 2018, 475, 2971–2977. [Google Scholar] [CrossRef]
- Murguia-Berthier, A.; Ramirez-Ruiz, E.; Montes, G.; De Colle, F.; Rezzolla, L.; Rosswog, S.; Takami, K.; Perego, A.; Lee, W.H. The Properties of Short gamma-ray burst Jets Triggered by neutron star mergers. Astrophys. J. Lett. 2017, 835, L34. [Google Scholar] [CrossRef]
- Murguia-Berthier, A.; Ramirez-Ruiz, E.; Kilpatrick, C.D.; Foley, R.J.; Kasen, D.; Lee, W.H.; Piro, A.L.; Coulter, D.A.; Drout, M.R.; Madore, B.F.; et al. A Neutron Star Binary Merger Model for GW170817/GRB 170817A/SSS17a. Astrophys. J. Lett. 2017, 848, L34. [Google Scholar] [CrossRef]
- Covino, S.; Wiersema, K.; Fan, Y.Z.; Toma, K.; Higgins, A.B.; Melandri, A.; D’Avanzo, P.; Mundell, C.G.; Palazzi, E.; Tanvir, N.R.; et al. The unpolarized macronova associated with the gravitational wave event GW170817. Nat. Astron. 2017, 1, 791–794, Erratum in Nature Astron. 2017, 1, 805. [Google Scholar] [CrossRef]
- Bulla, M.; Covino, S.; Kyutoku, K.; Tanaka, M.; Maund, J.R.; Patat, F.; Toma, K.; Wiersema, K.; Bruten, J.; Jin, Z.P.; et al. The origin of polarization in kilonovae and the case of the gravitational-wave counterpart AT 2017gfo. Nat. Astron. 2019, 3, 99–106. [Google Scholar] [CrossRef]
- Piran, T.; Nakar, E.; Rosswog, S. The Electromagnetic Signals of Compact Binary Mergers. Mon. Not. R. Astron. Soc. 2013, 430, 2121–2136. [Google Scholar] [CrossRef]
- Hotokezaka, K.; Piran, T. Mass ejection from neutron star mergers: Different components and expected radio signals. Mon. Not. R. Astron. Soc. 2015, 450, 1430–1440. [Google Scholar] [CrossRef]
- Hotokezaka, K.; Nissanke, S.; Hallinan, G.; Lazio, T.J.W.; Nakar, E.; Piran, T. Radio Counterparts of Compact Binary Mergers detectable in Gravitational Waves: A Simulation for an Optimized Survey. Astrophys. J. 2016, 831, 190. [Google Scholar] [CrossRef]
- Haggard, D.; Nynka, M.; Ruan, J.J.; Kalogera, V.; Bradley Cenko, S.; Evans, P.; Kennea, J.A. A Deep Chandra X-ray Study of Neutron Star Coalescence GW170817. Astrophys. J. Lett. 2017, 848, L25. [Google Scholar] [CrossRef]
- Albert, A.; André, M.; Anghinolfi, M.; Ardid, M.; Aubert, J.-J.; Aublin, J.; Avgitas, T.; Baret, B.; Barrios-Martí, J.; Basa, S.; et al. Search for High-energy Neutrinos from Binary Neutron Star Merger GW170817 with ANTARES, IceCube, and the Pierre Auger Observatory. Astrophys. J. Lett. 2017, 850, L35. [Google Scholar] [CrossRef]
- Hayato, Y.; Bronner, C.; Hayato, Y.; Ikeda, M.; Iyogi, K.; Kameda, J.; Kato, Y.; Kishimoto, Y.; Marti, L.; Miura, M.; et al. Search for Neutrinos in Super-Kamiokande Associated with the GW170817 Neutron-star Merger. Astrophys. J. Lett. 2018, 857, L4. [Google Scholar] [CrossRef]
- Avrorin, A.D.; Avrorin, A.V.; Aynutdinov, V.M.; Bannash, R.; Belolaptikov, I.A.; Brudanin, V.M.; Budnev, N.M.; Doroshenko, A.A.; Domogatsky, G.V.; Dvornický, R.; et al. Search for High-Energy Neutrinos from GW170817 with the Baikal-GVD Neutrino Telescope. JETP Lett. 2018, 108, 787–790. [Google Scholar] [CrossRef]
- Agafonova, N.Y.; Ashikhmin, V.V.; Dobrynina, E.A.; Enikeev, R.; Malgin, A.S.; Ryazhskaya, O.G.; Shaliryanova, I.R.; Yakushev, V.F. Search for events in the LVD detector coinciding with gravitational signals from the collapse of close binary systems. J. Phys. Conf. Ser. 2019, 1390, 012088. [Google Scholar] [CrossRef]
- Petkov, V.B.; Novoseltseva, R.V.; Boliev, M.M.; Dzaparova, I.M.; Kochkarov, M.M.; Kurenya, A.N.; Novoseltsev, Y.F.; Striganov, P.S.; Yanin, A.F. Search for Electron Neutrinos from Gravitational Wave Events at the Baksan Underground Scintillation Telescope. JETP Lett. 2018, 107, 398–401. [Google Scholar] [CrossRef]
- Fang, K.; Metzger, B.D. High-Energy Neutrinos from Millisecond Magnetars formed from the Merger of Binary Neutron Stars. Astrophys. J. 2017, 849, 153. [Google Scholar] [CrossRef]
- Abbott, B.P.; Abbott, R.; Abbott, T.D.; Acernese, F.; Ackley, K.; Adams, C.; Adams, T.; Addesso, P.; Adhikari, R.X.; Adya, V.B.; et al. On the Progenitor of Binary Neutron Star Merger GW170817. Astrophys. J. Lett. 2017, 850, L40. [Google Scholar] [CrossRef]
- Fong, W.f.; Berger, E.; Fox, D.B. Hubble Space Telescope Observations of Short GRB Host Galaxies: Morphologies, Offsets, and Local Environments. Astrophys. J. 2010, 708, 9–25. [Google Scholar] [CrossRef]
- Pan, Y.C.; Kilpatrick, C.D.; Simon, J.D.; Xhakaj, E.; Boutsia, K.; Coulter, D.A.; Drout, M.R.; Foley, R.J.; Kasen, D.; Morrell, N.; et al. The Old Host-Galaxy Environment of SSS17a, the First Electromagnetic Counterpart to a Gravitational Wave Source. Astrophys. J. Lett. 2017, 848, L30. [Google Scholar] [CrossRef]
- Blanchard, P.K.; Berger, E.; Fong, W.; Nicholl, M.; Leja, J.; Conroy, C.; Alexander, K.D.; Margutti, R.; Williams, P.K.G.; Doctor, Z.; et al. The Electromagnetic Counterpart of the Binary Neutron Star Merger LIGO/VIRGO GW170817. VII. Properties of the Host Galaxy and Constraints on the Merger Timescale. Astrophys. J. Lett. 2017, 848, L22. [Google Scholar] [CrossRef]
- Fong, W.; Blanchard, P.K.; Alexander, K.D.; Strader, J.; Margutti, R.; Hajela, A.; Villar, V.A.; Wu, Y.; Ye, C.S.; Berger, E.; et al. The Optical Afterglow of GW170817: An Off-axis Structured Jet and Deep Constraints on a Globular Cluster Origin. Astrophys. J. Lett. 2019, 883, L1. [Google Scholar] [CrossRef]
- Kalogera, V.; Belczynski, K.; Kim, C.; O’Shaughnessy, R.W.; Willems, B. Formation of Double Compact Objects. Phys. Rept. 2007, 442, 75–108. [Google Scholar] [CrossRef]
- Postnov, K.A.; Yungelson, L.R. The Evolution of Compact Binary Star Systems. Living Rev. Rel. 2014, 17, 3. [Google Scholar] [CrossRef]
- Tauris, T.M.; Kramer, M.; Freire, P.C.C.; Wex, N.; Janka, H.-T.; Langer, N.; Podsiadlowski, P.; Bozzo, E.; Chaty, S.; Kruckow, M.U.; et al. Formation of Double Neutron Star Systems. Astrophys. J. 2017, 846, 170. [Google Scholar] [CrossRef]
- Kusenko, A.; Segre, G. Velocities of pulsars and neutrino oscillations. Phys. Rev. Lett. 1996, 77, 4872–4875. [Google Scholar] [CrossRef]
- Janka, H.T.; Langanke, K.; Marek, A.; Martinez-Pinedo, G.; Mueller, B. Theory of Core-Collapse Supernovae. Phys. Rept. 2007, 442, 38–74. [Google Scholar] [CrossRef]
- Janka, H.T. Natal Kicks of Stellar-Mass Black Holes by Asymmetric Mass Ejection in Fallback Supernovae. Mon. Not. R. Astron. Soc. 2013, 434, 1355. [Google Scholar] [CrossRef]
- Lyne, A.G.; Lorimer, D.R. High birth velocities of radio pulsars. Nature 1994, 369, 127. [Google Scholar] [CrossRef]
- Kaspi, V.M.; Bailes, M.; Manchester, R.N.; Stappers, B.W.; Bell, J.F. Evidence from a precessing pulsar orbit for a neutron-star birth kick. Nature 1996, 381, 584–586. [Google Scholar] [CrossRef]
- Arzoumanian, Z.; Chernoffs, D.F.; Cordes, J.M. The Velocity distribution of isolated radio pulsars. Astrophys. J. 2002, 568, 289–301. [Google Scholar] [CrossRef]
- Chatterjee, S.; Vlemmings, W.H.T.; Brisken, W.F.; Lazio, T.J.W.; Cordes, J.M.; Goss, W.M.; Thorsett, S.E.; Fomalont, E.B.; Lyne, A.G.; Kramer, M. Getting its kicks: A vlba parallax for the hyperfast pulsar b1508+55. Astrophys. J. Lett. 2005, 630, L61–L64. [Google Scholar] [CrossRef]
- Hobbs, G.; Lorimer, D.R.; Lyne, A.G.; Kramer, M. A Statistical study of 233 pulsar proper motions. Mon. Not. R. Astron. Soc. 2005, 360, 974–992. [Google Scholar] [CrossRef]
- Verbunt, F.; Igoshev, A.; Cator, E. The observed velocity distribution of young pulsars. Astron. Astrophys. 2017, 608, A57. [Google Scholar] [CrossRef]
- Mandel, I. The Orbit of GW170817 Was Inclined by Less Than 28° to the Line of Sight. Astrophys. J. Lett. 2018, 853, L12. [Google Scholar] [CrossRef]
- Zhang, B. On the duration of gamma-ray bursts. J. High Energy Astrophys. 2025, 45, 325–332. [Google Scholar] [CrossRef]
- Gomboc, A.; Kopac, D. Duration and hardness ratio of Swift GRBs. arXiv 2010, arXiv:1006.5550. [Google Scholar] [CrossRef]
- Bromberg, O.; Nakar, E.; Piran, T.; Sari, R. Short vs Long and Collapsars vs. non-Collapsar: A quantitative classification of GRBs. Astrophys. J. 2013, 764, 179. [Google Scholar] [CrossRef]
- Amati, L.; Frontera, F.; Tavani, M.; in’t Zand, J.J.M.; Antonelli, A.; Costa, E.; Feroci, M.; Guidorzi, C.; Heise, J.; Masetti, N.; et al. Intrinsic spectra and energetics of BeppoSAX gamma-ray bursts with known redshifts. Astron. Astrophys. 2002, 390, 81. [Google Scholar] [CrossRef]
- Dainotti, M.G.; Cardone, V.F.; Capozziello, S. A time—Luminosity correlation for Gamma Ray Bursts in the X-rays. Mon. Not. R. Astron. Soc. 2008, 391, 79. [Google Scholar] [CrossRef]
- Dainotti, M.G.; Willingale, R.; Capozziello, S.; Cardone, V.F.; Ostrowski, M. Discovery of a tight correlation for gamma ray burst afterglows with `canonical’ light curves. Astrophys. J. Lett. 2010, 722, L215. [Google Scholar] [CrossRef]
- Dainotti, M.G.; Cardone, V.F.; Capozziello, S.; Ostrowski, M.; Willingale, R. Study of possible systematics in the L*X - Ta* correlation of Gamma Ray Bursts. Astrophys. J. 2011, 730, 135. [Google Scholar] [CrossRef]
- Dainotti, M.G.; Ostrowski, M.; Willingale, R. Toward a standard Gamma Ray Burst: Tight correlations between the prompt and the afterglow plateau phase emission. Mon. Not. R. Astron. Soc. 2011, 418, 2202. [Google Scholar] [CrossRef]
- Dainotti, M.G.; Cardone, V.F.; Piedipalumbo, E.; Capozziello, S. Slope evolution of GRB correlations and cosmology. Mon. Not. R. Astron. Soc. 2013, 436, 82. [Google Scholar] [CrossRef]
- Dainotti, M.G.; Petrosian, V.; Singal, J.; Ostrowski, M. Determination of the Intrinsic Luminosity Time Correlation in the X-Ray Afterglows of Gamma-Ray Bursts. Astrophys. J. 2013, 774, 157. [Google Scholar] [CrossRef]
- Dainotti, M.G.; Del Vecchio, R.; Shigehiro, N.; Capozziello, S. Selection Effects in Gamma-ray Burst Correlations: Consequences on the Ratio Between Gamma-ray Burst and Star Formation Rates. Astrophys. J. 2015, 800, 31. [Google Scholar] [CrossRef]
- Dainotti, M.G.; Petrosian, V.; Willingale, R.; O’Brien, P.; Ostrowski, M.; Nagataki, S. Luminosity–time and luminosity–luminosity correlations for GRB prompt and afterglow plateau emissions. Mon. Not. R. Astron. Soc. 2015, 451, 3898–3908. [Google Scholar] [CrossRef]
- Dainotti, M.G.; Postnikov, S.; Hernandez, X.; Ostrowski, M. A fundamental plane for long gamma-ray bursts with X-ray plateaus. Astrophys. J. Lett. 2016, 825, L20. [Google Scholar] [CrossRef]
- Dainotti, M.; Del Vecchio, R.; Tarnopolski, M. Gamma Ray Burst Prompt correlations. Adv. Astron. 2018, 2018, 4969503. [Google Scholar] [CrossRef]
- Dainotti, M.G.; Amati, L. Gamma-ray burst prompt correlations: Selection and instrumental effects. Publ. Astron. Soc. Pac. 2018, 130, 051001. [Google Scholar] [CrossRef]
- Dainotti, M.G.; Livermore, S.; Kann, D.A.; Li, L.; Oates, S.; Yi, S.; Zhang, B.; Gendre, B.; Cenko, B.; Fraija, N. The Optical Luminosity–Time Correlation for More than 100 Gamma-Ray Burst Afterglows. Astrophys. J. Lett. 2020, 905, L26. [Google Scholar] [CrossRef]
- Cao, S.; Khadka, N.; Ratra, B. Standardizing Dainotti-correlated gamma-ray bursts, and using them with standardized Amati-correlated gamma-ray bursts to constrain cosmological model parameters. Mon. Not. R. Astron. Soc. 2022, 510, 2928–2947. [Google Scholar] [CrossRef]
- Levine, D.; Dainotti, M.; Zvonarek, K.J.; Fraija, N.; Warren, D.C.; Chandra, P.; Lloyd-Ronning, N. Examining Two-dimensional Luminosity–Time Correlations for Gamma-Ray Burst Radio Afterglows with VLA and ALMA. Astrophys. J. 2022, 925, 15. [Google Scholar] [CrossRef]
- Dainotti, M.G.; Young, S.; Li, L.; Levine, D.; Kalinowski, K.K.; Kann, D.A.; Tran, B.; Zambrano-Tapia, L.; Zambrano-Tapia, A.; Cenko, S.B.; et al. The Optical Two- and Three-dimensional Fundamental Plane Correlations for Nearly 180 Gamma-Ray Burst Afterglows with Swift/UVOT, RATIR, and the Subaru Telescope. Astrophys. J. Supp. 2022, 261, 25. [Google Scholar] [CrossRef]
- Dainotti, M.G.; Lenart, A.Ł.; Chraya, A.; Sarracino, G.; Nagataki, S.; Fraija, N.; Capozziello, S.; Bogdan, M. The gamma-ray bursts fundamental plane correlation as a cosmological tool. Mon. Not. R. Astron. Soc. 2023, 518, 2201–2240. [Google Scholar] [CrossRef]
- Cao, S.; Dainotti, M.; Ratra, B. Standardizing Platinum Dainotti-correlated gamma-ray bursts, and using them with standardized Amati-correlated gamma-ray bursts to constrain cosmological model parameters. Mon. Not. R. Astron. Soc. 2022, 512, 439–454. [Google Scholar] [CrossRef] [PubMed]
- Lenart, A.Ł.; Dainotti, M.G.; Khatiya, N.; Bal, D.; Hartmann, D.H.; Fraija, N.; Zhang, B. The multiwavelength correlations quest for central engines of GRB plateaus: Magnetar vs black hole spin-down. J. High Energy Astrophys. 2025, 47, 100384. [Google Scholar] [CrossRef]
- Zhang, B.; Zhang, B.; Virgili, F.J.; Liang, E.; Kann, D.A.; Wu, X.; Proga, D.; Lv, H.; Toma, K.; Mészáros, P.; et al. Discerning the physical origins of cosmological Gamma-ray bursts based on multiple observational criteria: The cases of z=6.7 GRB 080913, z=8.3 GRB 090423, and some short/hard GRBs. Astrophys. J. 2009, 703, 1696–1724. [Google Scholar] [CrossRef]
- Schaefer, B.E. The Hubble Diagram to Redshift >6 from 69 Gamma-Ray Bursts. Astrophys. J. 2007, 660, 16–46. [Google Scholar] [CrossRef]
- Del Vecchio, R.; Dainotti, M.G.; Ostrowski, M. Study of GRB light curve decay indices in the afterglow phase. Astrophys. J. 2016, 828, 36. [Google Scholar] [CrossRef]
- Minaev, P.Y.; Pozanenko, A.S. The Ep,i–Eiso correlation: Type I gamma-ray bursts and the new classification method. Mon. Not. R. Astron. Soc. 2020, 492, 1919–1936, Erratum in Mon. Not. R. Astron. Soc. 2021, 504, 926–927. [Google Scholar] [CrossRef]
- Dainotti, M.G.; Lenart, A.Ł.; Fraija, N.; Nagataki, S.; Warren, D.C.; De Simone, B.; Srinivasaragavan, G.; Mata, A. Closure relations during the plateau emission of Swift GRBs and the fundamental plane. Publ. Astron. Soc. Jap. 2021, 73, 970–1000. [Google Scholar] [CrossRef]
- Blandford, R.D.; Znajek, R.L. Electromagnetic extractions of energy from Kerr black holes. Mon. Not. R. Astron. Soc. 1977, 179, 433–456. [Google Scholar] [CrossRef]
- Zhang, B.; Meszaros, P. Gamma-ray burst afterglow with continuous energy injection: Signature of a highly magnetized millisecond pulsar. Astrophys. J. Lett. 2001, 552, L35–L38. [Google Scholar] [CrossRef]
- van Putten, M.H.P.M. The Central Engine of GRB170817A and the Energy Budget Issue: Kerr Black Hole versus Neutron Star in a Multi-Messenger Analysis. Universe 2023, 9, 279. [Google Scholar] [CrossRef]
- Alexander, K.D.; Margutti, R.; Blanchard, P.K.; Fong, W.; Berger, E.; Hajela, A.; Eftekhari, T.; Chornock, R.; Cowperthwaite, P.S.; Giannios, D.; et al. A Decline in the X-ray through Radio Emission from GW170817 Continues to Support an Off-Axis Structured Jet. Astrophys. J. Lett. 2018, 863, L18. [Google Scholar] [CrossRef]
- Broderick, J.W.; Shimwell, T.W.; Gourdji, K.; Rowlinson, A.; Nissanke, S.; Hotokezaka, K.; Jonker, P.G.; Tasse, C.; Hardcastle, M.J.; Oonk, J.B.R.; et al. LOFAR 144-MHz follow-up observations of GW170817. Mon. Not. R. Astron. Soc. 2020, 494, 5110–5117. [Google Scholar] [CrossRef]
- D’Avanzo, P.; Campana, S.; Salafia, O.S.; Ghirlanda, G.; Ghisellini, G.; Melandri, A.; Bernardini, M.G.; Branchesi, M.; Chassande-Mottin, E.; Covino, S.; et al. The evolution of the X-ray afterglow emission of GW 170817/ GRB 170817A in XMM-Newton observations. Astron. Astrophys. 2018, 613, L1. [Google Scholar] [CrossRef]
- Dobie, D.; Kaplan, D.L.; Murphy, T.; Lenc, E.; Mooley, K.P.; Lynch, C.; Corsi, A.; Frail, D.; Kasliwal, M.; Hallinan, G. A turnover in the radio light curve of GW170817. Astrophys. J. Lett. 2018, 858, L15. [Google Scholar] [CrossRef]
- Ghirlanda, G.; Salafia, O.S.; Paragi, Z.; Giroletti, M.; Yang, J.; Marcote, B.; Blanchard, J.; Agudo, I.; An, T.; Bernardini, M.G.; et al. Compact radio emission indicates a structured jet was produced by a binary neutron star merger. Science 2019, 363, 968. [Google Scholar] [CrossRef]
- Lamb, G.P.; Lyman, J.D.; Levan, A.J.; Tanvir, N.R.; Kangas, T.; Fruchter, A.S.; Gompertz, B.; Hjorth, J.; Mandel, I.; Oates, S.R.; et al. The optical afterglow of GW170817 at one year post-merger. Astrophys. J. Lett. 2019, 870, L15. [Google Scholar] [CrossRef]
- Kim, S.; Schulze, S.; Resmi, L.; González-López, J.; Higgins, A.B.; Ishwara-Chandra, C.H.; Bauer, F.E.; de Gregorio-Monsalvo, I.; De Pasquale, M.; de Ugarte Postigo, A.; et al. ALMA and GMRT constraints on the off-axis gamma-ray burst 170817A from the binary neutron star merger GW170817. Astrophys. J. Lett. 2017, 850, L21. [Google Scholar] [CrossRef]
- Mooley, K.P.; Nakar, E.; Hotokezaka, K.; Hallinan, G.; Corsi, A.; Frail, D.A.; Horesh, A.; Murphy, T.; Lenc, E.; Kaplan, D.L.; et al. A mildly relativistic wide-angle outflow in the neutron star merger GW170817. Nature 2018, 554, 207. [Google Scholar] [CrossRef]
- Mooley, K.P.; Frail, D.A.; Dobie, D.; Lenc, E.; Corsi, A.; De, K.; Nayana, A.J.; Makhathini, S.; Heywood, I.; Murphy, T.; et al. A Strong Jet Signature in the Late-time Light Curve of GW170817. Astrophys. J. Lett. 2018, 868, L11. [Google Scholar] [CrossRef]
- Mooley, K.P.; Deller, A.T.; Gottlieb, O.; Nakar, E.; Hallinan, G.; Bourke, S.; Frail, D.A.; Horesh, A.; Corsi, A.; Hotokezaka, K. Superluminal motion of a relativistic jet in the neutron-star merger GW170817. Nature 2018, 561, 355–359. [Google Scholar] [CrossRef]
- Nynka, M.; Ruan, J.J.; Haggard, D.; Evans, P.A. Fading of the X-Ray Afterglow of Neutron Star Merger GW170817/GRB 170817A at 260 Days. Astrophys. J. Lett. 2018, 862, L19. [Google Scholar] [CrossRef]
- Piro, A.L.; Kollmeier, J.A. Evidence for Cocoon Emission from the Early Light Curve of SSS17a. Astrophys. J. 2018, 855, 103. [Google Scholar] [CrossRef]
- Resmi, L.; Schulze, S.; Ishwara-Chandra, C.H.; Misra, K.; Buchner, J.; De Pasquale, M.; Sánchez-Ramírez, R.; Klose, S.; Kim, S.; Tanvir, N.R.; et al. Low-frequency View of GW170817/GRB 170817A with the Giant Metrewave Radio Telescope. Astrophys. J. 2018, 867, 57. [Google Scholar] [CrossRef]
- Ruan, J.J.; Nynka, M.; Haggard, D.; Kalogera, V.; Evans, P. Brightening X-Ray Emission from GW170817/GRB 170817A: Further Evidence for an Outflow. Astrophys. J. Lett. 2018, 853, L4. [Google Scholar] [CrossRef]
- Troja, E.; van Eerten, H.; Ryan, G.; Ricci, R.; Burgess, J.M.; Wieringa, M.H.; Piro, L.; Cenko, S.B.; Sakamoto, T. A year in the life of GW 170817: The rise and fall of a structured jet from a binary neutron star merger. Mon. Not. R. Astron. Soc. 2019, 489, 1919–1926. [Google Scholar] [CrossRef]
- Troja, E.; Piro, L.; Ryan, G.; van Eerten, H.; Ricci, R.; Wieringa, M.; Lotti, S.; Sakamoto, T.; Cenko, S.B. The outflow structure of GW170817 from late-time broad-band observations. Mon. Not. R. Astron. Soc. 2018, 478, L18–L23. [Google Scholar] [CrossRef]
- Troja, E.; van Eerten, H.; Zhang, B.; Ryan, G.; Piro, L.; Ricci, R.; O’Connor, B.; Wieringa, M.H.; Cenko, S.B.; Sakamoto, T. A thousand days after the merger: Continued X-ray emission from GW170817. Mon. Not. R. Astron. Soc. 2020, 498, 5643–5651. [Google Scholar] [CrossRef]
- Troja, E.; O’Connor, B.; Ryan, G.; Piro, L.; Ricci, R.; Zhang, B.; Piran, T.; Bruni, G.; Cenko, S.B.; van Eerten, H. Accurate flux calibration of GW170817: Is the X-ray counterpart on the rise? Mon. Not. R. Astron. Soc. 2022, 510, 1902–1909. [Google Scholar] [CrossRef]
- Balasubramanian, A.; Corsi, A.; Mooley, K.P.; Hotokezaka, K.; Kaplan, D.L.; Frail, D.A.; Hallinan, G.; Lazzati, D.; Murphy, E.J. GW170817 4.5 Yr After Merger: Dynamical Ejecta Afterglow Constraints. Astrophys. J. 2022, 938, 12. [Google Scholar] [CrossRef]
- Ryan, G.; van Eerten, H.; Troja, E.; Piro, L.; O’Connor, B.; Ricci, R. Modeling of Long-term Afterglow Counterparts to Gravitational Wave Events: The Full View of GRB 170817A. Astrophys. J. 2024, 975, 131. [Google Scholar] [CrossRef]
- Makhathini, S.; Mooley, K.P.; Brightman, M.; Hotokezaka, K.; Nayana, A.J.; Intema, H.T.; Dobie, D.; Lenc, E.; Perley, D.A.; Fremling, C.; et al. The Panchromatic Afterglow of GW170817: The Full Uniform Data Set, Modeling, Comparison with Previous Results, and Implications. Astrophys. J. 2021, 922, 154. [Google Scholar] [CrossRef]
- Kilpatrick, C.D.; Fong, W.; Blanchard, P.K.; Leja, J.; Nugent, A.E.; Palmese, A.; Paterson, K.; Starkenburg, T.; Alexander, K.D.; Berger, E.; et al. Hubble Space Telescope Observations of GW170817: Complete Light Curves and the Properties of the Galaxy Merger of NGC 4993. Astrophys. J. 2022, 926, 49. [Google Scholar] [CrossRef]
- Katira, A.; Mooley, K.P.; Hotokezaka, K. The Late-time Afterglow of GW170817 and Implications for Jet Dynamics. Mon. Not. R. Astron. Soc. 2025, 539, 2654–2664. [Google Scholar] [CrossRef]
- Hajela, A.; Margutti, R.; Bright, J.S.; Alexander, K.D.; Metzger, B.D.; Nedora, V.; Kathirgamaraju, A.; Margalit, B.; Radice, D.; Guidorzi, C.; et al. Evidence for X-Ray Emission in Excess to the Jet-afterglow Decay 3.5 yr after the Binary Neutron Star Merger GW 170817: A New Emission Component. Astrophys. J. Lett. 2022, 927, L17. [Google Scholar] [CrossRef]
- Balasubramanian, A.; Corsi, A.; Mooley, K.P.; Brightman, M.; Hallinan, G.; Hotokezaka, K.; Kaplan, D.L.; Lazzati, D.; Murphy, E.J. Continued Radio Observations of GW170817 3.5 yr Post-merger. Astrophys. J. Lett. 2021, 914, L20. [Google Scholar] [CrossRef]
- Dastidar, R.G.; Duffell, P.C. Could the Recent Rebrightening of the GW170817A Afterglow Be Caused by a Counterjet? Astrophys. J. 2024, 976, 252. [Google Scholar] [CrossRef]
- Villar, V.A.; Cowperthwaite, P.S.; Berger, E.; Blanchard, P.K.; Gomez, S.; Alexander, K.D.; Margutti, R.; Chornock, R.; Eftekhari, T.; Fazio, G.G.; et al. Spitzer Space Telescope Infrared Observations of the Binary Neutron Star Merger GW170817. Astrophys. J. Lett. 2018, 862, L11. [Google Scholar] [CrossRef]
- Wu, M.R.; Barnes, J.; Martinez-Pinedo, G.; Metzger, B.D. Fingerprints of heavy element nucleosynthesis in the late-time lightcurves of kilonovae. Phys. Rev. Lett. 2019, 122, 062701. [Google Scholar] [CrossRef]
- Palmese, A.; Kaur, R.; Hajela, A.; Margutti, R.; McDowell, A.; MacFadyen, A. Standard siren measurement of the Hubble constant using GW170817 and the latest observations of the electromagnetic counterpart afterglow. Phys. Rev. D 2024, 109, 063508. [Google Scholar] [CrossRef]
- Lazzati, D.; Perna, R.; Morsony, B.J.; López-Cámara, D.; Cantiello, M.; Ciolfi, R.; Giacomazzo, B.; Workman, J.C. Late time afterglow observations reveal a collimated relativistic jet in the ejecta of the binary neutron star merger GW170817. Phys. Rev. Lett. 2018, 120, 241103. [Google Scholar] [CrossRef]
- Nakar, E.; Gottlieb, O.; Piran, T.; Kasliwal, M.M.; Hallinan, G. From γ to Radio - The Electromagnetic Counterpart of GW 170817. Astrophys. J. 2018, 867, 18. [Google Scholar] [CrossRef]
- Ioka, K.; Nakamura, T. Spectral Puzzle of the Off-Axis Gamma-Ray Burst in GW170817. Mon. Not. R. Astron. Soc. 2019, 487, 4884–4889. [Google Scholar] [CrossRef]
- Cutler, C.; Apostolatos, T.A.; Bildsten, L.; Finn, L.S.; Flanagan, E.E.; Kennefick, D.; Markovic, D.M.; Ori, A.; Poisson, E.; Sussman, G.J.; et al. The Last three minutes: Issues in gravitational wave measurements of coalescing compact binaries. Phys. Rev. Lett. 1993, 70, 2984–2987. [Google Scholar] [CrossRef]
- Damour, T. Gravitational radiation and the motion of compact bodies. In Lecture Notes in Physics; Springer: Berlin, Germany, 1983; Volume 124, pp. 59–144. [Google Scholar]
- Damour, T.; Soffel, M.; Xu, C.m. General relativistic celestial mechanics. 2. Translational equations of motion. Phys. Rev. D 1992, 45, 1017–1044. [Google Scholar] [CrossRef]
- Flanagan, E.E.; Hinderer, T. Constraining neutron star tidal Love numbers with gravitational wave detectors. Phys. Rev. D 2008, 77, 021502. [Google Scholar] [CrossRef]
- Hinderer, T. Tidal Love numbers of neutron stars. Astrophys. J. 2008, 677, 1216–1220, Erratum in Astrophys. J. 2009, 697, 964. [Google Scholar] [CrossRef]
- Binnington, T.; Poisson, E. Relativistic theory of tidal Love numbers. Phys. Rev. D 2009, 80, 084018. [Google Scholar] [CrossRef]
- Damour, T.; Nagar, A. Relativistic tidal properties of neutron stars. Phys. Rev. D 2009, 80, 084035. [Google Scholar] [CrossRef]
- Hinderer, T.; Lackey, B.D.; Lang, R.N.; Read, J.S. Tidal deformability of neutron stars with realistic equations of state and their gravitational wave signatures in binary inspiral. Phys. Rev. D 2010, 81, 123016. [Google Scholar] [CrossRef]
- Postnikov, S.; Prakash, M.; Lattimer, J.M. Tidal Love Numbers of Neutron and Self-Bound Quark Stars. Phys. Rev. D 2010, 82, 024016. [Google Scholar] [CrossRef]
- Kol, B.; Smolkin, M. Black hole stereotyping: Induced gravito-static polarization. JHEP 2012, 02, 10. [Google Scholar] [CrossRef]
- Pani, P.; Gualtieri, L.; Maselli, A.; Ferrari, V. Tidal deformations of a spinning compact object. Phys. Rev. D 2015, 92, 024010. [Google Scholar] [CrossRef]
- Landry, P.; Poisson, E. Tidal deformation of a slowly rotating material body. External metric. Phys. Rev. D 2015, 91, 104018. [Google Scholar] [CrossRef]
- Read, J.S.; Markakis, C.; Shibata, M.; Uryu, K.; Creighton, J.D.E.; Friedman, J.L. Measuring the neutron star equation of state with gravitational wave observations. Phys. Rev. D 2009, 79, 124033. [Google Scholar] [CrossRef]
- Damour, T.; Nagar, A.; Villain, L. Measurability of the tidal polarizability of neutron stars in late-inspiral gravitational-wave signals. Phys. Rev. D 2012, 85, 123007. [Google Scholar] [CrossRef]
- Del Pozzo, W.; Li, T.G.F.; Agathos, M.; Van Den Broeck, C.; Vitale, S. Demonstrating the feasibility of probing the neutron star equation of state with second-generation gravitational wave detectors. Phys. Rev. Lett. 2013, 111, 071101. [Google Scholar] [CrossRef]
- Favata, M. Systematic parameter errors in inspiraling neutron star binaries. Phys. Rev. Lett. 2014, 112, 101101. [Google Scholar] [CrossRef]
- Yagi, K.; Yunes, N. Love can be Tough to Measure. Phys. Rev. D 2014, 89, 021303. [Google Scholar] [CrossRef]
- Bernuzzi, S.; Nagar, A.; Balmelli, S.; Dietrich, T.; Ujevic, M. Quasiuniversal properties of neutron star mergers. Phys. Rev. Lett. 2014, 112, 201101. [Google Scholar] [CrossRef]
- Wade, L.; Creighton, J.D.E.; Ochsner, E.; Lackey, B.D.; Farr, B.F.; Littenberg, T.B.; Raymond, V. Systematic and statistical errors in a bayesian approach to the estimation of the neutron-star equation of state using advanced gravitational wave detectors. Phys. Rev. D 2014, 89, 103012. [Google Scholar] [CrossRef]
- Agathos, M.; Meidam, J.; Del Pozzo, W.; Li, T.G.F.; Tompitak, M.; Veitch, J.; Vitale, S.; Van Den Broeck, C. Constraining the neutron star equation of state with gravitational wave signals from coalescing binary neutron stars. Phys. Rev. D 2015, 92, 023012. [Google Scholar] [CrossRef]
- Hotokezaka, K.; Kyutoku, K.; Sekiguchi, Y.i.; Shibata, M. Measurability of the tidal deformability by gravitational waves from coalescing binary neutron stars. Phys. Rev. D 2016, 93, 064082. [Google Scholar] [CrossRef]
- Cullen, T.; Harry, I.; Read, J.; Flynn, E. Matter Effects on LIGO/Virgo Searches for Gravitational Waves from Merging Neutron Stars. Class. Quant. Grav. 2017, 34, 245003. [Google Scholar] [CrossRef]
- Müther, H.; Prakash, M.; Ainsworth, T.L. The nuclear symmetry energy in relativistic Brueckner-Hartree-Fock calculations. Phys. Lett. B 1987, 199, 469–474. [Google Scholar] [CrossRef]
- Akmal, A.; Pandharipande, V.R.; Ravenhall, D.G. The Equation of state of nucleon matter and neutron star structure. Phys. Rev. C 1998, 58, 1804–1828. [Google Scholar] [CrossRef]
- Douchin, F.; Haensel, P. A unified equation of state of dense matter and neutron star structure. Astron. Astrophys. 2001, 380, 151. [Google Scholar] [CrossRef]
- Lackey, B.D.; Nayyar, M.; Owen, B.J. Observational constraints on hyperons in neutron stars. Phys. Rev. D 2006, 73, 024021. [Google Scholar] [CrossRef]
- Read, J.S.; Lackey, B.D.; Owen, B.J.; Friedman, J.L. Constraints on a phenomenologically parameterized neutron-star equation of state. Phys. Rev. D 2009, 79, 124032. [Google Scholar] [CrossRef]
- Lattimer, J.M.; Prakash, M. The Equation of State of Hot, Dense Matter and Neutron Stars. Phys. Rept. 2016, 621, 127–164. [Google Scholar] [CrossRef]
- Watts, A.L.; Andersson, N.; Chakrabarty, D.; Feroci, M.; Hebeler, K.; Israel, G.; Lamb, F.K.; Miller, M.C.; Morsink, S.; Özel, F.; et al. Colloquium: Measuring the neutron star equation of state using x-ray timing. Rev. Mod. Phys. 2016, 88, 021001. [Google Scholar] [CrossRef]
- Özel, F.; Freire, P. Masses, Radii, and the Equation of State of Neutron Stars. Ann. Rev. Astron. Astrophys. 2016, 54, 401–440. [Google Scholar] [CrossRef]
- Nättilä, J.; Miller, M.C.; Steiner, A.W.; Kajava, J.J.E.; Suleimanov, V.F.; Poutanen, J. Neutron star mass and radius measurements from atmospheric model fits to X-ray burst cooling tail spectra. Astron. Astrophys. 2017, 608, A31. [Google Scholar] [CrossRef]
- Steiner, A.W.; Heinke, C.O.; Bogdanov, S.; Li, C.; Ho, W.C.G.; Bahramian, A.; Han, S. Constraining the Mass and Radius of Neutron Stars in Globular Clusters. Mon. Not. R. Astron. Soc. 2018, 476, 421–435. [Google Scholar] [CrossRef]
- Abbott, B.P.; Abbott, R.; Abbott, T.D.; Acernese, F.; Ackley, K.; Adams, C.; Adams, T.; Addesso, P.; Adhikari, R.X.; Adya, V.B.; et al. GW170817: Measurements of neutron star radii and equation of state. Phys. Rev. Lett. 2018, 121, 161101. [Google Scholar] [CrossRef] [PubMed]
- Radice, D.; Dai, L. Multimessenger Parameter Estimation of GW170817. Eur. Phys. J. A 2019, 55, 50. [Google Scholar] [CrossRef]
- Coughlin, M.W.; Dietrich, T.; Margalit, B.; Metzger, B.D. timessenger Bayesian parameter inference of a binary neutron star merger. Mon. Not. R. Astron. Soc. 2019, 489, L91–L96. [Google Scholar] [CrossRef]
- Antoniadis, J.; Freire, P.C.C.; Wex, N.; Tauris, T.M.; Lynch, R.S.; van Kerkwijk, M.H.; Kramer, M.; Bassa, C.; Dhillon, V.S.; Driebe, T.; et al. A Massive Pulsar in a Compact Relativistic Binary. Science 2013, 340, 6131. [Google Scholar] [CrossRef]
- Cromartie, H.T. et al. [NANOGrav Collaboration] Relativistic Shapiro delay measurements of an extremely massive millisecond pulsar. Nat. Astron. 2019, 4, 72–76. [Google Scholar] [CrossRef]
- Romani, R.W.; Kandel, D.; Filippenko, A.V.; Brink, T.G.; Zheng, W. PSR J0952-0607: The Fastest and Heaviest Known Galactic Neutron Star. Astrophys. J. Lett. 2022, 934, L17. [Google Scholar] [CrossRef]
- Ruiz, M.; Shapiro, S.L.; Tsokaros, A. GW170817, General Relativistic Magnetohydrodynamic Simulations, and the Neutron Star Maximum Mass. Phys. Rev. D 2018, 97, 021501. [Google Scholar] [CrossRef]
- Fan, Y.Z.; Han, M.Z.; Jiang, J.L.; Shao, D.S.; Tang, S.P. Maximum gravitational mass MTOV=2.25-0.07+0.08M⊙ inferred at about 3% precision with multimessenger data of neutron stars. Phys. Rev. D 2024, 109, 043052. [Google Scholar] [CrossRef]
- Ai, S.; Gao, H.; Yuan, Y.; Zhang, B.; Lan, L. What constraints can one pose on the maximum mass of neutron stars from multimessenger observations? Mon. Not. R. Astron. Soc. 2023, 526, 6260–6273. [Google Scholar] [CrossRef]
- Schutz, B.F. Determining the Hubble Constant from Gravitational Wave Observations. Nature 1986, 323, 310–311. [Google Scholar] [CrossRef]
- Aghanim, N. et al. [Planck Collaboration] Planck 2018 results. VI. Cosmological parameters. Astron. Astrophys. 2020, 641, A6, Erratum in Astron. Astrophys. 2021, 652, C4. [Google Scholar] [CrossRef]
- Riess, A.G.; Casertano, S.; Yuan, W.; Macri, L.M.; Scolnic, D. Large Magellanic Cloud Cepheid Standards Provide a 1% Foundation for the Determination of the Hubble Constant and Stronger Evidence for Physics beyond ΛCDM. Astrophys. J. 2019, 876, 85. [Google Scholar] [CrossRef]
- Poggiani, R. Estimating Hubble Constant with Gravitational Observations: A Concise Review. Galaxies 2025, 13, 65. [Google Scholar] [CrossRef]
- Di Valentino, E.; Mena, O.; Pan, S.; Visinelli, L.; Yang, W.; Melchiorri, A.; Mota, D.F.; Riess, A.G.; Silk, J. In the realm of the Hubble tension—A review of solutions. Class. Quant. Grav. 2021, 38, 153001. [Google Scholar] [CrossRef]
- Dainotti, M.G.; Nagataki, S.; Maeda, K.; Postnikov, S.; Pian, E. A study of gamma ray bursts with afterglow plateau phases associated with supernovae. Astron. Astrophys. 2017, 600, A98. [Google Scholar] [CrossRef]
- Dainotti, M.G.; De Simone, B.; Schiavone, T.; Montani, G.; Rinaldi, E.; Lambiase, G. On the Hubble constant tension in the SNe Ia Pantheon sample. Astrophys. J. 2021, 912, 150. [Google Scholar] [CrossRef]
- Dainotti, M.G.; De Simone, B.; Khadir, M.I.; Kawaguchi, K.; Moriya, T.J.; Takiwaki, T.; Tominaga, N.; Gangopadhyay, A. The Quest for New Correlations in the Realm of the Gamma-Ray Burst—Supernova Connection. Astrophys. J. 2022, 938, 41. [Google Scholar] [CrossRef]
- Dainotti, M.G.; Nielson, V.; Sarracino, G.; Rinaldi, E.; Nagataki, S.; Capozziello, S.; Gnedin, O.Y.; Bargiacchi, G. Optical and X-ray GRB Fundamental Planes as cosmological distance indicators. Mon. Not. R. Astron. Soc. 2022, 514, 1828–1856. [Google Scholar] [CrossRef]
- Cao, S.; Dainotti, M.; Ratra, B. Gamma-ray burst data strongly favour the three-parameter fundamental plane (Dainotti) correlation over the two-parameter one. Mon. Not. R. Astron. Soc. 2022, 516, 1386–1405. [Google Scholar] [CrossRef]
- Dainotti, M.G.; De Simone, B.; Schiavone, T.; Montani, G.; Rinaldi, E.; Lambiase, G.; Bogdan, M.; Ugale, S. On the Evolution of the Hubble Constant with the SNe Ia Pantheon Sample and Baryon Acoustic Oscillations: A Feasibility Study for GRB-Cosmology in 2030. Galaxies 2022, 10, 24. [Google Scholar] [CrossRef]
- Shah, P.; Lemos, P.; Lahav, O. A buyer’s guide to the Hubble constant. Astron. Astrophys. Rev. 2021, 29, 9. [Google Scholar] [CrossRef]
- Freedman, W.L.; Madore, B.F. Progress in direct measurements of the Hubble constant. JCAP 2023, 11, 050. [Google Scholar] [CrossRef]
- Verde, L.; Schöneberg, N.; Gil-Marín, H. A Tale of Many H0. Ann. Rev. Astron. Astrophys. 2024, 62, 287–331. [Google Scholar] [CrossRef]
- Bargiacchi, G.; Dainotti, M.G.; Nagataki, S.; Capozziello, S. Gamma-ray bursts, quasars, baryonic acoustic oscillations, and supernovae Ia: New statistical insights and cosmological constraints. Mon. Not. R. Astron. Soc. 2023, 521, 3909–3924. [Google Scholar] [CrossRef]
- Dainotti, M.G.; Bargiacchi, G.; Bogdan, M.; Lenart, A.Ł.; Iwasaki, K.; Capozziello, S.; Zhang, B.; Fraija, N. Reducing the Uncertainty on the Hubble Constant up to 35% with an Improved Statistical Analysis: Different Best-fit Likelihoods for Type Ia Supernovae, Baryon Acoustic Oscillations, Quasars, and Gamma-Ray Bursts. Astrophys. J. 2023, 951, 63. [Google Scholar] [CrossRef]
- Dainotti, M.; De Simone, B.; Montani, G.; Schiavone, T.; Lambiase., G. The Hubble constant tension: Current status and future perspectives through new cosmological probes. PoS 2023, 436, 235. [Google Scholar] [CrossRef]
- Lenart, A.Ł.; Bargiacchi, G.; Dainotti, M.G.; Nagataki, S.; Capozziello, S. A Bias-free Cosmological Analysis with Quasars Alleviating H 0 Tension. Astrophys. J. Suppl. 2023, 264, 46. [Google Scholar] [CrossRef]
- Dainotti, M.G.; Bargiacchi, G.; Bogdan, M.; Capozziello, S.; Nagataki, S. On the statistical assumption on the distance moduli of Supernovae Ia and its impact on the determination of cosmological parameters. JHEAp 2024, 41, 30–41. [Google Scholar] [CrossRef]
- Dainotti, M.G.; Bargiacchi, G.; Lenart, A.Ł.; Capozziello, S. The Scavenger Hunt for Quasar Samples to Be Used as Cosmological Tools. Galaxies 2024, 12, 4. [Google Scholar] [CrossRef]
- Adil, S.A.; Dainotti, M.G.; Sen, A.A. Revisiting the concordance ΛCDM model using Gamma-Ray Bursts together with supernovae Ia and Planck data. JCAP 2024, 8, 015. [Google Scholar] [CrossRef]
- Dainotti, M.G.; Narendra, A.; Pollo, A.; Petrosian, V.; Bogdan, M.; Iwasaki, K.; Prochaska, J.X.; Rinaldi, E.; Zhou, D. Gamma-Ray Bursts as Distance Indicators by a Statistical Learning Approach. Astrophys. J. Lett. 2024, 967, L30. [Google Scholar] [CrossRef]
- Dainotti, M.G.; De Simone, B.; Montani, G.; Rinaldi, E.; Bogdan, M.; Mohammed Islam, K.; Gangopadhyay, A. Supernovae Ia and Gamma-Ray Bursts together shed new lights on the Hubble constant tension and cosmology. PoS 2023, 444, 1367. [Google Scholar] [CrossRef]
- De Simone, B.; van Putten, M.H.P.M.; Dainotti, M.G.; Lambiase, G. A doublet of cosmological models to challenge the H0 tension in the Pantheon Supernovae Ia catalog. JHEAp 2025, 45, 290–298. [Google Scholar] [CrossRef]
- Bargiacchi, G.; Dainotti, M.G.; Capozziello, S. High-redshift cosmology by Gamma-Ray Bursts: An overview. New Astron. Rev. 2025, 100, 101712. [Google Scholar] [CrossRef]
- Dainotti, M.G.; De Simone, B.; Garg, A.; Kohri, K.; Bashyal, A.; Aich, A.; Mondal, A.; Nagataki, S.; Montani, G.; Jareen, T.; et al. A New Master Supernovae Ia sample and the investigation of the Hubble tension. JHEAp 2025, 48, 100405. [Google Scholar] [CrossRef]
- Dainotti, M.G.; De Simone, B. Supernovae Ia, high-redshift probes, and the Hubble tension: Current status and future perspectives. arXiv 2025, arXiv:2501.14944. [Google Scholar] [CrossRef]
- Fazzari, E.; Dainotti, M.G.; Montani, G.; Melchiorri, A. The effective running Hubble constant in SNe Ia as a marker for the dark energy nature. arXiv 2025, arXiv:2506.04162. [Google Scholar] [CrossRef]
- Abbott, B.P.; Abbott, R.; Abbott, T.D.; Acernese, F.; Ackley, K.; Adams, C.; Adams, T.; Addesso, P.; Adhikari, R.X.; Adya, V.B.; et al. A gravitational-wave standard siren measurement of the Hubble constant. Nature 2017, 551, 85–88. [Google Scholar] [CrossRef]
- Aghanim, N. et al. [Planck Collaboration] Planck 2015 results. XXII. A map of the thermal Sunyaev-Zeldovich effect. Astron. Astrophys. 2016, 594, A22. [Google Scholar] [CrossRef]
- Riess, A.G.; Macri, L.M.; Hoffmann, S.L.; Scolnic, D.; Casertano, S.; Filippenko, A.V.; Tucker, B.E.; Reid, M.J.; Jones, D.O.; Silverman, J.M.; et al. A 2.4% Determination of the Local Value of the Hubble Constant. Astrophys. J. 2016, 826, 56. [Google Scholar] [CrossRef]
- Chen, H.Y.; Vitale, S.; Narayan, R. Viewing angle of binary neutron star mergers. Phys. Rev. X 2019, 9, 031028. [Google Scholar] [CrossRef]
- Abbott, B.P.; Abbott, R.; Abbott, T.D.; Acernese, F.; Ackley, K.; Adams, C.; Adams, T.; Addesso, P.; Adhikari, R.X.; Adya, V.B.; et al. Tests of General Relativity with GW170817. Phys. Rev. Lett. 2019, 123, 011102. [Google Scholar] [CrossRef] [PubMed]
- Jin, Z.P.; Hotokezaka, K.; Li, X.; Tanaka, M.; D’Avanzo, P.; Fan, Y.Z.; Covino, S.; Wei, D.M.; Piran, T. The Macronova in GRB 050709 and the GRB/macronova connection. Nat. Commun. 2016, 7, 12898. [Google Scholar] [CrossRef]
- Yang, B.; Jin, Z.P.; Li, X.; Covino, S.; Zheng, X.Z.; Hotokezaka, K.; Fan, Y.Z.; Piran, T.; Wei, D.M. A possible Macronova in the late afterglow of the `long-short’ burst GRB 060614. Nat. Commun. 2015, 6, 7323. [Google Scholar] [CrossRef]
- Jin, Z.P.; Li, X.; Cano, Z.; Covino, S.; Fan, Y.Z.; Wei, D.M. The Light Curve of the Macronova Associated with the Long–short Burst GRB 060614. Astrophys. J. Lett. 2015, 811, L22. [Google Scholar] [CrossRef]
- Zhu, Y.M.; Zhou, H.; Wang, Y.; Liao, N.H.; Jin, Z.P.; Wei, D.M. The afterglow of GRB 070707 and a possible kilonova component. Mon. Not. R. Astron. Soc. 2023, 521, 269–277. [Google Scholar] [CrossRef]
- Gao, H.; Ding, X.; Wu, X.F.; Dai, Z.G.; Zhang, B. GRB 080503 late afterglow re-brightening: Signature of a magnetar powered merger-nova. Astrophys. J. 2015, 807, 163. [Google Scholar] [CrossRef]
- Zhou, H.; Jin, Z.P.; Covino, S.; Lei, L.; An, Y.; Gong, H.Y.; Fan, Y.Z.; Wei, D.M. GRB 080503: A Very Early Blue Kilonova and an Adjacent Nonthermal Radiation Component. Astrophys. J. 2023, 943, 104. [Google Scholar] [CrossRef]
- Troja, E.; Ryan, G.; Piro, L.; van Eerten, H.; Cenko, S.B.; Yoon, Y.; Lee, S.-K.; Im, M.; Sakamoto, T.; Gatkine, P.; et al. A luminous blue kilonova and an off-axis jet from a compact binary merger at z=0.1341. Nat. Commun. 2018, 9, 4089. [Google Scholar] [CrossRef]
- Stratta, G.; Nicuesa Guelbenzu, A.M.; Klose, S.; Rossi, A.; Singh, P.; Palazzi, E.; Guidorzi, C.; Camisasca, A.; Bernuzzi, S.; Rau, A.; et al. The Puzzling Long GRB 191019A: Evidence for Kilonova Light. Astrophys. J. 2025, 979, 159. [Google Scholar] [CrossRef]
- Rastinejad, J.C.; Gompertz, B.P.; Levan, A.J.; Fong, W.; Nicholl, M.; Lamb, G.P.; Malesani, D.B.; Nugent, A.E.; Oates, S.R.; Tanvir, N.R.; et al. A kilonova following a long-duration gamma-ray burst at 350 Mpc. Nature 2022, 612, 223–227. [Google Scholar] [CrossRef] [PubMed]
- Levan, A.J.; Gompertz, B.P.; Salafia, O.S.; Bulla, M.; Burns, E.; Hotokezaka, K.; Izzo, L.; Lamb, G.P.; Malesani, D.B.; Oates, S.R.; et al. Heavy-element production in a compact object merger observed by JWST. Nature 2024, 626, 737–741. [Google Scholar] [CrossRef]
- Gillanders, J.H.; Troja, E.; Fryer, C.L.; Ristic, M.; O’Connor, B.; Fontes, C.J.; Yang, Y.-H.; Domoto, N.; Rahmouni, S.; Tanaka, M.; et al. Heavy element nucleosynthesis associated with a gamma-ray burst. arXiv 2023, arXiv:2308.00633. [Google Scholar] [CrossRef]
- Norris, J.P.; Bonnell, J.T. Short gamma-ray bursts with extended emission. Astrophys. J. 2006, 643, 266–275. [Google Scholar] [CrossRef]
- Escorial, A.R.; Fong, W.; Berger, E.; Laskar, T.; Margutti, R.; Schroeder, G.; Rastinejad, J.C.; Cornish, D.; Popp, S.; Lally, M.; et al. The Jet Opening Angle and Event Rate Distributions of Short Gamma-Ray Bursts from Late-time X-Ray Afterglows. Astrophys. J. 2023, 959, 13. [Google Scholar] [CrossRef]
- Abbott, R.; Abbott, T.D.; Acernese, F.; Ackley, K.; Adams, C.; Adhikari, N.; Adhikari, R.X.; Adya, V.B.; Affeldt, C.; Agarwal, D.; et al. Population of Merging Compact Binaries Inferred Using Gravitational Waves through GWTC-3. Phys. Rev. X 2023, 13, 011048. [Google Scholar] [CrossRef]
- O’Shaughnessy, R.; Kim, C. Pulsar Binary Birthrates with Spin-Opening Angle Correlations. Astrophys. J. 2010, 715, 230–241. [Google Scholar] [CrossRef]
- Grunthal, K.; Kramer, M.; Desvignes, G. Revisiting the Galactic Double Neutron Star merger and LIGO detection rates. Mon. Not. R. Astron. Soc. 2021, 507, 5658–5670. [Google Scholar] [CrossRef]
- Petrosian, V.; Dainotti, M.G. Progenitors of Low-redshift Gamma-Ray Bursts. Astrophys. J. Lett. 2024, 963, L12. [Google Scholar] [CrossRef]
- Doctor, Z. et al. [DES Collaboration] A Search for Kilonovae in the Dark Energy Survey. Astrophys. J. 2017, 837, 57. [Google Scholar] [CrossRef]
- Andreoni, I.; Kool, E.C.; Sagués Carracedo, A.; Kasliwal, M.M.; Bulla, M.; Ahumada, T.; Coughlin, M.W.; Anand, S.; Sollerman, J.; Goobar, A.; et al. Constraining the Kilonova Rate with Zwicky Transient Facility Searches Independent of Gravitational Wave and Short Gamma-ray Burst Triggers. Astrophys. J. 2020, 904, 155. [Google Scholar] [CrossRef]
- Frostig, D.; Biscoveanu, S.; Mo, G.; Karambelkar, V.; Dal Canton, T.; Chen, H.-Y.; Kasliwal, M.; Katsavounidis, E.; Lourie, N.P.; Simcoe, R.A.; et al. An Infrared Search for Kilonovae with the WINTER Telescope. I. Binary Neutron Star Mergers. Astrophys. J. 2022, 926, 152. [Google Scholar] [CrossRef]
- McBrien, O.R.; Smartt, S.J.; Huber, M.E.; Rest, A.; Chambers, K.C.; Barbieri, C.; Bulla, M.; Jha, S.; Gromadzki, M.; Srivastav, S.; et al. PS15cey and PS17cke: Prospective candidates from the Pan-STARRS Search for Kilonovae. Mon. Not. R. Astron. Soc. 2020, 500, 4213–4228. [Google Scholar] [CrossRef]
- Van Bemmel, N.; Zhang, J.; Cooke, J.; Rest, A.; Möller, A.; Andreoni, I.; Auchettl, K.; Dobie, D.; Gendre, B.; Goode, S.; et al. An optically led search for kilonovae to z∼0.3 with the Kilonova and Transients Programme (KNTraP). Mon. Not. R. Astron. Soc. 2025, 537, 3332–3348. [Google Scholar] [CrossRef]
- Rueda, J.A.; Ruffini, R.; Wang, Y.; Aimuratov, Y.; Barres de Almeida, U.; Bianco, C.L.; Chen, Y.C.; Lobato, R.V.; Maia, C.; Primorac, D.; et al. GRB 170817A-GW170817-AT 2017gfo and the observations of NS-NS, NS-WD and WD-WD mergers. JCAP 2018, 10, 006. [Google Scholar] [CrossRef]
- Beniamini, P.; Duran, R.B.; Petropoulou, M.; Giannios, D. Ready, Set, Launch: Time Interval between a Binary Neutron Star Merger and Short Gamma-Ray Burst Jet Formation. Astrophys. J. Lett. 2020, 895, L33. [Google Scholar] [CrossRef]
- Salafia, O.S.; Ghisellini, G.; Ghirlanda, G.; Colpi, M. Interpreting GRB170817A as a giant flare from a jet-less double neutron-star merger. Astron. Astrophys. 2018, 619, A18. [Google Scholar] [CrossRef]
- Wang, H.; Zhang, F.; Wang, Y.; Shen, Z.; Liang, Y.; Li, X.; Liao, N.; Jin, Z.; Yuan, Q.; Zou, Y.; et al. The GW170817/GRB 170817A/AT 2017gfo Association: Some Implications for Physics and Astrophysics. Astrophys. J. Lett. 2017, 851, L18. [Google Scholar] [CrossRef]
- Boran, S.; Desai, S.; Kahya, E.O.; Woodard, R.P. GW170817 Falsifies Dark Matter Emulators. Phys. Rev. D 2018, 97, 041501. [Google Scholar] [CrossRef]
- Rezzolla, L.; Kumar, P. A novel paradigm for short gamma-ray bursts with extended X-ray emission. Astrophys. J. 2015, 802, 95. [Google Scholar] [CrossRef]
- Ciolfi, R.; Siegel, D.M. Short gamma-ray bursts in the ”time-reversal” scenario. Astrophys. J. Lett. 2015, 798, L36. [Google Scholar] [CrossRef]
- Tsang, D.; Read, J.S.; Hinderer, T.; Piro, A.L.; Bondarescu, R. Resonant Shattering of Neutron Star Crusts. Phys. Rev. Lett. 2012, 108, 011102. [Google Scholar] [CrossRef] [PubMed]
- Kostelecky, V.A.; Russell, N. Data Tables for Lorentz and CPT Violation. Rev. Mod. Phys. 2011, 83, 11–31. [Google Scholar] [CrossRef]
- Cornish, N.; Blas, D.; Nardini, G. Bounding the speed of gravity with gravitational wave observations. Phys. Rev. Lett. 2017, 119, 161102. [Google Scholar] [CrossRef]
- Clifton, T.; Ferreira, P.G.; Padilla, A.; Skordis, C. Modified Gravity and Cosmology. Phys. Rept. 2012, 513, 1–189. [Google Scholar] [CrossRef]
- Joyce, A.; Jain, B.; Khoury, J.; Trodden, M. Beyond the Cosmological Standard Model. Phys. Rept. 2015, 568, 1–98. [Google Scholar] [CrossRef]
- Kahya, E.O.; Woodard, R.P. A generic test of modified gravity models which emulate dark matter. Phys. Lett. B 2007, 652, 213–216. [Google Scholar] [CrossRef]
- Desai, S.; Kahya, E.O.; Woodard, R.P. Reduced time delay for gravitational waves with dark matter emulators. Phys. Rev. D 2008, 77, 124041. [Google Scholar] [CrossRef]
- Horndeski, G.W. Second-order scalar-tensor field equations in a four-dimensional space. Int. J. Theor. Phys. 1974, 10, 363–384. [Google Scholar] [CrossRef]
- Green, M.A.; Moffat, J.W.; Toth, V.T. Modified Gravity (MOG), the speed of gravitational radiation and the event GW170817/GRB170817A. Phys. Lett. B 2018, 780, 300–302. [Google Scholar] [CrossRef]
- Oikonomou, V.K. Revisiting Einstein-Gauss-Bonnet theories after GW170817. Phys. Lett. B 2024, 856, 138890. [Google Scholar] [CrossRef]
- Sakstein, J.; Jain, B. Implications of the Neutron Star Merger GW170817 for Cosmological Scalar-Tensor Theories. Phys. Rev. Lett. 2017, 119, 251303. [Google Scholar] [CrossRef]
- Kase, R.; Tsujikawa, S. Dark energy in Horndeski theories after GW170817: A review. Int. J. Mod. Phys. D 2019, 28, 1942005. [Google Scholar] [CrossRef]
- Creminelli, P.; Vernizzi, F. Dark Energy after GW170817 and GRB170817A. Phys. Rev. Lett. 2017, 119, 251302. [Google Scholar] [CrossRef] [PubMed]
- Ezquiaga, J.M.; Zumalacárregui, M. Dark Energy After GW170817: Dead Ends and the Road Ahead. Phys. Rev. Lett. 2017, 119, 251304. [Google Scholar] [CrossRef] [PubMed]
- Colombo, A.; Salafia, O.S.; Gabrielli, F.; Ghirlanda, G.; Giacomazzo, B.; Perego, A.; Colpi, M. Multi-messenger Observations of Binary Neutron Star Mergers in the O4 Run. Astrophys. J. 2022, 937, 79. [Google Scholar] [CrossRef]
- Punturo, M.; Abernathy, M.; Acernese, F.; Allen, B.; Andersson, N.; Arun, K.; Barone, F.; Barr, B.; Barsuglia, M.; Beker, M.; et al. The Einstein Telescope: A third-generation gravitational wave observatory. Class. Quant. Grav. 2010, 27, 194002. [Google Scholar] [CrossRef]
- Reitze, D.; Adhikari, R.X.; Ballmer, S.; Barish, B.; Barsotti, L.; Billingsley, G.; Brown, D.A.; Chen, Y.; Coyne, D.; Eisenstein, R.; et al. Cosmic Explorer: The U.S. Contribution to Gravitational-Wave Astronomy beyond LIGO. Bull. Am. Astron. Soc. 2019, 51, 035. [Google Scholar]
- Baiotti, L. Gravitational waves from neutron star mergers and their relation to the nuclear equation of state. Prog. Part. Nucl. Phys. 2019, 109, 103714. [Google Scholar] [CrossRef]
- Lattimer, J.M. Neutron Stars and the Nuclear Matter Equation of State. Ann. Rev. Nucl. Part. Sci. 2021, 71, 433–464. [Google Scholar] [CrossRef]
- Burgio, G.F.; Schulze, H.J.; Vidana, I.; Wei, J.B. Neutron stars and the nuclear equation of state. Prog. Part. Nucl. Phys. 2021, 120, 103879. [Google Scholar] [CrossRef]
- Raithel, C.; Özel, F.; Psaltis, D. Tidal deformability from GW170817 as a direct probe of the neutron star radius. Astrophys. J. Lett. 2018, 857, L23. [Google Scholar] [CrossRef]
- Malik, T.; Alam, N.; Fortin, M.; Providência, C.; Agrawal, B.K.; Jha, T.K.; Kumar, B.; Patra, S.K. GW170817: Constraining the nuclear matter equation of state from the neutron star tidal deformability. Phys. Rev. C 2018, 98, 035804. [Google Scholar] [CrossRef]
- Shibata, M.; Zhou, E.; Kiuchi, K.; Fujibayashi, S. Constraint on the maximum mass of neutron stars using GW170817 event. Phys. Rev. D 2019, 100, 023015. [Google Scholar] [CrossRef]
- Landry, P.; Essick, R.; Chatziioannou, K. Nonparametric constraints on neutron star matter with existing and upcoming gravitational wave and pulsar observations. Phys. Rev. D 2020, 101, 123007. [Google Scholar] [CrossRef]
- Radice, D.; Perego, A.; Zappa, F.; Bernuzzi, S. GW170817: Joint Constraint on the Neutron Star Equation of State from Multimessenger Observations. Astrophys. J. Lett. 2018, 852, L29. [Google Scholar] [CrossRef]
- Most, E.R.; Weih, L.R.; Rezzolla, L.; Schaffner-Bielich, J. New constraints on radii and tidal deformabilities of neutron stars from GW170817. Phys. Rev. Lett. 2018, 120, 261103. [Google Scholar] [CrossRef]
- De, S.; Finstad, D.; Lattimer, J.M.; Brown, D.A.; Berger, E.; Biwer, C.M. Tidal Deformabilities and Radii of Neutron Stars from the Observation of GW170817. Phys. Rev. Lett. 2018, 121, 091102, Erratum in Phys. Rev. Lett. 2018, 121, 259902. [Google Scholar] [CrossRef]
- Annala, E.; Gorda, T.; Kurkela, A.; Vuorinen, A. Gravitational-wave constraints on the neutron-star-matter Equation of State. Phys. Rev. Lett. 2018, 120, 172703. [Google Scholar] [CrossRef]
- Tews, I.; Margueron, J.; Reddy, S. Critical examination of constraints on the equation of state of dense matter obtained from GW170817. Phys. Rev. C 2018, 98, 045804. [Google Scholar] [CrossRef]
- Raaijmakers, G.; Greif, S.K.; Riley, T.E.; Hinderer, T.; Hebeler, K.; Schwenk, A.; Watts, A.L.; Nissanke, S.; Guillot, S.; Lattimer, J.M.; et al. Constraining the dense matter equation of state with joint analysis of NICER and LIGO/Virgo measurements. Astrophys. J. Lett. 2020, 893, L21. [Google Scholar] [CrossRef]
- Raaijmakers, G.; Greif, S.K.; Hebeler, K.; Hinderer, T.; Nissanke, S.; Schwenk, A.; Riley, T.E.; Watts, A.L.; Lattimer, J.M.; Ho, W.C.G. Constraints on the Dense Matter Equation of State and Neutron Star Properties from NICER’s Mass–Radius Estimate of PSR J0740+6620 and Multimessenger Observations. Astrophys. J. Lett. 2021, 918, L29. [Google Scholar] [CrossRef]
- Zhu, Z.; Li, A.; Liu, T. A Bayesian Inference of a Relativistic Mean-field Model of Neutron Star Matter from Observations of NICER and GW170817/AT2017gfo. Astrophys. J. 2023, 943, 163. [Google Scholar] [CrossRef]
- Miao, Z.; Li, A.; Dai, Z.G. On the moment of inertia of PSR J0737-3039 A from LIGO/Virgo and NICER. Mon. Not. R. Astron. Soc. 2022, 515, 5071–5080. [Google Scholar] [CrossRef]
- Pang, P.T.H.; Tews, I.; Coughlin, M.W.; Bulla, M.; Van Den Broeck, C.; Dietrich, T. Nuclear Physics Multimessenger Astrophysics Constraints on the Neutron Star Equation of State: Adding NICER’s PSR J0740+6620 Measurement. Astrophys. J. 2021, 922, 14. [Google Scholar] [CrossRef]
- Li, A.; Miao, Z.; Han, S.; Zhang, B. Constraints on the maximum mass of neutron stars with a quark core from GW170817 and NICER PSR J0030+0451 data. Astrophys. J. 2021, 913, 27. [Google Scholar] [CrossRef]
- Margalit, B.; Metzger, B.D. The Multi-Messenger Matrix: The Future of Neutron Star Merger Constraints on the Nuclear Equation of State. Astrophys. J. Lett. 2019, 880, L15. [Google Scholar] [CrossRef]
- Morsony, B.J.; Santos, R.D.L.; Hernandez, R.; Bustamante, J.; Yassuiae, B.; Astorga, G.; Parra, J.; Workman, J.C. The afterglow of GW170817 from every angle: Prospects for detecting the afterglows of binary neutron star mergers. Mon. Not. R. Astron. Soc. 2024, 533, 510–524. [Google Scholar] [CrossRef]
- Shibata, M.; Uryu, K. Simulation of merging binary neutron stars in full general relativity: Gamma = two case. Phys. Rev. D 2000, 61, 064001. [Google Scholar] [CrossRef]
- Andersson, N. Gravitational waves from instabilities in relativistic stars. Class. Quant. Grav. 2003, 20, R105. [Google Scholar] [CrossRef]
- Clark, J.A.; Bauswein, A.; Stergioulas, N.; Shoemaker, D. Observing Gravitational Waves From The Post-Merger Phase Of Binary Neutron Star Coalescence. Class. Quant. Grav. 2016, 33, 085003. [Google Scholar] [CrossRef]
- Lasky, P.D.; Glampedakis, K. Observationally constraining gravitational wave emission from short gamma-ray burst remnants. Mon. Not. R. Astron. Soc. 2016, 458, 1660–1670. [Google Scholar] [CrossRef]
- Baiotti, L.; Rezzolla, L. Binary neutron star mergers: A review of Einstein’s richest laboratory. Rept. Prog. Phys. 2017, 80, 096901. [Google Scholar] [CrossRef]
- Piro, A.L.; Giacomazzo, B.; Perna, R. The Fate of Neutron Star Binary Mergers. Astrophys. J. Lett. 2017, 844, L19. [Google Scholar] [CrossRef]
- Bose, S.; Chakravarti, K.; Rezzolla, L.; Sathyaprakash, B.S.; Takami, K. Neutron-star Radius from a Population of Binary Neutron Star Mergers. Phys. Rev. Lett. 2018, 120, 031102. [Google Scholar] [CrossRef]
- Siegel, D.M.; Barnes, J.; Metzger, B.D. Collapsars as a major source of r-process elements. Nature 2019, 569, 241. [Google Scholar] [CrossRef]
- Rossoni, S.; Boncioli, D.; Sigl, G. Investigating binary-neutron-star mergers as production sites of high-energy neutrinos. JCAP 2025, 01, 009. [Google Scholar] [CrossRef]
- Dálya, G.; Díaz, R.; Bouchet, F.R.; Frei, Z.; Jasche, J.; Lavaux, G.; Macas, R.; Mukherjee, S.; Pálfi, M.; de Souza, R.S.; et al. GLADE+: An Extended Galaxy Catalogue for timessenger Searches with Advanced Gravitational-wave Detectors. arXiv 2021, arXiv:2110.06184. [Google Scholar] [CrossRef]
- Dey, A. et al. [DESI Collaboration] Overview of the DESI Legacy Imaging Surveys. Astron. J. 2019, 157, 168. [Google Scholar] [CrossRef]
- Flewelling, H.A.; Magnier, E.A.; Chambers, K.C.; Heasley, J.N.; Holmberg, C.; Huber, M.E.; Sweeney, W.; Waters, C.Z.; Calamida, A.; Casertano, S.; et al. The Pan-STARRS1 Database and Data Products. Astrophys. J. Suppl. 2020, 251, 7. [Google Scholar] [CrossRef]
- Ivezić, V. et al. [LSST Collaboration] LSST: From Science Drivers to Reference Design and Anticipated Data Products. Astrophys. J. 2019, 873, 111. [Google Scholar] [CrossRef]
- Andreoni, I.; Coughlin, M.W.; Kool, E.C.; Kasliwal, M.M.; Kumar, H.; Bhalerao, V.; Carracedo, A.S.; Ho, A.Y.Q.; Pang, P.T.H.; Saraogi, D.; et al. Fast-transient Searches in Real Time with ZTFReST: Identification of Three Optically Discovered Gamma-Ray Burst Afterglows and New Constraints on the Kilonova Rate. Astrophys. J. 2021, 918, 63. [Google Scholar] [CrossRef]
Disclaimer/Publisher’s Note: The statements, opinions and data contained in all publications are solely those of the individual author(s) and contributor(s) and not of MDPI and/or the editor(s). MDPI and/or the editor(s) disclaim responsibility for any injury to people or property resulting from any ideas, methods, instructions or products referred to in the content. |
© 2025 by the author. Licensee MDPI, Basel, Switzerland. This article is an open access article distributed under the terms and conditions of the Creative Commons Attribution (CC BY) license (https://creativecommons.org/licenses/by/4.0/).






