Abstract
V658 Car is the first known eclipsing binary system involving a classical Be star and an sdOB companion, offering a unique opportunity to study disk physics and binary interactions in unprecedented detail. From TESS data and multi-color observations from the comissão para a colaboração entre profissionais e amadores collaboration, we analyze the system’s color–magnitude diagram and compare it with radiative transfer models that include the Be star, its circumstellar disk, and the sdOB companion. While the stellar eclipses are well reproduced, two features observed in the multi-color photometry challenge the current modeling paradigm: the discrepancy between the observed reddening and the modeled blueing during the first attenuation phase and the complete lack of modeled attenuation around the second stellar eclipse. These issues highlight the need for more sophisticated modeling approaches to capture the complex interplay between disk opacity and binary dynamics.
1. Introduction
Classical Be stars are rapidly rotating main-sequence stars that, for reasons not yet fully understood, undergo episodic mass loss that leads to the formation of a circumstellar disk [1]. While the physical mechanism behind these outbursts remains uncertain, non-radial pulsations are often considered the most promising explanation [2,3]. Regardless of the exact trigger, fast rotation is clearly a critical factor, either by initiating the mechanism directly or by facilitating it by lowering the energy barrier required to expel material. Consequently, understanding the origin of Be stars is intrinsically tied to understanding the origin of their spin-up.
Among the various formation scenarios proposed, binary evolution is of particular relevance to this study. In this scenario, the initially more massive star evolves more quickly and transfers its outer layers to its lower-mass companion via Roche lobe overflow. The result is the stripped core of the donor and a rejuvenated, rapidly rotating Be star that has gained both mass and angular momentum [4]. After mass transfer ceases, the donor star is initially observed as a bloated star [5] before it eventually begins to shrink and evolve into a subdwarf (sdOB), which is smaller than the Sun. Over the past decade, approximately 20 such systems [6], known as Be + sdOB binaries, have been identified. However, their detection is challenging: although the hot subdwarf companion is typically hotter than the Be star, it is generally much fainter and therefore difficult to observe directly (e.g., [7]).
In this context, V658 Car stands out as a benchmark example of a Be + sdOB system. Its companion is unusually luminous, comparable to the Be star, and the nearly edge-on orientation of the system makes it the first known classical Be eclipsing binary. This geometry provides a rare opportunity to study disk physics in Be binaries in unprecedented detail. The system was first identified as binary by [8] and as an eclipsing Be Binary by [9]. Recently, [10] classified it as an eclipsing Ae + B binary, with similar stellar radii ( and ) and effective temperatures ( and ). This interpretation is now considered unlikely due to the presence of helium absorption lines in the sdOB spectrum [11].
Recently, [11] (hereafter Paper I) re-analyzed V658 Car, simultaneously fitting the polarimetry in the BRVI bands, the TESS light curve, the equivalent width, and the spectral energy distribution (SED) from the ultraviolet to the near-infrared. Based on this comprehensive dataset and improved modeling, Paper I demonstrated that V658 Car is consistent with a Be + sdOB configuration, or at least that its companion is currently contracting and will soon enter the subdwarf phase.
Crucially, the nearly edge-on, double-lined (SB2) nature of the system enabled the authors to determine the component masses with high precision. Using a TESS (Transiting Exoplanet Survey Satellite, [12]) light curve, they also constrained the radii of both components to high accuracy and uncovered new details about disk behavior that cannot be addressed in less favorable systems.
Paper I successfully reproduced the observed polarization, the emission level, the ultraviolet and optical spectral energy distribution (SED), and both stellar eclipses in the TESS light curve. However, the results are not without shortcomings. The authors encountered difficulties in reproducing the equivalent width variability, the infrared portion of the SED, and the observed stellar attenuations (as discussed in Section 4 and Section 5). Although their adopted model explains the overall system properties reasonably well, it does not fully reproduce all observed features.
In this paper, we present a complementary analysis by exploring the positional variation of V658 Car in the B- and V-band color–magnitude diagram (CMD) during the stellar attenuations and eclipses. The CMD was obtained in collaboration with the comissão para a colaboração entre profissionais e amadores (COPA) from the Brazilian Astronomical Society.
2. Observational Data
TESS observed V658 Car over five sequences of approximately 30 days each: sector 10 in 2019, sectors 36 and 37 in 2021, and sectors 63 and 64 in 2023. With a high cadence (2 min) and a signal-to-noise ratio of about 13,000, these observations enabled a detailed analysis of the eclipses. However, they were obtained in a single band in the range 600–.
In partnership with the COPA collaboration, we obtained multi-color absolute photometry in the Johnson B and V bands. Observations were conducted at eight different sites, with a cadence of one observation per hour during stellar eclipses and one observation per day throughout the remainder of the orbital cycle, each of them consisting of ten images. For each observation, we used the mean flux as the representative flux and the standard deviation as the associated uncertainty. V658 Car was observed 335 times in the B filter and 494 times in the V filter between March and July 2022, achieving a precision of 10 and 12 millimagnitudes, respectively.
We employed standard data reduction techniques, including aperture photometry, bias and dark subtraction, flat-field correction, and the removal of bad frames (e.g., saturated images). We also highlight that one of the eight sites produced measurements with a systematic offset of 50 millimagnitudes; this offset was subtracted from the final dataset. To perform absolute photometric calibration, we used the AstroImageJ V5.0.3.00 software created by Karen Collins, Kevin Eastridge and John Kielkopf (University of Louisville, Louisville, KY, USA) [13], specifically Equations C1 and C2, which describe the weighted average used. We selected four relatively constant stars (as seen by TESS and indicated by the spectral type) as field stars: HD 303181, HD 303097, HD 303094, and TYC 8613-495-1. To produce a cleaner color–magnitude diagram, thereby avoiding crowding while allowing for a one-to-one comparison of the B and V observations, we binned the data into phase intervals of 0.025, 0.009, and 0.003 for the flat portion, stellar attenuation, and stellar eclipses, respectively. Within each bin, we computed the average values weighted by the observational uncertainties. The original, unbinned data are shown in Figure 1, while Figure 2 shows a CMD diagram with the binned data.
Figure 1.
B and V photometry during an orbital period. The observations are shown as blue and green dots for the B and V filters, respectively. The model curves (see Table 1) are represented by solid lines following the same color scheme for B and V. For both the model and the observations, the B-band data were shifted by +0.1 mag to improve visualization.
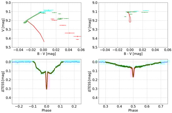
Figure 2.
The top-left panel displays the color–magnitude diagram in the neighborhood of the first stellar eclipse, while the bottom-left panel shows the corresponding TESS light curve for the same phases. Matching colors in both panels indicate corresponding phases, emphasizing key intervals where distinct phenomena occur: cyan represents the flat portion, green the attenuations, and red the eclipses. Similarly, the top-right and bottom-right panels present the CMD and TESS light curves for phases around the second stellar eclipse. The observations are represented by dots with error bars, while the model is represented by colored lines, following the same color scheme.
3. Modeling Overview
For the sake of completeness, we briefly describe the model developed for this system and reported by Paper I. It consists of three components: the Be star, its circumstellar disk, and the hot subdwarf companion. The disk was assumed to be axisymmetric around the Be star and truncated at the Roche lobe radius. In Figure 1 of Paper I [11], the authors show a schematic view of the system, with the respective definition of the phases (where corresponds to the eclipse of the sdOB star). We adopt their best-fit parameters, which is summarized in Table 1.
Table 1.
Model input parameters corresponding to the best-fit solution obtained in Paper I [11]. These parameters were kept fixed during the modeling.
The disk structure was based on the viscous decretion disk (VDD) formulation originally proposed by [14]. In this scenario, material ejected from the Be star surface is redistributed outward as a result of viscous torques, forming a Keplerian disk. The disk is geometrically thin, with most material concentrated in the equatorial plane, and vertically supported by hydrostatic equilibrium. Its vertical extent, or scale height, is described by a power law as a function of the radius, r,
where is the flaring parameter, is the scale height at the base of the disk, and is the Be equatorial radius. A commonly used and useful approximation for the radial dependence of the density is (see, e.g., [15])
where m is the disk density slope and is the density at the base of the disk. Under the isothermal approximation [16] and assuming that the disk was fed at a constant rate for a long time [17], typical parameters are , , and , where is the sound speed (computed using 72% of the star’s polar temperature; [18]) and is the local orbital velocity.
The presence of a binary companion introduces modifications to this idealized structure. As explained in [19], the additional gravitational potential from the sdOB companion reduces the disk’s vertical extent in the vicinity of the companion. The density profile should also become flatter (lower m) due to the mass accumulation effect, where the companion steals angular momentum from the disk, requiring additional torque for it to grow and thus more mass on the outskirts. To loosely simulate these effects, Paper I constructed an alternative model with , reflecting a denser outer disk. However, both density prescriptions produce effectively identical results. For clarity and simplicity, we have chosen to present only the solution in the photometric analysis.
The modeling is executed in two stages. In the first, the 3D Monte Carlo radiative transfer code HDUST [18,20] is used to simulate the thermal structure of the disk, by computing electron temperatures and hydrogen-level populations, and the subsequent continuum emission. In its current version, HDUST can self-consistently solve the radiative equilibrium equation in the disk by considering a single stellar source. The companion star is thus excluded from this stage due to current code limitations, which prevent the inclusion of multiple radiation sources. This is an ongoing effort that will be reported in future publications.
In the second stage, Paper I employs a ray-tracing code specifically designed for this project to compute the observed flux from each stellar component, incorporating disk absorption and occultation effects as a function of the orbital phase. For the stellar photospheric spectra, the authors adopt models from Coelho [21] for the Be star and Lanz & Hubeny [22] for the hot subdwarf companion. The final synthetic spectrum includes the continuum contributions from the Be star, its disk, and the companion, properly accounting for any phase-dependent eclipses or attenuations, which are corrected for interstellar reddening using the color excess.
4. Results
Data from TESS sectors 36 and 37 1 are plotted in Figure 2. The overall shape of the TESS light curve for V658 Car (bottom panels) reveals two short, deep, and sharp stellar eclipses (hereafter, the first and second stellar eclipses, with orbital phases 0 and 0.5, respectively) in the center of two broad and shallower dimmings that do not resemble normal eclipses (hereafter, the first and second attenuations, following the above phase convention). The first stellar eclipse is about 50% deeper than the second (relative to the adjacent brightness level), and they do not present flat-bottom features. For reference, the model predicts a relative contribution in the V band of 63.5%, 30%, and 6.5% for the Be star, the companion, and the disk emission, respectively. The overall behavior in the B and V light curves in Figure 1 agrees qualitatively well with the TESS data.
The broad attenuations show notable differences from one another. The second one is highly symmetric around phase 0.5, exhibits a slow rate of brightness variation with a smooth transition from the baseline, and spans a wide range in terms of the phase (approximately from 0.3 to 0.7). In contrast, the first attenuation has a much larger rate of variation and features sharp edges. More importantly, the first attenuation is highly asymmetric, with the ingress 2 being narrower and slightly shallower than the egress. Similar to observations in other eclipsing binaries, such as Algol-like stars [23], ref. [10] linked the broad attenuations to absorption by circumstellar material.
In the color–magnitude diagram (CMD, Figure 2), the flat portion of the light curve (shown in cyan), where there is no eclipse or attenuation, is characterized by , consistent with the values measured by Hauck [10], where mag and mag. The first stellar eclipse (in red) appears as a fading and reddening from and mag to and mag as the companion (hotter) star is being eclipsed. The first attenuation is more intricate; during this part (in green), the system first becomes redder and dimmer, reaching and , and then it just becomes bluer, reaching . The models predict a different scenario, although a similar attenuation is noticed, and the system becomes bluer–opposite to what is observed.
During the second attenuation (in green), the system becomes bluer and dimmer ( and ) when the companion is in front of the Be star. This would be consistent with a dimming of the Be star, as it represents the redder component. We do not have enough coverage of the second stellar eclipse to draw precise conclusions. However, as the Be star would be further dimmed, we would expect the system to become even bluer.
5. Discussion
Similarly to Paper I, where the model successfully reproduced some observational features but failed to match others, the same pattern is evident in Figure 2.
The first notable point is that the color of our best-fit solution during the flat portion of the light curve is reasonably close to the observed values, within the standard deviation from a perfect match.
The primary issue with the models arises during the first attenuation phase. Observations show that the system becomes redder during this period, which is broadly expected for two reasons: (1) the contribution from the bluer component decreases, and (2) a circumstellar disk, being much cooler than the stars, should generally redden the system. However, our models predict the opposite trend, with the system becoming bluer. This is likely due to the wavelength-dependent nature of bound-free opacity (see Figure 1 of [24]) in the disk: in the Balmer continuum, the disk becomes more optically thick at longer wavelengths, which dominates the color change and leads to a net reddening effect. A similar phenomenon was reported in [17]. The authors examine the CMD during the build-up phase, during which the star actively loses mass and the disk grows. This scenario is comparable, as disk attenuation resembles the build-up process. Exploring CMDs with alternative color indices, such as U–V, may help clarify the true dynamics of disk absorption.
The first stellar eclipse is well reproduced by our models, provided that the first attenuation discrepancy is ignored. Similar to observations, the model gets dimmer by approximately 0.2 mag in the V band and redder by about 0.03 mag, indicating that the stellar parameters are likely accurate and that the discrepancies arise mainly from the disk solution.
As mentioned in Section 3, our two proposed solutions, and , yield identical results. This suggests that the current disk model implementation may not be sufficient to resolve the remaining inconsistencies. This conclusion is consistent with Paper I, where the authors also identified a few inconsistencies. The main difference, however, is that most of the issues discussed in Paper I are expected to be resolved with the development of more refined models that account for the complex interplay between disk opacity and binary dynamics. In contrast, this paper presents two features in the multi-color photometry that such refinements are unlikely to resolve, which therefore pose key challenges for any future modeling efforts: the discrepancy between the observed and modeled behavior during the first attenuation and the absence of any dimming in the models during the second attenuation.
Author Contributions
Conceptualization, A.C.C.; writing, T.H.d.A. and A.C.C.; software, T.H.d.A.; observations, A.Z., C.C., C.J., J.A.M., M.D., M.R., S.S. and T.N.; data curation, D.K. and J.L.-B.; project administration, A.C.C. and T.N. All authors have read and agreed to the published version of the manuscript.
Funding
This research was co-funded by ’Fundação de Amparo à Pesquisa do Estado de São Paulo’ under grant numbers 2021/01891-2, 2018/04055-8, and 2019/13354-1; ’Conselho Nacional de Pesquisa’ under grant number 314545/2023-9, the ’Coordenação de Aperfeiçoamento de Pessoal de Nível Superior’ under grant number 88887.834998/2023-00, and the European Union (ERC, MAGNIFY, Project 101126182). Views and opinions expressed are, however, those of the authors only and do not necessarily reflect those of the European Union or the European Research Council. Neither the European Union nor the granting authority can be held responsible for them.
Data Availability Statement
The observed CMD data are available at https://doi.org/10.5281/zenodo.17329866.
Acknowledgments
This work made use of the computing facilities of the ’Centro de processamento de Dados do IAG/USP’ (CPD-IAG), whose purchase was made possible by the Brazilian agency FAPESP (grants 2019/25950-8, 2017/24954-4, and 2009/54006-4).
Conflicts of Interest
The authors declare no conflicts of interest.
Notes
| 1 | We chose two consecutive sectors for the plot, however all TESS data have essentially the same behavior. |
| 2 | The terms ingress and egress are here borrowed from eclipse terminology to refer to the first and second parts of the broad attenuations, respectively. |
References
- Rivinius, T.; Carciofi, A.C.; Martayan, C. Classical Be Stars. Rapidly Rotating B Stars with Viscous Keplerian Decretion Disks. A&ARv 2013, 21, 69. [Google Scholar]
- Labadie-Bartz, J.; Carciofi, A.C.; Henrique de Amorim, T.; Rubio, A.; Luiz Figueiredo, A.; Ticiani dos Santos, P.; Thomson-Paressant, K. Classifying Be Star Variability With TESS. I. The Southern Ecliptic. AJ 2022, 163, 226. [Google Scholar] [CrossRef]
- Baade, D. An unusually short stable period of absorption line asymmetries and V/R variations in the spectrum of the Be star 28 CMa. Astron. Astrophys. 1982, 105, 65–75. [Google Scholar]
- Pols, O.R.; Cote, J.; Waters, L.B.F.M.; Heise, J. The Formation of Be Stars through Close Binary Evolution. Astron. Astrophys. 1991, 241, 419. [Google Scholar]
- Rivinius, T.; Klement, R.; Chojnowski, S.D.; Baade, D.; Abdul-Masih, M.; Przybilla, N.; Guarro Fló, J.; Heathcote, B.; Hadrava, P.; Gies, D.; et al. Newborn Be star systems observed shortly after mass transfer. A&A 2025, 694, A172. [Google Scholar]
- Wang, L.; Gies, D.R.; Peters, G.J.; Götberg, Y.; Chojnowski, S.D.; Lester, K.V.; Howell, S.B. The Detection and Characterization of Be+sdO Binaries from HST/STIS FUV Spectroscopy. AJ 2021, 161, 248. [Google Scholar] [CrossRef]
- Klement, R.; Baade, D.; Rivinius, T.; Gies, D.R.; Wang, L.; Labadie-Bartz, J.; Ticiani dos Santos, P.; Monnier, J.D.; Carciofi, A.C.; Mérand, A.; et al. Dynamical Masses of the Primary Be Star and Secondary sdB Star in the Single-lined Binary κ Dra (B6 IIIe). Astrophys. J. 2022, 940, 86. [Google Scholar] [CrossRef]
- Gieseking, F. Observations of new southern spectroscopic binaries with the objective prism method. Astron. Astrophys. Suppl. Ser. 1981, 43, 33–74. [Google Scholar]
- Otero, S.A.; Wils, P.; Dubovsky, P.A. New Elements for 80 Eclipsing Binaries V. Inf. Bull. Var. Stars 2005, 5586, 1. [Google Scholar]
- Hauck, N. Eclipsing Binary V658 Carinae (HD 92406) Containing a Shell Star and a Hot Low-mass Star in the Post-Algol Stage. BAV Rundbrief 2018, 67, 41–48. [Google Scholar]
- De Amorim, T.H.; Carciofi, A.C.; Labadie-Bartz, J.; Silva, A.C.; Navarete, F.; Rappaport, S.A.; Querido, P.; Rubio, A.C.; Bjorkman, J.; Gagliano, R.; et al. X-Raying a Be star disk: Fundamental parameters of the eclipsing binary Be star V658 Car. arXiv 2025, arXiv:2507.20053. [Google Scholar] [CrossRef]
- Ricker, G.R.; Winn, J.N.; Vanderspek, R.; Latham, D.W.; Bakos, G.Á.; Bean, J.L.; Berta-Thompson, Z.K.; Brown, T.M.; Buchhave, L.; Butler, N.R.; et al. Transiting Exoplanet Survey Satellite (TESS). J. Astron. Telesc. Instrum. Syst. 2015, 1, 014003. [Google Scholar] [CrossRef]
- Collins, K.A.; Kielkopf, J.F.; Stassun, K.G.; Hessman, F.V. AstroImageJ: Image processing and photometric extraction for ultra-precise astronomical light curves. AJ 2017, 153, 77. [Google Scholar] [CrossRef]
- Lee, U.; Osaki, Y.; Saio, H. Viscous excretion discs around Be stars. MNRAS 1991, 250, 432–437. [Google Scholar] [CrossRef]
- Vieira, R.G.; Carciofi, A.C.; Bjorkman, J.E.; Rivinius, T.; Baade, D.; Rímulo, L.R. The life cycles of Be viscous decretion discs: Time-dependent modelling of infrared continuum observations. MNRAS 2017, 464, 3071–3089. [Google Scholar] [CrossRef]
- Bjorkman, J.E.; Carciofi, A.C. Modeling the Structure of Hot Star Disks. In The Nature and Evolution of Disks Around Hot Stars; Ignace, R., Gayley, K.G., Eds.; ASP Conference Series; Astronomical Society of the Pacific: San Francisco, CA, USA, 2005; Volume 337, p. 75. [Google Scholar]
- Haubois, X.; Carciofi, A.C.; Rivinius, T.; Okazaki, A.T.; Bjorkman, J.E. Dynamical Evolution of Viscous Disks around Be Stars. I. Photometry. ApJ 2012, 756, 156. [Google Scholar] [CrossRef]
- Carciofi, A.C.; Bjorkman, J.E. Non-LTE Monte Carlo Radiative Transfer. I. The Thermal Properties of Keplerian Disks around Classical Be Stars. ApJ 2006, 639, 1081–1094. [Google Scholar] [CrossRef]
- Rubio, A.C.; Carciofi, A.C.; Bjorkman, J.E.; de Amorim, T.H.; Okazaki, A.T.; Suffak, M.W.; Jones, C.E.; Candido, P.P. High-spatial-resolution simulations of Be star disks in binary systems: I. Structure and kinematics of coplanar disks. arXiv 2025, arXiv:2502.11626. [Google Scholar] [CrossRef]
- Carciofi, A.C.; Bjorkman, J.E. Non-LTE Monte Carlo Radiative Transfer. II. Nonisothermal Solutions for Viscous Keplerian Disks. ApJ 2008, 684, 1374–1383. [Google Scholar] [CrossRef]
- Coelho, P.R.T. A new library of theoretical stellar spectra with scaled-solar and α-enhanced mixtures. MNRAS 2014, 440, 1027–1043. [Google Scholar] [CrossRef]
- Lanz, T.; Hubeny, I. A Grid of NLTE Line-blanketed Model Atmospheres of Early B-Type Stars. ApJS 2007, 169, 83–104. [Google Scholar] [CrossRef]
- Mikolajewski, M.; Graczyk, D. Is the eclipsing variable EE CEP a cousin of epsilon Aur? MNRAS 1999, 303, 521–524. [Google Scholar] [CrossRef]
- Haubois, X.; Mota, B.C.; Carciofi, A.C.; Draper, Z.H.; Wisniewski, J.P.; Bednarski, D.; Rivinius, T. Dynamical Evolution of Viscous Disks around Be Stars. II. Polarimetry. ApJ 2014, 785, 12. [Google Scholar] [CrossRef]
Disclaimer/Publisher’s Note: The statements, opinions and data contained in all publications are solely those of the individual author(s) and contributor(s) and not of MDPI and/or the editor(s). MDPI and/or the editor(s) disclaim responsibility for any injury to people or property resulting from any ideas, methods, instructions or products referred to in the content. |
© 2025 by the authors. Licensee MDPI, Basel, Switzerland. This article is an open access article distributed under the terms and conditions of the Creative Commons Attribution (CC BY) license (https://creativecommons.org/licenses/by/4.0/).

