The Quest for Reliable Drought Stress Screening in Tetraploid Wheat (Triticum turgidum spp.) Seedlings: Why MDA Quantification after Treatment with 10% PEG-6000 Falls Short
Abstract
1. Introduction
2. Materials and Methods
2.1. Plant Material
2.2. PEG Treatment
2.3. Seedlings Growth Parameters
2.4. MDA Quantification
2.5. Statistical Analysis
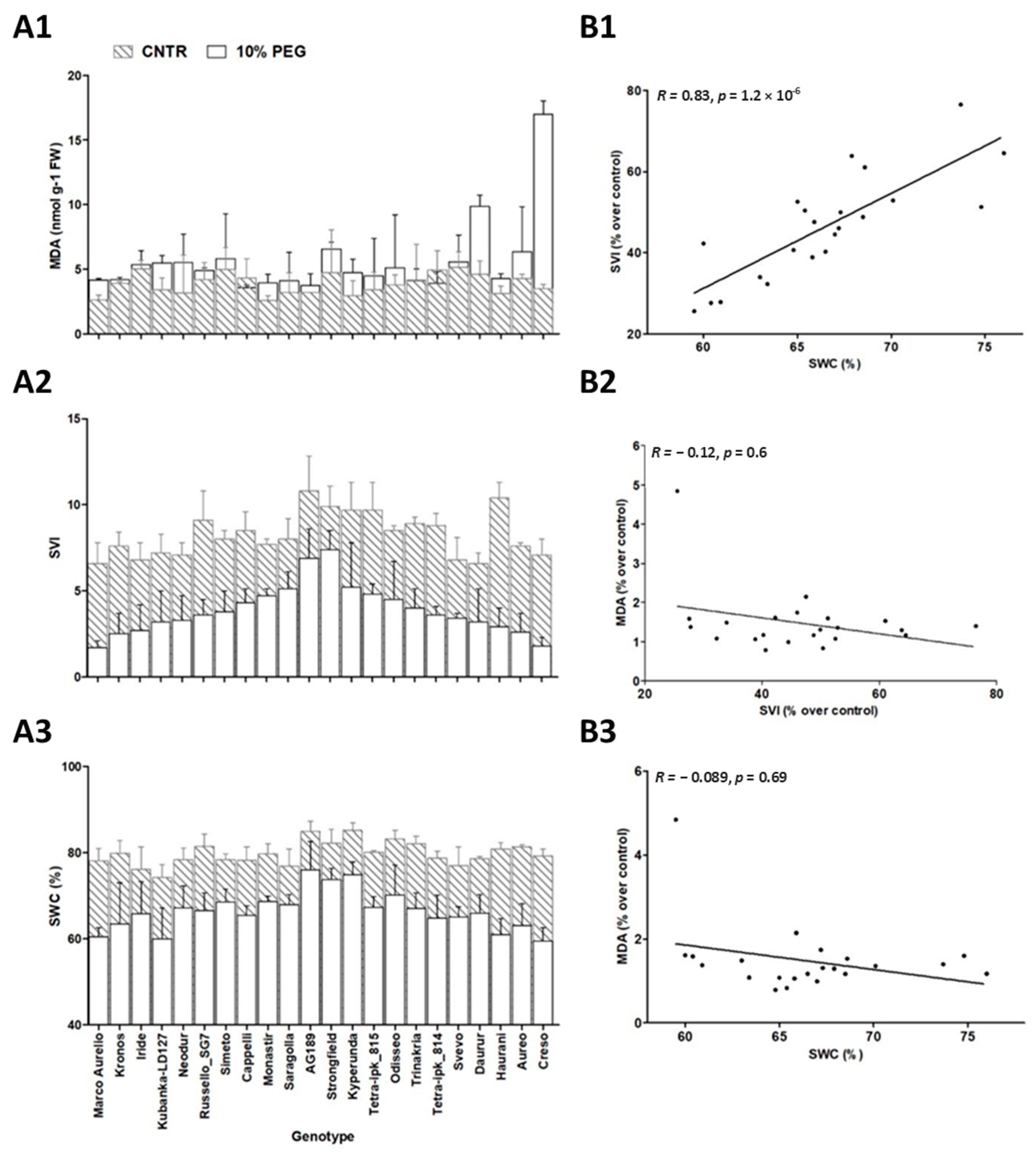
3. Results and Discussion
4. Conclusions
Author Contributions
Funding
Institutional Review Board Statement
Informed Consent Statement
Data Availability Statement
Acknowledgments
Conflicts of Interest
References
- Daryanto, S.; Wang, L.; Jacinthe, P. Global Synthesis of Drought Effects on Maize and Wheat Production. PLoS ONE 2016, 11, e0156362. [Google Scholar] [CrossRef]
- Zampieri, M.; Ceglar, A.; Dentener, F.; Toreti, A. Wheat Yield Loss Attributable to Heat Waves, Drought and Water Excess at the Global, National and Subnational Scales Wheat Yield Loss Attributable to Heat Waves, Drought and Water Excess at the Global, National and Subnational Scales. Environ. Res. Lett. 2017, 12, 064008. [Google Scholar] [CrossRef]
- Berger, J.; Palta, J.; Vadez, V. Plant Science Review: An Integrated Framework for Crop Adaptation to Dry Environments: Responses to Transient and Terminal Drought. Plant Sci. 2016, 253, 58–67. [Google Scholar] [CrossRef] [PubMed]
- Zhang, J.; Kirkham, M.B. Drought-Stress-Induced Changes in Activities of Superoxide Dismutase, Catalase, and Peroxidase in Wheat Species. Plant Cell Physiol. 1994, 35, 785–791. [Google Scholar] [CrossRef]
- Laus, M.N.; De Santis, M.A.; Flagella, Z.; Soccio, M. Changes in Antioxidant Defence System in Durum Wheat under Hyperosmotic Stress: A Concise Overview. Plants 2022, 11, 98. [Google Scholar] [CrossRef]
- Ahmad, Z.; Waraich, E.A.; Akhtar, S.; Anjum, S.; Ahmad, T.; Mahboob, W.; Hafeez, O.B.A.; Tapera, T.; Labuschagne, M.; Rizwan, M. Physiological Responses of Wheat to Drought Stress and Its Mitigation Approaches. Acta Physiol. Plant. 2018, 40, 80. [Google Scholar] [CrossRef]
- Das, K.; Roychoudhury, A. Reactive Oxygen Species (ROS) and Response of Antioxidants as ROS-Scavengers during Environmental Stress in Plants. Front. Environ. Sci. 2014, 2, 53. [Google Scholar] [CrossRef]
- Tsikas, D. Assessment of Lipid Peroxidation by Measuring Malondialdehyde (MDA) and Relatives in Biological Samples: Analytical and Biological Challenges. Anal. Biochem. 2017, 524, 13–30. [Google Scholar] [CrossRef]
- Dugasa, M.T.; Cao, F.; Ibrahim, W.; Wu, F. Differences in Physiological and Biochemical Characteristics in Response to Single and Combined Drought and Salinity Stresses between Wheat Genotypes Differing in Salt Tolerance. Physiol. Plant. 2019, 165, 134–143. [Google Scholar] [CrossRef] [PubMed]
- Nasirzadeh, L.; Sorkhilaleloo, B.; Majidi Hervan, E.; Fatehi, F. Changes in Antioxidant Enzyme Activities and Gene Expression Profiles under Drought Stress in Tolerant, Intermediate, and Susceptible Wheat Genotypes. Cereal Res. Commun. 2021, 49, 83–89. [Google Scholar] [CrossRef]
- Sheoran, S.; Thakur, V.; Narwal, S.; Turan, R.; Mamrutha, H.M.; Singh, V.; Tiwari, V.; Sharma, I. Differential Activity and Expression Profile of Antioxidant Enzymes and Physiological Changes in Wheat (Triticum aestivum L.) Under Drought. Appl. Biochem. Biotechnol. 2015, 177, 1282–1298. [Google Scholar] [CrossRef] [PubMed]
- Peršić, V.; Ament, A.; Antunović Dunić, J.; Drezner, G.; Cesar, V. PEG-Induced Physiological Drought for Screening Winter Wheat Genotypes Sensitivity—Integrated Biochemical and Chlorophyll a Fluorescence Analysis. Front. Plant Sci. 2022, 13, 987702. [Google Scholar] [CrossRef] [PubMed]
- Pour-Aboughadareh, A.; Etminan, A.; Abdelrahman, M.; Siddique, K.H.M.; Tran, L.-S.P. Assessment of Biochemical and Physiological Parameters of Durum Wheat Genotypes at the Seedling Stage during Polyethylene Glycol-Induced Water Stress. Plant Growth Regul. 2020, 92, 81–93. [Google Scholar] [CrossRef]
- Shao, H.B.; Chu, L.Y.; Wu, G.; Zhang, J.H.; Lu, Z.H.; Hu, Y.C. Changes of Some Anti-Oxidative Physiological Indices under Soil Water Deficits among 10 Wheat (Triticum aestivum L.) Genotypes at Tillering Stage. Colloids Surf. B Biointerfaces 2007, 54, 143–149. [Google Scholar] [CrossRef] [PubMed]
- Ma, J.; Du, G.; Li, X.; Zhang, C.; Guo, J. A Major Locus Controlling Malondialdehyde Content under Water Stress Is Associated with Fusarium Crown Rot Resistance in Wheat. Mol. Genet. Genom. 2015, 290, 1955–1962. [Google Scholar] [CrossRef] [PubMed]
- Vuković, R.; Čamagajevac, I.Š.; Vuković, A.; Šunić, K.; Begović, L.; Mlinarić, S.; Sekulić, R.; Sabo, N.; Španić, V. Physiological, Biochemical and Molecular Response of Different Winter Wheat Varieties under Drought Stress at Germination and Seedling Growth Stage. Antioxidants 2022, 11, 693. [Google Scholar] [CrossRef] [PubMed]
- Quagliata, G.; Abdirad, S.; Celletti, S.; Sestili, F.; Astolfi, S. Screening of Triticum Turgidum Genotypes for Tolerance to Drought Stress. Plant Physiol. Biochem. 2023, 194, 271–280. [Google Scholar] [CrossRef] [PubMed]
- Poggi, G.M.; Corneti, S.; Aloisi, I.; Ventura, F. Environment-Oriented Selection Criteria to Overcome Controversies in Breeding for Drought Resistance in Wheat. J. Plant Physiol. 2023, 280, 153895. [Google Scholar] [CrossRef] [PubMed]
- Almaghrabi, O.A. Impact of Drought Stress on Germination and Seedling Growth Parameters of Some Wheat Cultivars. Life Sci. J. 2012, 9, 590–598. [Google Scholar]
- Tuberosa, R. Phenotyping for Drought Tolerance of Crops in the Genomics Era. Front. Physiol. 2012, 3, 347. [Google Scholar] [CrossRef]
- van den Berg, L.; Zeng, Y.J. Response of South African Indigenous Grass Species to Drought Stress Induced by Polyethylene Glycol (PEG) 6000. S. Afr. J. Bot. 2006, 72, 284–286. [Google Scholar] [CrossRef]
- Guellim, A.; Hirel, B.; Chabrerie, O.; Catterou, M.; Tetu, T.; Dubois, F.; Ahmed, H.B.; Kichey, T. Screening for Durum Wheat (Triticum durum Desf.) Cultivar Resistance to Drought Stress Using an Integrated Physiological Approach. J. Crop Sci. Biotechnol. 2020, 23, 355–365. [Google Scholar] [CrossRef]
- Wang, G.P.; Zhang, X.Y.; Li, F.; Luo, Y.; Wang, W. Overaccumulation of Glycine Betaine Enhances Tolerance to Drought and Heat Stress in Wheat Leaves in the Protection of Photosynthesis. Photosynthetica 2010, 48, 117–126. [Google Scholar] [CrossRef]
- Dhanda, S.S.; Sethi, G.S.; Behl, R.K. Indices of Drought Tolerance in Wheat Genotypes at Early Stages of Plant Growth. J. Agron. Crop Sci. 2004, 190, 6–12. [Google Scholar] [CrossRef]
- Poggi, G.M.; Corneti, S.; Aloisi, I.; Ventura, F. Phenotypic Variability for Early Drought Stress Resistance in Tetraploid Wheat Accessions Correlates with Terminal Drought Performance. J. Agron. Crop Sci. 2024, 210, e12691. [Google Scholar] [CrossRef]
- Dhindsa, R.S.; Plumb-dhindsa, P.; Thorpe, T.A. Leaf Senescence: Correlated with Increased Levels of Membrane Permeability and Lipid Peroxidation, and Decreased Levels of Superoxide Dismutase and Catalase. J. Exp. Bot. 1981, 32, 93–101. [Google Scholar] [CrossRef]
- Taulavuori, E.; Hellströ, E.-K.; Taulavuori, K.; Laine, K. Comparison of Two Methods Used to Analyse Lipid Peroxidation from Vaccinium myrtillus (L.) during Snow Removal, Reacclimation and Cold Acclimation. J. Exp. Bot. 2011, 52, 2375–2380. [Google Scholar] [CrossRef]
- R Core Team. R: A Language and Environment for Statistical Computing. R Foundation for Statistical Computing, Vienna, Austria. 2022. Available online: https://www.R-project.org/.
- Gomez, K.A.; Gomez, A.A. Statistical Procedures in Agricultural Research, 2nd ed.; Wiley: New York, NY, USA, 1984. [Google Scholar]
- Esfandiari, E.O.; Shakiba, M.R.; Mahboob, S.A.; Alyari, H.; Toorchi, M. Water Stress, Antioxidant Enzyme Activity and Lipid Peroxidation in Wheat Seedling. J. Food Agric. Environ. 2007, 5, 149–153. [Google Scholar]
- Qiu, Z.B.; Liu, X.; Tian, X.J.; Yue, M. Effects of CO2 Laser Pretreatment on Drought Stress Resistance in Wheat. J. Photochem. Photobiol. B Biol. 2008, 90, 17–25. [Google Scholar] [CrossRef]

| Category | Accession | Country of Origin | Mega-Environment |
|---|---|---|---|
| DWC | Svevo | ITALY | Southern Europe |
| DWC | Iride | ITALY | Southern Europe |
| DWC | Odisseo | ITALY | Southern Europe |
| DWC | Monastir | FRANCE | Western Europe |
| DWC | Marco Aurelio | ITALY | Southern Europe |
| DWC | Aureo | ITALY | Southern Europe |
| DWC | Saragolla | ITALY | Southern Europe |
| DWC | Daurur | FRANCE | Western Europe |
| DWC | Strongfield | CANADA | Northern America |
| DWC | Simeto | ITALY | Southern Europe |
| DWC | Neodur | ITALY | Southern Europe |
| DWC | Creso | ITALY | Southern Europe |
| DWC | Kronos | US | Northern America |
| DWL | Cappelli | ITALY | Southern Europe |
| DWL | Trinakria | ITALY | Southern Europe |
| DWL | Russello_SG7 | ITALY | Southern Europe |
| DWL | Haurani | SYRIA | Western Asia |
| DWL | Kyperunda | Unknown | Unknown |
| DWL | Kubanka-LD127 | KAZAKISTAN | Central Asia |
| TUR | Tetra-ipk_814 | IRAQ | Western Asia |
| TUR | Tetra-ipk_815 | RUSSIA | Eastern Europe |
| CAR | AG189 | GEORGIA | Western Asia |
Disclaimer/Publisher’s Note: The statements, opinions and data contained in all publications are solely those of the individual author(s) and contributor(s) and not of MDPI and/or the editor(s). MDPI and/or the editor(s) disclaim responsibility for any injury to people or property resulting from any ideas, methods, instructions or products referred to in the content. |
© 2024 by the authors. Licensee MDPI, Basel, Switzerland. This article is an open access article distributed under the terms and conditions of the Creative Commons Attribution (CC BY) license (https://creativecommons.org/licenses/by/4.0/).
Share and Cite
Poggi, G.M.; Corneti, S.; Aloisi, I. The Quest for Reliable Drought Stress Screening in Tetraploid Wheat (Triticum turgidum spp.) Seedlings: Why MDA Quantification after Treatment with 10% PEG-6000 Falls Short. Life 2024, 14, 517. https://doi.org/10.3390/life14040517
Poggi GM, Corneti S, Aloisi I. The Quest for Reliable Drought Stress Screening in Tetraploid Wheat (Triticum turgidum spp.) Seedlings: Why MDA Quantification after Treatment with 10% PEG-6000 Falls Short. Life. 2024; 14(4):517. https://doi.org/10.3390/life14040517
Chicago/Turabian StylePoggi, Giovanni Maria, Simona Corneti, and Iris Aloisi. 2024. "The Quest for Reliable Drought Stress Screening in Tetraploid Wheat (Triticum turgidum spp.) Seedlings: Why MDA Quantification after Treatment with 10% PEG-6000 Falls Short" Life 14, no. 4: 517. https://doi.org/10.3390/life14040517
APA StylePoggi, G. M., Corneti, S., & Aloisi, I. (2024). The Quest for Reliable Drought Stress Screening in Tetraploid Wheat (Triticum turgidum spp.) Seedlings: Why MDA Quantification after Treatment with 10% PEG-6000 Falls Short. Life, 14(4), 517. https://doi.org/10.3390/life14040517

