Antioxidant and Anti-Proliferative Effects of Ornithogalum balansae Extracts Collected in Black Sea Region Against Lung Cancer Cells
Abstract
1. Introduction
2. Materials and Methods
2.1. Materials
2.2. Cell Culture
2.3. Plant Material
2.4. Extraction Procedure
2.5. Morphological Studies
2.6. MTT Assay
2.7. Trypan Blue Assay
2.8. Scratch Wound Assays
2.9. Invasion Assay
2.10. Determination of Total Phenolic Content (TPC)
2.11. Determination of Total Flavonoid Content (TFC)
2.12. Determination of Iron (III) Reducing/Antioxidant Power
2.13. Determination of DPPH Radical Scavenging Activity
2.14. Phenolic Composition Analysis by HPLC-PDA
2.15. Statistical Analysis
3. Results and Discussion
3.1. Phenolic Properties and Antioxidant Capacities
3.2. The Effects of the Extracts on the Morphology of A549 and H209 Cells
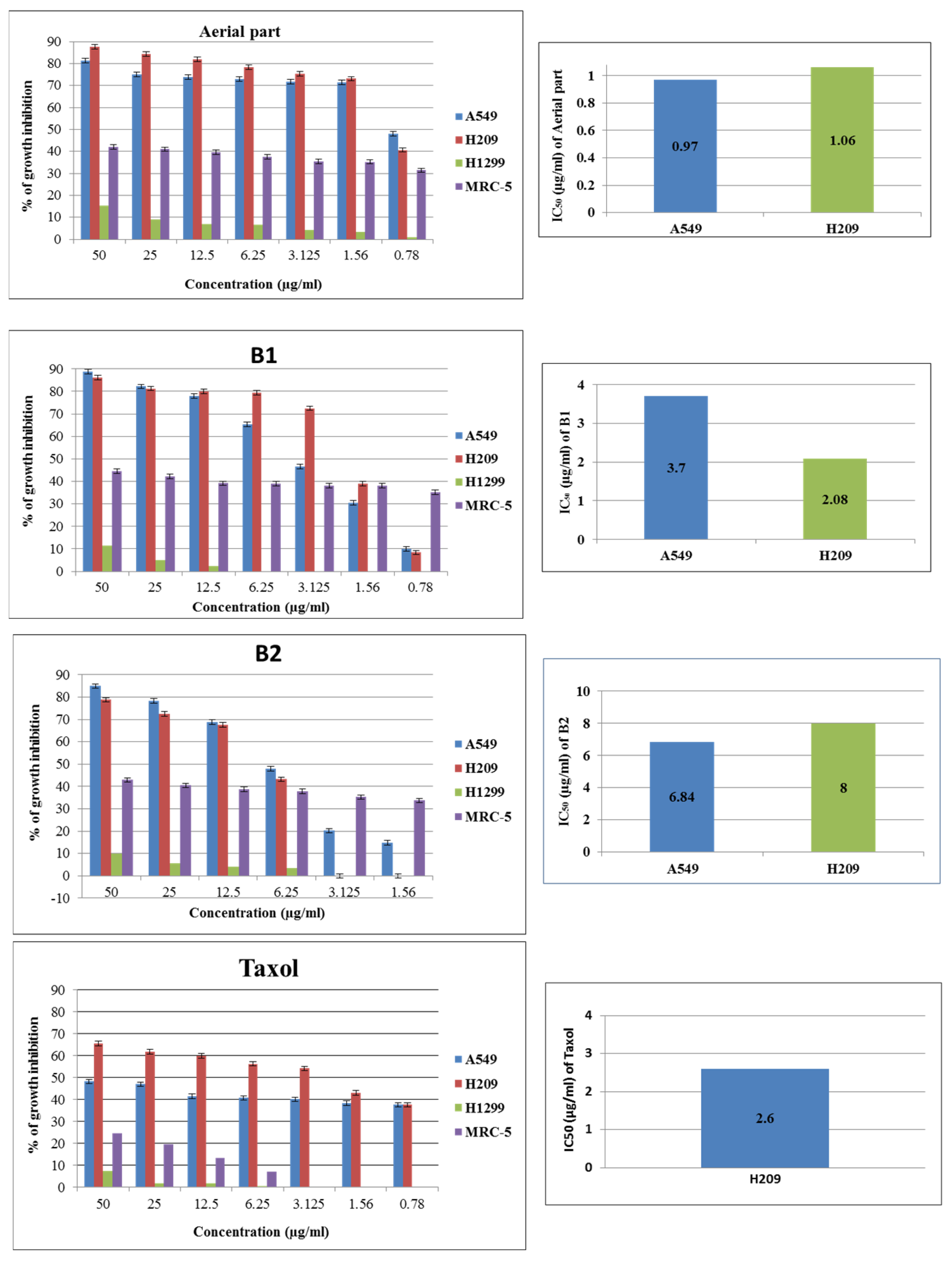
3.3. Cell Growth Inhibition by Extracts Using the MTT Method
3.4. Cell Viability of Extracts Using Trypan Blue
3.5. Migration Ability of Extracts on A549 Cell
3.6. Invasion Ability of Extracts on A549 Cell
4. Conclusions
Author Contributions
Funding
Institutional Review Board Statement
Informed Consent Statement
Data Availability Statement
Conflicts of Interest
References
- Bektaş, G.; Doğan, G.; Kiran, Y. Bazı Ornithagalum L. Türlerinin Karyolojik Yönden İncelenmesi. J. Kadirli Appl. Sci. 2023, 2, 219–231. [Google Scholar]
- Baytop, T. Phytotherapy in Turkey—In the Past and Today; Nobel: Istanbul, Turkey, 1999. [Google Scholar]
- Özbucak, T.; Kutbay, H.G.; Akcın, Ö.E. The contribution of wild edible plants to human nutrition in the Black Sea Region of Turkey. Ethnobot. Leafl. 2006, 10, 98–103. [Google Scholar]
- Özen, T. Antioxidant activity of wild edible plants in the Black Sea Region of Turkey. Grasas Aceites 2010, 61, 86–94. [Google Scholar] [CrossRef]
- Plančić, M.; Boži, B.; Kladar, N.; Rat, M.; Srđenović, B. Phytochemical profile and biological activities of the genus Ornithogalum L. (Hyacinthaceae). Biologia Serbica 2014, 36, 3–17. [Google Scholar]
- Sharafi-Badr, P.; Karoobrendai, S.; Monsef-Esfahani, H.R.; Ghahremani, M.H.; Adhami, H.R. In vitro Cytotoxic Screening of Different Parts from Ornithogalum bungei on Selected Cancer Cells. Iran. J. Med. Sci. 2022, 47, 63–72. [Google Scholar]
- Iguchi, T.; Kuroda, M.; Naito, R.; Watanabe, T.; Matsuo, Y.; Yokosuka, A.; Mimaki, Y. Structural Characterization of Cholestane Rhamnosides from Ornithogalum saundersiae Bulbs and Their Cytotoxic Activity against Cultured Tumor Cells. Molecules 2017, 22, 1243. [Google Scholar] [CrossRef]
- Iguchi, T.; Kuroda, M.; Naito, R.; Watanabe, T.; Matsuo, Y.; Yokosuka, A.; Mimaki, Y. Cholestane glycosides from Ornithogalum saundersiae bulbs and the induction of apoptosis in HL-60 cells by OSW-1 through a mitochondrial-independent signaling pathway. J. Nat. Med. 2019, 73, 131–145. [Google Scholar] [CrossRef]
- Zhang, Y.; Fang, F.; Fan, K.; Zhang, Y.; Zhang, J.; Guo, H.; Yu, P.; Ma, J. Effective Cytotoxic Activity Of OSW-1 On Colon Cancer By Inducing Apoptosis In vitro and In vivo. Oncol. Rep. 2017, 37, 3509–3519. [Google Scholar] [CrossRef] [PubMed]
- Zhan, Z.; Liu, Z.; Lai, J.; Zhang, C.; Chen, Y.; Huang, H. Anticancer Effects and Mechanisms of OSW-1 Isolated from Ornithogalum saundersiae: A Review. Front. Oncol. 2021, 211, 747718. [Google Scholar] [CrossRef]
- Bray, F.; Ferlay, J.; Soerjomataram, I.; Siegel, R.L.; Torre, L.A.; Jemal, A. Global cancer statistics 2018: Globocan estimates of incidence and mortality worldwide for 36 cancers in 185 countries. CA Cancer J. Clin. 2018, 68, 394–424. [Google Scholar] [CrossRef]
- Sung, H.; Ferlay, J.; Siegel, R.; Laversanne, M.; Soerjomataram, I.; Jemal, A.; Bray, F. Global Cancer Statistics 2020: GLOBOCAN Estimates of Incidence and Mortality Worldwide for 36 Cancers in 185 Countries. CA J. Clin. 2021, 71, 209–249. [Google Scholar] [CrossRef] [PubMed]
- Popper, H.H. Progression and metastasis of lung cancer. Cancer Metastasis Rev. 2016, 35, 75–91. [Google Scholar] [CrossRef] [PubMed]
- Yin, S.Y.; Wei, W.C.; Jian, F.Y.; Yang, N.S. Therapeutic applications of herbal medicines for cancer patients. Evid. Based Complement. Altern. Med. 2013, 2013, 302426. [Google Scholar] [CrossRef] [PubMed]
- Rayan, A.; Raiyn, J.; Falah, M. Nature is the best source of anticancer drugs: Indexing natural products for their anticancer bioactivity. PLoS ONE 2017, 12, e0187925. [Google Scholar] [CrossRef] [PubMed]
- Ejder, N.; Ekşi, S.; Yazıcı, Z.A.; Beriş, F.S.; Makbul, S.; Uzunok, B. Antiproliferative Effect of Ornithogalum balansae on Human Cancer Cell Lines. Indian J. Pharm. Sci. 2020, 82, 321–328. [Google Scholar] [CrossRef]
- Singleton, L.; Orthofer, R.; Lamuela-Raventos, R.M. Analysis of total phenols and other oxidation substrates and antioxidants by means of Folin-Ciocalteu reagent. Methods Enzymol. 1999, 299, 152178. [Google Scholar]
- Fukumoto, L.R.; Mazza, G. Assessing antioxidant and prooxidant activities of phenolic compounds. J. Agric. Food Chem. 2000, 48, 3597–3604. [Google Scholar] [CrossRef]
- Benzie, I.F.F.; Strain, J.J. The ferric reducing ability of plasma (FRAP) as a measure of “antioxidant power”: The FRAP assay. Anal. Biochem. 1996, 239, 70–76. [Google Scholar] [CrossRef]
- Molyneux, P. The use of the stable free radical diphenylpicrylhydrazyl (DPPH) for estimating antioxidant activity. Songklanakarin J. Sci. Technol. 2004, 26, 211–219. [Google Scholar]
- Kara, Y.; Can, Z.; Kolayli, S. Applicability of Phenolic Profile Analysis Method Developed with RP-HPLC-PDA to some Bee Product. Braz. Arch. Biol. Technol. 2022, 65, e22210384. [Google Scholar] [CrossRef]
- Kara, Y.; Can, Z.; Kolayli, S. What should be the ideal solvent percentage and solvent-propolis ratio in the preparation of ethanolic propolis extract? Food Anal. Methods 2022, 15, 1707–1719. [Google Scholar] [CrossRef]
- Bayrak, Ç.; Birinci, C.; Kemal, M.; Kolayli, S. The Phenolic Composition and Antioxidant Properties of Figs (Ficus carica L.) Grown in the Black Sea Region. Plant Foods Hum. Nutr. 2023, 78, 539–545. [Google Scholar] [CrossRef]
- Can, Z.; Birinci, C.; Kara, Y.; Esertaş, Ü.Z.Ü.; Kolaylı, S. Determination of phenolic content and bioactive characterization of Anatolian propolis. Eur. Food Res. Technol. 2024, 250, 2059–2068. [Google Scholar] [CrossRef]
- Renda, G.; Özel, A.; Turumtay, E.A.; Barut, B.; Korkmaz, B.; Çol Ayvaz, M.; Demir, A. Comparison of phenolic profiles and antioxidant activity of three Ornithogalum L. species. Turkish J. Biochem. 2019, 44, 299–306. [Google Scholar] [CrossRef]
- Zengin, G.; Uysal, Ş.; Ceylan, R.; Aktumsek, A. Phenolic constituent, antioxidative and tyrosinase inhibitory activity of Ornithogalum narbonense L. from Turkey: A phytochemical study. Ind. Crop Prod. 2015, 70, 1–6. [Google Scholar] [CrossRef]
- Makasci, A.A.; Mammadov, R.; Dusen, O.; Işık, H.I. Antimicrobial and antioxidant activities of medicinal plant species Ornithogalum alpigenum Stapf. from Turkey. J. Med. Plant Res. 2010, 4, 1637–1642. [Google Scholar]
- Taşkın, D.; Şentürk, Ş.; Güler, E.M.; Doğan, A.; Omurtag, G.E.; Ermanoğlu, M.; Taşkın, T. Biological activities of the Ornithogalum orthophyllumand its insilico ADMET profile. Trend Med. Res. 2021, 6, 56. [Google Scholar]
- Yang, L.; Zhang, H.; Chen, D.; Ding, P.; Yuan, Y.; Zhang, Y. EGFR and Ras regulate DDX59 during lung cancer development. Gene 2018, 642, 95–102. [Google Scholar] [CrossRef] [PubMed]
- Chen, R.; Meng, F.; Liu, Z.; Chen, R.; Zhang, M. Antitumor activities of different fractions of polysaccharide purified from Ornithogalum caudatum Ait. Carbohydr. Polym. 2010, 80, 845–851. [Google Scholar] [CrossRef]
- Zhou, Y.; Garcia-Prieto, C.; Carney, D.A.; Xu, R.; Pelicano, H.; Kang, Y.; Yu, W.; Lou, C.; Kondo, S.; Liu, J.; et al. OSW-1: A Natural Compound with Potent Anticancer Activity and a Novel Mechanism of Action Drug resistance. J. Natl. Cancer Inst. 2005, 97, 1781–1785. [Google Scholar] [CrossRef]
- Kubo, S.M.Y.; Terao, M.; Sashida, Y.; Nikaido, T.; Ohmoto, T. Acylated Cholestane Glycosides from the Bulbs of Ornithogalum saundersiae. Phytochemistry 1992, 31, 3969–3973. [Google Scholar] [CrossRef]
- Liu, J.; Yang, Z.; Kong, Y.; He, Y.; Xu, Y.; Cao, X. Antitumor activity of alantolactone in lung cancer cell lines NCI-H1299 and Anip973. J. Food Biochem. 2019, 43, e12972. [Google Scholar] [CrossRef] [PubMed]
- Morazzani, M.; de Carvalho, D.D.; Kovacic, H.; Smida-Rezgui, S.; Briand, C.; Penel, C. Monolayer versus aggregate balance in survival process for EGF-induced apoptosis in A431 carcinoma cells: Implication of ROS-P38 MAPK-integrin alpha2beta1 pathway. Int. J. Cancer 2004, 110, 788–799. [Google Scholar] [CrossRef] [PubMed]
- Ding, X.; Li, Y.; Li, J.; Yin, Y. OSW-1 Inhibits Tumor Growth and Metastasis by NFATc2 on Triple-Negative Breast Cancer. Cancer Med. 2020, 9, 5558–5569. [Google Scholar] [CrossRef]
- Jin, J.; Jin, X.; Qian, C.; Ruan, Y.; Jiang, H. Signaling Network of OSW-1 Induced Apoptosis and Necroptosis in Hepatocellular Carcinoma. Mol. Med. Rep. 2013, 7, 1646–1650. [Google Scholar] [CrossRef]
- Hamidi, H.; Ivaska, J. Every step of the way: Integrins in cancer progression and metastasis. Nat. Rev. Cancer 2018, 18, 533–548. [Google Scholar] [CrossRef]





| Aerial Part | Bulb | |
|---|---|---|
| Total Phenolic Content (mg GAE/100 g) | 836.20 ± 28.34 a | 136.05 ± 5.28 b |
| Total Flavonoid Content (mg QUE/100 g) | 441.00 ± 12.30 a | 26.30 ± 1.20 b |
| Total Antioxidant Capacity (FRAP) (µmol FeSO4·7H2O/g) | 83.44 ± 5.80 | 6.45 ± 0.48 |
| DPPH (SC50) (mg/mL) | 0.43 ± 0.02 a | 66.15 ± 0.45 b |
| Phenolic Acids | ||
|---|---|---|
| Aerial Part | Bulb | |
| Gallic acid | - | 6.90 |
| Protocatechuic acid | 22.29 | - |
| Chlorogenic acid | 413.54 | - |
| p-OH Benzoic acid | 14.63 | - |
| m-OH Benzoic acid | - | - |
| Caffeic acid | 6.71 | 6.08 |
| Syringic acid | - | - |
| p-Coumaric acid | 16.44 | 9.96 |
| Ferulic acid | 84.44 | 22.48 |
| Ellagic acid | - | - |
| t-Cinnamic acid | - | 2.11 |
| Flavonoids | ||
| Aerial Part | Bulb | |
| Rutin | - | - |
| Quercetin | 27.77 | - |
| Myricetin | - | - |
| Epicatechin | - | - |
| Daidzein | - | - |
| Luteolin | - | - |
| Chyrisin | 5.07 | 1.15 |
| Apigenin | - | - |
| Hesperetin | - | - |
| Rhamnetin | - | - |
| Pinocembrin | - | - |
| CAPE | - | - |
| Resveratrol | ||
| Curcumin | - | - |
Disclaimer/Publisher’s Note: The statements, opinions and data contained in all publications are solely those of the individual author(s) and contributor(s) and not of MDPI and/or the editor(s). MDPI and/or the editor(s) disclaim responsibility for any injury to people or property resulting from any ideas, methods, instructions or products referred to in the content. |
© 2024 by the authors. Licensee MDPI, Basel, Switzerland. This article is an open access article distributed under the terms and conditions of the Creative Commons Attribution (CC BY) license (https://creativecommons.org/licenses/by/4.0/).
Share and Cite
Ejder, N.; Sökmen, M.; Tunalı, F.; Kolaylı, S.; Kılıç, A.O. Antioxidant and Anti-Proliferative Effects of Ornithogalum balansae Extracts Collected in Black Sea Region Against Lung Cancer Cells. Life 2024, 14, 1365. https://doi.org/10.3390/life14111365
Ejder N, Sökmen M, Tunalı F, Kolaylı S, Kılıç AO. Antioxidant and Anti-Proliferative Effects of Ornithogalum balansae Extracts Collected in Black Sea Region Against Lung Cancer Cells. Life. 2024; 14(11):1365. https://doi.org/10.3390/life14111365
Chicago/Turabian StyleEjder, Nebahat, Munevver Sökmen, Fatma Tunalı, Sevgi Kolaylı, and Ali Osman Kılıç. 2024. "Antioxidant and Anti-Proliferative Effects of Ornithogalum balansae Extracts Collected in Black Sea Region Against Lung Cancer Cells" Life 14, no. 11: 1365. https://doi.org/10.3390/life14111365
APA StyleEjder, N., Sökmen, M., Tunalı, F., Kolaylı, S., & Kılıç, A. O. (2024). Antioxidant and Anti-Proliferative Effects of Ornithogalum balansae Extracts Collected in Black Sea Region Against Lung Cancer Cells. Life, 14(11), 1365. https://doi.org/10.3390/life14111365

