A Comparative Study on the Condensation Heat Transfer of R-513A as an Alternative to R-134a
Abstract
1. Introduction
2. Experiments
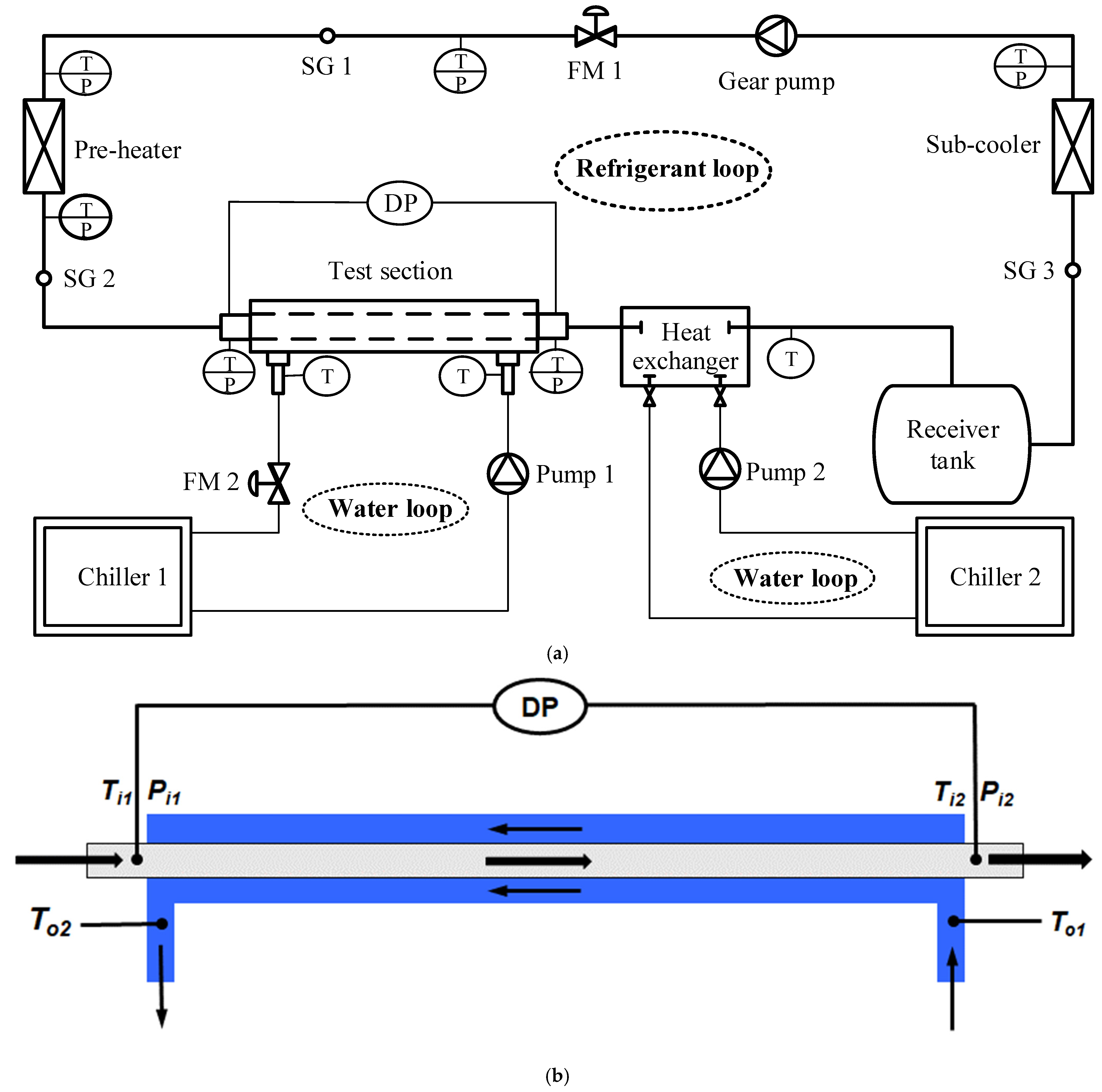
2.1. Experimental Facility
2.2. Experimental Methods and Conditions
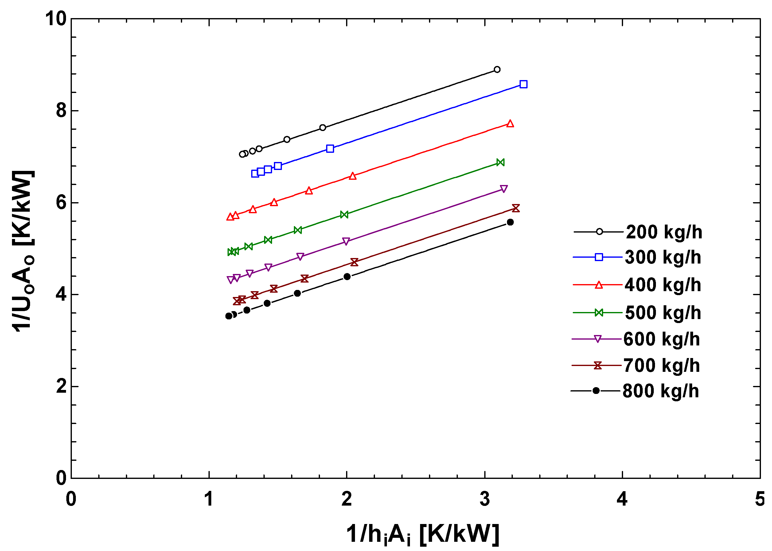
2.3. Data Reduction
3. Results and Discussion
4. Conclusions
- The correlation of annular side heat transfer coefficients was obtained as a function of the water mass flow rate and was used to derive the condensation heat transfer coefficients in a microfin tube.
- The average condensation heat transfer coefficients of R-513A and R-1234ze(E) were similar to that of R-134a in the lower range of tested mass fluxes (100~150 kg·m−2·s−1).
- As the mass flux increased, the heat transfer coefficients of R-513A and R-1234ze(E) became up to 10% higher than those of R-134a.
- The average condensation heat transfer coefficients of R-1234yf were up to 12% lower than those of R-134a for the full range of tested mass fluxes.
- The pressure drop of R-513A was similar to R-1234yf and 10% lower compared to that of R-134a at the higher mass flux.
- The R-1234ze(E) pressure drops were 20% higher compared to those of R-134a at the higher mass flux.
- R-513A can be used as a drop-in replacement for R-134a since it has relatively superior condensation heat transfer characteristics and a smaller GWP compared to R-134a.
Author Contributions
Funding
Institutional Review Board Statement
Informed Consent Statement
Data Availability Statement
Conflicts of Interest
Nomenclature
| Abbreviations | |
| DP | differential pressure sensor |
| GWP | global warming potential |
| HFO | hydofluoro-olefin |
| ID | inner diameter |
| FM | flow meter |
| LMTD | log mean temperature difference |
| NBP | normal boiling point |
| OD | outer diameter |
| ODP | ozone depletion potential |
| PC | personal computer |
| SG | sight glass |
| A | area [m2] |
| cp | specific heat [J/kg-K] |
| e | enthalpy [J/kg] |
| h | heat transfer coefficient [W/m2-K] or fin height [mm] |
| M | mass flow meter |
| m | mass flow rate [kg/h] |
| P | pressure[kPa] |
| ΔP | pressure drop[mbar] |
| qv | volumetric capacity [kJ/m3] |
| heat transfer rate [W] | |
| Rw | thermal conduct resistance [K/W] |
| S | specific entropy [J/kg-K] |
| T | temperature [°C] |
| tb | bottom wall thickness [mm] |
| overall heat transfer coefficient [W/m2-K] | |
| γ | apex angle [°] |
| ψ | helix angle [°] |
| Subscripts | |
| 1 | inlet |
| 2 | outlet |
| critical | |
| i | tube-side |
| annular-side | |
References
- Blanco, G.; Gerlagh, R.; Suh, S. (Eds.) Drivers, Trends and Mitigation. In Climate Change 2014; Cambridge University Press: Cambridge, UK, 2014; pp. 351–412. [Google Scholar]
- Kim, M.-H.; Pettersen, J.; Bullard, C.W. Fundamental Process and System Design Issues in CO2 Vapor Compression Systems. Prog. Energy Combust. Sci. 2004, 30, 119–174. [Google Scholar] [CrossRef]
- Kim, M.-H.; Lee, S.Y.; Mehendale, S.S.; Webb, R.L. Microchannel Heat Exchanger Design for Evaporator and Condenser Applications. Adv. Heat Transf. 2003, 37, 297–429. [Google Scholar]
- Lin, L.; Kedzierski, M. Review of low-GWP refrigerant pool boiling heat transfer on enhanced surfaces. Int. J. Heat Mass Tran. 2019, 131, 1279–1303. [Google Scholar] [CrossRef]
- Kim, M.-H.; Shin, J.S. Evaporating heat transfer of R22 and R410A in horizontal smooth and microfin tubes. Int. J. Refrig. 2005, 28, 940–948. [Google Scholar] [CrossRef]
- Kim, M.-H.; Shin, J.S. Condensation heat transfer of R22 and R410A in horizontal smooth and microfin tubes. Int. J. Refrig. 2005, 28, 949–957. [Google Scholar] [CrossRef]
- Mota-Babiloni, A.; Makhnatch, P.; Khodabandeh, R.; Navarro-Esbrí, J. Experimental assessment of R134a and its lower GWP alternative R513A. Int. J. Refrig. 2017, 74, 682–688. [Google Scholar] [CrossRef]
- Wang, C.-C. An overview for the heat transfer performance of HFO-1234yf. Renew. Sustain. Energy Rev. 2013, 19, 444–453. [Google Scholar] [CrossRef]
- Aprea, C.; Greco, A.; Maiorino, A. HFOs and their binary mixtures with HFC134a working as drop-in refrigerant in a household refrigerator: Energy analysis and environmental impact assessment. Appl. Therm. Eng. 2018, 141, 226–233. [Google Scholar] [CrossRef]
- Yıldız, A.; Yıldırım, R. Investigation of using R134a, R1234yf and R513A as refrigerant in a heat pump. Int. J. Environ. Sci. Technol. 2021, 18, 1201–1210. [Google Scholar] [CrossRef]
- Lemmon, E.W.; Bell, I.H.; Huber, M.L.; McLinden, M.O. NIST Standard Reference Database 23: Reference Fluid Thermodynamic and Transport Properties-REFPROP, Version 10.0, National Institute of Standards and Technology; Standard Reference Data Program: Gaithersburg, MD, USA, 2018. [Google Scholar]
- Zhao, C.-Y.; Ji, W.-T.; Jin, P.-H.; Zhong, Y.-J.; Tao, W.-Q. The influence of surface structure and thermal conductivity of the tube on the condensation heat transfer of R134a and R404A over single horizontal enhanced tubes. Appl. Therm. Eng. 2017, 125, 1114–1122. [Google Scholar] [CrossRef]
- Ji, W.-T.; Chong, G.-H.; Zhao, C.-Y.; Zhang, H.; Tao, W.-Q. Condensation heat transfer of R134a, R1234ze(E) and R290 on horizontal plain and enhanced titanium tubes. Int. J. Refrig. 2018, 93, 259–268. [Google Scholar] [CrossRef]
- Diani, A.; Cavallini, A.; Rossetto, L. R1234yf flow boiling heat transfer inside a 2.4-mm microfin tube. Heat Tran. Eng. 2017, 38, 303–312. [Google Scholar] [CrossRef]
- Diani, A.; Campanale, M.; Cavallini, A.; Rossetto, L. Low GWP refrigerants condensation inside a 2.4 mm ID microfin tube. Int. J. Heat Mass Tran. 2018, 86, 312–321. [Google Scholar] [CrossRef]
- Diani, A.; Cavallini, A.; Rossetto, L. R1234yf condensation inside a 3.4 mm ID microfin tube. Int. J. Refrig. 2017, 75, 178–189. [Google Scholar] [CrossRef]
- Longo, G.A.; Zilio, C. Condensation of the low GWP refrigerant HFC1234yf inside a brazed plate heat exchanger. Int. J. Refrig. 2013, 36, 612–621. [Google Scholar] [CrossRef]
- Yang, C.-Y.; Nalbandian, H. Condensation heat transfer and pressure drop of refrigerants HFO-1234yf and HFC-134a in small circular tube. Int. J. Heat Mass Tran. 2018, 127, 218–227. [Google Scholar] [CrossRef]
- Li, H.; Hrnjak, P. Heat Transfer Coefficient, Pressure Gradient, and Flow Patterns of R1234yf Evaporating in Microchannel Tube. ASME J. Heat Transf. 2021, 143, 042501. [Google Scholar] [CrossRef]
- Kedzierski, M.; Goncalves, J.M. Horizontal convective condensation of alternative refrigerants within a micro-fin tube. J. Enhanc. Heat Transf. 1999, 6, 161–178. [Google Scholar] [CrossRef]
- Diani, A.; Campanale, M.; Rossetto, L. Experimental study on heat transfer condensation of R1234ze(E) and R134a inside a 4.0 mm OD microfin tube. Int. J. Heat Mass Tranf. 2018, 126, 1316–1325. [Google Scholar] [CrossRef]
- Diani, A.; Rossetto, L. R513A flow boiling heat transfer inside horizontal smooth tube and microfin tube. Int. J. Refrig. 2019, 107, 301–314. [Google Scholar] [CrossRef]
- Diani, A.; Brunello, P.; Rossetto, L. R513A condensation heat transfer inside tubes: Microfin tube vs. smooth tube. Int. J. Heat Mass Tran. 2020, 152, 119472. [Google Scholar] [CrossRef]
- Karageorgis, A.; Hinopoulos, G.; Kim, M.-H. Condensation heat transfer and pressure drop characteristics of R513A as an alternative of R134a. In Proceedings of the 13th IEA Heat Pump Conference, Jeju, Korea, 26–29 April 2021. [Google Scholar]
- Moffat, J. Describing the uncertainties in experimental results. Exp. Therm. Fluid Sci. 1998, 1, 3–17. [Google Scholar] [CrossRef]







| R-134a | R-513A | R-1234yf | R-1234ze(E) | |
|---|---|---|---|---|
| Chemical formula | CF3CH2F | R-1234yf/134a (56/44 wt.%) | CH2CFCF3 | C3H2F4 |
| Molar mass [g/mol] | 102 | 108 | 114 | 114 |
| ODP | 0 | 0 | 0 | 0 |
| GWP | 1430 | 573 | 4 | 6 |
| Flammability | A1 | A1 | A2L | A2L |
| NBP [°C] | −26 | −29 | −29 | −19 |
| Tc [°C] | 101 | 96.5 | 94.7 | 109.4 |
| Pc [kPa] | 4059 | 3648 | 3381 | 3632 |
| qv * [kJ/m3] | 7293 | 7373 | 6891 | 5608 |
| Refrigerants | Condensing Temperature [°C] | Mass Flux [kg·m−2·s−1] | Degree of Superheat/Subcooling [°C] |
|---|---|---|---|
| R-134a, R-513A, R-1234yf, R-1234ze(E) | 35 | 100~440 | 5/2 |
| Parameters | Accuracy/Uncertainty |
|---|---|
| Temperature | ±0.1 °C |
| Pressure | ±0.25% |
| Differential pressure | ±0.1% |
| Mass flow | ±0.1% |
| Average heat transfer coefficient | ±3.7~11.3% |
| Pressure drop | ±1.5~8.5% |
| Properties [Units] | Refrigerants | |||
|---|---|---|---|---|
| R-134a | R-513A | R-1234yf | R-1234ze(E) | |
| Saturation temperature [°C] | 35 | 35 | 35 | 35 |
| Saturation pressure [kPa] | 887 | 941 | 895 | 667 |
| Latent heat [kJ/kg] | 168 | 147 | 137 | 159 |
| Liquid viscosity [μPa-s] | 172 | 147 | 135 | 168 |
| Vapor viscosity [μPa-s] | 12.1 | 12.0 | 12.0 | 12.8 |
| Liquid thermal conductivity [mW/m-K] | 76.9 | 66.3 | 60.5 | 70.9 |
| Vapor thermal conductivity [mW/m-K] | 14.9 | 15.1 | 14.9 | 14.5 |
| Liquid density [kg/m3] | 1167 | 1095 | 1054 | 1129 |
| Vapor density [kg/m3] | 43.4 | 50.2 | 50.3 | 35.3 |
| Liquid specific heat [J/kg-K] | 1471 | 1464 | 1443 | 1422 |
| Vapor specific heat [J/kg-K] | 1103 | 1131 | 1124 | 1023 |
| Liquid Prandtl number [-] | 3.29 | 3.23 | 3.23 | 3.37 |
| Vapor Prandtl number [-] | 0.90 | 0.90 | 0.90 | 0.91 |
| Surface tension [mN/m] | 6.74 | 5.47 | 4.97 | 7.56 |
| Reduced pressure [-] | 0.18 | 0.26 | 0.26 | 0.18 |
Publisher’s Note: MDPI stays neutral with regard to jurisdictional claims in published maps and institutional affiliations. |
© 2021 by the authors. Licensee MDPI, Basel, Switzerland. This article is an open access article distributed under the terms and conditions of the Creative Commons Attribution (CC BY) license (https://creativecommons.org/licenses/by/4.0/).
Share and Cite
Karageorgis, A.; Hinopoulos, G.; Kim, M.-H. A Comparative Study on the Condensation Heat Transfer of R-513A as an Alternative to R-134a. Machines 2021, 9, 114. https://doi.org/10.3390/machines9060114
Karageorgis A, Hinopoulos G, Kim M-H. A Comparative Study on the Condensation Heat Transfer of R-513A as an Alternative to R-134a. Machines. 2021; 9(6):114. https://doi.org/10.3390/machines9060114
Chicago/Turabian StyleKarageorgis, Andreas, George Hinopoulos, and Man-Hoe Kim. 2021. "A Comparative Study on the Condensation Heat Transfer of R-513A as an Alternative to R-134a" Machines 9, no. 6: 114. https://doi.org/10.3390/machines9060114
APA StyleKarageorgis, A., Hinopoulos, G., & Kim, M.-H. (2021). A Comparative Study on the Condensation Heat Transfer of R-513A as an Alternative to R-134a. Machines, 9(6), 114. https://doi.org/10.3390/machines9060114

