Abstract
Parameter identification in dynamical systems is a well-known problem with many applications in control design, system monitoring, and fault detection. As these systems are increasingly integrated into complex and demanding environments, challenges such as rapid response, uncertainty handling, and disturbance rejection must be addressed. This paper presents a real-time estimation technique for parameters and load torque in brushless DC (BLDC) motors. These electrical machines are extensively used in engineering applications and often operate under hard conditions. The proposed method is based on algebraic identification, known for its robust performance in both linear and nonlinear systems. In utilizing the mathematical model of a BLDC motor, a set of equations is derived to enable parameter estimation, assuming the availability of input and output measurements in open loop. Moreover, unknown load torque is estimated by approximating the disturbance over a short time window using Taylor series expansion polynomials. The theoretical contribution is analytically validated and is also verified through numerical evaluations revealing the effectiveness of the proposed technique for real-time parameter and disturbance estimation in BLDC motors over other important techniques. Additionally, to address potential peaks in the estimation process, a modification involving an exponent is introduced to mitigate these issues.
1. Introduction
BLDC motors are now present in many automated systems within several industrial sectors. Their applications rely mainly on robotics, electric vehicles, pumps for irrigation, drones, and home appliances. Some predictions indicate that by 2030, these electrical machines will replace classical induction motors in industries. The growth and improvements in this machine have increased its demand expecting to reach a global market of USD 15.2 billion by 2025 [1,2,3]. In this sense, several contributions in control strategies, estimation techniques, and power electronics for these systems have been proposed, where several challenges persist in different applications. Issues such as low resolution in Hall-effect sensors, delays in speed sensing for low-speed environments, and instability in some identification methods are continuously being improved upon. In this context, an improved observer was developed in [1] that includes a weight factor to compensate for delays and low resolution in speed sensing. These improvements are integrated into a model reference adaptive control scheme for a rail traction system. Similarly, in [4], a multi-parameter identification method for Permanent Magnet Synchronous Motors (PMSMs) based on an annealing particle swarm optimization algorithm within a model reference adaptive control scheme was proposed to improve accuracy and manage uncertainty. Also, ref. [5] proposed an online parameter estimation technique using an energy model to construct a torque load observer, with a recursive least squares algorithm. In the same way, ref. [6] reviewed online estimation techniques for PMSMs including BLDC motors where these tools are applicable. In this sense, ref. [7] proposed a torque estimation technique developing an Adaptive-Network Fuzzy Inference System for a BLDC motor used in light electric vehicles. Another important issue that is present in sensorless PMSMs is to obtain the rotor position to operate these machines. Various ways exist that can be used to solve this problem including advanced strategies such as identification techniques. For example, state observers can be used for any application as long as the mathematical model is known. Thus, this strategy is applicable for obtaining information from electrical machines, such as rotor position [8]. These identification methods are used in different systems where electrical machines are present; using these tools, common control problems can be reduced, such as non-modeled dynamics, parametric uncertainty, and disturbance rejection. In introducing these tools within control strategies, robustness and efficiency are achieved. Complex systems such as electromechanical actuators and anthropomorphic robots of multiple degrees of freedom present natural nonlinearities and are subject to unknown disturbances. These identification methods are used in order to obtain adaptive controllers that improve the system behavior [9,10].
The algebraic framework was introduced first for continuous-time linear systems by Fliess and Sira-Ramirez. The main features of this approach include the possibility of closed-loop identification and robustness against noise [11,12]. Over time, this approach has been extended to nonlinear systems including electrical machines. For example, this technique is employed to estimate harmonic torque loads in direct-current motors, as explored in [13]. Moreover, ref. [14] discusses the use of this technique for estimating multiple harmonics and their corresponding parameters, including amplitude, frequency, and phase. For many applications, this identification technique provides algebraic formulas that can be physically implemented, offering fast and accurate performance. This is demonstrated in [15], where the algebraic approach is used to identify undesired harmonics in electrical power systems. The formulas derived with this technique rely on the use of iterated integrals, which offer several advantages. For instance, in the context of automatic control, techniques incorporating integrative actions have improved system performance over the decades. One of the key benefits is their ability to reject disturbances. In this regard, Proportional–Integral (PI) controllers are widely employed to regulate electrical machines. However, traditional PI controllers exhibit certain limitations in applications involving inverters and power electronic devices. For example, the integration of artificial intelligence or fractional calculus can enhance PWM algorithms, as discussed in [16]. Model Predictive Path Integral control also demonstrates superiority in comparison with traditional Proportional–Integral–Derivative (PID) controllers applied to autonomous underwater vehicles [17]. In ref. [18], Higher-Order Sliding Mode Control with bounded integral action was analyzed in the context of physical constraints such as actuator saturation and the integral windup phenomenon. These issues are important to consider in order to avoid ineffective control if not properly addressed. Consequently, the correct tuning parameters should be computed considering these constraints.
BLDC motors belong to the family of synchronous machines, and various methods exist to operate them. The complete system involves the BLDC motor and the Electronic Speed Controller (ESC). Regardless of the strategy employed to determine the rotor position that can be through Hall-effect sensors or Back Electromotive Force (back-EMF) detection, different control strategies can be implemented. Among these, PI current controllers are widely used for BLDC motors due to their ability to achieve full torque. However, addressing challenges in dynamic environments such as electric vehicles, robots, and drones—where load conditions, speed, and torque vary—requires integrating optimization and estimation techniques to advance control strategies [19,20]. In this context, several approaches have been proposed to enhance estimation techniques for BLDC motors:
- Position control: Ref. [21] introduced a closed-loop strategy incorporating an augmented observer to enhance performance based on tracking error dynamics, coupled with a current controller to achieve the desired torque.
- Parameter identification: Recursive least squares (RLS) methods, as explored in [22], are effective but face limitations in addressing uncertainties inherent in motor dynamics. Alternatively, Kalman filters have shown robustness and speed advantages in parameter identification tasks [23,24].
- Load torque estimation: Sliding-Mode Observers have been employed for this purpose, offering rapid convergence. However, they are prone to common issues such as chattering and noise [25].
Another critical aspect involves inverter algorithms. These devices generate specific gate signals to produce control voltages that regulate the motor. Signals from the inverter are sensed and processed as part of the control strategy, where integral actions have demonstrated improved PWM performance in synchronous motors [26,27]. Other approaches have addressed similar challenges in induction motors using predictive control strategies. For instance, ref. [28] proposed an ultra-local model to reduce dependence on a precise mathematical model, combined with a linear extended state observer. However, these approaches struggle to significantly reduce harmonics in the signals. In this context, extended state observers are often integrated with nonlinear control techniques to estimate disturbances and enhance controller performance [29]. Finally, Extended Kalman Filters have been shown to improve the performance of classical controllers, such as PID controllers [30], LQR controllers [31], and rotor position identification in reluctance machines [32].
The development of controllers, automatic mechanisms, and disturbance rejection strategies has significantly advanced with the integration of estimation techniques. This work employs an algebraic approach for parameter estimation in BLDC motors. The operating environment is considered in an open-loop configuration, where the rotor position is obtained via Hall-effect sensors, while current and speed measurements are assumed to be available. Under these conditions, the measured voltages and currents are transformed into a bi-phase reference frame, enabling the use of the reference frame to design the algebraic identification process. This mathematical framework facilitates the effective estimation of both electrical and mechanical parameters. The load torque is assumed to be unknown and variable. To estimate this disturbance, its reconstruction is performed over a small time window, approximating the torque dynamics using Taylor polynomials. However, when numerical methods are employed to solve the algebraic equations, deviations in the estimated values may occur, potentially increasing the estimation error. To mitigate this issue, a proposed modification introduces an exponent to the numerical process, improving the accuracy of parameter estimation. Algebraic formulas are derived, analytically validated, and numerically evaluated, with results confirming the effectiveness of the proposed method. For comparison purposes, the algebraic approach is evaluated against the LSR method, a widely used technique for parameter estimation. The results demonstrate that the proposed algebraic method outperforms LRS in estimating parameters and disturbances in BLDC motors, especially under dynamic and variable conditions. The main contributions of this work are as follows:
- Robustness under dynamic conditions: The evaluation of the proposed estimator under parametric uncertainty and abrupt parameter changes, extending the algebraic estimation method to BLDC motors operating in dynamic and variable environments.
- Physical implementation considerations: The development of an estimator designed for practical applications, with simulation results demonstrating fast convergence, supporting its feasibility for real-time parameter estimation in BLDC motors.
- Peak reduction in numerical solutions: A modification to the estimation process reducing peak values caused by the numerical resolution of integral terms in the system equations, improving the stability and reliability of the estimation.
The rest of this paper is structured as follows: Section 2 describes the mathematical model of the BLDC motor and provides an overview of the estimation process within the reference frame. Section 3 details the design of the estimation equations for both electrical and mechanical parameters, including disturbance approximation. Section 4 examines various test scenarios, including no-load torque, constant torque, and variable torque conditions. Section 5 discusses the comparison with the RLS method under the same simulation evaluation. Section 6 presents the discussion. Finally, Section 7 presents conclusions and outlines future directions.
2. Brushless DC Motor Mathematical Model
The BLDC motor is typically modeled in the frame [2,33] for various applications. For disturbance estimation, sometimes, only the mechanical dynamics are used to design the identification strategy [1]. The back-EMF constant in BLDC motors is used to design the strategy to obtain the rotor’s position in sensorless motors. However, since the rotor position is obtained from Hall-effect sensors, the back-EMF constant is not required. In common control schemes, both current and voltage signals are measured and then transformed using the matrices
With this information available, the BLDC motor mathematical model can be used in frame [34], given as
Appendix A gives a full description of the previous equations. As with other important identification methods, the mathematical model is used to build the equations for parameter estimation. The advantage of these techniques is that the models can be modified to include parametric uncertainty and disturbances. In this way, information such as the and currents, and voltages, and speed can be obtained with non-invasive sensors and an encoder. This information is then used in the identification process, as shown in Figure 1.
Figure 1.
Online algebraic estimation for permanent magnet brushless DC motor in open-loop.
In this case, the motor operates with rotor position information obtained from Hall-effect sensors. These data are used by any device capable of generating the gate signals and sending them to the power switches in the ESC. The motor can be connected to any torque load, which is considered unknown and uncertain depending on the operating conditions. At this stage, voltages, currents, and speed are measured through non-invasive devices and transformed using the matrices from Equation (1). These data are then used in the estimation process to calculate both the electrical and mechanical parameters. The mechanical dynamics are modified by applying Taylor polynomials to approximate the unknown torque load. It is important to note that at this point, the system operates in open loop. The estimation can then be used to determine parameters relevant for control strategies, monitoring tasks, and fault detection.
3. Electric Parameter Estimation
First, Equation (2) is multiplied by in order to avoid dependence on initial conditions, where t is the current time and is the time at which the estimation process begins. Although inputs and outputs are available for measurement, this operation is necessary since parameter changes occur and torque load is uncertain and unknown. This modification leads to the following equation:
The derivative terms are eliminated as follows:
From the last equation, there are two unknown quantities , and . The equation can be reorganized as follows:
In doing this, we obtain the simplified algebraic equation
where
To build a 2 × 2 system, each term from Equation (8) is integrated again, yielding , , and . In this way, the final system is given by
where
.
By solving the system (12), the vector returns the computed values of inductance and armature resistance; in Appendix B, detailed information of the system solution is provided. In the same way, by taking Equation (3) and multiplying by , we obtain
According to the last equation, the parameters and can be computed. However, the previous values, L and , obtained from the first identification process can be used in order to reduce the computational cost. The second algebraic equation takes the form
with
As in the previous case, to obtain the system solution, a 3 × 3 system is built of the form
where
The relations for the solution of Equation (19) can be consulted in Appendix C.
Torque Load and Mechanical Parameter Estimation
To approximate the torque load that is unknown and uncertain, dynamic Equation (4) is modified; since the inputs and outputs of the system are available, the torque load can be approximated within a small time window with a j-th-order Taylor polynomial. This modification leads to
Time window is the same period when the complete process for identification is performed. This time should be small enough to compute the coefficients and reconstruct the torque load. This means that in each time window, the coefficient values are computed and saved as the identified electrical and mechanical parameters, and at the end of the period, a reset is performed. A first-order polynomial is considered first of the form
Now, through substituting this polynomial into the dynamic Equation (20) and rearranging the terms, the following expression for constructing the last estimator is obtained:
where . From this term, the moment of inertia can be obtained with . The parameter allows for computing the viscous damping coefficient . For and , and , which are the coefficients to reconstruct the torque load. From Equation (22), the following equation is obtained:
Reordering terms and applying some algebraic operations as the other two estimators, Equation (24) is obtained:
where
The complete system is built as follows:
where
The detailed system solution for the last system can be consulted in Appendix D.
4. Simulation Results
The algebraic formulas obtained to realize the identification problem were analytically verified. Moreover, several numerical evaluations were conducted considering real scenarios where these electrical machines usually operate. In this context, the BLDC motor operates in open loop for parameter and disturbance estimation. The chosen motor was from the BLWS23 Series by Anaheim Automation Company (Anaheim, CA, USA), with nominal voltage of 160 V and power of 157 W. The motor parameters, as provided by the manufacturer [35], are shown in Table 1.
Table 1.
Anaheim Automation BLDC motor parameters for study cases.
4.1. Parameter Estimation with No Torque Load
The three possible cases of BLDC motor operation were considered. First, it is assumed that the machine operates at nominal speed (3000 rpm), and measurements of voltages, currents, and velocity are taken to compute the parameters. Additionally, the algebraic method is recognized for its ability to handle parametric uncertainty, a phenomenon commonly observed in electrical machines due to factors such as temperature variations, harmonics in power signals, and mechanical wear. To validate this property, simulations were performed including parameter changes at different points in time, as shown in Table 2.
Table 2.
Electrical and mechanical parameter changes considered to test parametric uncertainty in BLDC motor identification with .
In considering these changes, the current signals and speed of the BLDC motor are shown in Figure 2. These signals are used by the estimator to compute the parameters of the machine.
Figure 2.
Electrical currents and speed of BLDC motor without torque load: (a) direct axis current , (b) quadrature axis current , (c) motor speed .
As illustrated in Figure 3, as the estimation is made in a small time window, the approximation is good with minimal error. It should also be noted that in most electrical machines, certain parameters such as the number of pole pairs are provided by the manufacturer, which aids in computing the electromagnetic torque .
Figure 3.
Electrical parameter estimation without torque load: (a) real and approximated inductance L, (b) real and approximated resistance , (c) real and approximated permanent magnet flux .
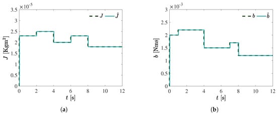
Similarly, Figure 4 demonstrates good performance in identifying mechanical parameters, even in the presence of potential changes during motor operation. Thus, under these specific conditions, the estimator can compute all BLDC motor parameters with high precision, supporting applications like control strategy development, fault detection, and others.
Figure 4.
Approximated mechanical parameters without torque load: (a) real and approximated moment of inertia J, (b) real and approximated viscous friction coefficient b.
4.2. Parameter Estimation with Constant Torque Load
In this test, and considering the motor’s characteristics, a constant torque load Nm is assumed. Once again, to validate the handle of parametric uncertainty of the identification technique, parameter changes were introduced as detailed in Table 3.
Table 3.
Electrical and mechanical parameter changes considered to test parametric uncertainty in BLDC motor identification and compute a constant disturbance Nm.
Figure 5 depicts the currents and speed of the BLDC motor under the parameter changes of Table 3. These signals are used in the identification process. On the other hand, to compute the constant torque load, only the first term of Equation (22) was used.
Figure 5.
Electrical currents and speed of BLDC motor without torque load: (a) direct axis current , (b) quadrature axis current , (c) motor speed .
In Figure 6, it can be observed that the electrical parameters are computed with minimal error, similarly to the previous case. In analyzing the calculated mechanical parameters in Figure 7, it is evident that there is minimal error between the real and estimated parameters, just like in the previous case. For the constant disturbance, the approximation remains accurate, and no significant changes are observed in the motor’s parameters. Figure 6 and Figure 7 together show that both electrical and mechanical parameters are computed with high precision, confirming the estimator’s reliability even under constant disturbance conditions.
Figure 6.
Electrical parameter estimation considering constant torque load: (a) real and approximated inductance L, (b) real and approximated resistance , (c) real and approximated permanent magnet flux .
Figure 7.
Approximated mechanical parameters considering constant torque load: (a) real and approximated moment of inertia J, (b) real and approximated viscous friction coefficient b, (c) real and approximated disturbance τL considered as constant.
4.3. Parameter Estimation with Variable Torque Load
Finally, an oscillatory disturbance is considered; as previously mentioned, the torque load is reconstructed in a small time window using Taylor polynomials. Notice that for this last case, the estimation technique is subjected to uncertainty and unknown variable disturbance. However, good performance is observed. Table 4 describes the changes considered for this case. The variable torque load is considered with an offset and a harmonic component with parameters , Hz, and .
Table 4.
Electrical and mechanical parameter changes considered to test parametric uncertainty in BLDC motor identification considering a variable torque load.
The responses of the system under the conditions of the last Table are depicted in Figure 8, these values are used in the identification process to get parameters and reconstruct the torque load .
Figure 8.
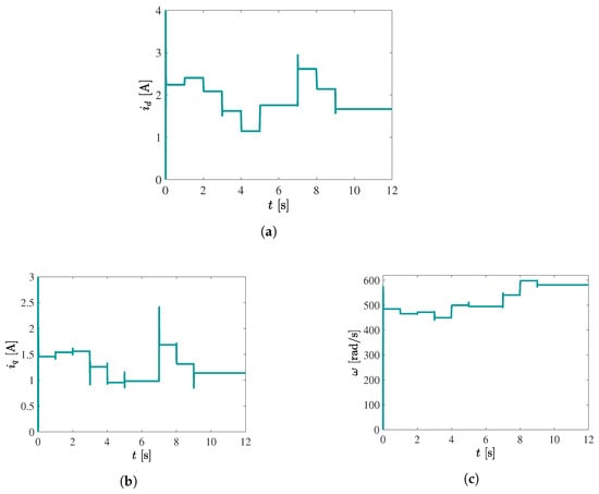
Electrical currents and speed of BLDC motor without torque load: (a) direct axis current , (b) quadrature axis current , (c) motor speed .
In this case, for electrical parameters, the identification process shows good behavior, as Figure 9 depicts. However, for mechanical parameters, some variations could appear due natural features of the disturbances, as is depicted in Figure 10. However, the estimated parameters are accurate.
Figure 9.
Electrical parameter estimation considering variable torque load (a) real and approximated inductance L, (b) real and approximated resistance , (c) real and approximated permanent magnet flux .
Figure 10.
Approximated mechanical parameters considering variable torque load: (a) real and approximated moment of inertia J, (b) real and approximated viscous friction coefficient b.
These variations could affect the performance to approximate the disturbance, increasing the error in some point through time. However, for each order of the polynomial, the approximation is good and can be used to adjust gains in a closed-loop condition. Figure 11 shows the disturbance estimation for different polynomial orders; observe that even for a first-order equation, the approximation is good.
Figure 11.
Approximated variable disturbances using different-order Taylor polynomials: (a) approximation using a 1st-order polynomial, (b) approximation using a 2nd-order polynomial, (c) approximation using a 3rd-order polynomial.
4.4. Effect of the Exponent on Estimator Terms
The identification process is performed after obtaining a modified structure of the equations representing the dynamic behavior of the BLDC motor. An analytical evaluation of this process enables the derivation of algebraic formulas to compute system parameters. Different methods can be used to solve each equation, as the formulas include integrals that are typically addressed using numerical techniques. The results may vary depending on the technique used to solve the equations, the step size, or the sample time. At this stage, small peaks between the estimated and actual values may arise, as shown in Figure 12.
Figure 12.
Peaks appearing in estimated values during estimation process. (a) Peaks appearing in estimated parameter L. (b) Peaks appearing in estimated parameter Rs. (c) Peaks appearing in estimated parameter .
The exponent was tested in this study by varying the value of between one and two units. It was observed that this adjustment reduces the error in the estimated values as is shown in Figure 13. These issues are not inherent to the estimation technique itself but rather to the numerical integration methods used to solve the equations. In a simulation environment, this issue is minimal, but it could suggest challenges in physical implementations.
Figure 13.
Effect of the exponent applied in some equations to reduce peaks. (a) Effect over parameter L. (b) Effect over parameter . (c) Effect over parameter .
5. Recursive Least Squares for BLDC Motor Identification
The RLS technique has been widely used for parameter estimation in a diverse range of dynamic systems due to its simplicity of implementation. Its application requires a discrete dynamic model of the form
where y is the system output, u is the control input, and n and m are positive integers. A simplified version of the model in Equation (26) can be expressed as
where is the regressor vector, and is the parameter vector, defined as
The estimation problem involves approximating the parameters that minimize the cost function
where is the estimated system output. The parameter estimation equations for RLS are given by
where P is the covariance matrix of the estimation error, which decreases as the number of iterations increases [36].
5.1. BLDC Motor Identification
For comparison purposes, consider the BLDC motor mathematical model discretized in the reference frame, described as
where is the sampling period, is the time at which estimation begins, and
Equations (30)–(32) can be rewritten in compact form as
where , , and . The parameters and regressor vectors are defined as follows:
In applying Equations (28) and (29), parameter estimates can be iteratively updated, provided that the sampling period is known.
Under the same numerical evaluation conditions, considering the case of variable torque load and the parameter changes detailed in Table 4, the following results were obtained.
5.2. Electrical and Mechanical Parameters
As shown in Figure 14, the electrical parameters exhibit greater errors compared to those of the proposed approach, with parameter with the greater deviation. This issue is common in this technique, as it is more sensitive to parametric uncertainty [21].
Figure 14.
Electrical currents and speed of BLDC motor without torque load using RLS method: (a) direct axis current , (b) quadrature axis current , (c) motor speed .
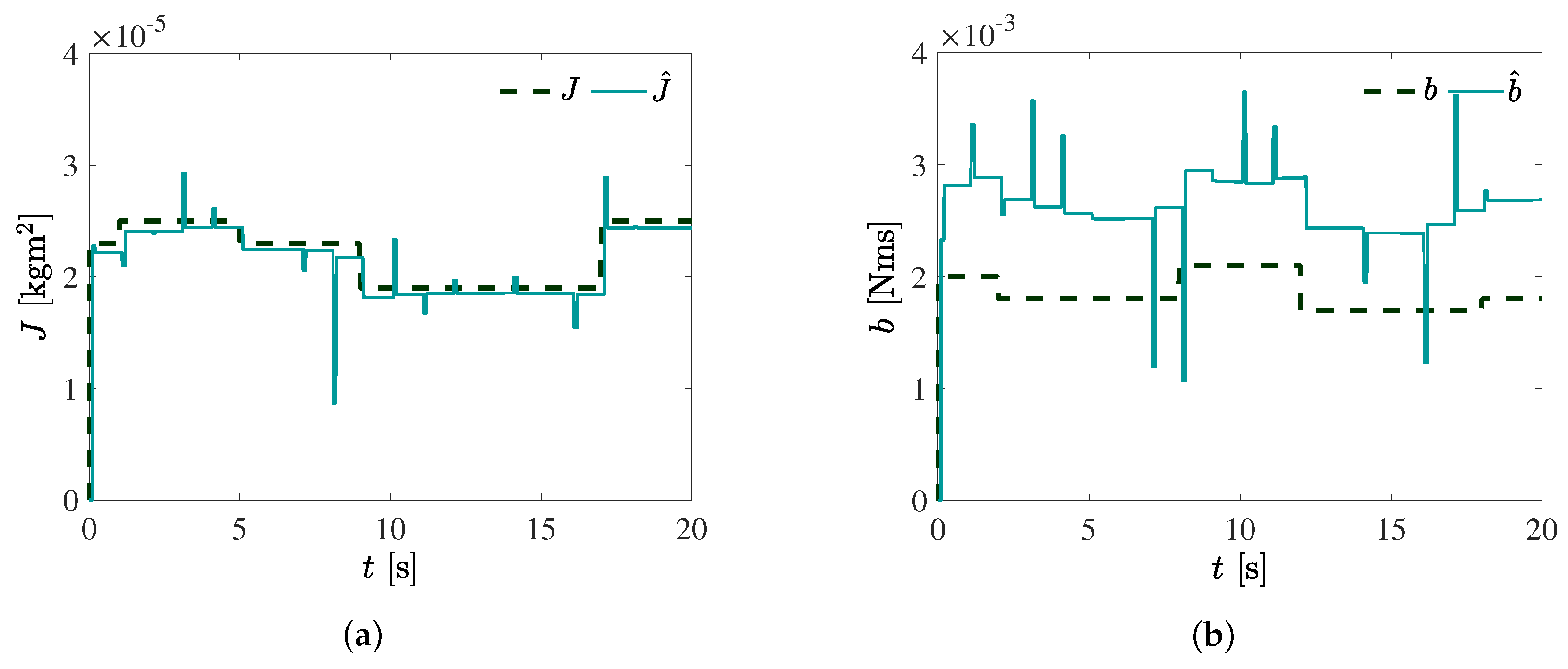
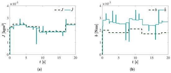
For mechanical estimation, the errors are more pronounced; this is observable in the parameter b. Additionally, the moment of inertia shows deviations at multiple points in time as is shown in Figure 15.
Figure 15.
Approximated mechanical parameters considering variable torque load using RLS method: (a) real and approximated moment of inertia J, (b) real and approximated viscous friction coefficient b.
Torque load estimation using this technique is less accurate, with visible distortions. Even when increasing the polynomial order, the results remain nearly unchanged in each case, as shown in Figure 16. In contrast, the proposed approach in this study demonstrates superior capabilities for torque load estimation in BLDC motors under the evaluated scenarios.
Figure 16.
Approximated variable disturbances using different-order Taylor polynomials using RLS method. (a) Approximation using a 1st-order polynomial. (b) Approximation using a 2nd-order polynomial. (c) Approximation using a 3rd-order polynomial.
6. Discussion
The results demonstrate that the proposed technique is effective for parameter and disturbance estimation in BLDC motors. In using information from voltages, currents, and speed, motor parameters can be accurately estimated, supporting the development of control strategies, monitoring systems, and other applications. Parametric uncertainty, a common issue caused by operational conditions and environmental factors, was explicitly addressed. In this study, abrupt changes in parameters were considered, and the estimator exhibited consistent and robust behavior under these conditions. In contrast, the RLS technique was tested under the same numerical conditions. For disturbance estimation, different time windows were selected based on the polynomial order: 0.1 s for first-order, 0.2 s for second-order, and 0.25 s for third-order polynomials. While the RLS approach was evaluated with variable disturbances, it encountered issues in handling parametric uncertainty. This resulted in inaccuracies across almost all parameters. Similar issues were reported in [21], which also employed the RLS technique under different evaluation conditions. Although RLS exhibited good performance in certain scenarios, its sensitivity to parametric uncertainty, which is often present in electric machines, remains a significant limitation.
Disturbance estimation in this study was performed using a Taylor polynomial approximation over small time windows. The load torque estimation achieved acceptable accuracy for various polynomial orders. However, it was observed that increasing the polynomial order introduces additional equations, which may lead to higher computational costs. A notable challenge is that rapid changes in disturbances can cause slight delays in estimation, an issue that should be accounted for in practical applications. Despite this, the proposed approximation yielded minimal variations and remained effective. Similar delays were observed in other techniques. For example, Kalman filter-based methods, as discussed in [22,23], perform well but exhibit parameter distortions when subjected to significant torque load changes. While reducing the sampling time can mitigate this issue, it often increases computational cost and delays convergence, with estimation errors persisting for up to 1 s. In contrast, the proposed algebraic method showed a delay of less than 0.3 s in simulations, indicating its potential to handle fast disturbances more efficiently. Another key finding involves the use of an exponent in the estimation process. It was observed that selecting an appropriate exponent, , can reduce error variations depending on the method used to compute the electrical and mechanical parameters. Values of between 1 and 2 were tested, revealing that this range effectively reduces estimation errors, particularly in the mechanical equation, where variations are typically more pronounced. For other dynamic systems, further simulations are recommended to determine optimal exponent values and enhance estimator performance.
7. Conclusions
This study proposed an algebraic approach for parameter and disturbance estimation in BLDC motors. The introduction of an exponent in the estimation equations effectively mitigated peaks that can arise during the process. Additionally, utilizing the reference frame reduced the number of equations required for the estimator, offering a computationally efficient solution with practical applications for real-time implementations. The approach demonstrated robustness in addressing parametric uncertainty, a common challenge in electric motors. Various scenarios, including constant and variable torque loads, were considered to evaluate the estimator’s performance. The results suggest that the proposed technique reliably computes electrical and mechanical parameters, even in the presence of uncertainties. Simulations showed relatively fast convergence, with estimation delays under 0.3 s in most cases. In comparison, the recursive least squares (RLS) method, evaluated under the same conditions, exhibited significant sensitivity to parametric uncertainties and disturbances, particularly in cases of rapid load changes. This sensitivity led to notable inaccuracies in estimated parameters, as also reported in similar works like [21]. While RLS can achieve good performance under specific conditions, its limitations in handling uncertainties highlight the advantages of the algebraic method for electric machine applications. Torque load approximation using Taylor polynomials of different orders yielded acceptable accuracy. Nevertheless, rapid changes in disturbance frequency introduced slight delays in estimation. This issue could be mitigated through a compensation strategy or by combining the proposed method with complementary techniques. Future work will explore these ideas and extend the proposed approach to other types of electric machines and dynamic systems. To enhance the method’s practical viability, further studies should focus on evaluating its robustness under broader operating conditions, including varying load profiles and noise levels. Optimizing computational efficiency, especially for higher-order approximations, will also be crucial for real-time applications. Additionally, integrating the proposed method into hardware implementations is a key step toward validating its feasibility and effectiveness in real-world scenarios.
Author Contributions
Conceptualization, D.M.-A., F.B.-C., A.C.-P., I.R.-C., and J.C.H.; methodology, D.M.-A., F.B.-C., and A.C.-P.; software, D.M.-A., F.B.-C., and A.C.-P.; validation, D.M.-A., F.B.-C., I.R.-C., A.C.-P., and J.C.H.; formal analysis, D.M.-A., F.B.-C., I.R.-C., and J.C.H.; investigation, D.M.-A., F.B.-C., A.C.-P., I.R.-C., and J.C.H.; resources, F.B.-C., I.R.-C., and J.C.H.; data curation, D.M.-A., F.B.-C., A.C.-P., and J.C.H.; writing—original draft preparation, D.M.-A., F.B.-C., A.C.-P., I.R.-C., and J.C.H.; writing—review and editing, D.M.-A., F.B.-C., and I.R.-C.; visualization, D.M.-A., F.B.-C., I.R.-C., and J.C.H.; supervision, F.B.-C., J.C.H., and I.R.-C.; project administration, F.B.-C.; funding acquisition, F.B.-C., I.R.-C., and J.C.H. All authors have read and agreed to the published version of the manuscript.
Funding
This research received no external funding.
Institutional Review Board Statement
Not applicable.
Data Availability Statement
The original contributions presented in this study are included in the article; further inquiries can be directed to the corresponding author.
Acknowledgments
The authors would like to thank the Consejo Nacional de Humanidades, Ciencias y Tecnologías (CONAHCYT) for support provided to developing this work. In addition, the authors acknowledge the support provided by the Thematic Network 723RT0150 “Red para la integración a gran escala de energías renovables en sistemas eléctricos (RIBIERSE-CYTED)” financed by the call for Thematic Networks of the CYTED (Ibero-American Program of Science and Technology for Development) for 2022.
Conflicts of Interest
The authors declare no conflicts of interest.
Abbreviations
The following abbreviations are used in this manuscript:
| BLDC Motor | Brushless Direct Current Motor; |
| PMSM | Permanent Magnet Synchronous Motor; |
| PI | Proportional–Integral; |
| PID | Proportional–Integral–Derivative; |
| PWM | Pulse Width Modulation; |
| ESC | Electronic Speed Controler; |
| back-EMF | Electromotive Back-Force; |
| RLS | Recursive Least Squares. |
Appendix A. BLDC Motor Mathematical Model Description
The inputs and outputs of the system are voltages described as and , current signals and in the direct and quadrature axes, respectively, and the motor angular speed . The identification technique uses this information to compute the real parameters of the BLDC motor: L is the inductance, is the armature resistance, J is the moment of inertia, and b is the viscous damping coefficient. The number of pole pairs is indicated as P, and the magnetic flux of the permanent magnet is denoted by . The disturbance can be described in three different cases if the output shaft is not connected to a load ; on the other hand, the rotor’s shaft can be connected to a constant or variable load. The three cases are considered in this study.
Appendix B. Parameter Identification Solution for Direct Axis Current
The theoretical framework for algebraic identification provides formulas that can be solved using linear algebra tools [11,12]. After analyzing the dynamics in the direct axis, the system of equations can be expressed as
where
The solution of this system is obtained as
Singularities can occur when the determinant of matrix equals zero. To avoid this issue, the estimation process is restricted to instances where . In real-world applications, the dynamic behavior of the system (e.g., parametric uncertainty and variations in state variables) inherently mitigates that becomes singular.
The components of and are as follows:
Now, for implementation, we have the following terms:
We can propose the dynamical systems as follows:
In such a way, each term of matrices and is implemented as
Appendix C. Parameter Identification Solution for Quadrature Axis Current
The parameter identification for the quadrature axis current follows a similar approach to that outlined in Appendix B. The system of equations is represented as
where
The coefficients of matrix and vector are derived by successive integrations:
As in the previous case, through implementing dynamical systems, the complete system can be solved, and identified parameters are obtained.
Appendix D. Parameter Identification Solution for Mechanical Dynamics
For the last case, the disturbance is approximated with a Taylor polynomial; as the order increases, the number of equations also increases. However, the solution is performed in the same way since the equation takes the following form:
where
Parameter Estimation
The solution for is computed using
where is the adjugate of , and ensures a valid solution. The coefficients of and are computed through successive integrations:
References
- Lee, D. Motion control of the rail traction system by dual brushless AC motors using a disturbance observer. IET Electr. Power Appl. 2021, 15, 1499–1511. [Google Scholar] [CrossRef]
- Mohanraj, D.; Aruldavid, R.; Verma, R.; Sathiyasekar, K.; Barnawi, A.; Chokkalingam, B.; Mihet-Popa, L. A review of BLDC motor: State of art, advanced control techniques, and applications. IEEE Access 2022, 10, 54833–54869. [Google Scholar] [CrossRef]
- Antony, R.; Komarasamy, P.; Rajamanickam, N.; Alroobaea, R.; Aboelmagd, Y. Optimal Rotor Design and Analysis of Energy-Efficient Brushless DC Motor-Driven Centrifugal Monoset Pump for Agriculture Applications. Energies 2024, 17, 2280. [Google Scholar] [CrossRef]
- Su, G.; Wang, P.; Guo, Y.; Cheng, G.; Wang, S.; Zhao, D. Multiparameter identification of permanent magnet synchronous motor based on model reference adaptive system—Simulated annealing particle swarm optimization algorithm. Electronics 2022, 11, 159. [Google Scholar] [CrossRef]
- Yang, C.; Bu, L.; Chen, B. Energy modeling and online parameter identification for permanent magnet synchronous motor driven belt conveyors. Measurement 2021, 178, 109342. [Google Scholar] [CrossRef]
- Zhu, Z.; Liang, D.; Liu, K. Online parameter estimation for permanent magnet synchronous machines: An overview. IEEE Access 2021, 9, 59059–59084. [Google Scholar] [CrossRef]
- Kerem, A. Torque estimation of electric vehicle motor using adaptive-network based fuzzy inference systems. Int. J. Automot. Eng. Technol. 2021, 10, 33–41. [Google Scholar] [CrossRef]
- Zhang, Y.; Yin, Z.; Bai, C.; Wang, G.; Liu, J. A rotor position and speed estimation method using an improved linear extended state observer for IPMSM sensorless drives. IEEE Trans. Power Electron. 2021, 36, 14062–14073. [Google Scholar] [CrossRef]
- Chen, Q.; Chen, H.; Zhu, D.; Li, L. Design and analysis of an active disturbance rejection robust adaptive control system for electromechanical actuator. Actuators 2021, 10, 307. [Google Scholar] [CrossRef]
- Putov, V.; Sheludko, V. Robust Control of a Multi-Degree-of-Freedom Electromechanical Plant with Adaptive Disturbance Compensation. J. Phys. Conf. Ser. 2021, 1864, 012083. [Google Scholar] [CrossRef]
- Fliess, M.; Sira–Ramírez, H. An Algebraic Framework for Linear Identification. ESAIM Control Optim. Calc. Var. 2003, 9, 151–168. [Google Scholar] [CrossRef]
- Fliess, M.; Sira-Ramirez, H. Closed-loop Parametric Identification for Continuous-Time Linear Systems via New Algebraic Techniques. In Identification of Continuous-Time Models from Sampled Data; Garnier, H., Wang, L., Eds.; Advances in Industrial Control; Springer: Berlin/Heidelberg, Germany, 2008; pp. 362–391. [Google Scholar] [CrossRef]
- Beltran-Carbajal, F.; Tapia-Olvera, R.; Valderrabano-Gonzalez, A.; Yanez-Badillo, H.; Rosas-Caro, J.; Mayo-Maldonado, J. Closed-loop Online Harmonic Vibration Estimation in DC Electric Motor Systems. Appl. Math. Model. 2021, 94, 460–481. [Google Scholar] [CrossRef]
- Beltran-Carbajal, F.; Tapia-Olvera, R.; Valderrabano-Gonzalez, A.; Yanez-Badillo, H. An Asymptotic and Algebraic Estimation Method of Harmonics. Electr. Power Syst. Res. 2022, 206, 107771. [Google Scholar] [CrossRef]
- Beltran-Carbajal, F.; Silva-Navarro, G.; Trujillo-Franco, L.G. On-line parametric estimation of damped multiple frequency oscillations. Electr. Power Syst. Res. 2018, 154, 423–432. [Google Scholar] [CrossRef]
- Benbouhenni, H.; Bizon, N.; Colak, I.; Thounthong, P.; Takorabet, N. Application of Fractional-order PI Controllers and Neuro-fuzzy PWM Technique to Multi-rotor Wind Turbine Systems. Electronics 2022, 11, 1340. [Google Scholar] [CrossRef]
- Nicolay, P.; Petillot, Y.; Marfeychuk, M.; Wang, S.; Carlucho, I. Enhancing AUV Autonomy with Model Predictive Path Integral Control. In OCEANS 2023-MTS/IEEE US Gulf Coast; IEEE: Piscataway, NJ, USA, 2023; pp. 1–10. [Google Scholar] [CrossRef]
- Russo, A.; Incremona, G.; Cavallo, A. Higher-order Sliding Mode Design with Bounded Integral Control Generation. Automatica 2022, 143, 110430. [Google Scholar] [CrossRef]
- Younus, S.M.Y.; Kutbay, U.; Rahebi, J.; Hardalaç, F. Hybrid Gray Wolf Optimization–Proportional Integral Based Speed Controllers for Brush-less DC Motor. Energies 2023, 16, 1640. [Google Scholar] [CrossRef]
- Bokam Divakar, D.R.; Divya, G.; SYugandhar, G.; Sindhusha, D. A Review on Brushless DC Motor Control Techniques. J. Pharm. Negat. Results 2023, 6821–6828. [Google Scholar] [CrossRef]
- Lee, Y.; Kim, W. Nonlinear Position Control with Augmented Observer in Brushless DC Motor. Mathematics 2021, 9, 2553. [Google Scholar] [CrossRef]
- Jimenez-Gonzalez, J.; Gonzalez-Montañez, F.; Jimenez-Mondragon, V.M.; Liceaga-Castro, J.U.; Escarela-Perez, R.; Olivares-Galvan, J.C. Parameter Identification of BLDC Motor Using Electromechanical Tests and Recursive Least-Squares Algorithm: Experimental Validation. Actuators 2021, 10, 143. [Google Scholar] [CrossRef]
- İnan, R.; Üzüm, O.M. Speed-Sensorless DTC of BLDC Motor with EKF-Based Estimator Capable of Load Torque Estimation for Electric Vehicle. Avrupa Bilim Teknol. Derg. 2022, 42, 6–13. [Google Scholar] [CrossRef]
- Ding, J.; Chen, L.; Cao, Z.; Guo, H. Convergence Analysis of the Modified Adaptive Extended Kalman Filter for the Parameter Estimation of a Brushless DC Motor. Int. J. Robust Nonlinear Control 2021, 31, 7606–7620. [Google Scholar] [CrossRef]
- Shao, Y.; Yang, R.; Guo, J.; Fu, Y. Sliding Mode Speed Control for Brushless DC Motor Based on Sliding Mode Torque Observer. In Proceedings of the 2015 IEEE International Conference on Information and Automation, Lijiang, China, 8–10 August 2015; pp. 2466–2470. [Google Scholar] [CrossRef]
- Ganguli, S.; Kumar, A.; Kaur, G.; Sarkar, P.; Rajest, S.S. A Global Optimization Technique for Modeling and Control of Permanent Magnet Synchronous Motor Drive. Innov. Inf. Commun. Technol. Ser. 2021, 74–81. [Google Scholar] [CrossRef] [PubMed]
- Djouadi, H.; Ouari, K.; Belkhier, Y.; Lehouche, H.; Bajaj, M.; Blazek, V. Improved Robust Model Predictive Control for PMSM Using Backstepping Control and Incorporating Integral Action with Experimental Validation. Results Eng. 2024, 23, 102416. [Google Scholar] [CrossRef]
- Zhang, Y.; Wang, X.; Yang, H.; Zhang, B.; Rodriguez, J. Robust predictive current control of induction motors based on linear extended state observer. Chin. J. Electr. Eng. 2021, 7, 94–105. [Google Scholar] [CrossRef]
- Maghfiroh, H.; Nizam, M.; Anwar, M.; Ma’Arif, A. Improved LQR control using PSO optimization and Kalman filter estimator. IEEE Access 2022, 10, 18330–18337. [Google Scholar] [CrossRef]
- Che, Z.; Yu, H.; Mobayen, S.; Ali, M.; Yang, C.; Bartoszewicz, A. An improved extended state observer-based composite nonlinear control for permanent magnet synchronous motor speed regulation systems. Energies 2022, 15, 5699. [Google Scholar] [CrossRef]
- Yuliawan, S.; Wahyunggoro, O.; Setiawan, N. Kalman filter to improve performance of PID control systems on DC motors. IJITEE (Int. J. Inf. Technol. Electr. Eng.) 2021, 5, 96–102. [Google Scholar] [CrossRef]
- Boztas, G.; Aydogmus, O. Implementation of sensorless speed control of synchronous reluctance motor using extended Kalman filter. Eng. Sci. Technol. Int. J. 2022, 31, 101066. [Google Scholar] [CrossRef]
- Al Mashhadany, Y.I.M.; Abbas, A.K.; Algburi, S.S. Modeling and Analysis of Brushless DC Motor System Based on Intelligent Controllers. Bull. Electr. Eng. Inform. 2022, 11, 2995–3003. [Google Scholar] [CrossRef]
- El Sawy, M.A.; Kamel, O.M.; Mohamed, Y.S.; Mossa, M.A. Dynamic Performance Evaluation of a Brushless AC Motor Drive Using Different Sensorless Schemes. Int. J. Robot. Control Syst. 2024, 4, 1306. [Google Scholar] [CrossRef]
- Anaheim Automation. BLWS23 Series Datasheet. 2015. Available online: https://anaheimautomation.com/media/anaheim/files/manuals/brushless/L010229_-_BLWS23_Series_Product_Sheet.pdf?srsltid=AfmBOoqsm4O_vx0hqNDQWndcVP94HBKj8VrKV5bsNpPtiP3b9DsYZA8L (accessed on 3 October 2024).
- Isermann, R.; Münchhof, M. Identification of Dynamic Systems: An Introduction with Applications; Springer: Berlin, Germany, 2011; Volume 85. [Google Scholar] [CrossRef]
Disclaimer/Publisher’s Note: The statements, opinions and data contained in all publications are solely those of the individual author(s) and contributor(s) and not of MDPI and/or the editor(s). MDPI and/or the editor(s) disclaim responsibility for any injury to people or property resulting from any ideas, methods, instructions or products referred to in the content. |
© 2024 by the authors. Licensee MDPI, Basel, Switzerland. This article is an open access article distributed under the terms and conditions of the Creative Commons Attribution (CC BY) license (https://creativecommons.org/licenses/by/4.0/).















