Mechanical Deformation Analysis of a Flexible Finger in Terms of an Improved ANCF Plate Element
Abstract
:1. Introduction
2. Theoretical Foundation and Modeling
2.1. ANCF Plate Element Theory
2.1.1. Kinematics Characterization
2.1.2. The Mass Matrix, Elastic Force, and External Force of an Element
2.1.3. Dynamics Equations
2.2. An Improved Hyper-Elastic Constitutive Model Based on ANCF
2.2.1. A Constitutive Model Based on ANCF
2.2.2. The Elimination of Volume Lock
2.3. The Modeling of Length Constraint
2.3.1. The Constraints of a Multi-Body System
2.3.2. Length Constraint
3. Theoretical Verification
3.1. Verification of Volume Lock
3.2. Verification of an Improved Yeoh Model
3.3. Verification of Length Constraint
4. The Calculation of a Silicone Rubber Finger
4.1. The Structure of a Silicone Rubber Finger
4.2. Single Cavity Deformation Analysis
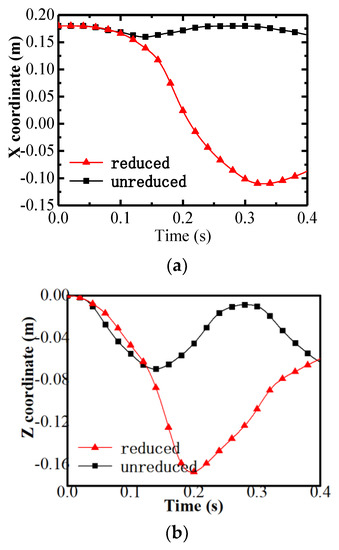
4.3. Analysis of the Overall Deformation of a Flexible Finger
5. Conclusions
Author Contributions
Funding
Data Availability Statement
Conflicts of Interest
References
- Mooney, M. A Theory of Large Elastic Deformation. J. Appl. Phys. 1940, 11, 582–592. [Google Scholar] [CrossRef]
- Renaud, C.; Cros, J.M.; Feng, Z.Q.; Yang, B. The Yeoh model applied to the modeling of large deformation contact/impact problems. Int. J. Impact Eng. 2009, 36, 659–666. [Google Scholar] [CrossRef] [Green Version]
- Shabana, A.A. An Absolute Nodal Coordinate Formulation for the Large Rotation and Deformation Analysis of Flexible Bodies; Technical Report; Department of Mechanical Engineering, University of Illinois at Chicago: Chicago, IL, USA, 1996. [Google Scholar]
- Shabana, A.A. Definition of the Slopes and the Finite Element Absolute Nodal Coordinate Formulation. Multibody Syst. Dyn. 1997, 1, 339–348. [Google Scholar] [CrossRef]
- Berzeri, M.; Campanelli, M.; Shabana, A.A. Definition of the Elastic Forces in the Finite-Element Absolute Nodal Coordinate Formulation and the Floating Frame of Reference Formulation. Multibody Syst. Dyn. 2001, 5, 21–54. [Google Scholar] [CrossRef]
- Omar, M.A.; Shabana, A.A. A two-dimensional shear deformable beam for large rotation and deformation problems. J. Sound Vib. 2001, 243, 565–576. [Google Scholar] [CrossRef]
- Kerkkaenen, K.S.; Sopanen, J.T.; Mikkola, A.M. A Linear Beam Finite Element Based on the Absolute Nodal Coordinate Formulation. J. Mech. Des. 2005, 127, 621–630. [Google Scholar] [CrossRef]
- Russo, M.; Dong, X.J.M.; Theory, M. A calibration procedure for reconfigurable Gough-Stewart manipulators. Mech. Mach. Theory 2020, 152, 103920. [Google Scholar] [CrossRef]
- Ba, W.; Dong, X.; Ahmad-Mohammad, A.; Wang, M.; Axinte, D.; Norton, A. Design and validation of a novel fuzzy-logic-based static feedback controller for tendon-driven continuum robots. IEEE/ASME Trans. Mechatron. 2021, 26, 3010–3021. [Google Scholar] [CrossRef]
- Yu, J.J.; Dong, X.; Pei, X.; Zong, G.H.; Qiu, Q. Mobility and Singularity Analysis of a Class of 2-DOF Rotational Parallel Mechanisms Using a Visual Graphic Approach. In Proceedings of the Asme International Design Engineering Technical Conferences & Computers & Information in Engineering Conference, Washington, DC, USA, 28–31 August 2011. [Google Scholar]
- Ma, N.; Dong, X.; Axinte, D. Modeling and Experimental Validation of a Compliant Underactuated Parallel Kinematic Manipulator. IEEE/ASME Trans. Mechatron. 2020, 25, 1409–1421. [Google Scholar] [CrossRef]
- Ma, N.; Dong, X.; Palmer, D.; Arreguin, J.C.; Liao, Z.; Wang, M.; Axinte, D. Parametric vibration analysis and validation for a novel portable hexapod machine tool attached to surfaces with unequal stiffness. J. Manuf. Process. 2019, 47, 192–201. [Google Scholar] [CrossRef]
- Barrientos-Díez, J.; Dong, X.; Axinte, D.; Kell, J.J.R.; Manufacturing, C.-I. Real-Time Kinematics of Continuum Robots: Modelling and Validation. Robot. Comput.-Integr. Manuf. 2020, 67, 102019. [Google Scholar] [CrossRef]
- Russo, M.; Raimondi, L.; Dong, X.; Axinte, D.; Kell, J.J.R.; Manufacturing, C.-I. Task-oriented optimal dimensional synthesis of robotic manipulators with limited mobility. Robot. Comput.-Integr. Manuf. 2021, 69, 102096. [Google Scholar] [CrossRef]
- Jung, S.P.; Park, T.W.; Chung, W.S. Dynamic analysis of rubber-like material using absolute nodal coordinate formulation based on the non-linear constitutive law. Nonlinear Dyn. 2011, 63, 149–157. [Google Scholar] [CrossRef]
- Pappalardo, C.M.; Wallin, M.; Shabana, A.A.; Dynamics, N. A New ANCF/CRBF Fully Parameterized Plate Finite Element. J. Comput. Nonlinear Dynam. 2017, 12, 031008. [Google Scholar] [CrossRef]
- Melly, S.K.; Liu, L.; Liu, Y.; Leng, J. Modified Yeoh model with improved equibiaxial loading predictions. Acta Mech. 2022, 233, 437–453. [Google Scholar] [CrossRef]
- Pappalardo, C.M.; Yu, Z.; Zhang, X.; Shabana, A.A.; Dynamics, N. Rational ANCF thin plate finite element. J. Comput. Nonlinear Dyn. 2016, 11, 051009. [Google Scholar] [CrossRef]
- Bayat, H.R.; Wulfinghoff, S.; Kastian, S.; Reese, S. On the use of reduced integration in combination with discontinuous Galerkin discretization: Application to volumetric and shear locking problems. Adv. Model. Simul. Eng. Sci. 2018, 5, 10. [Google Scholar] [CrossRef] [Green Version]
- Orzechowski, G.; Frczek, J. Nearly incompressible nonlinear material models in the large deformation analysis of beams using ANCF. Nonlinear Dyn. 2015, 82, 451–464. [Google Scholar] [CrossRef] [Green Version]
- Xu, Q.; Liu, J.; Qu, L. A Higher-Order Plate Element Formulation for Dynamic Analysis of Hyperelastic Silicone Plate. J. Mech. 2019, 35, 795–808. [Google Scholar] [CrossRef]
- Mikkola, A.M.; Shabana, A.A. A Non-Incremental Finite Element Procedure for the Analysis of Large Deformation of Plates and Shells in Mechanical System Applications. Multibody Syst. Dyn. 2003, 9, 283–309. [Google Scholar] [CrossRef]
- Dufva, K.; Shabana, A.A. Analysis of thin plate structures using the absolute nodal coordinate formulation. J. Multi-Body Dyn. 2005, 219, 345–355. [Google Scholar] [CrossRef]
- Yeoh, O.H. Some forms of the strain energy function for rubber. Rubber Chem. Technol. 1993, 66, 754–771. [Google Scholar] [CrossRef]
















| Name | Symbol | Value | Unit |
|---|---|---|---|
| Length | a | 0.18 | m |
| Width | b | 0.16 | m |
| Thickness | t | 0.04 | m |
| Damping coefficient | c | 1.5 | N·s/m |
| Bulk modulus | k | 1000 | MPa |
| Material constant | 0.2712 | MPa | |
| Material constant | 0.03053 | MPa | |
| Material constant | −0.0004013 | MPa |
| Name | Symbol | Value | Unit |
|---|---|---|---|
| Radius | r | 0.2 | m |
| Length | L | 0.4 | m |
| Thickness | t | 0.02 | m |
| Density | 7200 | ||
| Elastic modulus | E | 1 × 106 | MPa |
| Poisson’s ratio | 0.3 | - |
| Name | Symbol | Value | Unit |
| Radius | r | 0.1 | m |
| Thickness | t | 0.02 | m |
| Length | a | 0.2 | m |
| Width | b | 0.05 | m |
Publisher’s Note: MDPI stays neutral with regard to jurisdictional claims in published maps and institutional affiliations. |
© 2022 by the authors. Licensee MDPI, Basel, Switzerland. This article is an open access article distributed under the terms and conditions of the Creative Commons Attribution (CC BY) license (https://creativecommons.org/licenses/by/4.0/).
Share and Cite
Xing, Y.; Liu, L.; Liu, C.; Li, B.; Wang, Z.; Li, P.; Zhang, E. Mechanical Deformation Analysis of a Flexible Finger in Terms of an Improved ANCF Plate Element. Machines 2022, 10, 518. https://doi.org/10.3390/machines10070518
Xing Y, Liu L, Liu C, Li B, Wang Z, Li P, Zhang E. Mechanical Deformation Analysis of a Flexible Finger in Terms of an Improved ANCF Plate Element. Machines. 2022; 10(7):518. https://doi.org/10.3390/machines10070518
Chicago/Turabian StyleXing, Yu, Lei Liu, Chao Liu, Bo Li, Zishen Wang, Pengfei Li, and Erhu Zhang. 2022. "Mechanical Deformation Analysis of a Flexible Finger in Terms of an Improved ANCF Plate Element" Machines 10, no. 7: 518. https://doi.org/10.3390/machines10070518
APA StyleXing, Y., Liu, L., Liu, C., Li, B., Wang, Z., Li, P., & Zhang, E. (2022). Mechanical Deformation Analysis of a Flexible Finger in Terms of an Improved ANCF Plate Element. Machines, 10(7), 518. https://doi.org/10.3390/machines10070518
