Next Article in Journal
An Unscented Kalman Filter Online Identification Approach for a Nonlinear Ship Motion Model Using a Self-Navigation Test
Previous Article in Journal
USV Application Scenario Expansion Based on Motion Control, Path Following and Velocity Planning
 
 
Font Type:
Arial Georgia Verdana
Font Size:
Aa Aa Aa
Line Spacing:
Column Width:
Background:
Article

Equivalent Identification of Distributed Random Dynamic Load by Using K–L Decomposition and Sparse Representation

1
School of Mechatronics Engineering, Changsha University, Changsha 410083, China
2
State Key Laboratory of Advanced Design and Manufacturing for Vehicle Body, College of Mechanical and Vehicle Engineering, Hunan University, Changsha 410082, China
*
Author to whom correspondence should be addressed.
Machines 2022, 10(5), 311; https://doi.org/10.3390/machines10050311
Submission received: 25 March 2022 / Revised: 21 April 2022 / Accepted: 23 April 2022 / Published: 26 April 2022
(This article belongs to the Section Machine Design and Theory)

Abstract

:
By aiming at the common distributed random dynamic loads in engineering practice, an equivalent identification method that is based on K–L decomposition and sparse representation is proposed. Considering that the establishment of a probability model of the distributed random dynamic load is usually unfeasible because of the requirement of a large number of samples, this method describes it by using an interval process model. Through K–L series expansion, the interval process model of the distributed random dynamic load is recast as the sum of the load median function and the load uncertainty. Then, the original load identification problem is transformed into two deterministic ones: the identification of the load median function and the reconstruction of the load covariance matrix, which reveals the load uncertainty characteristics. By integrating the structural modal parameters, and by adopting the Green’s kernel function method and sparse representation, the continuously distributed load median function is equivalently identified as several concentrated dynamic loads that act on the appropriate positions. On the basis of the realization of the first inverse problem, the forward model of the load covariance matrix reconstruction is derived by using K–L series expansion and spectral decomposition. The resolutions to both inverse problems are assisted by the regularization operation so as to overcome the inherent ill-posedness. At the end, a numerical example is presented to show the effectiveness of the proposed method.

1. Introduction

The distributed random dynamic load is an indispensable and important part of the dynamic load, and it is ubiquitous in engineering practice (e.g., the wind load that acts on aerospace vehicles, the wave load that acts on ships or offshore platforms, etc. [1]). In many dynamic problems, such as reliability design, structural optimization, vibration control, health monitoring, and fault diagnosis, distributed random dynamic loads often act as the excitations, so that their acquisition must be considered together with the corresponding dynamical issues [2,3,4]. Only when accurate load information is provided is it possible to apply advanced design methods in a targeted manner to obtain a structure that can both meet complex engineering needs and that is quite safe and reliable. Otherwise, the results of the design will deviate greatly from the actual problems and cause serious economic losses and safety accidents. However, because of the limitations of the testing equipment and technology, the working environment, the economic costs, and other factors, it is often rather difficult, or even impossible, to obtain the distributed random dynamic load via direct measurement in engineering. Therefore, it is quite necessary to investigate and develop inverse methods to indirectly identify and characterize the loads.
The problem of dynamic load identification can be traced back to the aviation field in the 1970s. The identification of the dynamic loads that act on the aircraft during flight provided a basis for the advanced design of aircraft structures [5]. In the following decades, both the theories and the technologies of dynamic load identification were vigorously developed from scratch. However, the models and the identification methods of the different types of loads are quite different, as each has its own attributes and features and involves different technical fields [6,7,8]. From the point of view of distribution, the dynamic load can be divided into the concentrated dynamic load, the moving load, and the distributed dynamic load, while, from the perspective of rules, it can be classified as the deterministic dynamic load and as the random dynamic load. The research on concentrated dynamic load identification started relatively early, and it has always been a hot topic in the field of dynamics [9]. He et al. [10] and Qiao et al. [11] describe the dynamic load by using wavelet shape functions and cubic B-spline, respectively. Wang et al. [12], Qiao et al. [13], and Liu et al. [14] developed novel regularization algorithms for overcoming the ill-posedness. Cumbo et al. [15] and Lourens et al. [16] introduced the Kalman filter into load identification. Moreover, Law et al. [17,18] and Ren et al. [19,20] carried out a series of in-depth studies on moving load identification. Generally, the theories and methods of concentrated dynamic load identification and moving load identification have been widely studied and applied in engineering practice and are still in further development.
However, the distributed dynamic load, which is different from the concentrated dynamic load, is not only dynamic in time, but is also continuously distributed in space, which is much more complicated. To identify the distributed dynamic load is to identify all of its space and time parameters, which presents a critical problem: the amount of the known information is much smaller than that of the unknown parameters to be identified, not to mention the randomness of the load. On the basis of these particularities and difficulties, only a very limited number of methods have been reported up to now, and most of them consider the deterministic distributed dynamic load. Zhu et al. [21] and Pézerat et al. [22] identified the distributed dynamic load on a plate structure by using interpolation functions to the discrete integral equation and the bending displacement response, respectively. However, strictly speaking, the distributed dynamic loads that were involved belonged to multisource concentrated dynamic loads rather than to the continuously distributed dynamic load. Liu and Han [23] established a distributed dynamic load model by using a spatial distribution function and a time history function, and they realized the identification of both functions by the iterative optimization algorithm. Liu and Shepard [24] assumed that the load time history was a harmonic, and they then fitted the load distribution function by the modal shape functions of the structure in the load action area. Qin and Deng [25] reversed the distributed dynamic load by discretizing it in the space-and-time domain, and they approximated it by generalized orthogonal polynomials, such as two-dimensional or three-dimensional Chebyshev orthogonal polynomials. To a certain extent, the abovementioned methods deal with the problem of identifying the infinite load parameters through limited measurement information. However, when noise data are considered in the structural responses, the results of the load identification become unstable. To overcome the stability problem, Hwang et al. [26] identified the modal load of the wind load that acted on the structure, and its structural response in real time on the basis of the Kalman filter. Amiri et al. [27] realized the identification of the modal wind load by deriving an impulse response matrix by only using the measured structural response. The two methods translated the distributed dynamic load from physical space to modal space as the modal loads. However, the further identification of the load time history and the spatial distribution has rarely been conducted.
As for the identification of the load randomness, Petersen et al. [28] studied the full-scale identification of wave loads on long-span pontoon bridges, and they compared two methods that were based on inversion and spectral density. Dong et al. [29] identified the vibration source of offshore wind turbines on the basis of spectral kurtosis optimization and systematic empirical mode decomposition. In the two methods, the structures that were involved were simplified as beams, and the identification of the distributed dynamic loads was converted into the nodal load identification. Perotin and Granger [30] decomposed the time history of the complex distributed random dynamic load in the generalized orthogonal domain and solved the load cross-power spectral density (PSD). Law et al. [31] simulated the fluctuating wind speed process as an ergodic multivariable random process, and they solved the identification equation in the state space by using regularization. In these two approaches, the load randomness was represented by using the PSD, which, however, was not that intuitive in practical application.
Via a search of the literature, it was found that the relevant studies on the identification of distributed dynamic loads were far less numerous than those on concentrated dynamic loads, let alone those on the distributed random dynamic loads. In general, three main essential difficulties with regard to the identification of the distributed random dynamic load can be summarized from the mentioned drawbacks of the existing methods: (1) The time and space parameters of the load interact, and their contributions to the structural response are also combined; (2) The use of limited measured responses to reverse infinite load parameters is an underdetermined problem itself; and (3) In practical engineering, the sample size of the distributed random dynamic load is very limited, and it is therefore difficult to establish an accurate probability model. In view of the abovementioned problems, an equivalent identification method of the distributed random dynamic load based on K–L series expansion and sparse representation is proposed in this paper, which can effectively deal with: (1) The establishment of the space–time model of the load; (2) The improvement in the ill-posedness in the inversion process; and (3) The characterization and identification of the load randomness. The rest of this paper is organized as follows: In Section 2, the identification problem is briefly illustrated. The main procedures of the method, including the load modeling, the problem transformation, the load median function identification, and the random characteristics recognition are detailed in Section 3; Section 4 performs a numerical example in order to show the identification process of the method and to validate its effectiveness; and in Section 5, some concluding remarks are made.

2. Problem Statement

The distributed random dynamic load is very common in engineering practice. Under its excitation, the structure inevitably vibrates, which leads to a decline in its performance, or to the deterioration of the working environment, and which may even cause structural fatigue and terrible economic accidents. Therefore, it is necessary to comprehensively take the information of the exciting distributed random dynamic load into account in the stages of structural design, verification, and optimization. However, this kind of load is more complex than the concentrated dynamic load and the moving load. It involves both spatial and temporal variables, and it usually exhibits randomness. To realize the effective identification of distributed random dynamic loads, it is obvious that three main issues should be settled: the identification of the load spatial distribution, the recovery of the load time history, and the uncovering of its random characteristics.
For the deterministic distributed dynamic load, considering that the spatial and temporal variables are independent, it can be modeled as a product of the spatial distribution function ( ψ ( x ) ) and the time history function s ( t ) . The former reflects the continuous distribution of the load in the action area, while the latter describes its real-time alterations in the time domain. x and t, here, stand for the spatial variable and the temporal variable, respectively. However, as for the distributed random dynamic load, it can no longer be depicted by using a unique and deterministic function because of the existence of randomness. It is well known that it is much more meaningful, for a random variable, to acquire its statistical characteristics than to obtain some samples. Considering that randomness exists in the load time history, its value at each moment can be viewed as a random variable, and thus it can be regarded as a random process. Enlighted by the deterministic load, the distributed random dynamic load is denoted as follows:
F ( x , t ) = ψ ( x ) S ( t )
where F ( x , t ) refers to the load; ψ ( x ) is still a deterministic function with respect to the space variable ( x ); and S ( t ) signifies the random time history of the load, which is a random process rather than a deterministic function with respect to the time variable (t).
By viewing Equation (1), it can be seen that in order to identify the distributed random dynamic load, it is in fact necessary to effectively identify its spatial distribution function ( ψ ( x ) ) and its random time history ( S ( t ) ). However, according to the load characteristics and engineering practice, the identification faces the following specific problems: (1) How to establish a random model for the load considering that the responses are quite limited; (2) How to separate the identification of the load spatial distribution and the time history as the two dimensional variables that usually interact; and (3) How to build the forward model to recognize the statistical characteristics of the load.

3. Distributed Random Dynamic Load Identification

By focusing on the aforementioned engineering and scientific issues, this section will elaborate, in detail, the interval process modeling of the load, the transformation of the identification problem on the basis of K–L series expansion, the identification of the load median function by using sparse representation, and the reverse analysis of the load random characteristics via spectral decomposition.

3.1. Interval Process Modeling of the Load Time History

Although the probability model is the most accurate to describe random variables and random processes, it requires a large number of samples to achieve probability statistics. However, in engineering practice, the cost of obtaining these samples is extremely high, or it cannot be realized at all. Undoubtably, this dilemma limits the applicability and development of the methods that are based on probability models. In view of this, a nonprobabilistic interval process model [32,33] that uses an interval rather than an exact probability distribution is introduced to describe the load time history at each time point. Hence, in the entire time domain, the uncertainty of the load time history is restrained by two boundary curves. Apparently, this model reduces the dependence on the sample size and is suitable for the modeling and analysis of time-varying uncertainty with a lack of information. By using the superscripts I, L, and U to represent the interval, the lower bound, and the upper bound, respectively, it has:
S ( t ) S I ( t ) = [ S L ( t ) , S U ( t ) ]
The median function ( S m ( t ) ) and the radius function ( S r ( t ) ) of the interval process of the load time history are respectively defined as Equations (3) and (4), which reflect the the general fluctuation range of the S ( t ) . To reveal the correlation of the values between any two moments, the covariance ( C o v S S ( t h , t k ) ) and the correlation coefficient ( ρ S S ( t h , t k ) ) are defined as Equations (5) and (6), as below [34]:
S m ( t ) = S U ( t ) + S L ( t ) 2
S r ( t ) = S U ( t ) S L ( t ) 2
C o v S S ( t h , t k ) = C o v ( S ( t h ) , S ( t k ) )
ρ S S ( t h , t k ) = C o v S S ( t h , t k ) S r ( t h ) S r ( t k )
where t h and t k denote two different time points, and they have C o v S S ( t k , t k ) = ( S r ( t k ) ) 2 . As shown in Figure 1, by using the interval process, the random load time history can be approximately described by the upper and lower boundaries, the median function, and the radius function.

3.2. K–L Series Expansion of the Load

Although the interval process model describes the random load time history, the establishment of the forward models to reverse its boundaries, medians, and correlation characteristics still remains a difficult problem. K–L (Karhunen–Loève) series expansion [35] is one of the most important techniques for random analysis. It provides a unique way to recast the interval process of the load time history as the series expansions of the fundamental functions that depend on the process itself.
According to the spectral decomposition principle, the continuous and non-negative correlation coefficient function ( ρ ( t , t ) ) can be expanded into the following series form:
ρ ( t , t ) = n = 1 λ n φ n ( t ) φ n ( t )
where λ n is the eigenvalue of the ρ ( t , t ) , and φ n ( t ) is the corresponding eigenvector, which satisfies the orthogonality. By substituting Equation (7) into Equation (6), it has:
C o v S S ( t , t ) = ρ S S ( t , t ) S r ( t ) S r ( t ) = n = 1 λ n φ n ( t ) φ n ( t ) S r ( t ) S r ( t )
In this case, the interval process ( S ( t ) ) can be expanded as [34]:
S ( t ) = S m ( t ) + n = 1 λ n φ n ( t ) S r ( t ) ζ n
where ζ n ζ I = [ 1 , 1 ] denotes the orthogonal standard interval variable. Through K–L series expansion, the time history of the load is expressed as a linear combination of an infinite number of basic functions whose coefficients are independent interval variables, which thereby transforms the uncertainty of the time-continuous parameters into an infinite number of independent interval variables. In general, only a few interval variables are required to reflect the random characteristics of interval processes to a large extent.
By substituting Equation (9) into Equation (1), the distributed random dynamic load is recast as:
F ( x , t ) = ψ ( x ) S m ( t ) + ψ ( x ) n = 1 λ n φ n ( t ) S r ( t ) ζ n = F m ( x , t ) + F Δ ( x , t )
where F m ( x , t ) represents the deterministic median function of the distributed random dynamic load; and F Δ ( x , t ) denotes its random part. Considering that the structure is linear and time-invariant, its response can accordingly be regarded as the sum of the median value ( μ m ( t ) ), which is caused by the F m ( x , t ) and the uncertainty part ( μ Δ ( t ) ), which is caused by the F Δ ( x , t ) . Therefore, the kinetic equation of a structure that is subjected to a distributed random dynamic load can be expressed as:
{ M μ ¨ m ( t ) + C μ ˙ m ( t ) + K μ m ( t ) = F m ( x , t ) (11a) M μ ¨ Δ ( t ) + C μ ˙ Δ ( t ) + K μ Δ ( t ) = F Δ ( x , t ) (11b)
According to Equation (11), the problem of distributed random dynamic load identification is further transformed into: (1) The identification of the load median ( F m ( x , t ) ) on the basis of the median function ( μ m ( t ) ) of the structural response; and (2) The identification of the random load characteristic ( F Δ ( x , t ) ), with the random characteristics of the μ Δ ( t ) .

3.3. Sparse Representation of the Load Median Function

From Equation (11a), it can be seen that the identification of the median function of a distributed random dynamic load is actually a deterministic inverse problem. However, it involves a large number of unknown parameters in the dimensions of both space and time, and the number of measured responses that can be obtained in practical engineering is very limited. Therefore, this paper first performs modal coordinate transformation in order to make full use of the modal parameters of the structure and to improve the ill-posedness of the load identification.
Through modal transformation (i.e., let μ m ( t ) = Φ q , and multiply Φ T on the left and right sides of Equation (11a) simultaneously), a series of single-DOF equations are obtained as follows:
{ m ( 1 ) q ¨ ( 1 ) ( t ) + c ( 1 ) q ˙ ( 1 ) ( t ) + k ( 1 ) q ( 1 ) ( t ) = p ( 1 ) ( t ) m ( 2 ) q ¨ ( 2 ) ( t ) + c ( 2 ) q ˙ ( 2 ) ( t ) + k ( 2 ) q ( 2 ) ( t ) = p ( 2 ) ( t ) m ( N ) q ¨ ( N ) ( t ) + c ( N ) q ˙ ( N ) ( t ) + k ( N ) q ( N ) ( t ) = p ( N ) ( t )
where Φ and q ( t ) , respectively, denote the structural mode-shape matrix and the modal-displacement response; the superscript T represents the transpose operation; m ( i ) , c ( i ) , and k ( i ) represent the ith-order of the modal mass, the modal damping, and the modal stiffness, respectively; p ( i ) ( t ) marks the ith-order of the modal load; and N is the number of DOFs of the structure. According to the modal transformation, the modal loads have the following form:
p ( t ) = Φ T F m ( x , t ) = { [ Φ ( 1 ) ( x ) ] T [ Φ ( 2 ) ( x ) ] T [ Φ ( N ) ( x ) ] T } ψ ( x ) S m ( t ) = [ β ( 1 ) β ( 2 ) β ( N ) ] S m ( t ) = [ p ( 1 ) ( t ) p ( 2 ) ( t ) p ( N ) ( t ) ]
where Φ ( i ) ( x ) is the ith-order of the mode-shape vector of the structure; and β ( i ) denotes a magnitude coefficient, which is the inner product of Φ ( i ) ( x ) and ψ ( x ) . It is observed that the difference between the modal load ( p ( i ) ( t ) ) and the median function of the load time history ( S m ( t ) ) is only the magnitude coefficient ( β ( i ) ). This actually means that the modal loads have the same form as the median function of the load time history. In other words, a certain order of the modal load can be used as the median function of the load time history to be identified, while its amplitude can be compensated for by the spatial distribution function. Therefore, it has:
F m ( x , t ) = ψ ( x ) β ( j ) p ( j ) ( t ) = ψ ^ ( x ) p ( j ) ( t )
Correspondingly, the identification of F m ( x , t ) is converted to the identification of the modal load ( p ( j ) ( t ) ) and the equivalent distribution function ( ψ ^ ( x ) ).

3.3.1. Reconstruction of the Median Function of Load Time History

On the basis of Equation (12), each mode of the structure can be regarded as a single-DOF system, and its corresponding Green’s function ( g ( i ) ( t ) ) can be obtained analytically as:
g ( i ) ( t ) = 1 m ( i ) ω d ( i ) e ξ ( i ) ω n ( i ) t sin ω d ( i ) t
where ξ ( i ) , ω d ( i ) , and ω n ( i ) represent the modal damping ratio and the damped and undamped natural frequencies of the structure, respectively. Then, according to the Green’s kernel function method [1,36], the modal response can be expressed as the convolution form of the Green’s kernel function, and the modal load as:
q ( i ) ( t ) = 0 t p ( i ) ( τ ) g ( i ) ( t τ ) d τ
where the modal response can be calculated by inverse modal transformation: q ( t ) = Φ μ m ( t ) . It is worth mentioning that, in the inverse modal transformation, the modal truncation usually needs to be considered according to the modal contribution, and attention should be paid to the selection of the measuring points so as to reduce the ill condition of the mode-shape matrix.
By discretizing Equation (16) with an equal time interval in the time domain, the matrix equation for the modal load identification can be organized and obtained as follows:
q ( i ) = G ( i ) p ( i )
where q ( i ) and p ( i ) are the column vectors of the ith-order of the modal response and the modal load, respectively; and G ( i ) represents the corresponding Green’s kernel matrix, which is a lower triangular matrix. However, as the modal response that is calculated by the inverse modal transformation inevitably contains errors, and the Green’s kernel matrix is usually ill conditioned, the direct inversion of Equation (17) will suffer strong ill-posedness, which leads to a situation where the inversed modal load is neither stable nor accurate. In order to overcome this problem, regularization is introduced. By introducing a filter function to suppress the amplification of the error that is caused by the ill-conditioned system, the stable approximate solution can be obtained as:
p ˜ ( i ) = V Diag ( W α ( σ r 2 ) / σ r ) U T q ˜ ( i ) = r = 1 Q ( u r T q ˜ ( i ) ) v r W α ( σ r 2 ) / σ r
where W α ( σ r 2 ) represents the filter function with the regularization parameter ( α ); U and V are the left and right singular matrices of the G ( i ) , respectively; and σ r is the non-negative singular value, which decays quickly to zero. At present, regularization algorithms have been developed and applied widely. For more details, one can consult [12,13,14]. In this paper, the well-known Tikhonov regularization is adopted.
By repeating the above operations, the truncated modal loads are stably reconstructed. However, inevitably, there are still errors in the identified modal loads, and the noise levels are not the same. Therefore, it is necessary to select the one with the largest signal-to-noise ratio as the equivalent time history median function of the distributed dynamic load, so as to reduce the influence of the errors of the modal load identification on the final result. For this purpose, the following strategy (Equation (19)) is adopted:
p ˜ ( j ) ( t ) = arg max { 0 t | p ˜ ( i ) ( τ ) | d τ ,   i = 1 , 2 , , H }

3.3.2. Sparse Representation of the Load Spatial Distribution Function

According to Equation (13), it has:
β ( i ) = [ Φ ( i ) ( x ) ] T ψ ( x )
Clearly, the information of the load spatial distribution function ( ψ ( x ) ) is contained in the coefficient, β ( i ) . By discretizing Equation (20) in the spatial domain, it becomes:
[ β ( 1 ) β ( 2 ) β ( H ) ] = [ Φ ( 1 ) ( x 1 ) Φ ( 1 ) ( x 2 ) Φ ( 1 ) ( x N ) Φ ( 2 ) ( x 1 ) Φ ( 2 ) ( x 2 ) Φ ( 2 ) ( x N ) Φ ( H ) ( x 1 ) Φ ( H ) ( x 2 ) Φ ( H ) ( x N ) ] [ ψ ( x 1 ) ψ ( x 2 ) ψ ( x N ) ]
where H represents the number of modal truncations; N is the number of the structural finite element nodes in the loading area; and x i signifies the position of the i-th node. It can be observed from Equation (21) that the load spatial distribution function ( ψ ( x ) ) is directly related to the weight coefficient vector ( β ). The β ( i ) is the inner product of the structural mode-shape vector ( Φ ( i ) ( x ) ) and the load spatial distribution vector ( ψ ( x ) ). Nevertheless, in order to accurately describe the shape of the structure and the spatial distribution of the load, the number (N) of nodes of the structure in the loading area is usually much larger than the number (H) of mode truncations. This means that Equation (21) is actually underdetermined, and that the load spatial distribution function will have multiple solutions. In practical engineering, multiple solutions are of little significance for solving specific problems. In view of this, the additional constraint of sparsity is appended, under which the sparsest solution of the spatial distribution function is to be resolved.
Via Equation (19), the p ( j ) ( t ) is selected as the equivalent, S m ( t ) . Correspondingly, the spatial distribution function turns out to be: ψ ^ ( x ) = ψ ( x ) / β ( j ) . By denoting the weight coefficient that is formed by ψ ^ ( x ) and Φ ( i ) ( x ) as ς ( i ) , ς ( i ) = β ( i ) / β ( j ) , the reconstructed modal load can be recast as:
[ p ˜ ( 1 ) ( t ) p ˜ ( 2 ) ( t ) p ˜ ( H ) ( t ) ] [ ς ( 1 ) ς ( 2 ) ς ( H ) ] p ˜ ( j ) ( t )
where ς ( j ) = 1 , and ς ( i ) can be obtained by minimizing Equation (23):
ς ( i ) = arg min p ˜ ( j ) ( t k ) ς ( i ) p ˜ ( i ) ( t k ) 2 , ( k = 1 , 2 Q )
By substituting the calculated ς into Equation (21), its redundant expression of Φ - ( i ) ( x n ) can be organized as follows:
[ ς ( 1 ) ς ( 2 ) ς ( H ) ] = [ Φ ( 1 ) ( x 1 ) Φ ( 2 ) ( x 1 ) Φ ( H ) ( x 1 ) ] ψ ^ ( x 1 ) + [ Φ ( 1 ) ( x 2 ) Φ ( 2 ) ( x 2 ) Φ ( H ) ( x 2 ) ] ψ ^ ( x 2 ) + + [ Φ ( 1 ) ( x N ) Φ ( 2 ) ( x N ) Φ ( H ) ( x N ) ] ψ ^ ( x N )
With regard to the weight coefficient vector ( ς ) as the original signal to be decomposed, the truncated mode-shape matrix ( Φ - ) stands for an overcomplete atom library, with the mode-shape vector ( Φ - ( i ) ( x n ) ) under each node representing an atom, and the spatial distribution function ( ψ ^ ) is equivalent to the vector of the coefficients to be sparsely solved for. The goal of sparse representation is to obtain the sparsest solution from the various possible ones, which is expressed in matrix form as follows:
arg   min ψ ^ 0   s . t .   ς Φ - ψ ^ 2 2 ε
At present, sparse representation has been widely studied in the field of signal processing. Common algorithms include matching pursuit (MP) [37], orthogonal matching pursuit (OMP) [38,39], basis pursuit (BP) [40], sparse Bayesian learning (SBL) [41], etc. Owing to the convenience of the operation and efficiency of convergence, the OMP algorithm is adopted in this paper. In each iteration, the atom with the largest absolute value of the inner product with the signal residual is picked out from the atomic library and Gram–Schmidt orthogonalization is performed, and then the signal is projected to the space that is composed of the orthogonalized atoms in order to obtain the updated signal residual. Iterate in this way until the signal residual decays below the set threshold.
Through sparse representation, most of the values of the obtained spatial distribution turn out to be zero, and there are only a limited number of non-zero elements. By substituting the sparse solution of Equation (25) into Equation (14), the original continuous distributed dynamic load is characterized as a few concentrated dynamic loads, and the positions of these non-zero elements correspond to the action positions of the equivalent concentrated loads.

3.4. Equivalent Identification of Random Load Characteristics

By adopting the interval process model, the random characteristics of the distributed random dynamic load can be approximately characterized by its radius function and its correlation coefficient function. The radius function reflects the fluctuation range of the load, and the correlation coefficients reveal the correlation of the load values at different time points. As the covariance matrix of the load contains the information of both (see Equation (5)), the identification of the random characteristics of the excitation load is thus converted into the identification of its covariance matrix, and then to acquire its radius function and the correlation coefficient function.
In the previous sections, through modal load reconstruction and sparse representation, the median function of the distributed random dynamic load is sparsely identified as several concentrated dynamic loads that act on appropriate positions of the structure. On this foundation, the identification of the covariance matrix of the distributed random dynamic load is translated into the identification of the covariance matrix of the concentrated dynamic loads. For convenience of expression, the identified concentrated dynamic loads are denoted as: F z m ( t ) , z = 1 , 2 , , Z ; Z here marks the number of concentrated loads.
A random concentrated dynamic load ( F z ( t ) ) by K–L series expansion can be expressed as:
F z ( t ) = F z m ( t ) + n = 1 λ z n φ z n ( t ) F z r ( t ) ζ z n = F z m ( t ) + F z Δ ( t )
where F z m ( t ) and F z r ( t ) , respectively, represent the median function and the radius function of the F z ( t ) ; λ z n and φ z n ( t ) mark the nth eigenvalue and the eigenvector of the correlation coefficient function ( ρ F z F z ( t , t ) ); and ζ z n is the standard interval variable. For linear structures, the random part of the response is essentially a linear mapping of the random part of the load. When the input load is in the form of an infinite series of standard interval variables, theoretically the response should also be in the same form. By denoting the structural response caused by λ z n φ z n ( t ) F z r ( t ) as κ z n ( t ) , according to the Green’s kernel function method, it has:
κ z n ( t ) = 0 t λ z n φ z n ( t ) F z r ( t ) g z ( t τ ) d τ
μ Δ ( t ) = z = 1 Z n = 1 κ z n ( t ) ζ z n
where g z ( t ) is the corresponding Green’s kernel function, and μ Δ ( t ) represents the random part of the response. On the basis of Equations (27) and (28), the self-covariance function of the displacement response can be expressed as:
C μ μ ( t , t ) = cov ( z = 1 Z n = 1 κ z n ( t ) ζ z n , z = 1 Z n = 1 κ z n ( t ) ζ z n ) = [ κ 11 ( t )   κ 12 ( t )     κ 1 ( t )   κ 21 ( t )     κ 2 ( t )       κ Z ( t ) ] [ cov ( ζ 11 , ζ 11 ) cov ( ζ 11 , ζ 12 ) cov ( ζ 11 , ζ 1 ) cov ( ζ 11 , ζ 21 ) cov ( ζ 11 , ζ 2 ) cov ( ζ 11 , ζ Z ) cov ( ζ 21 , ζ 11 ) cov ( ζ 21 , ζ 12 ) cov ( ζ 21 , ζ 1 ) cov ( ζ 21 , ζ 21 ) cov ( ζ 21 , ζ 2 ) cov ( ζ 21 , ζ Z ) cov ( ζ 1 , ζ 11 ) cov ( ζ 1 , ζ 12 ) cov ( ζ 1 , ζ 1 ) cov ( ζ 1 , ζ 21 ) cov ( ζ 1 , ζ 2 ) cov ( ζ 1 , ζ Z ) cov ( ζ 12 , ζ 11 ) cov ( ζ 12 , ζ 12 ) cov ( ζ 12 , ζ 1 ) cov ( ζ 12 , ζ 21 ) cov ( ζ 12 , ζ 2 ) cov ( ζ 12 , ζ Z ) cov ( ζ 2 , ζ 11 ) cov ( ζ 2 , ζ 12 ) cov ( ζ 2 , ζ 1 ) cov ( ζ 2 , ζ 21 ) cov ( ζ 2 , ζ 2 ) cov ( ζ 2 , ζ Z ) cov ( ζ Z , ζ 11 ) cov ( Z , ζ 12 ) cov ( ζ Z , ζ 1 ) cov ( ζ Z , ζ 21 ) cov ( ζ Z , ζ 2 ) cov ( ζ Z , ζ Z ) ] [ κ 11 ( t )   κ 12 ( t )     κ 1 ( t )   κ 21 ( t )     κ 2 ( t )       κ Z ( t ) ] T
Since ζ n ,   n = 1 , 2 , are the independent standard interval variables, it has:
c o v ( ζ m , ζ n ) = { 1 ,   m = n 0 ,   m n
Therefore, Equation (29) can be reorganized as:
C μ μ ( t , t ) = z = 1 Z ( n = 1 κ z n ( t ) ) ( n = 1 κ z n ( t ) ) = z = 1 Z ( n = 1 0 t g z ( t τ ) λ z n φ z n ( t ) F z r ( t ) d τ ) ( n = 1 0 t g z ( t τ ) λ z n φ z n ( t ) F z r ( t ) d τ ) = 0 t 0 t z = 1 Z ( n = 1 g z ( t τ ) λ z n φ z n ( t ) F z r ( t ) ) ( n = 1 g z ( t τ ) λ z n φ z n ( t ) F z r ( t ) ) d τ d τ
According to Equation (8), it has:
C F z F z ( t , t ) = n = 1 λ z n ( t ) φ z n ( t ) φ z n ( t ) F z r ( t ) F z r ( t )
Substituting Equation (32) into Equation (31), the following form is obtained:
n = 1 ( z = 1 Z g z ( t τ ) λ z n φ z n ( t ) F z r ( t ) ) ( z = 1 Z g z ( t τ ) λ z n φ z n ( t ) F z r ( t ) ) = [ g 1 ( t τ ) g 2 ( t τ ) g Z ( t τ ) ] T [ C F 1 F 1 ( τ , τ ) C F 1 F 2 ( τ , τ ) C F 1 F Z ( τ , τ ) C F 2 F 1 ( τ , τ ) C F 2 F 2 ( τ , τ ) C F 2 F Z ( τ , τ ) C F Z F 1 ( τ , τ ) C F Z F 2 ( τ , τ ) C F Z F Z ( τ , τ ) ] [ g 1 ( t τ ) g 2 ( t τ ) g Z ( t τ ) ]
which denotes:
g = [ g 1 ( t τ )   g 2 ( t τ )     g Z ( t τ ) ] T
g = [ g 1 ( t τ )   g 2 ( t τ )     g Z ( t τ ) ] T
where the self-covariance function of the displacement response in Equation (31) can be rewritten as:
C μ μ ( t , t ) = 0 t 0 t G T C F F G d τ d τ
By discretizing Equation (35) in the time domain, the following matrix equation is obtained:
C μ μ = G C F F G T
For the displacement responses ( μ i Δ ( t ) and μ j Δ ( t ) ) at different positions, similarly, the cross-covariance matrix can be expressed as:
C μ i   μ j   = G i C F F G j T
where G i represents the Green’s matrix from the load to the ith measuring point. When Z responses are taken, the forward model for identifying the whole covariance matrix of the Z interval dynamic loads is obtained as follows:
[ C μ 1 μ 1 C μ 1 μ 2 C μ 1 μ Z C μ 2 μ 1 C μ 2 μ 2 C μ 2 μ Z C μ Z μ 1 C μ Z μ 2 C μ Z μ Z ] = [ G 11 G 12 G 1 Z G 21 G 22 G 2 Z G Z 1 G Z 2 G Z Z ] [ C F 1 F 1 C F 1 F 2 C F 1 F Z C F 2 F 1 C F 2 F 2 C F 2 F Z C F Z F 1 C F Z F 2 C F Z F Z ] [ G 11 G 12 G 1 Z G 21 G 22 G 2 Z G Z 1 G Z 2 G Z Z ] T
For simplicity, Equation (37) is also abbreviated as C μ μ = G C F F G T , without the loss of generality.
By performing spectral decomposition for the covariance matrices of the responses and the loads, respectively, it yields:
C μ μ = n λ n μ φ n μ ( φ n μ ) T = n γ n γ n T
C F F = n λ n F n φ n F ( φ n F ) T = n χ n χ n T
where γ n = λ n μ φ n μ , χ n = λ n F φ n F , λ n μ , φ n μ , λ n F , and φ n F , respectively, represent the eigenvalues and the eigenvectors of C μ μ and C F F . By substituting Equation (38) into Equation (36), we obtain:
γ n = G χ n
To reconstruct the covariance matrix of the loads, obviously it is practical to identify its eigenvectors ( χ n ) priorly. By observing Equation (39), it is found that it has the same form as the forward model of the modal load identification. Therefore, regularization is used to suppress the influence of noise on the reverse results, so as to obtain stable solutions. Then, by substituting the stably identified χ n into Equation (38b), the covariance matrix ( C F F ) can be assembled. Finally, the correlation coefficient function and the radius function of the loads can be simply calculated according to Equation (5).

4. Numerical Example

In order to verify the effectiveness of the proposed method and to show its relevant details, a rectangular plate finite element model, as shown in Figure 2, is established. The length, width, and thickness of the model are 0.6, 0.3, and 0.003 m, respectively. The density of the material is 2.8 × 10 3   kg / m 3 , the elastic modulus is 7.0 × 1010 Pa, and the Poisson’s ratio is 0.3. The damping is set as proportional, and the coefficients that are related to the mass matrix and the stiffness matrix are 0 and 9.0 × 104, respectively. As shown in Figure 2, the left edge of the plate is fully fixed, and the time and space independent distributed random dynamic load acts vertically on the plate’s front edge. Its spatial distribution function has the form of ψ ( x ) = 100 e 2 x , 0.003   m x 0.6   m . The median function and the interval radius of its time history are assumed as S m ( t ) = sin ( 60 π t ) , 0 < t 0.1   s and 0.3, respectively. The self-correlation coefficient function is ρ s s ( t , t ) = e 30 | t t | , and the sampling time interval is 0.001 s.
In this paper, by sampling the time history of the load, as shown in Figure 3, samples of the distributed random dynamic loads are obtained, and then these sample loads are applied to the plate structure, one by one, to calculate the corresponding response samples. The sampling of the load time histories is achieved by means of K–L series expansion. Because the time history can be expressed as a series superposition form that contains only standard interval variables as Equation (9), via truncation and the sampling of the standard interval variables ( ζ n ), the time history samples can be achieved. Moreover, in order to simulate the real measurement environment, a certain level of noise is mixed into the calculated response, according to Equation (40). Finally, the median function and the covariance matrix of the 200 response samples under sample loads are approximately calculated:
μ ˜ ( t ) = μ ( t ) + L e r r std ( μ ( t ) ) rand ( 1 , 1 )
where μ ˜ ( t ) refers to the measured displacement response; std ( μ ( t ) ) is the standard deviation of the calculated response ( μ ( t ) ); L e r r controls the noise level, which is set as 2% in this paper; and rand ( 1 , 1 ) yields random numbers between −1 and 1.
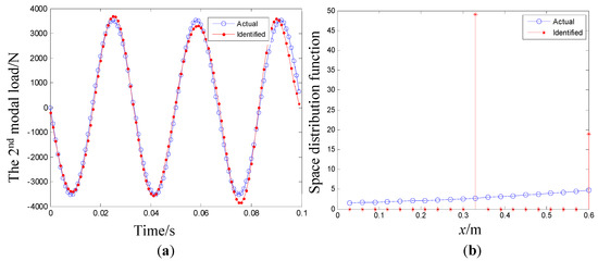
In the following, the equivalent load median functions are first identified on the basis of the response median functions. Via modal analysis, it is determined that the modal truncation number is 4. In order to reverse the first four orders of the modal responses in the case of a positive definite, four measuring points, as shown by the black dots in Figure 2, are selected. The median functions of these measured displacement responses are calculated and are shown in Figure 4. By implementing inverse modal transformation, the first four orders of the modal displacement responses are calculated, which are shown in Figure 5. It is not difficult to find that the third order and the fourth order of the modal responses are already very weak, which demonstrates that the modal truncation is effective. Under each mode, the modal load is stably identified on the basis of the Green’s kernel function method and regularization. By calculating the signal-to-noise ratio (SNR) of the identified modal load, the identified second order of the modal load ( p ˜ ( 2 ) ( t ) ) is selected as the equivalent median function of the time history of the distributed random dynamic load, as is shown in Figure 6a. It can be observed that the identified modal load is high, which is consistent with the actual one. According to Equation (23), the weight coefficient vector ( ς ) is calculated. Then, by performing the OMP algorithm with the threshold set as 0.005, the sparsest solution of the load spatial distribution function is obtained, as is shown in Figure 6b. It can be seen that the original continuous spatial distribution function is sparsely represented as two non-zero values at the positions of 0.33 m and 0.6 m. By applying the two identified concentrated dynamic loads to the corresponding positions of the structure to generate structural responses, as is shown in Figure 7, the three randomly selected structural responses by the two equivalent loads are quite consistent with the ones that were aroused by the original distributed load, which demonstrates the rationality of the equivalent sparse identification of the load median function.
Next, the covariance matrix of the sparsely identified concentrated dynamic loads is inversely calculated on the basis of the response covariance matrix. Considering that the distributed random dynamic load is equivalent to two concentrated random dynamic loads, the responses of Point 1 and Point 2, as shown in Figure 2, are selected. In Figure 8, 200 response samples of the two points are shown, and their upper and lower boundaries are marked by asterisks. In Figure 9, the covariance matrix that was approximately calculated on the basis of the 200 response samples is shown.
The covariance matrix of the responses is spectral decomposed and is expressed as the superposition of the products of its eigenvectors and transposes. Then, on the basis of γ n = G χ n , and by performing regularization, the eigenvectors ( χ n ) of the load covariance matrix are identified. In general, if the covariance matrix is Q × Q-dimensional, through spectral decomposition, there will be Q eigenvectors. By rearranging these eigenvectors according to their eigenvalues from large to small, it is not difficult to find that, as the eigenvalues become smaller, the frequency of the eigenvectors quickly increases, and the contribution of γ n γ n T to the whole response covariance matrix ( C μ μ ) will become smaller and smaller, or will even tend to zero. In addition, the high-frequency eigenvectors are often more likely to be drowned out by noise, as they themselves are quite weak and are difficult to accurately identify. Therefore, this paper truncates the eigenvectors of the response covariance matrix. By setting the truncation error no higher than 1%, the first 15 eigenvectors are intercepted to approximate the original covariance matrix. When all of the truncated eigenvectors of the load covariance matrix are identified, they are substituted into Equation (38b), and the matrix ( C F F ) is formed, as is shown in Figure 10. Because of the existence of noise and the unavoidable ill-posedness in the inverse process, there is a certain level of error in the identified load covariance matrix. By squaring the diagonal elements of the identified load covariance matrix, the radius functions for two random dynamic loads are obtained, which are shown by the blue and red solid lines in Figure 11. Although the fluctuations of the two curves are relatively significant, it is not difficult to see that there is a certain trend. By fitting them with basic functions, the two are smoothed, as is shown by the dotted line in Figure 11. Clearly, the trends of the two fitted curves are very close. Here, it is worth noting that the identified load radius function is not consistent with the set radius function. This is mainly because the identification of the distributed random loads is of multiple solutions, while this paper obtains its sparsest one. On the basis of the identified load median functions and the smoothed radius function, the interval process model of the equivalent random dynamic loads is obtained, which is shown in Figure 12.
According to Equation (5), the self-correlation coefficient functions of the loads are calculated by using the smoothed radius functions. Generally, when the self-correlation coefficient function of the excitation load is only related to the time intervals, the one with the response of a linear time-invariant structure is also a function of the time interval, in theory. Considering that there is a certain error in the identified load covariance matrix, the covariance of the same time interval in the matrix is not exactly the same. In this paper, all of the correlation coefficient values with the same time interval are averaged by performing Equation (41), and the approximation of the equivalent load self-correlation coefficient functions are obtained, which are shown in Figure 13 by the red and blue dotted lines. In this example, because the spatial dimension and the time dimension of the distributed random dynamic load are assumed to be independent of each other, the self-correlation coefficient functions of the two random concentrated dynamic loads that are identified equivalently should be consistent with the one of the original distributed load. By comparing the self-correlation coefficient function (blue solid line) of the original load time history with the ones of the identified equivalent loads, it is found that the three curves are quite similar. In order to verify the effectiveness of the identified correlation coefficient functions, a new load covariance matrix is calculated according to Equation (6) on the basis of the correlation functions in Figure 13 and the radius functions in Figure 11, and the covariance matrix of the same two measuring points is calculated through the forward model of Equation (36a), as is shown in Figure 14. By comparing Figure 14 with Figure 9, it is found that they are quite consistent. The overall relative error between them is only 8.34%, which shows the effectiveness of the identification results.
ρ F i F j ( | t t | ) = 1 K k = 0 K ( cov ( F i ( t + k Δ t ) , F j ( t + k Δ t ) ) F i r ( t + k Δ t ) F j r ( t + k Δ t ) ) , K = Q | t t | Δ t

5. Conclusions

The effective identification of distributed random dynamic loads is not only an urgent need in practical engineering, but it is also full of difficulties and challenges. On the basis of sparse representation and K–L decomposition, this paper presents an effective and equivalent identification method that solves the load modeling, time history, and spatial distribution identification and the random characteristic recognition. By considering that the traditional probability method needs to be based on a large number of samples, the interval process model is introduced. For the equivalent identification of the median function of the distributed random dynamic load, modal coordinate transformation is carried out, the Green’s kernel function method and regularization are implemented, and the OMP algorithm is performed. For the random characteristics recognition, the identification model of the load covariance matrix is derived, and it is solved by spectral decomposition and regularization. However, although this method integrates many technologies from different fields and realizes the identification of complex distributed random dynamic loads, some small limitations still exist. For example, it is assumed that the load time and space are independent of each other, that the load acts along a straight line, and that the random process is correlation ergodic. In the future, the time-and-space-coupled load and a complicated load-acting region, such as a cylindrical surface, will be considered and researched, and the phenomena that appear in each stage will be further investigated and understood.

Author Contributions

K.L., methodology, data collection, funding acquisition, writing-review and editing; Y.Z., literature search, investigation; Z.F., formal analysis, investigation, resources; C.T., figures, formal analysis; X.M., literature search, data curation; C.L., writing-original draft preparation. All authors have read and agreed to the published version of the manuscript.

Funding

This work is supported by the National Natural Science Foundation of China (1190 2050), the Natural Science Foundation of Hunan Province (2020JJ5613, 2021JJ40626), the Changsha Outstanding Innovative Youth Training Program (kq2107021), and the Education Department of Hunan Province (20B068).

Institutional Review Board Statement

Not applicable.

Informed Consent Statement

Not applicable.

Data Availability Statement

Detailed data are contained within the article.

Conflicts of Interest

The authors declare no conflict of interest.

References

  1. Liu, J.; Li, K. Sparse identification of time-space coupled distributed dynamic load. Mech. Syst. Signal Process. 2021, 148, 107177. [Google Scholar] [CrossRef]
  2. Jiang, J.; Ding, M.; Li, J. A novel time-domain dynamic load identification numerical algorithm for continuous systems. Mech. Syst. Signal Process. 2021, 160, 107881. [Google Scholar] [CrossRef]
  3. Kroworz, A.; Katunin, A. Non-destructive testing of structures using optical and other methods: A review. Struct. Durab. Health Monit. 2018, 12, 1–17. [Google Scholar]
  4. Jia, Y.; Yang, Z.; Liu, E.; Fan, Y.; Yang, X. Prediction of random dynamic loads using second-order blind source identification algorithm. Proc. Inst. Mech. Eng. Part C J. Mech. Eng. Sci. 2020, 234, 1720–1732. [Google Scholar] [CrossRef]
  5. Sanchez, J.; Benaroya, H. Review of force reconstruction techniques. J. Sound Vib. 2014, 333, 2999–3018. [Google Scholar] [CrossRef]
  6. Wu, S.Q.; Law, S.S. Moving force identification based on stochastic finite element model. Eng. Struct. 2010, 32, 1016–1027. [Google Scholar] [CrossRef]
  7. Nakamura, T.; Igawa, H.; Kanda, A. Inverse identification of continuously distributed loads using strain data. Aerosp. Sci. Technol. 2012, 23, 75–84. [Google Scholar] [CrossRef]
  8. Meteyer, E.; Foucart, F.; Secail-Geraud, M.; Picart, P.; Pezerat, C. Full-field force identification with high-speed digital holography. Mech. Syst. Signal Process. 2021, 164, 108215. [Google Scholar] [CrossRef]
  9. Esposito, M.; Gherlone, M.; Marzocca, P. External loads identification and shape sensing on an aluminum wing box: An integrated approach. Aerosp. Sci. Technol. 2021, 114, 106743. [Google Scholar] [CrossRef]
  10. He, W.-Y.; Wang, Y.; Ren, W.-X. Dynamic force identification based on composite trigonometric wavelet shape function. Mech. Syst. Signal Process. 2020, 141, 106493. [Google Scholar] [CrossRef]
  11. Qiao, B.; Chen, X.; Xue, X.; Luo, X.; Liu, R. The application of cubic B-spline collocation method in impact force identification. Mech. Syst. Signal Process. 2015, 64–65, 413–427. [Google Scholar] [CrossRef]
  12. Wang, L.; Peng, Y.; Xie, Y.; Chen, B.; Du, Y. A new iteration regularization method for dynamic load identification of stochastic structures. Mech. Syst. Signal Process. 2021, 156, 107586. [Google Scholar] [CrossRef]
  13. Qiao, B.; Mao, Z.; Liu, J.; Zhao, Z.; Chen, X. Group sparse regularization for impact force identification in time domain. J. Sound Vib. 2019, 445, 44–63. [Google Scholar] [CrossRef]
  14. Liu, J.; Meng, X.; Jiang, C.; Han, X.; Zhang, D. Time-domain Galerkin method for dynamic load identification. Int. J. Numer. Methods Eng. 2015, 105, 620–640. [Google Scholar] [CrossRef]
  15. Cumbo, R.; Tamarozzi, T.; Janssens, K.; Desmet, W. Kalman-based load identification and full-field estimation analysis on industrial test case. Mech. Syst. Signal Process. 2019, 117, 771–785. [Google Scholar] [CrossRef]
  16. Lourens, E.-M.; Reynders, E.; De Roeck, G.; Degrande, G.; Lombaert, G. An augmented Kalman filter for force identification in structural dynamics. Mech. Syst. Signal Process. 2012, 27, 446–460. [Google Scholar] [CrossRef]
  17. Law, S.; Fang, Y. Moving force identification: Optimal state estimation approach. J. Sound Vib. 2001, 239, 233–254. [Google Scholar] [CrossRef]
  18. Chen, Z.; Chan, T.H.; Nguyen, A. Moving force identification based on modified preconditioned conjugate gradient method. J. Sound Vib. 2018, 423, 100–117. [Google Scholar] [CrossRef]
  19. Zhang, Z.-H.; He, W.-Y.; Ren, W.-X. Moving force identification based on learning dictionary with double sparsity. Mech. Syst. Signal Process. 2022, 170, 108811. [Google Scholar] [CrossRef]
  20. Pan, C.-D.; Yu, L.; Liu, H.-L.; Chen, Z.-P.; Luo, W.-F. Moving force identification based on redundant concatenated dictionary and weighted l1-norm regularization. Mech. Syst. Signal Process. 2018, 98, 32–49. [Google Scholar] [CrossRef]
  21. Zhu, J.; Lu, Z. A time domain method for identifying dynamic lo ads on continuous systems. J. Sound Vib. 1991, 148, 137–146. [Google Scholar] [CrossRef]
  22. Pézerat, C.; Guyader, J.L. Force analysis technique: Reconstruction of force distribution on plates. Acta Acust. United Acust. 2000, 86, 322–332. [Google Scholar]
  23. Liu, G.; Ma, W.; Han, X. An inverse procedure for identification of loads on composite laminates. Compos. Part B Eng. 2002, 33, 425–432. [Google Scholar] [CrossRef]
  24. Liu, Y.; Shepard, W.S., Jr. An improved method for the reconstruction of a distributed force acting on a vibrating structure. J. Sound Vib. 2006, 291, 369–387. [Google Scholar] [CrossRef]
  25. Qin, Y.T.; Deng, J.H. Research of identification technology of dynamic load distributed on the structure. J. Vib. Eng. 2006, 19, 81–85. [Google Scholar]
  26. Hwang, J.-S.; Kareem, A.; Kim, H. Wind load identification using wind tunnel test data by inverse analysis. J. Wind Eng. Ind. Aerodyn. 2011, 99, 18–26. [Google Scholar] [CrossRef]
  27. Amiri, A.K.; Bucher, C. A procedure for in situ wind load reconstruction from structural response only based on field testing data. J. Wind Eng. Ind. Aerodyn. 2017, 167, 75–86. [Google Scholar] [CrossRef]
  28. Petersen, Ø.W.; Øiseth, O.; Lourens, E. Full-scale identification of the wave forces exerted on a floating bridge using inverse methods and directional wave spectrum estimation. Mech. Syst. Signal Process. 2019, 120, 708–726. [Google Scholar] [CrossRef]
  29. Dong, X.; Lian, J.; Wang, H. Vibration source identification of offshore wind turbine structure based on optimized spectral kurtosis and ensemble empirical mode decomposition. Ocean Eng. 2019, 172, 199–212. [Google Scholar] [CrossRef]
  30. Granger, S.; Perotin, L. An inverse method for the identification of a distributed random excitation acting on a vibrating structure part 1: Theory. Mech. Syst. Signal Process. 1999, 13, 53–65. [Google Scholar] [CrossRef]
  31. Law, S.; Bu, J.; Zhu, X. Time-varying wind load identification from structural responses. Eng. Struct. 2005, 27, 1586–1598. [Google Scholar] [CrossRef]
  32. Jiang, C.; Han, X.; Lu, G.; Liu, J.; Zhang, Z.; Bai, Y. Correlation analysis of non-probabilistic convex model and corresponding structural reliability technique. Comput. Methods Appl. Mech. Eng. 2011, 200, 2528–2546. [Google Scholar] [CrossRef]
  33. Jiang, C.; Ni, B.; Liu, N.; Han, X.; Liu, J. Interval process model and non-random vibration analysis. J. Sound Vib. 2016, 373, 104–131. [Google Scholar] [CrossRef] [Green Version]
  34. Jiang, C.; Ni, B.; Han, X.; Tao, Y. Non-probabilistic convex model process: A new method of time-variant uncertainty analysis and its application to structural dynamic reliability problems. Comput. Methods Appl. Mech. Eng. 2014, 268, 656–676. [Google Scholar] [CrossRef]
  35. Phoon, K.; Huang, S.; Quek, S.T. Simulation of second-order processes using Karhunen–Loeve expansion. Comput. Struct. 2002, 80, 1049–1060. [Google Scholar] [CrossRef]
  36. Li, K.; Liu, J.; Han, X.; Sun, X.; Jiang, C. A novel approach for distributed dynamic load reconstruction by space–time domain decoupling. J. Sound Vib. 2015, 348, 137–148. [Google Scholar] [CrossRef]
  37. Mallat, S.; Zhang, Z. Matching pursuits with time-frequency dictionaries. IEEE Trans. Signal Process. 1993, 41, 3397–3415. [Google Scholar] [CrossRef] [Green Version]
  38. Lin, J.; Li, S. Nonuniform support recovery from noisy random measurements by Orthogonal Matching Pursuit. J. Approx. Theory 2013, 165, 20–40. [Google Scholar] [CrossRef] [Green Version]
  39. Zhao, J.X.; Song, R.F.; Zhao, J. New conditions for uniformly recovering sparse signals via orthogonal matching pursuit. Signal Process. 2015, 106, 106–113. [Google Scholar] [CrossRef]
  40. Donoho, D.L.; Elad, M. On the stability of the basis pursuit in the presence of noise. Signal Process. 2006, 86, 511–532. [Google Scholar] [CrossRef]
  41. Babacan, S.D.; Molina, R.; Katsaggelos, A.K. Bayesian Compressive Sensing Using Laplace Priors. IEEE Trans. Image Process. 2010, 19, 53–63. [Google Scholar] [CrossRef] [PubMed]
Figure 1. The interval process model of load time history.
Figure 1. The interval process model of load time history.
Machines 10 00311 g001
Figure 2. Plate structure subjected to distributed random dynamic load.
Figure 2. Plate structure subjected to distributed random dynamic load.
Machines 10 00311 g002
Figure 3. Samplings of the load time history (Red asterisk line: upper boundary; Green asterisk line: lower boundary; Blue solid lines: Samples).
Figure 3. Samplings of the load time history (Red asterisk line: upper boundary; Green asterisk line: lower boundary; Blue solid lines: Samples).
Machines 10 00311 g003
Figure 4. Median functions of the measured physical responses.
Figure 4. Median functions of the measured physical responses.
Machines 10 00311 g004
Figure 5. Reversed median functions of the modal responses.
Figure 5. Reversed median functions of the modal responses.
Machines 10 00311 g005
Figure 6. Equivalent sparse identification of the load median function. (a) Load time history. (b) Load spatial distribution.
Figure 6. Equivalent sparse identification of the load median function. (a) Load time history. (b) Load spatial distribution.
Machines 10 00311 g006
Figure 7. Validity verification of the identified load median function by response comparison.
Figure 7. Validity verification of the identified load median function by response comparison.
Machines 10 00311 g007
Figure 8. Samples and boundaries of the measured physical responses on Points 1 and 2. (a) Point 1. (b) Point 2.
Figure 8. Samples and boundaries of the measured physical responses on Points 1 and 2. (a) Point 1. (b) Point 2.
Machines 10 00311 g008
Figure 9. Covariance matrix of the measured responses.
Figure 9. Covariance matrix of the measured responses.
Machines 10 00311 g009
Figure 10. The identified covariance matrix of the loads.
Figure 10. The identified covariance matrix of the loads.
Machines 10 00311 g010
Figure 11. The identified radius functions of the random dynamic loads.
Figure 11. The identified radius functions of the random dynamic loads.
Machines 10 00311 g011
Figure 12. Interval process models of the identified random dynamic loads.
Figure 12. Interval process models of the identified random dynamic loads.
Machines 10 00311 g012
Figure 13. The self-correlation coefficient functions of the loads.
Figure 13. The self-correlation coefficient functions of the loads.
Machines 10 00311 g013
Figure 14. The equivalently calculated response covariance matrix.
Figure 14. The equivalently calculated response covariance matrix.
Machines 10 00311 g014
Publisher’s Note: MDPI stays neutral with regard to jurisdictional claims in published maps and institutional affiliations.

Share and Cite

MDPI and ACS Style

Li, K.; Zhao, Y.; Fu, Z.; Tan, C.; Man, X.; Liu, C. Equivalent Identification of Distributed Random Dynamic Load by Using K–L Decomposition and Sparse Representation. Machines 2022, 10, 311. https://doi.org/10.3390/machines10050311

AMA Style

Li K, Zhao Y, Fu Z, Tan C, Man X, Liu C. Equivalent Identification of Distributed Random Dynamic Load by Using K–L Decomposition and Sparse Representation. Machines. 2022; 10(5):311. https://doi.org/10.3390/machines10050311

Chicago/Turabian Style

Li, Kun, Yue Zhao, Zhuo Fu, Chenghao Tan, Xianfeng Man, and Chi Liu. 2022. "Equivalent Identification of Distributed Random Dynamic Load by Using K–L Decomposition and Sparse Representation" Machines 10, no. 5: 311. https://doi.org/10.3390/machines10050311

APA Style

Li, K., Zhao, Y., Fu, Z., Tan, C., Man, X., & Liu, C. (2022). Equivalent Identification of Distributed Random Dynamic Load by Using K–L Decomposition and Sparse Representation. Machines, 10(5), 311. https://doi.org/10.3390/machines10050311

Note that from the first issue of 2016, this journal uses article numbers instead of page numbers. See further details here.

Article Metrics

Back to TopTop