Surface Pretreatment with Luteolin to Achieve the Effective Flotation Separation of Sphalerite from Pyrite in a CuSO4-Xanthate System
Abstract
1. Introduction
2. Materials and Methods
2.1. Materials
2.2. Micro-Flotation Tests
2.3. Wettability Detection
2.4. Adsorption Experiments
2.5. Microcalorimetry Measurement
3. Results
3.1. Floatability Studies
3.2. Adsorption Difference Studies
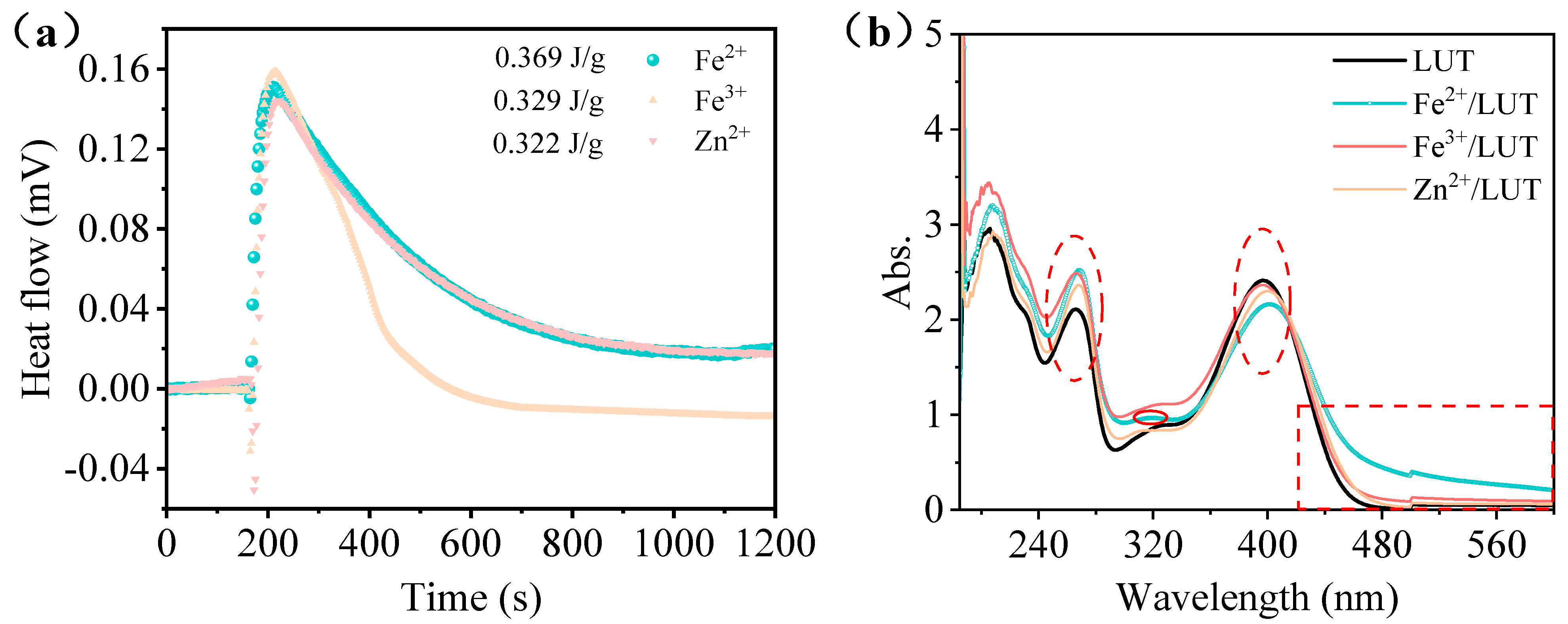
3.3. Adsorption Characteristics Studies
4. Discussion and Conclusions
Author Contributions
Funding
Data Availability Statement
Conflicts of Interest
References
- Hosseini, S.H.; Forssberg, E. Smithsonite flotation using mixed anionic/cationic collector. Miner. Process. Extr. Metall. Trans. Inst. Min. Metall. 2009, 118, 186–190. [Google Scholar] [CrossRef]
- Wei, Q.; Dong, L.; Jiao, F.; Qin, W.; Pan, Z.; Cui, Y. The synergistic depression of lime and sodium humate on the flotation separation of sphalerite from pyrite. Miner. Eng. 2021, 163, 106779. [Google Scholar] [CrossRef]
- Mu, Y.; Peng, Y.; Lauten, R.A. The depression of pyrite in selective flotation by different reagent systems—A Literature review. Miner. Eng. 2016, 96–97, 143–156. [Google Scholar] [CrossRef]
- Neisiani, A.A.; Saneie, R.; Mohammadzadeh, A.; Wonyen, D.G.; Chelgani, S.C. Polysaccharides-based pyrite depressants for green flotation separation: An overview. Int. J. Min. Sci. Technol. 2023, 33, 1229–1241. [Google Scholar] [CrossRef]
- Han, G.; Wen, S.; Wang, H.; Feng, Q. Effect of starch on surface properties of pyrite and chalcopyrite and its response to flotation separation at low alkalinity. Miner. Eng. 2019, 143, 106015. [Google Scholar] [CrossRef]
- Ahmadi, M.; Gharabaghi, M.; Abdollahi, H. Effects of type and dosages of organic depressants on pyrite floatability in microflotation system. Adv. Powder Technol. 2018, 29, 3155–3162. [Google Scholar] [CrossRef]
- Sun, X.; Huang, L.; Wu, D.; Tong, X.; Yang, S.; Hu, B. The selective depression effect of dextrin on pyrite during the Zn–Fe sulfides flotation under low alkaline conditions. Colloids Surf. A Physicochem. Eng. Asp. 2022, 650, 129573. [Google Scholar] [CrossRef]
- Chen, J.; Li, Y.; Chen, Y. Cu–S flotation separation via the combination of sodium humate and lime in a low pH medium. Miner. Eng. 2011, 24, 58–63. [Google Scholar] [CrossRef]
- Lü, C.; Wang, Y.; Qian, P.; Liu, Y.; Fu, G.; Ding, J.; Ye, S.; Chen, Y. Separation of chalcopyrite and pyrite from a copper tailing by ammonium humate. Chin. J. Chem. Eng. 2018, 26, 1814–1821. [Google Scholar] [CrossRef]
- Mu, Y.; Peng, Y.; Lauten, R.A. The mechanism of pyrite depression at acidic pH by lignosulfonate-based biopolymers with different molecular compositions. Miner. Eng. 2016, 92, 37–46. [Google Scholar] [CrossRef]
- Han, G.; Wen, S.; Wang, H.; Feng, Q.F.C. Lactic acid as selective depressant for flotation separation of chalcopyrite from pyrite and its depression mechanism. J. Mol. Liq. 2019, 296, 111774. [Google Scholar] [CrossRef]
- Han, G.; Wen, S.; Wang, H.; Feng, Q. Interaction mechanism of tannic acid with pyrite surfaces and its response to flotation separation of chalcopyrite from pyrite in a low-alkaline medium. J. Mater. Res. Technol. 2020, 9, 4421–4430. [Google Scholar] [CrossRef]
- Han, G.; Wen, S.; Wang, H.; Feng, Q.; Bai, X. Pyrogallic acid as depressant for flotation separation of pyrite from chalcopyrite under low-alkalinity conditions. Sep. Purif. Technol. 2021, 267, 118670. [Google Scholar] [CrossRef]
- Wang, X.; Zhu, Y.; Han, Y. Adsorption and depression mechanism of an eco-friendly depressant PCA onto chalcopyrite and pyrite for the efficiency flotation separation. Colloids Surf. A Physicochem. Eng. Asp. 2021, 620, 126574. [Google Scholar] [CrossRef]
- Wang, C.; Liu, R.; Sun, W.; Jing, N.; Xie, F.; He, Q.Z.D. Selective depressive effect of pectin on sphalerite flotation and its mechanisms of adsorption onto galena and sphalerite surfaces. Miner. Eng. 2021, 170, 106989. [Google Scholar] [CrossRef]
- Khoso, S.A.; Hu, Y.; Liu, R.; Tian, M.; Sun, W.; Gao, Y.; Han, H.; Gao, Z. Selective depression of pyrite with a novel functionally modified biopolymer in a Cu–Fe flotation system. Miner. Eng. 2019, 135, 55–63. [Google Scholar] [CrossRef]
- Dong, L.; Cui, Y.; Qiao, L.; Lan, S.; Zheng, Q.; Shen, P.; Liu, D. A critical review on the flotation of calcium-containing minerals. Sep. Purif. Technol. 2025, 360, 131082. [Google Scholar] [CrossRef]
- Lan, S.; Dong, L.; Shen, P.; Su, H.; Shen, Z.; Liu, D. Efficient resource utilization of gypsum in the flotation separation of apatite from calcite. Miner. Eng. 2025, 222, 109165. [Google Scholar] [CrossRef]
- Lan, S.; Shen, P.; Zheng, Q.; Qiao, L.; And, L.D.; Liu, D. Effective flotation separation of apatite from dolomite using a new eco-friendly depressant gallic acid. Green Chem. 2024, 26, 1627–1636. [Google Scholar] [CrossRef]
- Li, D.; Gong, B.; Liu, Y.; Dang, Z. Self-healing coatings based on PropS-SH and pH-responsive HNT-BTA nanoparticles for inhibition of pyrite oxidation to control acid mine drainage. Chem. Eng. J. 2021, 415, 128993. [Google Scholar] [CrossRef]
- Zheng, K.; Li, H.; Xu, L.; Li, S.; Wang, L.; Wen, X.; Liu, Q. The influence of humic acids on the weathering of pyrite: Electrochemical mechanism and environmental implications. Environ. Pollut. 2019, 251, 738–745. [Google Scholar] [CrossRef] [PubMed]
- Zhang, Y.; Cao, Z.; Cao, Y.; Sun, C. FTIR studies of xanthate adsorption on chalcopyrite, pentlandite and pyrite surfaces. J. Mol. Struct. 2013, 1048, 434–440. [Google Scholar] [CrossRef]
- Liu, Z.; Yang, H.; Chen, G.; Deng, J.; Zhang, X.; Lai, H.; Luo, H.; Cai, J.; Tong, L. Synthesis of Hydroxylated Xanthate Salt and Its Use as Novel Selective Depressant in Copper-Molybdenum Separation. Russ. J. Non-Ferr. Met. 2018, 59, 223–229. [Google Scholar] [CrossRef]
- Huang, W.; Liu, R.; Jiang, F.; Tang, H.; Wang, L.; Sun, W. Adsorption mechanism of 3-mercaptopropionic acid as a chalcopyrite depressant in chalcopyrite and galena separation flotation. Colloids Surf. A Phys. Eng. Asp 2022, 641, 128063. [Google Scholar] [CrossRef]
- Yuan, J.; Ding, Z.; Li, J.; Yu, A.; Wen, S.; Bai, S. An innovative method to degrade xanthate from flotation tailings wastewater in acid mine drainage (AMD) system: Performance, degradation mechanism and pathways. J. Environ. Manag. 2024, 349, 119395. [Google Scholar] [CrossRef] [PubMed]
- Xiong, Y. Synthesis, Structural Characterization and Activity of Four Luteolin Metal Complexes Based on Coordination Chemistry Theory of Traditional Chinese Medicine. Master’s Thesis, Jiangxi Normal University of Science and Technology, Nanchang, China, 2018. [Google Scholar]
- Zheng, Q.; Zhou, Y.; Qiao, L.; Shen, P.; Mao, Y.; Dong, L.; Liu, D. Selective adsorption of soluble starch on the cassiterite surface for effective flotation separation of scheelite from cassiterite. Surf. Interfaces 2024, 48, 104238. [Google Scholar] [CrossRef]
- Wang, Q.; Zhao, L.; Zhao, H.; Liu, X.; Gao, L.; Cheng, N.; Cao, W. Complexation of luteolin with lead (II): Spectroscopy characterization and theoretical researches. J. Inorg. Biochem. 2019, 193, 25–30. [Google Scholar] [CrossRef] [PubMed]
- Kaghazchi, L.; Naderi, R.; Ramezanzadeh, B. Construction of a high-performance anti-corrosion film based on the green tannic acid molecules and zinc cations on steel: Electrochemical/Surface investigations. Constr. Build. Mater. 2020, 262, 120861. [Google Scholar] [CrossRef]
- Kaghazchi, L.; Naderi, R.; Ramezanzadeh, B. Synergistic mild steel corrosion mitigation in sodium chloride-containing solution utilizing various mixtures of phytic acid molecules and Zn2+ ions. J. Mol. Liq. 2020, 323, 114589. [Google Scholar] [CrossRef]
- Li, D.; Liu, C.; Liu, Y.; Chen, X.; Wu, W.; Li, F.; Tian, J.; Dang, Z. Tannic acid as an eco-friendly natural passivator for the inhibition of pyrite oxidation to prevent acid mine drainage at the source. Appl. Surf. Sci. 2022, 591, 153172. [Google Scholar] [CrossRef]
- Yuan, J.; Li, Y.; Ding, Z.; Yu, A.; Zhang, Y.; Wen, S.; Bai, S. Influence and mechanism of new environmentally friendly depressant carboxymethyl-β-cyclodextrin on the flotation separation of chalcopyrite and pyrite. Colloids Surf. A Physicochem. Eng. Asp. 2024, 699, 134576. [Google Scholar] [CrossRef]
- Biesinger, M.C.; Payne, B.P.; Grosvenor, A.P.; Lau, L.W.; Gerson, A.R.; Smart, R.S. Resolving surface chemical states in XPS analysis of first row transition metals, oxides and hydroxides: Cr, Mn, Fe, Co and Ni. Appl. Surf. Sci. 2010, 257, 2717–2730. [Google Scholar] [CrossRef]
- Mira, L.; Fernandez, M.T.; Santos, M.; Rocha, R.; Florêncio, M.H.; Jennings, K.R. Interactions of flavonoids with iron and copper ions: A mechanism for their antioxidant activity. Free Radic. Res. 2002, 36, 1199–1208. [Google Scholar] [CrossRef]
- Muñoz, V.A.; Ferrari, G.V.; Sancho, M.I.; Montaña, M.P. Spectroscopic and Thermodynamic Study of Chrysin and Quercetin Complexes with Cu(II). J. Chem. Eng. Data 2016, 61, 987–995. [Google Scholar] [CrossRef]
- Guo, M.; Perez, C.A.; Wei, Y.; Rapoza, E.; Su, G.M.; Bou-Abdallah, F.; Chasteen, N.D. Iron-binding properties of plant phenolics and cranberry’s bio-effects. Dalton Trans. 2007, 4951–4961. [Google Scholar] [CrossRef] [PubMed]
- Xu, Y.; Yang, J.; Lu, Y.; Qian, L.L.; Yang, Z.Y.; Han, R.M.; Zhang, J.P.; Skibsted, L.H. Copper(II) Coordination and Translocation in Luteolin and Effect on Radical Scavenging. J. Phys. Chem. B 2020, 124, 380–388. [Google Scholar] [CrossRef] [PubMed]
- Bijlsma, J.; de Bruijn, W.J.C.; Velikov, K.P.; Vincken, J.-P. Unravelling discolouration caused by iron-flavonoid interactions: Complexation, oxidation, and formation of networks. Food Chem. 2022, 370, 131292. [Google Scholar] [CrossRef]
- Malacaria, L.; Bijlsma, J.; Hilgers, R.; de Bruijn, W.J.C.; Vincken, J.-P.; Furia, E. Insights into the complexation and oxidation of quercetin and luteolin in aqueous solutions in presence of selected metal cations. J. Mol. Liq. 2023, 369, 120840. [Google Scholar] [CrossRef]
- Ren, J.; Meng, S.; Lekka, C.E.; Kaxiras, E. Complexation of Flavonoids with Iron: Structure and Optical Signatures. J. Phys. Chem. B 2008, 112, 1845–1850. [Google Scholar] [CrossRef]










| Samples | Mass Fraction (wt%) | ||||||
|---|---|---|---|---|---|---|---|
| Zn | Fe | S | Pb | Cu | SiO2 | CaO | |
| ZnS | 64.75 | 1.13 | 32.72 | 0.03 | 0.003 | 0.90 | 0.52 |
| FeS2 | 0.004 | 42.97 | 51.06 | 0.01 | 0.004 | 0.97 | 0.02 |
Disclaimer/Publisher’s Note: The statements, opinions and data contained in all publications are solely those of the individual author(s) and contributor(s) and not of MDPI and/or the editor(s). MDPI and/or the editor(s) disclaim responsibility for any injury to people or property resulting from any ideas, methods, instructions or products referred to in the content. |
© 2025 by the authors. Licensee MDPI, Basel, Switzerland. This article is an open access article distributed under the terms and conditions of the Creative Commons Attribution (CC BY) license (https://creativecommons.org/licenses/by/4.0/).
Share and Cite
Chen, J.; Zhao, L.; He, H.; Cai, J.; Dong, L.; Liu, D. Surface Pretreatment with Luteolin to Achieve the Effective Flotation Separation of Sphalerite from Pyrite in a CuSO4-Xanthate System. Minerals 2025, 15, 162. https://doi.org/10.3390/min15020162
Chen J, Zhao L, He H, Cai J, Dong L, Liu D. Surface Pretreatment with Luteolin to Achieve the Effective Flotation Separation of Sphalerite from Pyrite in a CuSO4-Xanthate System. Minerals. 2025; 15(2):162. https://doi.org/10.3390/min15020162
Chicago/Turabian StyleChen, Jiaxiu, Lv Zhao, Haiyang He, Jinpeng Cai, Liuyang Dong, and Dianwen Liu. 2025. "Surface Pretreatment with Luteolin to Achieve the Effective Flotation Separation of Sphalerite from Pyrite in a CuSO4-Xanthate System" Minerals 15, no. 2: 162. https://doi.org/10.3390/min15020162
APA StyleChen, J., Zhao, L., He, H., Cai, J., Dong, L., & Liu, D. (2025). Surface Pretreatment with Luteolin to Achieve the Effective Flotation Separation of Sphalerite from Pyrite in a CuSO4-Xanthate System. Minerals, 15(2), 162. https://doi.org/10.3390/min15020162
