Nanofluids Characterization for Spray Cooling Applications
Abstract
1. Introduction
2. Experimental Methodology
2.1. Experimental Set-Up
2.2. Preparation and Characterization of the Nanofluids
Stability of the Nanofluids
2.3. Measurement Techniques
2.3.1. Phase Droplet Anemometry Measurements
2.3.2. Time Resolved Thermography: Heat Transfer Analysis upon Spray Impact on the Heated Surface
2.3.3. Uncertainty Analysis
3. Results and Discussion on Nanoparticles Addition
3.1. Effect of the Nanoparticles in the Nanofluids Thermophysical Properties
3.2. Effect of the Nanoparticles in Spray Dynamics
3.3. Heat Transfer Mechanisms on Spray Impingement
3.3.1. Water Spray
3.3.2. Effect of Adding the Surfactant CTAB
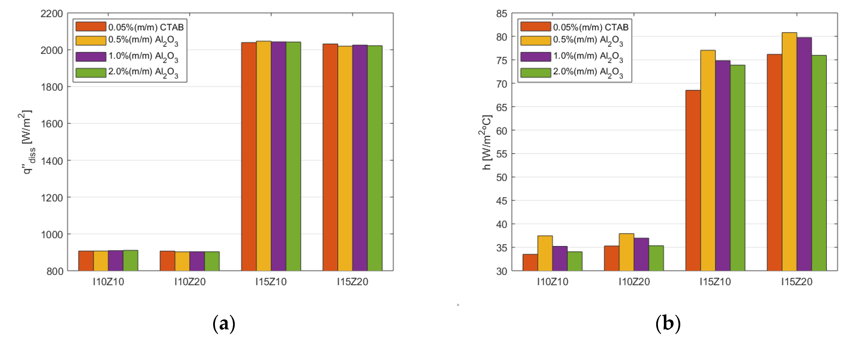
3.3.3. Effect of Nanoparticles Concentration (Alumina Nanofluids)
3.3.4. Effect of Nanoparticles Shape (Silver Nanofluids)
4. Conclusions
Author Contributions
Funding
Institutional Review Board Statement
Informed Consent Statement
Data Availability Statement
Acknowledgments
Conflicts of Interest
References
- Smakulski, P.; Pietrowicz, S. A review of the capabilities of high heat flux removal by porous materials, microchannels and spray cooling techniques. Appl. Therm. Eng. 2016, 112, 636–646. [Google Scholar] [CrossRef]
- Liu, N.; Yu, Z.; Zhu, T.; Yin, X.; Zhang, H. Effects of microstructured surface and mixed surfactants on the heat transfer performance of pulsed spray cooling. Int. J. Therm. Sci. 2020, 158, 106530. [Google Scholar] [CrossRef]
- Estellé, P.; Cabaleiro, D.; Żyła, G.; Lugo, L.; Murshed, S.M.S. Current trends in surface tension and wetting behavior of nanofluids. Renew. Sustain. Energy Rev. 2018, 94, 931–944. [Google Scholar] [CrossRef]
- Choi, S.U.S.; Eastman, J.A. Enhancing Thermal Conductivity of Fluids with Nano- Particles; ASME: New York, NY, USA, 1995. [Google Scholar]
- Krishnakumar, T.S.; Sheeba, A.; Mahesh, V.; Prakash, M.J. Heat transfer studies on ethylene glycol/water nanofluid containing TiO2 nanoparticles. Int. J. Refrig. 2019, 102, 55–61. [Google Scholar] [CrossRef]
- Mo, S.; Chen, Y.; Jia, L.; Luo, X. Investigation on crystallization of TiO2–water nanofluids and deionized water. Appl. Energy 2012, 93, 65–70. [Google Scholar] [CrossRef]
- Mehralia, M.; Ghatkesar, M.K.; Pecnik, R. Full-spectrum volumetric solar thermal conversion via graphene/silver T hybrid plasmonic nanofluids. Appl. Energy 2018, 224, 103–115. [Google Scholar] [CrossRef]
- Alashkar, A.; Gadalla, M. Thermo-economic analysis of an integrated solar power generation system using nanofluids. Appl. Energy 2017, 191, 469–491. [Google Scholar] [CrossRef]
- Potenza, M.; Milanese, M.; Colangelo, G.; De Risi, A. Experimental investigation of transparent parabolic trough collector based on gas-phase nanofluid. Appl. Energy 2017, 203, 560–570. [Google Scholar] [CrossRef]
- Saxena, V.; Kumar, N.; Saxena, K.V. Multi-objective optimization of modified nanofluid fuel blends at different T TiO2 nanoparticle concentration in diesel engine: Experimental assessment and modeling. Appl. Energy 2019, 248, 330–353. [Google Scholar] [CrossRef]
- Kulkarni, D.P.; Das, D.K.; Vajjha, R.V. Application of nanofluids in heating buildings and reducing pollution. Appl. Energy 2009, 86, 2566–2573. [Google Scholar] [CrossRef]
- Bansal, A.; Pyrtle, F. Alumina nanofluid for spray cooling enhancement. In Proceedings of the ASME/JSME 2007 Thermal Engineering Heat Transfer Summer Conference, Vancouver, BC, Canada, 8–12 July 2007; ASME: New York, NY, USA, 2007; Volume 1, pp. 797–803. [Google Scholar]
- Wang, X.M.; Xu, X.F. Thermal conductivity of nanoparticle–fluid mixture. J. Thermophys. Heat Transf. 1999, 13, 474–480. [Google Scholar] [CrossRef]
- Nasiri, A.; Shariaty-Niasar, M.; Rashidi, A.; Amrollahi, A.; Khodafarin, R. Effect of dispersion method on thermal conductivity and stability of nanofluid. Exp. Therm. Fluid Sci. 2011, 35, 717–723. [Google Scholar] [CrossRef]
- Mahbubul, I.M.; Elcioglu, E.B.; Saidur, R.; Amalina, M.A. Optimization of ultrasonication period for better dispersion and stability of TiO2–water nanofluid. Ultrason. Sonochem. 2017, 37, 360–367. [Google Scholar] [CrossRef]
- Mansour, R.B.; Galanis, N.; Nguyen, C.T. Effect of uncertainties in physical properties on forced convection heat transfer with nanofluids. Appl. Therm. Eng. 2007, 27, 240–249. [Google Scholar] [CrossRef]
- Lyu, Z.; Asadi, A.; Alarifi, I.M.; Ali, V.; Foong, L.K. Thermal and fluid Dynamics performance of MWcnt-Water Nanofluid Based on Thermophysical Properties: An Experimental and theoretical Study. Sci. Rep. 2020, 10, 5185. [Google Scholar] [CrossRef]
- Nimdeo, Y.M.; Srivastava, A. Understanding the temperature dependence of thermo-physical properties of nanofluid suspensions using non-intrusive dynamic measurements. Exp. Therm. Fluid Sci. 2018, 94, 109–121. [Google Scholar] [CrossRef]
- Dodge, L.; Rhodes, D.J.; Reitz, R. Drop-size measurement techniques for sprays: Comparison of Malvern laser-difraction and aerometrics phase/Doppler. Appl. Opt. 1987, 26, 2144–2154. [Google Scholar] [CrossRef] [PubMed]
- Stapleton, K.W.; Finlay, W.H.; Zuberbuhler, P. An in vitro method for determining regional dosage delivered by jet nebulizers. J. Aerosol Med. 1994, 7, 325–344. [Google Scholar] [CrossRef]
- Taylor, P.; Dudek, R.; Flaherty, D.; Kaempfe, T. Technical note: Evaluation of two instruments for the measurement of aerosols. J. Aerosol Sci. 1994, 25, 419–423. [Google Scholar] [CrossRef]
- Clifford, R.H.; Ishii, I.; Montaser, A.; Meyer, G.A. Dual-beam, light-scattering interferometry for simultaneous measurements of droplet-size and velocity distributions from commonly used nebulizers. Anal. Chem. 1990, 62, 390–394. [Google Scholar] [CrossRef]
- Corcoran, T.E.; Hitron, R.; Humphrey, W.; Chigier, N. Optical measurement of nebulizer sprays: A quantitative comparison of diffraction, phase doppler interferometry, and time of flight techniques. J. Aerosol Sci. 2000, 31, 35–50. [Google Scholar] [CrossRef]
- Hwang, J.; Bae, C.; Patel, C.; Agarwal, R.A.; Gupta, T.; Kumar Agarwal, A. Investigations on air-fuel mixing and flame characteristics of biodiesel fuels for diesel engine application. Appl. Energy 2017, 206, 1203–1213. [Google Scholar] [CrossRef]
- Kay, P.J.; Bowen, P.J.; Gold, M.R.; Sapsford, S.M. Transient fuel spray impingement at atmospheric and elevated ambient conditions. Exp. Fluids 2012, 53, 873–890. [Google Scholar] [CrossRef]
- Figueiredo, M.; Marseglia, G.; Moita, A.S.; Panão, M.R.O.; Ribeiro, A.P.C.; Medaglia, C.M.; Moreira, A.L.N. Thermofluid characterization of nanofluid spray cooling combining phase doppler interferometry with high-speed visualization and time-resolved IR thermography. Energies 2020, 13, 5864. [Google Scholar] [CrossRef]
- Sundar, L.S.; Sharma, K.V. Thermal conductivity enhancement of nanoparticles in distilled water. Int. J. Nanoparticles 2008, 1. [Google Scholar] [CrossRef]
- Qi, W.H.; Wang, M.P. Size and shape dependent lattice parameters of metallic nanoparticles. J. Nanopart. Res. 2005, 7, 51–57. [Google Scholar] [CrossRef]
- Machrafi, H. Universal relation between the density and the viscosity of dispersions of nanoparticles and stabilized emulsions. Nanoscale 2020, 12. [Google Scholar] [CrossRef]
- Pontes, P.; Cautela, R.; Teodori, E.; Moita, A.S.; Liu, Y.; Moreira, A.L.N.; Nikulin, A.; Del Barrio, E. Effect of pattern geometry on bubble dynamics and heat transfer on biphilic surfaces. Exp. Therm. Fluid Sci. 2020, 115, 110088. [Google Scholar] [CrossRef]
- Abu-Nada, E.; Oztop, H.F. Numerical analysis of Al2O3/water nanofluids natural convection in a wavy walled cavity. Numer. Heat Transfer Part A App. Int. J. Comput. Methodol. 2011, 59, 403–419. [Google Scholar] [CrossRef]
- Malý, M.; Moita, A.S.; Jedelsky, J.; Ribeiro, A.P.C.; Moreira, A.L.N. Effect of nanoparticles concentration on the characteristics of nanofluid sprays for cooling applications. J. Therm. Anal. Calorim. 2019, 135, 3375–3386. [Google Scholar] [CrossRef]
- Gupta, M.; Singh, V.; Kumar, R.; Said, Z. A review on thermophysical properties of nanofluids and heat transfer applications. Renew. Sustain. Energy Rev. 2017, 74, 638–670. [Google Scholar] [CrossRef]
- Sijs, R.; Kooij, S.; Bonn, D. How surfactants influence the drop size in sprays. arXiv 2019, arXiv:1907.09723v1. [Google Scholar]
- Panão, M.R.O. Redefining spray uniformity through an information theory approach. At. Sprays 2016, 26, 1069–1081. [Google Scholar] [CrossRef]
- Bai, Y.; Teodori, E.; Moita, A.S.; Pontes, P.; Moura, M.; Moreira, A.L.N.; Li, X.; Liu, Y. Application of bioinspired superhydrophobic surfaces in two-phase heat transfer experiments. J. Bionic Eng. 2017, 14, 506–519. [Google Scholar]
- Panão, M.R.O.; Moreira, A.L.N. A real-time assessment of measurement uncertainty in the experimental characterization of sprays. Meas. Sci. Technol. 2008, 19, 095402. [Google Scholar] [CrossRef]
- Labergue, A.; Gradeck, M.; Lemoine, F. Comparative study of the cooling of a hot temperature surface using sprays and liquid jets. Int. J. Heat Mass Transf. 2015, 81, 889–890. [Google Scholar] [CrossRef]













| Fluid Composition | ρl [kg/m3] | Cpl [kJ/(kg·K)] | kl [W/(m·K)] | sl [mN/m] | ηl [mPa·s] |
|---|---|---|---|---|---|
| Water | 998 | 4.22 | 0.6060 | 74.6 ± 2.2 | 1.009 |
| Water + 0.05%(m/m) CTAB | 999 | - | - | 35.9 ± 0.9 | 1.291 |
| Water + 0.05%(m/m) CTAB + 0.5%(m/m) Alumina | 1002 | 4.20 | 0.6082 | 39.0 ± 1.3 | 3.572 |
| Water + 0.05%(m/m) CTAB + 1%(m/m) Alumina | 1006 | 4.19 | 0.6104 | 40.2 ± 2.7 | 6.815 |
| Water + 0.05%(m/m) CTAB + 2%(m/m) Alumina | 1011 | 4.15 | 0.6149 | 40.2 ± 0.9 | 8.835 |
| Water + 0.05%(m/m) CTAB + 1%(m/m) Silver (Spherical) | 1023 | 4.12 | 0.6106 | 40.0 ± 0.4 | 13.175 |
| Water + 0.05%(m/m) CTAB + 1%(m/m) Silver (Triangular) | 1023 | 4.12 | 0.6096 | 43.1 ± 0.4 | 18.903 |
| Value | |
|---|---|
| Transmitting optics | |
| Laser power [mW] | 400 |
| Laser wavelengths [nm] | 514 and 488 |
| Beam spacing [mm] | 60 |
| Frequency shift [MHz] | 40 |
| Transmitter focal length [mm] | 310 |
| Receiving optics | |
| Scattering angle [°] | 69° |
| Receiver focal length [mm] | 500 |
Publisher’s Note: MDPI stays neutral with regard to jurisdictional claims in published maps and institutional affiliations. |
© 2021 by the authors. Licensee MDPI, Basel, Switzerland. This article is an open access article distributed under the terms and conditions of the Creative Commons Attribution (CC BY) license (https://creativecommons.org/licenses/by/4.0/).
Share and Cite
Sanches, M.; Marseglia, G.; Ribeiro, A.P.C.; Moreira, A.L.N.; Moita, A.S. Nanofluids Characterization for Spray Cooling Applications. Symmetry 2021, 13, 788. https://doi.org/10.3390/sym13050788
Sanches M, Marseglia G, Ribeiro APC, Moreira ALN, Moita AS. Nanofluids Characterization for Spray Cooling Applications. Symmetry. 2021; 13(5):788. https://doi.org/10.3390/sym13050788
Chicago/Turabian StyleSanches, Miguel, Guido Marseglia, Ana P. C. Ribeiro, António L. N. Moreira, and Ana S. Moita. 2021. "Nanofluids Characterization for Spray Cooling Applications" Symmetry 13, no. 5: 788. https://doi.org/10.3390/sym13050788
APA StyleSanches, M., Marseglia, G., Ribeiro, A. P. C., Moreira, A. L. N., & Moita, A. S. (2021). Nanofluids Characterization for Spray Cooling Applications. Symmetry, 13(5), 788. https://doi.org/10.3390/sym13050788

