Deep Learning Framework to Detect Ischemic Stroke Lesion in Brain MRI Slices of Flair/DW/T1 Modalities
Abstract
:1. Introduction
- i.
- Segmentation of ISL using VGG-SegNet;
- ii.
- Extraction of handcrafted features, such as Hu moments, gray-level co-occurrence matrix (GLCM), and local-binary-pattern (LBP);
- iii.
- Deep feature extraction with pretrained DL schemes;
- iv.
- Feature ranking and serial concatenation;
- v.
- Classification and validation.
2. Materials and Methods
2.1. DeepLearning Framework
2.2. Image Database
2.3. VGG-SegNet
2.4. Image Features
2.4.1. Deep Features
2.4.2. Handcrafted Features
2.4.3. Feature Concatenation
2.5. Classification
2.6. Computation of Quality Measures and Validation
3. Experimental Result and Discussions
4. Conclusions
Author Contributions
Funding
Institutional Review Board Statement
Informed Consent Statement
Data Availability Statement
Acknowledgments
Conflicts of Interest
References
- Fernandes, S.L.; Tanik, U.J.; Rajinikanth, V.; Karthik, K.A. A reliable framework for accurate brain image examination and treatment planning based on early diagnosis support for clinicians. Neural Comput. Appl. 2020, 32, 15897–15908. [Google Scholar] [CrossRef]
- Prabhu Das, I.; Baker, M.; Altice, C.; Castro, K.M.; Brandys, B.; Mitchell, S.A. Outcomes of multidisciplinary treatment planning in US cancer care settings. Cancer 2018, 124, 3656–3667. [Google Scholar] [CrossRef] [PubMed] [Green Version]
- Ambrosini, R.D.; Wang, P.; O’Dell, W.G. Computer-aided detection of metastatic brain tumors using automated three-dimensional template matching. J. Magn. Reson. Imaging 2010, 31, 85–93. [Google Scholar] [CrossRef] [PubMed] [Green Version]
- Johnson, W.; Onuma, O.; Owolabi, M.; Sachdev, S. Stroke: A global response is needed. Bull. World Health Organ. 2016, 94, 634. [Google Scholar] [CrossRef]
- Salucci, M.; Gelmini, A.; Vrba, J.; Merunka, I.; Oliveri, G.; Rocca, P. Instantaneous brain stroke classification and localization from real scattering data. Microw. Opt. Tech. Lett. 2019, 61, 805–808. [Google Scholar] [CrossRef]
- Amarenco, P.; Bogousslavsky, J.; Caplan, L.R.; Donnan, G.A.; Hennerici, M.G. Classification of stroke subtypes. Cerebrovasc. Dis. 2009, 27, 493–501. [Google Scholar] [CrossRef]
- Zhang, S.; Xu, S.; Tan, L.; Wang, H.; Meng, J. Stroke lesion detection and analysis in MRI images based on deep learning. J. Healthc. Eng. 2021, 2021. [Google Scholar] [CrossRef]
- Krishnan, P.T.; Balasubramanian, P.; Krishnan, C. Segmentation of brain regions by integrating meta heuristic multilevel threshold with Markov random field. Curr. Med. Imaging 2016, 12, 4–12. [Google Scholar] [CrossRef]
- Maier, O.; Wilms, M.; von der Gablentz, J.; Krämer, U.; Handels, H. Ischemic stroke lesion segmentation in multi-spectral MR images with support vector machine classifiers. In Medical Imaging 2014: Computer-Aided Diagnosis; International Society for Optics and Photonics: Bellingham, WA, USA, 2014; Volume 9035, p. 903504. [Google Scholar]
- Maier, O.; Schröder, C.; Forkert, N.D.; Martinetz, T.; Handels, H. Classifiers for ischemic stroke lesion segmentation: A comparison study. PLoS ONE 2015, 10, e0145118. [Google Scholar] [CrossRef] [Green Version]
- Maier, O.; Wilms, M.; von der Gablentz, J.; Krämer, U.M.; Münte, T.F.; Handels, H. Extra tree forests for sub-acute ischemic stroke lesion segmentation in MR sequences. J. Neurosci. Meth. 2015, 240, 89–100. [Google Scholar] [CrossRef]
- Maier, O.; Menze, B.H.; von der Gablentz, J.; Häni, L.; Heinrich, M.P.; Liebrand, M.; Reyes, M. ISLES 2015-A public evaluation benchmark for ischemic stroke lesion segmentation from multispectral MRI. Med. Image Anal. 2017, 35, 250–269. [Google Scholar] [CrossRef] [PubMed] [Green Version]
- Subbanna, N.K.; Rajashekar, D.; Cheng, B.; Thomalla, G.; Fiehler, J.; Arbel, T.; Forkert, N.D. Stroke lesion segmentation in Flair MRI datasets using customized Markov random fields. Front. Neuroanat. 2019, 10, 541. [Google Scholar] [CrossRef] [Green Version]
- Zhang, L.; Song, R.; Wang, Y.; Zhu, C.; Liu, J.; Yang, J.; Liu, L. Ischemic stroke lesion segmentation using multi-plane information fusion. IEEE Access 2020, 8, 45715–45725. [Google Scholar] [CrossRef]
- Singh, S.P.; Wang, L.; Gupta, S.; Goli, H.; Padmanabhan, P.; Gulyás, B. 3D deep learning on medical images: A review. Sensors 2020, 20, 5097. [Google Scholar] [CrossRef] [PubMed]
- Rajinikanth, V.; Satapathy, S.C. Segmentation of ischemic stroke lesion in brain MRI based on social group optimization and Fuzzy-Tsallis entropy. Arab. J. Sci. Eng. 2018, 43, 4365–4378. [Google Scholar] [CrossRef]
- Lin, D.; Rajinikanth, V.; Lin, H. Hybrid image processing-based examination of 2D brain MRI slices to detect brain tumor/stroke section: A study. In Signal and Image Processing Techniques for the Development of Intelligent Healthcare Systems; Springer: Singapore, 2021; pp. 29–49. [Google Scholar]
- Hemanth, D.J.; Rajinikanth, V.; Rao, V.S.; Mishra, S.; Hannon, N.M.; Vijayarajan, R.; Arunmozhi, S. Image fusion practice to improve the ischemic-stroke-lesion detection for efficient clinical decision making. Evol. Intell. 2021, 14, 1089–1099. [Google Scholar] [CrossRef]
- Zhang, Y.; Liu, S.; Li, C.; Wang, J. Application of deep learning method on ischemic stroke lesion segmentation. J. Shanghai Jiaotong Univ. 2021. [Google Scholar] [CrossRef]
- Yushkevich, P.A.; Pashchinskiy, A.; Oguz, I.; Mohan, S.; Schmitt, J.E.; Stein, J.M.; Gerig, G. User-guided segmentation of multi-modality medical imaging datasets with ITK-SNAP. Neuroinformatics 2019, 17, 83–102. [Google Scholar] [CrossRef]
- Yushkevich, P.A.; Gerig, G. ITK-SNAP: An intractive medical image segmentation tool to meet the need for expert-guided segmentation of complex medical images. IEEE Pulse 2017, 8, 54–57. [Google Scholar] [CrossRef]
- Suh, S.; Park, Y.; Ko, K.; Yang, S.; Ahn, J.; Shin, J.K.; Kim, S. Weighted mask R-CNN for improving adjacent boundary segmentation. J. Sens. 2021, 2021. [Google Scholar] [CrossRef]
- Kendall, A.; Badrinarayanan, V.; Cipolla, R. Bayesian Segnet: Model uncertainty in deep convolutional encoder-decoder architectures for scene understanding. arXiv 2015, arXiv:1511.02680. [Google Scholar]
- Badrinarayanan, V.; Kendall, A.; Cipolla, R. Segnet: A deep convolutional encoder-decoder architecture for image segmentation. IEEE Trans. Pattern Anal. 2017, 39, 2481–2495. [Google Scholar] [CrossRef] [PubMed]
- Khagi, B.; Kwon, G.R. Pixel-label-based segmentation of cross-sectional brain MRI using simplified SegNet architecture-based CNN. J. Healthc. Eng. 2018, 2018, 3640705. [Google Scholar] [CrossRef] [PubMed] [Green Version]
- Ahuja, S.; Panigrahi, B.K.; Dey, N.; Rajinikanth, V.; Gandhi, T.K. Deep transfer learning-based automated detection of COVID-19 from lung CT scan slices. Appl. Intell. 2021, 51, 571–585. [Google Scholar] [CrossRef]
- Garg, M.; Dhiman, G. A novel content-based image retrieval approach for classification using GLCM features and texture fused LBP variants. Neural Comput. Appl. 2020, 33, 1311–1328. [Google Scholar] [CrossRef]
- Xing, Z.; Jia, H. An improved thermal exchange optimization based GLCM for multi-level image segmentation. Multimed. Tools Appl. 2020, 79, 12007–12040. [Google Scholar] [CrossRef]
- Lv, C.; Zhang, P.; Wu, D. Gear fault feature extraction based on fuzzy function and improved Hu invariant moments. IEEE Access 2020, 8, 47490–47499. [Google Scholar] [CrossRef]
- Gudigar, A.; Raghavendra, U.; Devasia, T.; Nayak, K.; Danish, S.M.; Kamath, G.; Acharya, U.R. Global weighted LBP based entropy features for the assessment of pulmonary hypertension. Pattern Recognit. Lett. 2019, 125, 35–41. [Google Scholar] [CrossRef]
- Dey, N.; Zhang, Y.D.; Rajinikanth, V.; Pugalenthi, R.; Raja, N.S.M. Customized VGG19 architecture for pneumonia detection in chest X-rays. Pattern Recognit. Lett. 2021, 143, 67–74. [Google Scholar] [CrossRef]
- Kassem, M.A.; Hosny, K.M.; Damaševičius, R.; Eltoukhy, M.M. Machine learning and deep learning methods for skin lesion classification and diagnosis: A systematic review. Diagnostics 2021, 11, 1390. [Google Scholar] [CrossRef] [PubMed]
- Priya, S.J.; Rani, A.J.; Subathra, M.S.P.; Mohammed, M.A.; Damaševičius, R.; Ubendran, N. local pattern transformation based feature extraction for recognition of Parkinson’s disease based on gait signals. Diagnostics 2021, 11, 1395. [Google Scholar] [CrossRef] [PubMed]
- Castillo, D.; Lakshminarayanan, V.; Rodríguez-Álvarez, M.J. MR images, brain lesions, and deep learning. Appl. Sci. 2021, 11, 1675. [Google Scholar] [CrossRef]
- Nazari-Farsani, S.; Nyman, M.; Karjalainen, T.; Bucci, M.; Isojärvi, J.; Nummenmaa, L. Automated segmentation of acute stroke lesions using a data-driven anomaly detection on diffusion weighted MRI. J. Neurosci. Methods 2020, 333, 108575. [Google Scholar] [CrossRef]
- Subudhi, A.; Dash, M.; Sabut, S. Automated segmentation and classification of brain stroke using expectation-maximization and random forest classifier. Biocybern. Biomed. Eng. 2020, 40, 277–289. [Google Scholar] [CrossRef]
- Qiu, W.; Kuang, H.; Teleg, E.; Ospel, J.M.; Sohn, S.I.; Almekhlafi, M.; Goyal, M.; Hill, M.D.; Demchuk, A.M.; Menon, B.K. Machine learning for detecting early infarction in acute stroke with non–contrast-enhanced CT. Radiology 2020, 294, 638–644. [Google Scholar] [CrossRef] [PubMed]
- Anbumozhi, S. Computer aided detection and diagnosis methodology for brain stroke using adaptive neuro fuzzy inference system classifier. Int. J. Imaging Syst. Technol. 2019, 30, 196–202. [Google Scholar] [CrossRef]
- Kumar, A.; Upadhyay, N.; Ghosal, P.; Chowdhury, T.; Das, D.; Mukherjee, A.; Nandi, D. CSNet: A new DeepNet framework for ischemic stroke lesion segmentation. Comput. Methods Programs Biomed. 2020, 193, 105524. [Google Scholar] [CrossRef] [PubMed]
- Melingi, S.; Vivekanand, V. A crossbred approach for effective brain stroke lesion segmentation. Int. J. Intell. Eng. Syst. 2018, 11, 286–295. [Google Scholar] [CrossRef]

















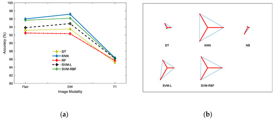
| Modality | JI | DC | ACC | PRE | SEN | SPE | |
|---|---|---|---|---|---|---|---|
| GTL | Flair | 90.80 | 95.18 | 99.51 | 91.90 | 98.70 | 99.55 |
| GTH | 85.82 | 92.37 | 99.19 | 92.20 | 92.55 | 99.56 | |
| GTL | DW | 90.99 | 95.28 | 99.54 | 96.94 | 93.68 | 99.85 |
| GTH | 83.44 | 90.97 | 99.09 | 95.85 | 86.57 | 99.79 | |
| GTL | T1 | 89.95 | 94.71 | 99.49 | 96.71 | 92.79 | 99.84 |
| GTH | 84.50 | 91.60 | 99.16 | 96.88 | 86.87 | 99.84 | |
| Average | 87.58 | 93.35 | 99.33 | 95.08 | 91.86 | 99.74 | |
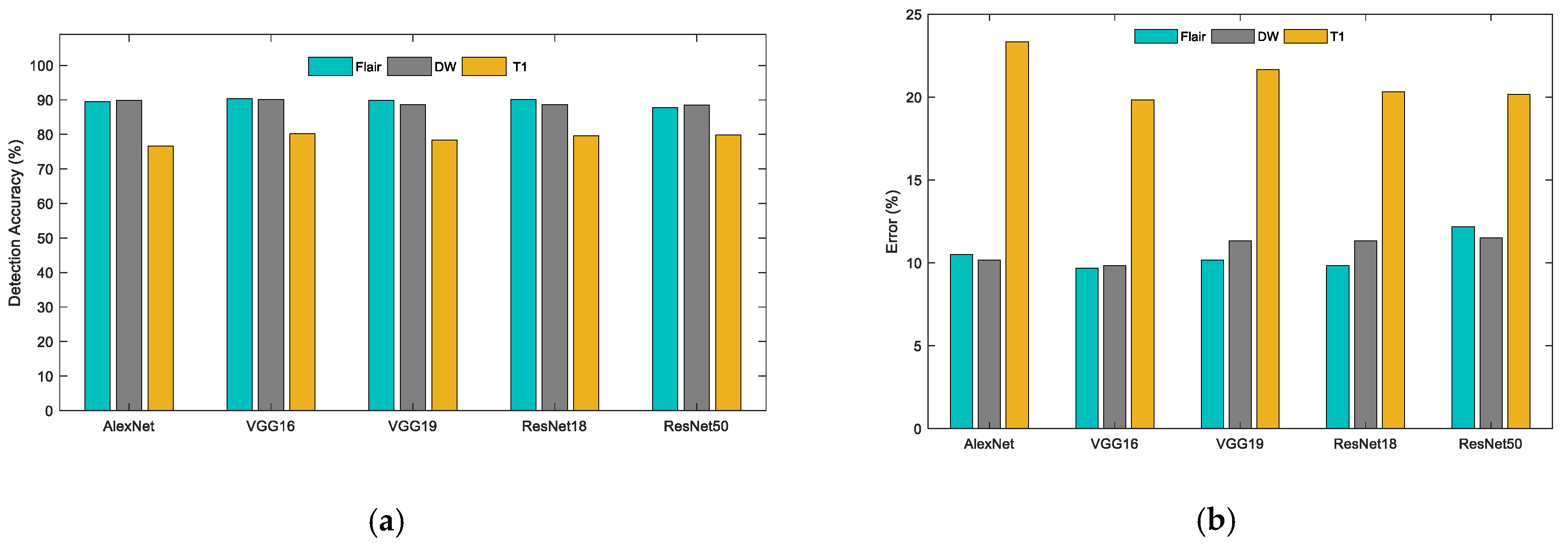
| Network | Modality | TP | FN | TN | FP | ACC | PRE | SEN | SPE | F1S | NPV |
|---|---|---|---|---|---|---|---|---|---|---|---|
| AlexNet | Flair | 171 | 29 | 366 | 34 | 89.50 | 83.41 | 85.50 | 91.50 | 84.44 | 92.66 |
| DW | 175 | 25 | 364 | 36 | 89.83 | 82.94 | 87.50 | 91.00 | 85.16 | 93.57 | |
| T1 | 141 | 59 | 319 | 81 | 76.67 | 63.51 | 70.50 | 79.75 | 66.82 | 84.39 | |
| VGG16 | Flair | 162 | 38 | 380 | 20 | 90.33 | 89.01 | 81.00 | 95.00 | 84.82 | 90.91 |
| DW | 157 | 43 | 384 | 16 | 90.17 | 90.75 | 78.50 | 96.00 | 84.18 | 89.93 | |
| T1 | 157 | 43 | 324 | 76 | 80.17 | 67.38 | 78.50 | 81.00 | 72.52 | 88.28 | |
| VGG19 | Flair | 168 | 32 | 371 | 29 | 89.83 | 85.28 | 84.00 | 92.75 | 84.63 | 92.06 |
| DW | 173 | 27 | 359 | 41 | 88.67 | 80.84 | 86.50 | 89.75 | 83.57 | 93.00 | |
| T1 | 138 | 62 | 332 | 68 | 78.33 | 66.99 | 69.00 | 83.00 | 67.98 | 84.26 | |
| ResNet18 | Flair | 169 | 31 | 372 | 28 | 90.17 | 85.79 | 84.50 | 93.00 | 85.14 | 92.31 |
| DW | 157 | 43 | 375 | 25 | 88.67 | 86.26 | 78.50 | 93.75 | 82.20 | 89.71 | |
| T1 | 132 | 68 | 346 | 54 | 79.67 | 70.97 | 66.00 | 86.50 | 68.39 | 83.57 | |
| ResNet50 | Flair | 168 | 32 | 359 | 41 | 87.83 | 80.38 | 84.00 | 89.75 | 82.15 | 91.82 |
| DW | 163 | 37 | 368 | 32 | 88.50 | 83.59 | 81.50 | 92.00 | 82.53 | 90.86 | |
| T1 | 155 | 45 | 324 | 76 | 79.83 | 67.10 | 77.50 | 81.00 | 71.93 | 87.80 |
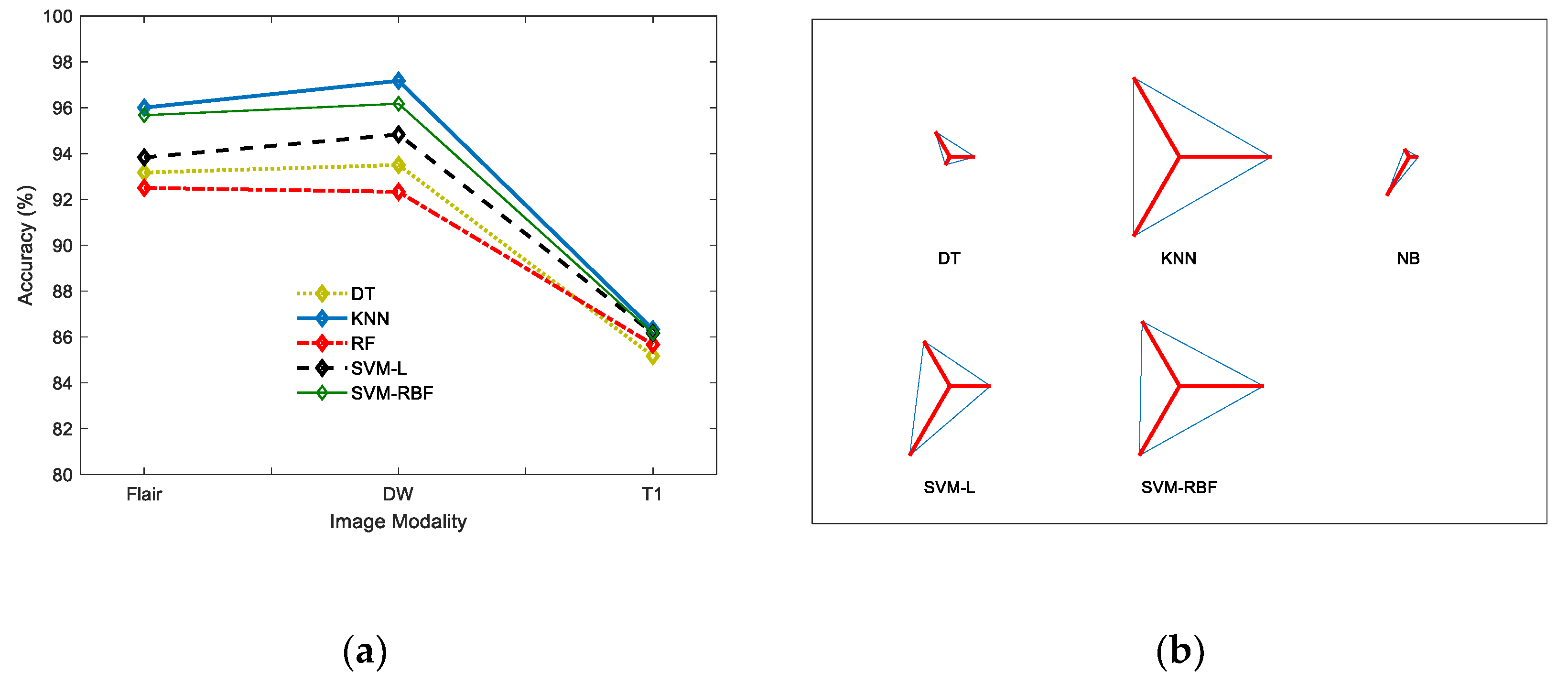
| Classifier | Modality | TP | FN | TN | FP | ACC | PRE | SEN | SPE | F1S | NPV |
|---|---|---|---|---|---|---|---|---|---|---|---|
| DT | Flair | 182 | 18 | 377 | 23 | 93.17 | 88.78 | 91.00 | 94.25 | 89.88 | 95.44 |
| DW | 188 | 12 | 373 | 27 | 93.50 | 87.44 | 94.00 | 93.25 | 90.60 | 96.88 | |
| T1 | 164 | 36 | 347 | 53 | 85.17 | 75.58 | 82.00 | 86.75 | 78.66 | 90.60 | |
| KNN | Flair | 189 | 11 | 387 | 13 | 96.00 | 93.56 | 94.50 | 96.75 | 94.03 | 97.24 |
| DW | 194 | 6 | 389 | 11 | 97.17 | 94.63 | 97.00 | 97.25 | 95.80 | 98.48 | |
| T1 | 157 | 43 | 361 | 39 | 86.33 | 80.10 | 78.50 | 90.25 | 79.29 | 89.36 | |
| RF | Flair | 189 | 11 | 366 | 34 | 92.50 | 84.75 | 94.50 | 91.50 | 89.36 | 97.08 |
| DW | 186 | 14 | 368 | 32 | 92.33 | 85.32 | 93.00 | 92.00 | 88.99 | 96.34 | |
| T1 | 158 | 42 | 356 | 44 | 85.67 | 78.22 | 79.00 | 89.00 | 78.61 | 89.45 | |
| SVM-L | Flair | 192 | 8 | 371 | 29 | 93.83 | 86.88 | 96.00 | 92.75 | 91.21 | 97.89 |
| DW | 181 | 19 | 388 | 12 | 94.83 | 93.78 | 90.50 | 97.00 | 92.11 | 95.33 | |
| T1 | 143 | 57 | 374 | 26 | 86.17 | 84.61 | 71.50 | 93.50 | 77.51 | 86.77 | |
| SVM-RBF | Flair | 184 | 16 | 390 | 10 | 95.67 | 94.84 | 92.00 | 97.50 | 93.40 | 96.06 |
| DW | 186 | 14 | 391 | 9 | 96.17 | 95.38 | 93.00 | 97.75 | 94.18 | 96.54 | |
| T1 | 162 | 38 | 355 | 45 | 86.17 | 78.26 | 81.00 | 88.75 | 79.61 | 90.33 |
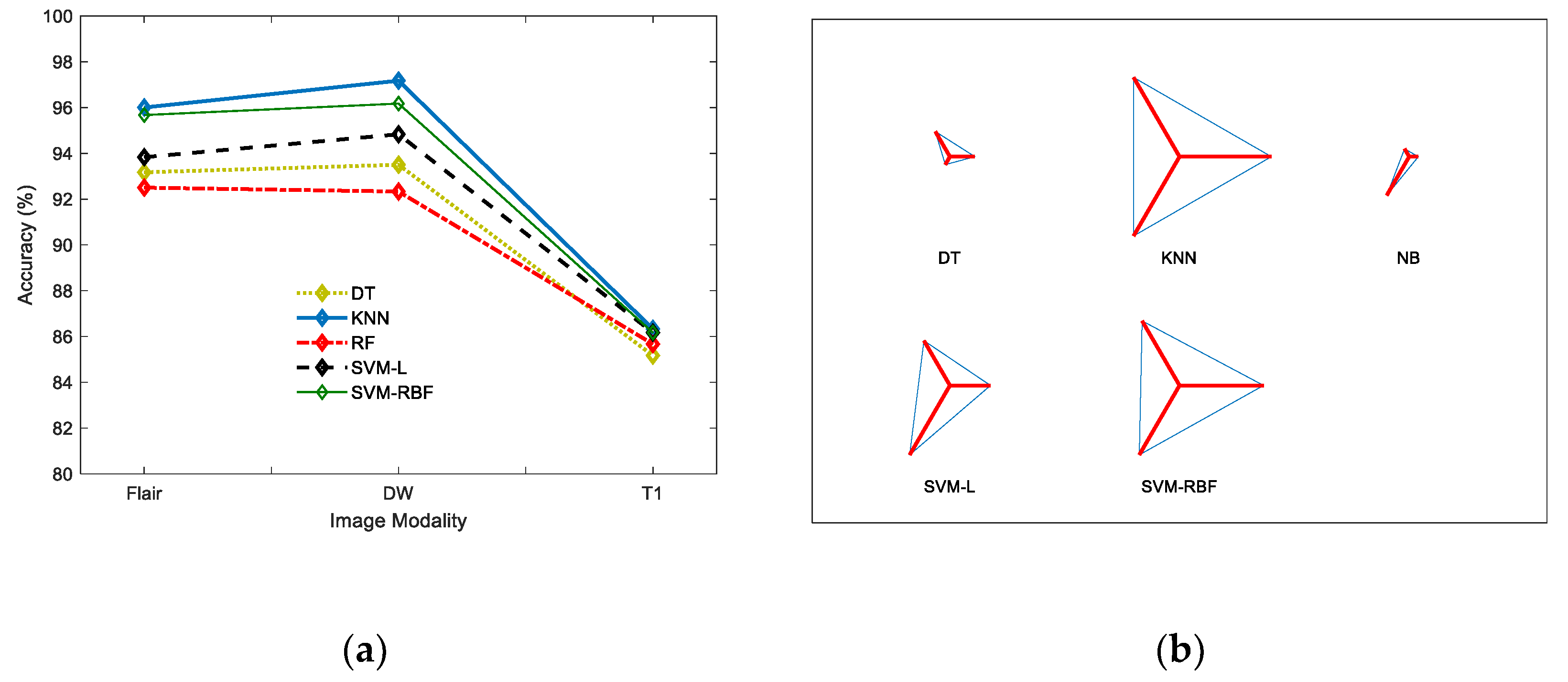
| Classifier | Modality | TP | FN | TN | FP | ACC | PRE | SEN | SPE | F1S | NPV |
|---|---|---|---|---|---|---|---|---|---|---|---|
| DT | Flair | 185 | 15 | 381 | 19 | 94.33 | 90.69 | 92.50 | 95.25 | 91.58 | 96.21 |
| DW | 193 | 7 | 377 | 23 | 95.00 | 89.35 | 96.50 | 94.25 | 92.79 | 98.18 | |
| T1 | 169 | 31 | 351 | 49 | 86.67 | 77.52 | 84.50 | 87.75 | 80.86 | 91.88 | |
| KNN | Flair | 191 | 9 | 389 | 11 | 96.67 | 94.55 | 95.50 | 97.25 | 95.02 | 97.74 |
| DW | 192 | 8 | 384 | 16 | 96.00 | 92.31 | 96.00 | 96.00 | 94.12 | 97.96 | |
| T1 | 164 | 36 | 370 | 30 | 89.00 | 84.54 | 82.00 | 92.50 | 83.25 | 91.13 | |
| RF | Flair | 190 | 10 | 368 | 32 | 93.00 | 85.59 | 95.00 | 92.00 | 90.05 | 97.35 |
| DW | 188 | 12 | 371 | 29 | 93.17 | 86.64 | 94.00 | 92.75 | 90.17 | 96.87 | |
| T1 | 167 | 33 | 366 | 34 | 88.83 | 83.08 | 83.50 | 91.50 | 83.29 | 91.73 | |
| SVM-L | Flair | 193 | 7 | 374 | 26 | 94.50 | 88.13 | 96.50 | 93.50 | 92.12 | 98.16 |
| DW | 183 | 17 | 390 | 10 | 95.50 | 94.82 | 91.50 | 97.50 | 93.13 | 95.82 | |
| T1 | 155 | 45 | 384 | 16 | 89.83 | 90.64 | 77.50 | 96.00 | 83.56 | 89.51 | |
| SVM-RBF | Flair | 196 | 4 | 393 | 7 | 98.17 | 96.55 | 98.00 | 96.55 | 97.27 | 98.99 |
| DW | 191 | 9 | 391 | 9 | 97.00 | 95.50 | 95.50 | 97.75 | 95.50 | 97.75 | |
| T1 | 181 | 19 | 363 | 37 | 90.67 | 83.03 | 90.50 | 90.75 | 86.60 | 95.03 |
Publisher’s Note: MDPI stays neutral with regard to jurisdictional claims in published maps and institutional affiliations. |
© 2021 by the authors. Licensee MDPI, Basel, Switzerland. This article is an open access article distributed under the terms and conditions of the Creative Commons Attribution (CC BY) license (https://creativecommons.org/licenses/by/4.0/).
Share and Cite
Rajinikanth, V.; Aslam, S.M.; Kadry, S. Deep Learning Framework to Detect Ischemic Stroke Lesion in Brain MRI Slices of Flair/DW/T1 Modalities. Symmetry 2021, 13, 2080. https://doi.org/10.3390/sym13112080
Rajinikanth V, Aslam SM, Kadry S. Deep Learning Framework to Detect Ischemic Stroke Lesion in Brain MRI Slices of Flair/DW/T1 Modalities. Symmetry. 2021; 13(11):2080. https://doi.org/10.3390/sym13112080
Chicago/Turabian StyleRajinikanth, Venkatesan, Shabnam Mohamed Aslam, and Seifedine Kadry. 2021. "Deep Learning Framework to Detect Ischemic Stroke Lesion in Brain MRI Slices of Flair/DW/T1 Modalities" Symmetry 13, no. 11: 2080. https://doi.org/10.3390/sym13112080
APA StyleRajinikanth, V., Aslam, S. M., & Kadry, S. (2021). Deep Learning Framework to Detect Ischemic Stroke Lesion in Brain MRI Slices of Flair/DW/T1 Modalities. Symmetry, 13(11), 2080. https://doi.org/10.3390/sym13112080

